How Do Biological and Functional Diversity Change in Invaded Tropical Marine Rocky Reef Communities?
Abstract
1. Introduction
2. Materials and Methods
2.1. Study Sites and Species
2.1.1. Caulerpa scalpelliformis at Praia da Baleia (PB)
2.1.2. Sansibia sp. at Praia Vermelha (PV)
2.1.3. Tubastraea tagusensis at Ilha Comprida (IC)
2.1.4. Tubastraea coccinea and T. tagusensis at Ilha de Âncora (IA)
2.2. Sampling
2.3. Data Analysis
2.3.1. Species Abundance Analysis
2.3.2. Functional Diversity Analysis
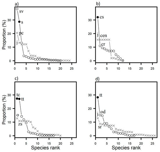
3. Results
4. Discussion
Supplementary Materials
Author Contributions
Funding
Data Availability Statement
Acknowledgments
Conflicts of Interest
References
- Carlton, J.T. Bioinvasion ecology: Assessing invasion impact and scale. In Invasive Aquatic Species of Europe. Distribution, Impacts and Management, 1st ed.; Leppäkoski, E., Gollasch, S., Olenin, S., Eds.; Kluwer Academic Publishers: Dordrecht, The Netherlands, 2002; pp. 7–19. [Google Scholar]
- Ruiz, G.M.; Carlton, J.T.; Grosholz, E.D.; Hines, A.H. Global invasions of marine and estuarine habitats by non-indigenous species: Mechanisms, extent, and consequences. Am. Zool. 1997, 37, 621–632. [Google Scholar] [CrossRef]
- Teixeira, L.M.; Creed, J.C. A decade on: An updated assessment of the status of marine non-indigenous species in Brazil. Aquat. Invasions 2020, 15, 30–43. [Google Scholar] [CrossRef]
- Bailey, S.A.; Brown, L.; Campbell, M.L.; Canning-Clode, J.; Carlton, J.T.; Castro, N.; Chainho, P.; Chan, F.T.; Creed, J.C.; Curd, A.; et al. Trends in the detection of aquatic non-indigenous species across global marine, estuarine and freshwater ecosystems: A 50-year perspective. Divers. Distrib. 2020, 26, 1780–1797. [Google Scholar] [CrossRef]
- Occhipinti-Ambrogi, A.; Savini, D. Biological invasions as a component of global change in stressed marine ecosystems. Mar. Pollut. Bull. 2003, 46, 542–551. [Google Scholar] [CrossRef]
- Giakoumi, S.; Guilhaumon, F.; Kark, S.; Terlizzi, A.; Claudet, J.; Felline, S.; Cerrano, C.; Coll, M.; Danovaro, R.; Fraschetti, S.; et al. Space invaders; biological invasions in marine conservation planning. Divers. Distrib. 2016, 22, 1220–1231. [Google Scholar] [CrossRef]
- Gallardo, B.; Clavero, M.; Sánchez, M.I.; Vilà, M. Global ecological impacts of invasive species in aquatic ecosystems. Glob. Chang. Biol. 2016, 22, 151–163. [Google Scholar] [CrossRef]
- Hansen, G.J.; Vander Zanden, M.J.; Blum, M.J.; Clayton, M.K.; Hain, E.F.; Hauxwell, J.; Izzo, M.; Kornis, M.S.; McIntyre, P.B.; Mikulyuk, A.; et al. Commonly rare and rarely common: Comparing population abundance of invasive and native aquatic species. PLoS ONE 2013, 8, e77415. [Google Scholar] [CrossRef]
- Magurran, A.E. Measuring Biological Diversity, 1st ed.; Wiley-Blackwell: Carleton, Australia, 2003; pp. 18–71. [Google Scholar]
- Bremner, J.; Rogers, S.I.; Frid, C.L.J. Assessing functional diversity in marine benthic ecosystems: A comparison of approaches. Mar. Ecol. Prog. Ser. 2003, 254, 11–25. [Google Scholar] [CrossRef]
- Bremner, J.; Rogers, S.I.; Frid, C.L.J. Methods for describing ecological functioning of marine benthic assemblages using biological traits analysis (BTA). Ecol. Indic. 2006, 6, 609–622. [Google Scholar] [CrossRef]
