Sabella spallanzanii and Seafloor Biodiversity Enhancement in a Marine Soft-Sediment System
Abstract
1. Introduction
2. Methods
2.1. Field Sampling
2.2. Laboratory Analysis
2.3. Traits Analysis
2.4. Data Analysis
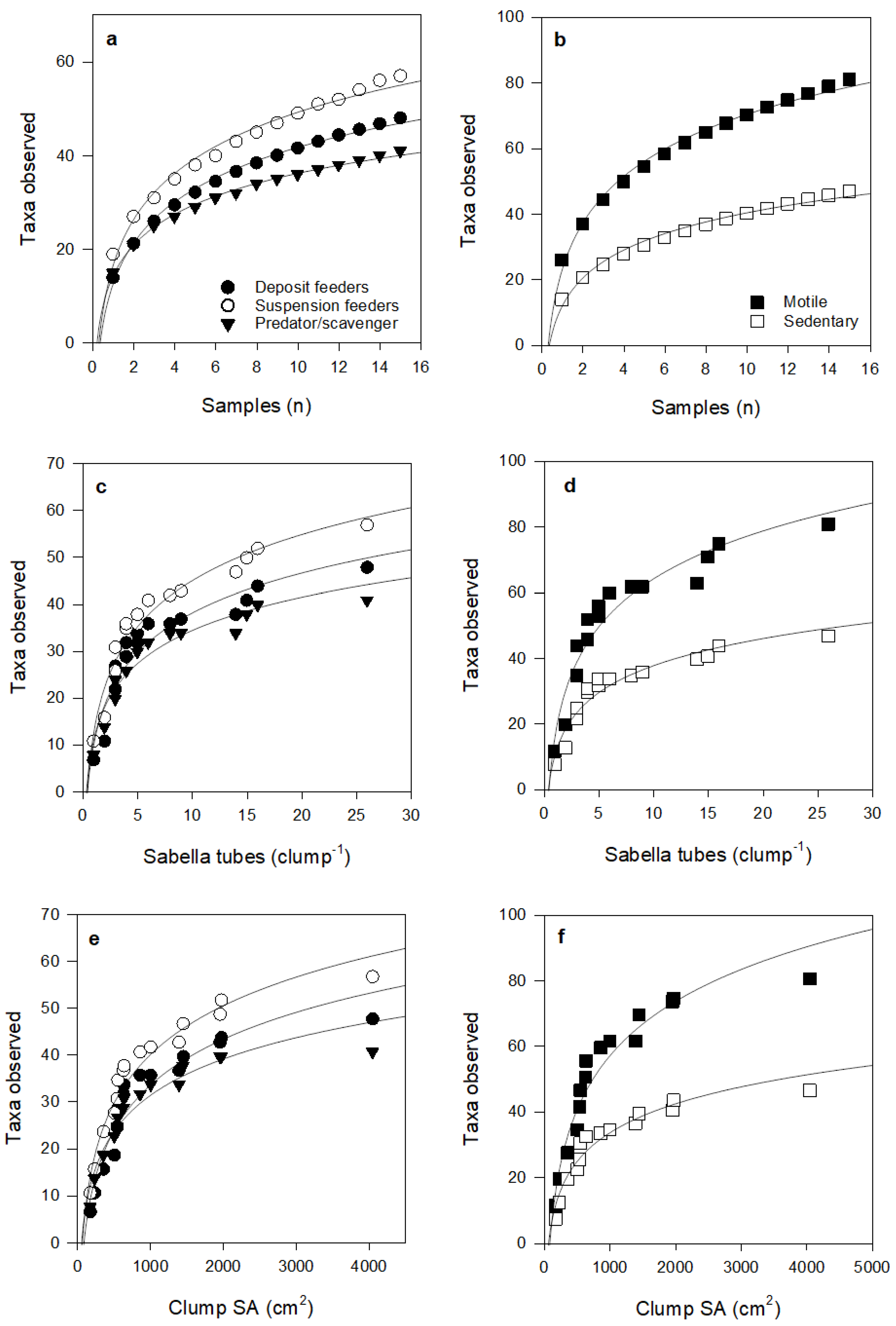
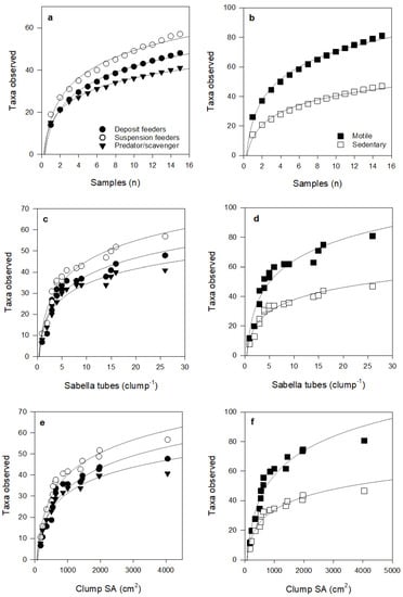
3. Results
4. Discussion
Supplementary Materials
Author Contributions
Funding
Acknowledgments
Conflicts of Interest
References
- Endresen, O.; Lee Behrens, H.; Brynestad, S.; Bjorn Andersen, A.; Skjong, R. Challenges in global ballast water management. Mar. Pollut. Bull. 2004, 48, 615–623. [Google Scholar] [CrossRef]
- Hayes, K.R.; Inglis, G.J.; Barry, S.C. The assessment and management of marine pest risks posed by shipping: The Australian and New Zealand experience. Front. Mar. Sci. 2019, 6, 489. [Google Scholar] [CrossRef]
- Roberts, J.; Tsamenyi, M. International legal options for the control of biofouling on international vessels. Mar. Policy 2008, 32, 559–569. [Google Scholar] [CrossRef]
- Katsanevakis, S.; Wallentinus, I.; Zenetos, A.; Leppäkoski, E.; Çinar, M.; Bayram, O.; Grabowski, M.; Golani, D.; Cardoso, A. Impacts of invasive alien marine species on ecosystem services and biodiversity: A pan-European review. Aqua. Invasions 2014, 9, 391–423. [Google Scholar] [CrossRef]
- Cook, D.C.; Fraser, R.W.; Waage, J.K.; Thomas, M.B. Prioritising biosecurity investment between agricultural and environmental systems. J. Verbrauch. Lebensm. 2011, 6, 3–13. [Google Scholar] [CrossRef]
- Finnoff, D.; Shogren, J.F.; Leung, B.; Lodge, D. Take a risk: Preferring prevention over control of biological invaders. Ecol. Econ. 2007, 62, 216–222. [Google Scholar] [CrossRef]
- Clapin, G.; Evans, D. The Status of the Introduced Marine Fanworm Sabella spallanzanii in Western Australia: A Preliminary Investigation; Technical Report; CSIRO Division of Fisheries, Centre for Research on Introduced Marine Pests: Sutherland Shire, Australia, 1995; Volume 2, pp. 1–34. [Google Scholar]
- Currie, D.R.; McArthur, M.A.; Cohen, B.F. Reproduction and distribution of the invasive European fanworm Sabella spallanzanii (Polychaeta: Sabellidae) in Port Phillip Bay, Victoria, Australia. Mar. Biol. 2000, 136, 645–656. [Google Scholar] [CrossRef]
- Read, G.; Inglis, G.; Stratford, P.; Ahyong, S. Arrival of the alien fanworm Sabella spallanzanii (Gmelin, 1791) (Polychaeta: Sabellidae) in two New Zealand harbours. Aqua. Invasions 2011, 6, 273–279. [Google Scholar] [CrossRef]
- Soliman, T.; Inglis, G.J. Forecasting the economic impacts of two biofouling invaders on aquaculture production of green-lipped mussels Perna canaliculus in New Zealand. Aquac. Environ. Interact. 2018, 10, 1–12. [Google Scholar] [CrossRef]
