You Better Repeat It: Complex CO2 × Temperature Effects in Atlantic Silverside Offspring Revealed by Serial Experimentation
Abstract
1. Introduction
2. Methods
2.1. Field Sampling and Experimental Designs
2.2. CO2 and Temperature Levels
2.3. CO2 × Temperature Manipulations and Measurements
2.4. Response Traits and Statistical Analysis
3. Results
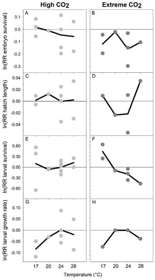
3.1. Embryo Survival
3.2. Hatch Length
3.3. Larval Survival
3.4. Larval Growth Rate
3.5. Overall CO2 Effect Size (LnRR)
4. Discussion
Supplementary Materials
Author Contributions
Funding
Acknowledgments
Conflicts of Interest
References
- Zeebe, R.E.; Ridgwell, A.; Zachos, J.C. Anthropogenic carbon release rate unprecedented during the past 66 million years. Nat. Geosci. 2016, 9, 325–329. [Google Scholar] [CrossRef]
- Doney, S.C.; Fabry, V.J.; Feely, R.A.; Kleypas, J.A. Ocean acidification: The other CO2 problem. Mar. Sci. 2009, 1, 169–192. [Google Scholar] [CrossRef] [PubMed]
- Fabry, V.J.; Seibel, B.A.; Feely, R.A.; Orr, J.C. Impacts of ocean acidification on marine fauna and ecosystem processes. ICES J. Mar. Sci. 2008, 65, 414–432. [Google Scholar] [CrossRef]
- Harley, C.D.; Randall Hughes, A.; Hultgren, K.M.; Miner, B.G.; Sorte, C.J.; Thornber, C.S.; Rodriguez, L.F.; Tomanek, L.; Williams, S.L. The impacts of climate change in coastal marine systems. Ecol. Lett. 2006, 9, 228–241. [Google Scholar] [CrossRef] [PubMed]
- Wootton, J.T.; Pfister, C.A.; Forester, J.D. Dynamic patterns and ecological impacts of declining ocean pH in a high-resolution multi-year dataset. Proc. Natl. Acad. Sci. USA 2008, 105, 18848–18853. [Google Scholar] [CrossRef] [PubMed]
- Kroeker, K.J.; Kordas, R.L.; Crim, R.N.; Singh, G.G. Meta analysis reveals negative yet variable effects of ocean acidification on marine organisms. Ecol. Lett. 2010, 13, 1419–1434. [Google Scholar] [CrossRef] [PubMed]
- Wittmann, A.C.; Pörtner, H.-O. Sensitivities of extant animal taxa to ocean acidification. Nat. Clim. Chang. 2013, 3, 995–1001. [Google Scholar] [CrossRef]
- Dupont, S.; Dorey, N.; Thorndyke, M. What meta-analysis can tell us about vulnerability of marine biodiversity to ocean acidification? Estuar. Coast. Shelf Sci. 2010, 89, 182–185. [Google Scholar] [CrossRef]
- Melzner, F.; Gutowska, M.; Langenbuch, M.; Dupont, S.; Lucassen, M.; Thorndyke, M.C.; Bleich, M.; Pörtner, H.O. Physiological basis for high CO2 tolerance in marine ectothermic animals: Pre-adaptation through lifestyle and ontogeny? Biogeosciences 2009, 6, 2313–2331. [Google Scholar] [CrossRef]
- Ishimatsu, A.; Hayashi, M.; Kikkawa, T. Fishes in high-CO2, acidified oceans. Mar. Ecol. Prog. Ser. 2008, 373, 295–302. [Google Scholar] [CrossRef]
- Baumann, H.; Talmage, S.C.; Gobler, C.J. Reduced early life growth and survival in a fish in direct response to increased carbon dioxide. Nat. Clim. Chang. 2012, 2, 38–41. [Google Scholar] [CrossRef]