- Thomsen, M.S.; Olden, J.D.; Wernberg, T.; Griffin, J.N.; Silliman, B.R. A broad framework to organize and compare ecological invasion impacts. Environ. Res. 2011, 111, 899–908. [Google Scholar] [CrossRef] [PubMed]
- MacArthur, R. Species packing and competitive equilibrium for many species. Theor. Popul. Biol. 1970, 1, 1–11. [Google Scholar] [CrossRef]
- Emery, S.M. Limiting similarity between invaders and dominant species in herbaceous plant communities? J. Ecol. 2007, 95, 1027–1035. [Google Scholar] [CrossRef]
- Strayer, D.L.; Eviner, V.T.; Jeschke, J.M.; Pace, M.L. Understanding the long-term effects of species invasions. Trends Ecol. Evol. 2006, 21, 645–651. [Google Scholar] [CrossRef] [PubMed]
- Strayer, D.L.; D’Antonio, C.M.; Essl, F.; Fowler, M.S.; Geist, J.; Hilt, S.; Jarić, I.; Jöhnk, K.; Jones, C.G.; Lambin, X.; et al. Boom-bust dynamics in biological invasions: Towards an improved application of the concept. Ecol. Lett. 2017, 20, 1337–1350. [Google Scholar] [CrossRef]
- Catford, J.A.; Jansson, R.; Nilsson, C. Reducing redundancy in invasion ecology by integrating hypotheses into a single theoretical framework. Divers. Distrib. 2009, 15, 22–40. [Google Scholar] [CrossRef]
- Hejda, M.; Bello, F. Impact of plant invasions on functional diversity in the vegetation of Central Europe. J. Veg. Sci. 2013, 24, 890–897. [Google Scholar] [CrossRef]
- Elton, C.S. The Ecology of Invasions by Animals and Plants, 2nd ed.; Springer Nature: Oxford, UK, 1958; pp. 125–174. [Google Scholar]
- Riva, E.G.; Godoy, O.; Castro-Díez, P.; Gutiérrez-Cánovas, C.; Vilà, M. Functional and phylogenetic consequences of plant invasion for coastal native communities. J. Veg. Sci. 2019, 30, 510–520. [Google Scholar] [CrossRef]
- Shuai, F.; Lek, S.; Li, X.; Zhao, T. Biological invasions undermine the functional diversity of fish community in a large subtropical river. Biol. Invasions 2018, 20, 2981–2996. [Google Scholar] [CrossRef]
- Toussaint, A.; Charpin, N.; Beauchard, O.; Grenouillet, G.; Oberdorff, T.; Tedesco, P.A.; Brosse, S.; Villéger, S. Non-native species led to marked shifts in functional diversity of the world freshwater fish faunas. Ecol. Lett. 2018, 21, 1649–1659. [Google Scholar] [CrossRef]
- Milardi, M.; Gavioli, A.; Soininen, J.; Castaldelli, G. Exotic species invasions undermine regional functional diversity of freshwater fish. Sci. Rep. 2019, 9, 1–10. [Google Scholar] [CrossRef]
- Matsuzaki, S.I.S.; Sasaki, T.; Akasaka, M. Consequences of the introduction of exotic and translocated species and future extirpations on the functional diversity of freshwater fish assemblages. Glob. Ecol. Biogeogr. 2013, 22, 1071–1082. [Google Scholar] [CrossRef]
- Rosindell, J.; Cornell, S.J. Universal scaling of species-abundance distributions across multiple scales. Oikos 2013, 122, 1101–1111. [Google Scholar] [CrossRef]
- Mason, N.W.; de Bello, F.; Mouillot, D.; Pavoine, S.; Dray, S. A guide for using functional diversity indices to reveal changes in assembly processes along ecological gradients. J. Veg. Sci. 2013, 24, 794–806. [Google Scholar] [CrossRef]