- Jones, C.G.; Lawton, J.H.; Shachak, M. Positive and negative effects of organisms as physical ecosystem engineers. Ecology 1997, 78, 1946–1957. [Google Scholar] [CrossRef]
- Rodriguez, L.F. Can invasive species facilitate native species? Evidence of how, when, and why these impacts occur. Biol. Invasions 2006, 8, 927–939. [Google Scholar] [CrossRef]
- Hayward, B.W.; Stephenson, A.B.; Morley, M.; Riley, J.L.; Grenfell, H.R. Faunal changes in Waitemata Harbour sediments, 1930s–1990s. J. R. Soc. N. Z. 1997, 27, 1–20. [Google Scholar] [CrossRef][Green Version]
- Hayward, B.; Morley, M.; Hayward, J.; Stephenson, A.; Blom, W.; Hayward, K.; Grenfell, H. Monitoring studies of the benthic ecology of Waitemata Harbour, New Zealand. Rec. Auckl. Mus. 1999, 36, 95–117. [Google Scholar]
- Cummings, V.; Halliday, J.; Thrush, S.; Hancock, N.; Funnell, G. Mahurangi Estuary Ecological Monitoring Programme—Report on Data Collected from July 1994 to January 2005; Auckland Regional Council Technical Publication 277; Auckland Regional Council: Auckland, New Zealand, 2005; p. 102. [Google Scholar]
- Crooks, J.A. Habitat alteration and community-level effects of an exotic mussel, Musculista senhousia. Mar. Ecol. Prog. Ser. 1998, 162, 137–152. [Google Scholar] [CrossRef]
- Ramus, A.P.; Silliman, B.R.; Thomsen, M.S.; Long, Z.T. An invasive foundation species enhances multifunctionality in a coastal ecosystem. Proc. Natl. Acad. Sci. USA 2017, 114, 8580–8585. [Google Scholar] [CrossRef] [PubMed]
- Thomsen, M.S.; Byers, J.E.; Schiel, D.R.; Bruno, J.F.; Olden, J.D.; Wernberg, T.; Silliman, B.R. Impacts of marine invaders on biodiversity depend on trophic position and functional similarity. Mar. Ecol. Prog. Ser. 2014, 495, 39–47. [Google Scholar] [CrossRef]
- Sellheim, K.; Stachowicz, J.J.; Coates, R.C. Effects of a nonnative habitat-forming species on mobile and sessile epifaunal communities. Mar. Ecol. Prog. Ser. 2010, 398, 69–80. [Google Scholar] [CrossRef]
- Holloway, M.G.; Keough, M.J. An introduced polychaete affects recruitment and larval abundance of sessile invertebrates. Ecol. Appl. 2002, 12, 1803–1823. [Google Scholar] [CrossRef]
- Holloway, M.G.; Keough, M.J. Effects of an introduced polychaete, Sabella spallanzanii, on the development of epifaunal assemblages. Mar. Ecol. Prog. Ser. 2002, 236, 137–154. [Google Scholar] [CrossRef][Green Version]
- Ruiz, G.M.; Fofonoff, P.; Hines, A.H.; Grosholz, E.D. Non-indigenous species as stressors in estuarine and marine communities: Assessing invasion impacts and interactions. Limnol. Oceanogr. 1999, 44, 950–972. [Google Scholar] [CrossRef]
- Merz, R. Self-generated versus environmentally produced feeding currents: A comparison for the sabellid polychaete Eudistylia vancouveri. Biol. Bull. 1984, 167, 200. [Google Scholar] [CrossRef]
