Using Peoples’ Perceptions to Improve Conservation Programs: The Yellow-Shouldered Amazon in Venezuela
Abstract
1. Introduction
2. Materials and Methods
2.1. Study Area and Socioeconomic Context
2.2. Interview Instruments and Survey Process
3. Results
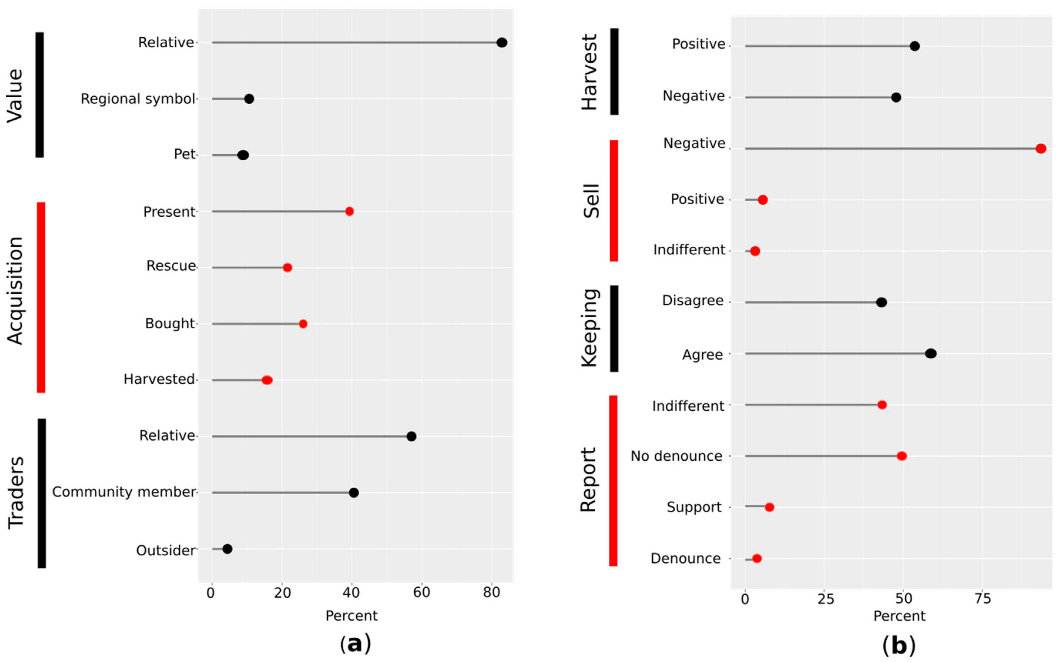
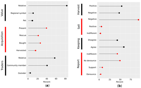
3.1. Characteristics of the Sample
3.2. Perceptions about Species Conservation Status and Ecological Outcomes
3.3. Acceptability of Conservation Management
3.4. Social Processes
4. Discussion
Social Processes in the Yellow-Shouldered Amazon Trade
5. Conclusions
Author Contributions
Funding
Acknowledgments
Conflicts of Interest
References
- Bennett, N.J. Using perceptions as evidence to improve conservation and environmental management. Conserv. Biol. 2016, 30, 582–592. [Google Scholar] [CrossRef]
- Bennett, N.J.; Roth, R.; Klain, S.C.; Chan, K.; Christie, P.; Clark, D.A.; Cullman, G.; Curran, D.; Durbin, T.J.; Epstein, G.; et al. Conservation social science: Understanding and integrating human dimensions to improve conservation. Biol. Conserv. 2017, 205, 93–108. [Google Scholar] [CrossRef]
- Schultz, P.W. Conservation means behavior. Conserv. Biol. 2011, 25, 1080–1083. [Google Scholar] [CrossRef] [PubMed]
- Dobson, A.D.M.; De Lange, E.; Keane, A.; Ibbett, H.; Milner-Gulland, E.J. Integrating models of human behaviour between the individual and population levels to inform conservation interventions. Philos. Trans. R. Soc. B Biol. Sci. 2019, 374. [Google Scholar] [CrossRef] [PubMed]
- Ebua, V.B.; Agwafo, T.E.; Fonkwo, S.N. Attitudes and perceptions as threats to wildlife conservation in the Bakossi area, South West Cameroon. Int. J. Biodivers. Conserv. 2011, 3, 631–636. [Google Scholar]
- Gandiwa, E.; Zisadza-Gandiwa, P.; Mango, L.; Jakarasi, J. Law enforcement staff perceptions of illegal hunting and wildlife conservation in Gonarezhou National Park, southeastern Zimbabwe. Trop. Ecol. 2014, 55, 119–127. [Google Scholar]
- Gandiwa, E.; Heitkönig, I.M.A.; Lokhorst, A.M.; Prins, H.H.T.; Leeuwis, C. CAMPFIRE and human-wildlife conflicts in local communities bordering northern Gonarezhou National Park, Zimbabwe. Ecol. Soc. 2013, 18. [Google Scholar] [CrossRef]
- Duncker, L.; Gonçalves, D. Community perceptions and attitudes regarding wildlife crime in South Africa. CSIR 2017, 11, 191–197. [Google Scholar]
- Jenkins, H.M.; Mammides, C.; Keane, A. Exploring differences in stakeholders’ perceptions of illegal bird trapping in Cyprus. J. Ethnobiol. Ethnomed. 2017, 13, 67. [Google Scholar] [CrossRef]
- Gebregziabher, D.; Soltani, A. Exclosures in people’s minds: Perceptions and attitudes in the Tigray region, Ethiopia. For. Policy Econ. 2019, 101, 1–14. [Google Scholar] [CrossRef]