- Villéger, S.; Mason, N.W.; Mouillot, D. New multidimensional functional diversity indices for a multifaceted framework in functional ecology. Ecology 2008, 89, 2290–2301. [Google Scholar] [CrossRef]
- Fried, G.; Carboni, M.; Mahaut, L.; Violle, C. Functional traits modulate plant community responses to alien plant invasion. Perspect. Plant. Ecol. Evol. Syst. 2019, 37, 53–63. [Google Scholar] [CrossRef]
- Falcão, C.; Széchy, M.T.M. Changes in shallow phytobenthic assemblages in southeastern Brazil, following the replacement of Sargassum vulgare (Phaeophyta) by Caulerpa scalpelliformis (Chlorophyta). Bot Mar. 2005, 48, 208–217. [Google Scholar] [CrossRef]
- Lopes, R.M.C.; Pombo, L.; Cunha, V.B.; Rimoldi, D. Informe Sobre as Espécies Exóticas Invasoras Marinhas no Brasil, 1st ed.; Ministério do Meio Ambiente—Secretaria de Biodiversidade e Florestas: Brasília, Brazil, 2009; p. 440. [Google Scholar]
- Vasconcelos, M.A.; Schubart, C.L.Q.; Széchy, M.T.M.D. Temporal variation in vegetative development of Caulerpa scalpelliformis (Chlorophyta) from Baleia beach, Ilha Grande bay (Rio de Janeiro, brazil). Braz. J. Oceanogr. 2011, 59, 145–152. [Google Scholar] [CrossRef][Green Version]
- Alderslade, P. Four new genera of soft corals (Coelenterata: Octocorallia), with notes on the classification of some established taxa. Zool. Meded. Leiden. 2000, 74, 237–249. [Google Scholar]
- Mantelatto, M.C.; Silva, A.G.; Santos Louzada, T.; McFadden, C.S.; Creed, J.C. Invasion of aquarium origin soft corals on a tropical rocky reef in the southwest Atlantic, Brazil. Mar. Pollut. Bull. 2018, 130, 84–94. [Google Scholar] [CrossRef] [PubMed]
- Carpinelli, Á.N.; Cordeiro, R.T.S.; Neves, L.M.; Moura, R.L.; Kitahara, M.V. Erythropodium caribaeorum (Duchassaing and Michelotti, 1860) (Cnidaria: Alcyonacea), an additional alien coral in the Southwestern Atlantic. Zootaxa 2020, 4822, 175–190. [Google Scholar] [CrossRef] [PubMed]
- Creed, J.C.; Casares, F.A.; Oigman-Pszczol, S.S.; Masi, B.P. Multi-site experiments demonstrate that control of invasive corals (Tubastraea spp.) by manual removal is effective. Ocean. Coast. Manag. 2020, 207, 105616. [Google Scholar] [CrossRef]
- Creed, J.C.; Fenner, D.; Sammarco, P.; Cairns, S.; Capel, K.; Junqueira, A.O.; Cruz, I.; Miranda, R.J.; Carlos-Junior, L.; Mantelatto, M.C.; et al. The invasion of the azooxanthellate coral Tubastraea (Scleractinia: Dendrophylliidae) throughout the world: History, pathways and vectors. Biol. Invasions 2017, 19, 283–305. [Google Scholar] [CrossRef]
- Coelho-Souza, S.A.; López, M.S.; Guimarães, J.R.D.; Coutinho, R.; Candella, R.N. Biophysical interactions in the Cabo Frio upwelling system, Southeastern Brazil. Braz. J. Oceanogr. 2012, 60, 353–365. [Google Scholar] [CrossRef]
- Santos, H.S.; Silva, F.G.C.; Masi, B.P.; Fleury, B.G.; Creed, J.C. Environmental matching used to predict range expansion of two invasive corals (Tubastraea spp.). Mar. Pollut. Bull. 2019, 145, 587–594. [Google Scholar] [CrossRef] [PubMed]
- World Register of Marine Species: WoRMS. Available online: https://www.marinespecies.org/ (accessed on 2 April 2020).