- Buss, L.W.; Jackson, J.B.C. Planktonic food availability and suspension-feeder abundance: Evidence of in situ depletion. J. Exp. Mar. Biol. Ecol. 1981, 49, 151–161. [Google Scholar] [CrossRef]
- Rodriguez, S.; Patricio Ojeda, F.; Inestrosa, N. Settlement of benthic marine invertebrates. Mar. Ecol. Prog. Ser. 1993, 97, 193–207. [Google Scholar] [CrossRef]
- Norkko, A.; Hewitt, J.E.; Thrush, S.F.; Funnell, G.A. Conditional outcomes of facilitation by a habitat-modifying subtidal bivalve. Ecology 2006, 87, 226–234. [Google Scholar] [CrossRef]
- Lohrer, A.M.; Rodil, I.F.; Townsend, M.; Chiaroni, L.D.; Hewitt, J.E.; Thrush, S.F. Biogenic habitat transitions influence facilitation in a marine soft-sediment ecosystem. Ecology 2013, 94, 136–145. [Google Scholar] [CrossRef]
- Carey, J.; Watson, J. Benthos of the muddy bottom habitat of the Geelong Arm of Port Phillip Bay, Victoria, Australia. Vic. Nat. 1992, 109, 196–202. [Google Scholar]
- Preston, F.W. The canonical distribution of commonness and rarity: Part I. Ecology 1962, 43, 185–215. [Google Scholar] [CrossRef]
- Arrhenius, O. Species and Area. J. Ecol. 1921, 9, 95–99. [Google Scholar] [CrossRef]
- Carlton, J.T. Biological invasions and cryptogenic species. Ecology 1996, 77, 1653–1655. [Google Scholar] [CrossRef]
- Seaward, K.; Acosta, H.; Inglis, G.; Wood, B.; Riding, T.; Wilkens, S.; Gould, B. The Marine Biosecurity Porthole—A web-based information system on non-indigenous marine species in New Zealand. Manag. Biol. Invasions 2015, 6, 177–184. [Google Scholar] [CrossRef][Green Version]
- Ross, D.; Keough, M.; Longmore, A.; Knott, N. Impacts of two introduced suspension feeders in Port Phillip Bay, Australia. Mar. Ecol. Prog. Ser. 2007, 340, 41–53. [Google Scholar] [CrossRef]
- Greenfield, B.L.; Kraan, C.; Pilditch, C.A.; Thrush, S.F. Mapping functional groups can provide insight into ecosystem functioning and potential resilience of intertidal sandflats. Mar. Ecol. Prog. Ser. 2016, 548, 1–10. [Google Scholar] [CrossRef]
- Thrush, S.F.; Hewitt, J.E.; Kraan, C.; Lohrer, A.M.; Pilditch, C.A.; Douglas, E. Changes in the location of biodiversity–ecosystem function hot spots across the seafloor landscape with increasing sediment nutrient loading. Proc. R. Soc. B Biol. Sci. 2017, 284, 1852. [Google Scholar] [CrossRef]
- Chevene, F.; Doléadec, S.; Chessel, D. A fuzzy coding approach for the analysis of long-term ecological data. Freshw. Biol. 1994, 31, 295–309. [Google Scholar] [CrossRef]
- Clarke, K.R.; Gorley, R.N. PRIMER v7: User Manual/Tutorial; PRIMER-E: Plymouth, UK, 2015; p. 296. [Google Scholar]