- Anderson, P.K. A bird in the house: An anthropological perspective on companion parrots. Soc. Anim. 2008, 11, 393–418. [Google Scholar] [CrossRef]
- Berkunsky, I.; Quillfeldt, P.; Brightsmith, D.; Abbud, M.; Aguilar, J.; Alemán-Zelaya, U.; Aramburú, R.; Arce Arias, A.; Balas McNab, R.; Balsby, T.; et al. Current threats faced by Neotropical parrot populations. Biol. Conserv. 2017, 214, 278–287. [Google Scholar] [CrossRef]
- Tella, J.L.; Hiraldo, F. Illegal and legal parrot trade shows a long-term, cross-cultural preference for the most attractive species increasing their risk of extinction. PLoS ONE 2014, 9, e107546. [Google Scholar] [CrossRef] [PubMed]
- Vidal, P.R.; Hiraldo, F.; Rosseto, F.; Blanco, G.; Carrete, M.; Tella, J.L. Opportunistic or Non—Random Wildlife Crime? Attractiveness rather than Abundance in the Wild Leads to Selective Parrot Poaching. Diversity 2020, 12, 314. [Google Scholar] [CrossRef]
- Sollund, R. Expressions of speciesism: The effects of keeping companion animals on animal abuse, animal trafficking and species decline. Crime Law Soc. Chang. 2011, 55, 437–451. [Google Scholar] [CrossRef]
- BirdLife International IUCN Red List for Birds. Available online: http://www.birdlife.org (accessed on 10 October 2019).
- Rojas-Suárez, F.; Rodríguez, J.P. Cotorra cabeciamarilla, Amazona barbadensis. In Libro Rojo de la Fauna Venezolana, 4th ed.; Provita & Fundación Empresas Polar: Caracas, Venezuela, 2015. [Google Scholar]
- Sánchez-Mercado, A.; Asmüssen, M.; Rodríguez, J.P.; Moran, L.; Cardozo-Urdaneta, A.; Morales, L.I. Illegal trade of the Psittacidae in Venezuela. Oryx 2017, 1–7. [Google Scholar] [CrossRef]
- Rodriguez, J.P.; Fajardo, L.; Herrera, I.; Sánchez, A.; Reyes, A. Conservation and management of the yellow-shouldered parrot (Amazonas barbadensis) on the islands of Margarita and La Blanquilla. In Species Conservation and Management: Case Studies; Akcakaya, H.R., Burgman, M.A., Kindvall, O., Wood, C., Sjoren-Gulve, P., Hattfield, J., McCarthy, M.A., Eds.; Oxford University Press: Oxford, UK, 2004; pp. 361–370. [Google Scholar]
- Briceño-Linares, J.M.; Rodríguez, J.P.; Rodríguez-Clark, K.M.; Rojas-Suárez, F.; Millán, P.A. Adapting to changing poaching intensity of yellow-shouldered parrot (Amazona barbadensis) nestlings in Margarita Island, Venezuela. Biol. Conserv. 2011, 144, 1188–1193. [Google Scholar] [CrossRef]
- Rodríguez, J.P.; Rodríguez-Clark, K.M.; Faría-Romero, M.A.; Briceño-Linares, J.M.; Dashiell, S.; Neugarten, R.; Millán, P.A. Education and the threatened parrots of Margarita Island. In Proceedings of the VI International Parrot Convention, Tenerife, Spain, 27–30 September 2006; Loro Parque Fundación: Puerto de La Cruz, Tenerife, Spain, 2006; pp. 159–173. [Google Scholar]
- Instituto Nacional de Estadística Censo Poblacional. Available online: http://www.ine.gov.ve/ (accessed on 5 May 2019).