- Kohler, K.E.; Gill, S.M. Coral Point Count with Excel extensions (CPCe): A visual basic program for the determination of coral and substrate coverage using random point count methodology. Comput. Geosci. 2006, 32, 1259–1269. [Google Scholar] [CrossRef]
- Burnham, K.P.; Anderson, D.R. Multimodel inference: Understanding AIC and BIC in model selection. Sociol. Methods Res. 2004, 33, 261–304. [Google Scholar] [CrossRef]
- Oksanen, J.; Blanchet, F.G.; Kindt, R.; Legendre, P.; Minchin, P.R.; O’hara, R.B.; Simpson, G.L.; Solymos, P.; Stevens, M.H.H.; Szoecs, E.; et al. Package ‘vegan’. Community Ecology Package, Version 2. 2013. Available online: https://CRAN.R-project.org/package=vegan (accessed on 31 July 2020).
- Clarke, K.R.; Gorley, R.N. PRIMER v6: User Manual/Tutorial, Primer E: Plymouth, 1st ed.; Plymouth Marine Laboratory: Plymouth, UK, 2006. [Google Scholar]
- Anderson, M.J.; Clarke, K.R.; Gorley, R.N. PERMANOVA+ for Primer. Guide to Software and Statistical Methods; University of Auckland and PRIMER-E Ltd.: Plymouth, UK, 2008. [Google Scholar]
- Zaiko, A.; Cardeccia, A.; Carlton, J.T.; Clark, G.; Creed, J.; Davidson, I.; Floerl, O.; Galil, B.; Grosholz, E.; Hopkins, G.A.; et al. Structural and Functional Shifts Associated with Increased Invasions in Benthic Marine Communities: Spatial-Temporal Insights and Challenges; Anastasija.Zaiko@cawthron.org.nz, Private Bag 2, Nelson 7042, New Zealand, 2021 (manuscript in preparation).
- Cailliez, F. The analytical solution of the additive constant problem. Psychometrika 1983, 48, 305–308. [Google Scholar] [CrossRef]
- Laliberté, E.; Legendre, P.; Shipley, B.; Laliberté, M.E. Package ‘FD’: Measuring Functional Diversity from Multiple Traits, and other Tools for Functional Ecology; R Foundation for Statistical Computing: Vienna, Austria, 2014; pp. 1–17. [Google Scholar]
- Laliberté, E.; Legendre, P. A distance-based framework for measuring functional diversity from multiple traits. Ecology 2010, 91, 299–305. [Google Scholar] [CrossRef] [PubMed]
- R Core Team. R: A Language and Environment for Statistical Computing; R Foundation for Statistical Computing: Vienna, Austria, 2013; Available online: https://www.R-project.org/ (accessed on 9 June 2020).