- Ellis, J.; Cummings, V.; Hewitt, J.; Thrush, S.; Norkko, A. Determining effects of suspended sediment on condition of a suspension feeding bivalve (Atrina zelandica): Results of a survey, a laboratory experiment and a field transplant experiment. J. Exp. Mar. Biol. Ecol. 2002, 267, 147–174. [Google Scholar] [CrossRef]
- Kay, A.M.; Keough, M.J. Occupation of patches in the epifaunal communities on pier pilings and the bivalve Pinna bicolor at Edithburgh, South Australia. Oecologia 1981, 48, 123–130. [Google Scholar] [CrossRef]
- Kuhlmann, M. Spatial and temporal patterns in the dynamics and use of pen shells (Atrina rigida) as shelters in St. Joseph Bay, Florida. Bull. Mar. Sci. 1998, 62, 157–179. [Google Scholar]
- Zhang, Y.; Silliman, B. A facilitation cascade enhances local biodiversity in seagrass beds. Diversity 2019, 11, 30. [Google Scholar] [CrossRef]
- Cummings, V.J.; Thrush, S.F.; Hewitt, J.E.; Turner, S.J. The influence of the pinnid bivalve Atrina zelandica (Gray) on benthic macroinvertebrate communities in soft-sediment habitats. J. Exp. Mar. Biol. Ecol. 1998, 228, 227–240. [Google Scholar] [CrossRef]
- Cummings, V.J.; Thrush, S.F.; Hewitt, J.E.; Funnell, G.A. Variable effect of a large suspension-feeding bivalve on infauna: Experimenting in a complex system. Mar. Ecol. Prog. Ser. 2001, 209, 159–175. [Google Scholar] [CrossRef]
- Norkko, A.; Hewitt, J.E.; Thrush, S.F.; Funnell, G.A. Benthic-pelagic coupling and suspension-feeding bivalves: Linking site-specific sediment flux and biodeposition to benthic community structure. Limnol. Oceanogr. 2001, 46, 2067–2072. [Google Scholar] [CrossRef]
- O’Brien, A.L.; Ross, D.J.; Keough, M.J. Effects of Sabella spallanzanii physical structure on soft sediment macrofaunal assemblages. Mar. Freshw. Res. 2006, 57, 363–371. [Google Scholar] [CrossRef]
- Atalah, J.; Floerl, O.; Pochon, X.; Townsend, M.; Tait, L.; Lohrer, A.M. The introduced fanworm, Sabella spallanzanii, alters soft sediment macrofauna and bacterial communities. Front. Ecol. Evol. 2019, 7, 481. [Google Scholar] [CrossRef]
- Beck, M.W. Separating the elements of habitat structure: Independent effects of habitat complexity and structural components on rocky intertidal gastropods. J. Exp. Mar. Biol. Ecol. 2000, 249, 29–49. [Google Scholar] [CrossRef]
- Martin-Smith, K.M. Abundance of mobile epifauna: The role of habitat complexity and predation by fishes. J. Exp. Mar. Biol. Ecol. 1993, 174, 243–260. [Google Scholar] [CrossRef]
- Chemello, R.; Milazzo, M. Effect of algal architecture on associated fauna: Some evidence from phytal molluscs. Mar. Biol. 2002, 140, 981–990. [Google Scholar] [CrossRef]
- Russ, G.R. Effects of predation by fishes, competition, and structural complexity of the substratum on the establishment of a marine epifaunal community. J. Exp. Mar. Biol. Ecol. 1980, 42, 55–69. [Google Scholar] [CrossRef]