- Buppert, T.; McKeehan, A. Guidelines for Applying Free, Prior and Informed Consent: A Manual for Conservation International; Conservation International: Arlington, VA, USA, 2013; ISBN 0959-8138. [Google Scholar]
- Sterling, E.J.; Betley, E.; Sigouin, A.; Gomez, A.; Toomey, A.; Cullman, G.; Malone, C.; Pekor, A.; Arengo, F.; Blair, M.; et al. Assessing the evidence for stakeholder engagement in biodiversity conservation. Biol. Conserv. 2017, 209, 159–171. [Google Scholar] [CrossRef]
- Veríssimo, D.; Campbell, B. Understanding stakeholder conflict between conservation and hunting in Malta. Biol. Conserv. 2015, 191, 812–818. [Google Scholar] [CrossRef]
- Herrera, M.; Hennessey, B. Quantifying the illegal parrot trade in Santa Cruz de la Sierra, Bolivia, with emphasis on threatened species. Bird Conserv. Int. 2007, 17, 295–300. [Google Scholar] [CrossRef]
- Phelps, J.; Biggs, D.; Webb, E.L. Tools and terms for understanding illegal wildlife trade. Front. Ecol. Environ. 2016, 14, 479–489. [Google Scholar] [CrossRef]
- Marshall, H.; Yuda, P.; Collar, N.J.; Lees, A.C.; Marsden, S.J.; Moss, A. Characterising bird-keeping user-groups on Java reveals distinct behaviours, profiles and potential for change. People Nat. 2020, 1–12. [Google Scholar] [CrossRef]
- Veríssimo, D.; Bianchessi, A.; Arrivillaga, A.; Cadiz, F.C.; Mancao, R.; Green, K. Does it work for biodiversity? Experiences and challenges in the evaluation of social marketing campaigns. Soc. Mar. Q. 2018, 24. [Google Scholar] [CrossRef]
- Salazar, G.; Mills, M.; Verissimo, D. Qualitative impact evaluation of a social marketing campaign for conservation. Conserv. Biol. 2018, 33, 634–644. [Google Scholar] [CrossRef] [PubMed]
- Chunwang Li, Z.M. Consumer behavior change we believe in: Demanding reduction strategy for endangered wildlife. J. Biodivers. Endanger. Species 2015, 3, 1–3. [Google Scholar] [CrossRef]
- Sánchez-Mercado, A.; Cardozo-Urdaneta, A.; Moran, L.; Ovalle, L.; Arvelo, M.; Morales-Campo, J.; Coyle, B.; Braun, M.J.; Rodriguez-Clark, K.M. Social network analysis reveals specialized trade in an Endangered songbird. Anim. Conserv. 2019, 1–13. [Google Scholar] [CrossRef]
- Sánchez-Mercado, A.; Cardozo-Urdaneta, A.; Rodríguez-Clark, K.M.; Moran, L.; Ovalle, L.; Arvelo, M.; Morales-Campo, J.; Coyle, B.; Braun, M.J. Illegal wildlife trade networks: Finding creative opportunities for conservation intervention in challenging circumstances. Anim. Conserv. 2020, 23, 151–152. [Google Scholar] [CrossRef]
- Clayton, S.; Myers, G. Conservation Psychology: Understanding and Promoting Human Care for Nature; Wiley-Blackwell: Hoboken, NJ, USA, 2011; ISBN 978-1-444-35641-0. [Google Scholar]
- Veríssimo, D.; Wan, A.K.Y. Characterising the efforts to reduce consumer demand for wildlife products. Conserv. Biol. 2018, 33, 623–633. [Google Scholar] [CrossRef]
- Thomas-Walters, L.; Veríssimo, D.; Gadsby, E.; Roberts, D.; Smith, R. Taking a more nuanced look at behavior change for demand reduction in the illegal wildlife trade. Conserv. Sci. Pract. 2020, 1–10. [Google Scholar] [CrossRef]




| Conservation Issue | Aspect Evaluated | Questions |
|---|---|---|
| Ecological outcomes of conservation | Awareness about species conservation status | Do you keep a parrot at home? |
| Do you think that there are more parrots in captivity than in the wild? | ||
| Perceived impact on wild population | Do you think that the wild parrot population will go extinct in the next 10 years? | |
| Do you think that the wild parrot population is stable, declining, or increasing? | ||