- Magurran, A.E. Ecological Diversity and its Measurement, 1st ed.; Princeton University Press: Princeton, New Jersey, USA, 1988; pp. 7–46. [Google Scholar]
- Magurran, A.E. Species abundance distributions over time. Ecol. Lett. 2007, 10, 347–354. [Google Scholar] [CrossRef]
- McGill, B.J.; Etienne, R.S.; Gray, J.S.; Alonso, D.; Anderson, M.J.; Benecha, H.K.; Dornelas, M.; Enquist, B.J.; Green, J.L.; He, F.; et al. Species abundance distributions: Moving beyond single prediction theories to integration within an ecological framework. Ecol. Lett. 2007, 10, 995–1015. [Google Scholar] [CrossRef] [PubMed]
- Fattorini, S. A simple method to fit geometric series and broken stick models in community ecology and island biogeography. Acta Oecol. 2005, 28, 199–205. [Google Scholar] [CrossRef]
- Meinesz, A.; Belsher, T.; Thibaut, T.; Antolic, B.; Mustapha, K.B.; Boudouresque, C.F.; Chiaverini, D.; Cinelli, F.; Cottalorda, J.; Djellouli, A.; et al. The introduced green alga Caulerpa taxifolia continues to spread in the Mediterranean. Biol. Invasions 2001, 3, 201–210. [Google Scholar] [CrossRef]
- Piazzi, L.; Cinelli, F. Distribution and dominance of two introduced turf-forming macroalgae on the coast of Tuscany, Italy, northwestern Mediterranean Sea in relation to different habitats and sedimentation. Bot. Mar. 2001, 44, 509–520. [Google Scholar] [CrossRef]
- Branch, G.M.; Steffani, C.N. Can we predict the effects of alien species? A case-history of the invasion of South Africa by Mytilus galloprovincialis (Lamarck). J. Exp. Mar. Biol. Ecol. 2004, 300, 189–215. [Google Scholar] [CrossRef]
- Zabin, C.J.; Altieri, A. A Hawaiian limpet facilitates recruitment of a competitively dominant invasive barnacle. Mar. Ecol. Prog. Ser. 2007, 337, 175–185. [Google Scholar] [CrossRef][Green Version]
- Lages, B.G.; Fleury, B.G.; Menegola, C.; Creed, J.C. Change in tropical rocky shore communities due to an alien coral invasion. Mar. Ecol. Prog. Ser. 2011, 438, 85–96. [Google Scholar] [CrossRef]
- Nagendra, H. Opposite trends in response for the Shannon and Simpson indices of landscape diversity. Appl. Geogr. 2002, 22, 175–186. [Google Scholar] [CrossRef]
- Stachowicz, J.J.; Fried, H.; Osman, R.W.; Whitlatch, R.B. Biodiversity, invasion resistance, and marine ecosystem function: Reconciling pattern and process. Ecology 2002, 83, 2575–2590. [Google Scholar] [CrossRef]
- Kennedy, T.A.; Naeem, S.; Howe, K.M.; Knops, J.M.; Tilman, D.; Reich, P. Biodiversity as a barrier to ecological invasion. Nature 2002, 417, 636–638. [Google Scholar] [CrossRef]
- Fridley, J.D.; Stachowicz, J.J.; Naeem, S.; Sax, D.F.; Seabloom, E.W.; Smith, M.D.; Stohlgren, T.J.; Tilman, D.; Holle, B.V. The invasion paradox: Reconciling pattern and process in species invasions. Ecology 2007, 88, 3–17. [Google Scholar] [CrossRef]
- Kimbro, D.L.; Cheng, B.S.; Grosholz, E.D. Biotic resistance in marine environments. Ecol. Lett. 2013, 16, 821–833. [Google Scholar] [CrossRef]
- Guilhaumon, F.; Albouy, C.; Claudet, J.; Velez, L.; Ben Rais Lasram, F.; Tomasini, J.A.; Douzery, E.J.P.; Meynard, C.N.; Mouquet, N.; Troussellier, M.; et al. Representing taxonomic, phylogenetic and functional diversity: New challenges for Mediterranean marine-protected areas. Divers. Distrib. 2015, 21, 175–187. [Google Scholar] [CrossRef]