- Parry, G.; Lockett, M.; Crookes, D.; Coleman, N.; Sinclair, M. Mapping and Distribution of Sabella spallanzanii in Port Phillip Bay; Final Report to Fisheries Research and Development Corporation (FRDC Project 94/164); Victorian Fisheries Research Institute: Queenscliff, Australia, 1996; p. 51. [Google Scholar]
- Giangrande, A.; Cavallo, A.; Licciano, M.; Mola, E.; Pierri, C.; Trianni, L. Utilization of the filter feeder polychaete Sabella. Aquac. Int. 2005, 13, 129–136. [Google Scholar] [CrossRef]
- Jackson, J.B.C. Competition on marine hard substrata: The adaptive significance of solitary and colonial strategies. Am. Nat. 1977, 111, 743–767. [Google Scholar] [CrossRef]
- Schwindt, E.; Bortolus, A.; Iribarne, O.O. Invasion of a reef-builder polychaete: Direct and indirect impacts on the native benthic community structure. Biol. Invasions 2001, 3, 137–149. [Google Scholar] [CrossRef]
- Tait, L.W.; Lohrer, A.M.; Townsend, M.; Atalah, J.; Floerl, O.; Inglis, G.J. Invasive ecosystem engineers threaten benthic nitrogen cycling by altering native infaunal and biofouling communities. Sci. Rep. 2020, 10, 1581. [Google Scholar] [CrossRef] [PubMed]
- Ross, D.J.; Longmore, A.R.; Keough, M.J. Spatially variable effects of a marine pest on ecosystem function. Oecologia 2013, 172, 525–538. [Google Scholar] [CrossRef] [PubMed]
- Jones, C.G.; Lawton, J.H.; Shachak, M. Organisms as ecosystem engineers. Oikos 1994, 69, 373–386. [Google Scholar] [CrossRef]






© 2020 by the authors. Licensee MDPI, Basel, Switzerland. This article is an open access article distributed under the terms and conditions of the Creative Commons Attribution (CC BY) license (http://creativecommons.org/licenses/by/4.0/).
Share and Cite
Douglas, E.J.; Townsend, M.; Tait, L.W.; Greenfield, B.L.; Inglis, G.J.; Lohrer, A.M. Sabella spallanzanii and Seafloor Biodiversity Enhancement in a Marine Soft-Sediment System. Diversity 2020, 12, 228. https://doi.org/10.3390/d12060228
Douglas EJ, Townsend M, Tait LW, Greenfield BL, Inglis GJ, Lohrer AM. Sabella spallanzanii and Seafloor Biodiversity Enhancement in a Marine Soft-Sediment System. Diversity. 2020; 12(6):228. https://doi.org/10.3390/d12060228
Chicago/Turabian StyleDouglas, Emily J., Michael Townsend, Leigh W. Tait, Barry L. Greenfield, Graeme J. Inglis, and Andrew M. Lohrer. 2020. "Sabella spallanzanii and Seafloor Biodiversity Enhancement in a Marine Soft-Sediment System" Diversity 12, no. 6: 228. https://doi.org/10.3390/d12060228
APA StyleDouglas, E. J., Townsend, M., Tait, L. W., Greenfield, B. L., Inglis, G. J., & Lohrer, A. M. (2020). Sabella spallanzanii and Seafloor Biodiversity Enhancement in a Marine Soft-Sediment System. Diversity, 12(6), 228. https://doi.org/10.3390/d12060228