| Perception of species threats | What is the main threat faced by parrots? | |
| Effects of the conservation action (surveillance) | What is the main location for fledgling extraction? | |
| Acceptability of conservation management | Support for conservation program | Do you know Provita’s work? |
| What do you think is the main conservation problem that Provita cares for? | ||
| Perceptions of other stakeholders in the process | What do you think about the work of Ecoguardians? | |
| Perceived responsibilities and roles | Who is the entity/organization responsible for parrot conservation? | |
| How did you get your parrot? (role in the trade chain) | ||
| Social processes affecting conservation actions | Social value of the species | What does your parrot mean to you? |
| Who gave you your parrot? | ||
| Attitudes towards stages in the trade chain | Do you agree with this statement? “I will always want to keep a parrot as pet.” | |
| Fledgling parrot extraction is… | ||
| Do you report poachers? | ||
| Selling fledgling parrots is… |
| Community | Gender | Employment Status | Age | Education Level | Income Level | Source of Income | |||||||||||||
|---|---|---|---|---|---|---|---|---|---|---|---|---|---|---|---|---|---|---|---|
| F | M | Unemployed | Employed | Mean | SD | None | Primary | High School | University | All | Almost All | The Half | Few | Nothing | Social Program | Own Revenues | Retirement Pension | Salary | |
| Boca del Río | 64 (190) | 36 (107) | 48 (141) | 52 (151) | 47.7 | 14.6 | 1 (3) | 14 (42) | 50 (147) | 35 (102) | 0 (0) | 2 (5) | 8 (23) | 28 (84) | 62 (184) | 26 (66) | 19 (48) | 26 (65) | 29 (73) |
| El Horcón | 84 (41) | 16 (8) | 68 (32) | 32 (15) | 43.4 | 15.8 | 2 (1) | 31 (15) | 59 (29) | 8 (4) | 2 (1) | 16 (8) | 20 (10) | 37 (18) | 24 (12) | 70 (33) | 2 (1) | 19 (9) | 9 (4) |
| Robledal | 74 (111) | 26 (39) | 58 (84) | 42 (62) | 44.0 | 15.1 | 5 (7) | 31 (45) | 50 (73) | 15 (22) | 5 (8) | 16 (23) | 16 (24) | 31 (45) | 32 (46) | 36 (40) | 27 (79) | 18 (94) | 19 (98) |
| All | 69 (342) | 31 (154) | 53 | 47 | 43.7 | 15.0 | 2 | 21 | 51 | 26 | 2 | 7 | 12 | 30 | 49 | 34 | 19 | 23 | 24 |
© 2020 by the authors. Licensee MDPI, Basel, Switzerland. This article is an open access article distributed under the terms and conditions of the Creative Commons Attribution (CC BY) license (http://creativecommons.org/licenses/by/4.0/).
Share and Cite
Sánchez-Mercado, A.; Blanco, O.; Sucre-Smith, B.; Briceño-Linares, J.M.; Peláez, C.; Rodríguez, J.P. Using Peoples’ Perceptions to Improve Conservation Programs: The Yellow-Shouldered Amazon in Venezuela. Diversity 2020, 12, 342. https://doi.org/10.3390/d12090342
Sánchez-Mercado A, Blanco O, Sucre-Smith B, Briceño-Linares JM, Peláez C, Rodríguez JP. Using Peoples’ Perceptions to Improve Conservation Programs: The Yellow-Shouldered Amazon in Venezuela. Diversity. 2020; 12(9):342. https://doi.org/10.3390/d12090342
Chicago/Turabian StyleSánchez-Mercado, Ada, Oriana Blanco, Bibiana Sucre-Smith, José Manuel Briceño-Linares, Carlos Peláez, and Jon Paul Rodríguez. 2020. "Using Peoples’ Perceptions to Improve Conservation Programs: The Yellow-Shouldered Amazon in Venezuela" Diversity 12, no. 9: 342. https://doi.org/10.3390/d12090342
APA StyleSánchez-Mercado, A., Blanco, O., Sucre-Smith, B., Briceño-Linares, J. M., Peláez, C., & Rodríguez, J. P. (2020). Using Peoples’ Perceptions to Improve Conservation Programs: The Yellow-Shouldered Amazon in Venezuela. Diversity, 12(9), 342. https://doi.org/10.3390/d12090342