- Arenas, F.; Sánchez, I.; Hawkins, S.J.; Jenkins, S.R. The invasibility of marine algal assemblages: Role of functional diversity and identity. Ecology 2006, 87, 2851–2861. [Google Scholar] [CrossRef]
- Chan, F.T.; Briski, E. An overview of recent research in marine biological invasions. Mar. Biol. 2017, 164, 121. [Google Scholar] [CrossRef] [PubMed]
- Mouchet, M.A.; Villéger, S.; Mason, N.W.; Mouillot, D. Functional diversity measures: An overview of their redundancy and their ability to discriminate community assembly rules. Funct. Ecol. 2010, 24, 867–876. [Google Scholar] [CrossRef]
- Crawley, M.J.; Brown, S.L.; Heard, M.S.; Edwards, G.R. Invasion-resistance in experimental grassland communities: Species richness or species identity? Ecol. Lett. 1999, 2, 140–148. [Google Scholar] [CrossRef]
- Olden, J.D.; Rooney, T.P. On defining and quantifying biotic homogenization. Glob. Ecol. Biogeogr. 2006, 15, 113–120. [Google Scholar] [CrossRef]
- Schaffelke, B.; Hewitt, C.L. Impacts of introduced seaweeds. Bot. Mar. 2007, 50, 397–417. [Google Scholar] [CrossRef]
- Britton-Simmons, K.H. Functional group diversity, resource preemption and the genesis of invasion resistance in a community of marine algae. Oikos 2006, 113, 395–401. [Google Scholar] [CrossRef]
- Vaz-Pinto, F.; Olabarria, C.; Arenas, F. Propagule pressure and functional diversity: Interactive effects on a macroalgal invasion process. Mar. Ecol. Prog. Ser. 2012, 471, 51–60. [Google Scholar] [CrossRef]
- Castro-Díez, P.; Pauchard, A.; Traveset, A.; Vilà, M. Linking the impacts of plant invasion on community functional structure and ecosystem properties. J. Veg. Sci. 2016, 27, 1233–1242. [Google Scholar] [CrossRef]
- Mačić, V.; Albano, P.G.; Almpanidou, V.; Claudet, J.; Corrales, X.; Essl, F.; Evagelopoulos, A.; Giovos, I.; Jimenez, C.; Kark, S.; et al. Biological invasions in conservation planning: A global systematic review. Front. Mar. Sci. 2018, 5, 178. [Google Scholar] [CrossRef]





| Site | Not-Invaded | Invaded | AS Removed |
|---|---|---|---|
| PV | bs, gs | gs, m | z, m |
| PB | gs, ln, m | bs, ln, z | gs, ln |
| IA | gs, ln, m | bs, gs | bs, gs |
| IC | gs, ln | bs, gs | bs, gs |
Publisher’s Note: MDPI stays neutral with regard to jurisdictional claims in published maps and institutional affiliations. |
© 2021 by the authors. Licensee MDPI, Basel, Switzerland. This article is an open access article distributed under the terms and conditions of the Creative Commons Attribution (CC BY) license (https://creativecommons.org/licenses/by/4.0/).
Share and Cite
Pires-Teixeira, L.M.; Neres-Lima, V.; Creed, J.C. How Do Biological and Functional Diversity Change in Invaded Tropical Marine Rocky Reef Communities? Diversity 2021, 13, 353. https://doi.org/10.3390/d13080353
Pires-Teixeira LM, Neres-Lima V, Creed JC. How Do Biological and Functional Diversity Change in Invaded Tropical Marine Rocky Reef Communities? Diversity. 2021; 13(8):353. https://doi.org/10.3390/d13080353
Chicago/Turabian StylePires-Teixeira, Larissa M., Vinicius Neres-Lima, and Joel C. Creed. 2021. "How Do Biological and Functional Diversity Change in Invaded Tropical Marine Rocky Reef Communities?" Diversity 13, no. 8: 353. https://doi.org/10.3390/d13080353
APA StylePires-Teixeira, L. M., Neres-Lima, V., & Creed, J. C. (2021). How Do Biological and Functional Diversity Change in Invaded Tropical Marine Rocky Reef Communities? Diversity, 13(8), 353. https://doi.org/10.3390/d13080353