- Stiasny, M.H.; Mittermayer, F.H.; Sswat, M.; Voss, R.; Jutfelt, F.; Chierici, M.; Puvanendran, V.; Mortensen, A.; Reusch, T.B.H.; Clemmesen, C. Ocean acidification effects on atlantic cod larval survival and recruitment to the fished population. PLoS ONE 2016, 11, e0155448. [Google Scholar] [CrossRef] [PubMed]
- Chambers, R.; Candelmo, A.; Habeck, E.; Poach, M.; Wieczorek, D.; Cooper, K.; Greenfield, C.; Phelan, B. Ocean acidification effects in the early life-stages of summer flounder, Paralichthys dentatus. Biogeosciences 2014, 10, 13897–13929. [Google Scholar] [CrossRef]
- Pimentel, M.S.; Faleiro, F.; Dionísio, G.; Repolho, T.; Pousão-Ferreira, P.; Machado, J.; Rosa, R. Defective skeletogenesis and oversized otoliths in fish early stages in a changing ocean. J. Exp. Biol. 2014, 217, 2062–2070. [Google Scholar] [CrossRef] [PubMed]
- Frommel, A.Y.; Maneja, R.; Lowe, D.; Malzahn, A.M.; Geffen, A.J.; Folkvord, A.; Piatkowski, U.; Reusch, T.B.H.; Clemmesen, C. Severe tissue damage in Atlantic cod larvae under increasing ocean acidification. Nat. Clim. Chang. 2012, 2, 42–46. [Google Scholar] [CrossRef]
- Checkley, D.M.; Dickson, A.G.; Takahashi, M.; Radich, J.A.; Eisenkolb, N.; Asch, R. Elevated CO2 enhances otolith growth in young fish. Science 2009, 324, 1683. [Google Scholar] [CrossRef] [PubMed]
- Bignami, S.; Enochs, I.C.; Manzello, D.P.; Sponaugle, S.; Cowen, R.K. Ocean acidification alters the otoliths of a pantropical fish species with implications for sensory function. Proc. Natl. Acad. Sci. USA 2013, 110, 7366–7370. [Google Scholar] [CrossRef] [PubMed]
- Munday, P.L.; Dixson, D.L.; Donelson, J.M.; Jones, G.P.; Pratchett, M.S.; Devitsina, G.V.; Døving, K.B. Ocean acidification impairs olfactory discrimination and homing ability of a marine fish. Proc. Natl. Acad. Sci. USA 2009, 106, 1848–1852. [Google Scholar] [CrossRef] [PubMed]
- Nilsson, G.E.; Dixson, D.L.; Domenici, P.; McCormick, M.I.; Sorensen, C.; Watson, S.-A.; Munday, P.L. Near-future carbon dioxide levels alter fish behaviour by interfering with neurotransmitter function. Nat. Clim. Chang. 2012, 2, 201–204. [Google Scholar] [CrossRef]
- Frommel, A.Y.; Schubert, A.; Piatkowski, U.; Clemmesen, C. Egg and early larval stages of baltic cod, Gadus morhua, are robust to high levels of ocean acidification. Mar. Biol. 2013, 160, 1825–1834. [Google Scholar] [CrossRef]
- Lonthair, J.; Ern, R.; Esbaugh, A.J. The early life stages of an estuarine fish, the red drum (Sciaenops ocellatus), are tolerant to high pCO2. ICES J. Mar. Sci. 2017, 74, 1042–1050. [Google Scholar] [CrossRef]
- Hurst, T.P.; Fernandez, E.R.; Mathis, J.T. Effects of ocean acidification on hatch size and larval growth of walleye pollock (Theragra chalcogramma). ICES J. Mar. Sci. 2013, 70, 812–822. [Google Scholar] [CrossRef]
- Franke, A.; Clemmesen, C. Effect of ocean acidification on early life stages of Atlantic herring (Clupea harengus L.). Biogeosciences 2011, 8, 3697–3707. [Google Scholar] [CrossRef]
- Crespel, A.; Zambonino-Infante, J.-L.; Mazurais, D.; Koumoundouros, G.; Fragkoulis, S.; Quazuguel, P.; Huelvan, C.; Madec, L.; Servili, A.; Claireaux, G. The development of contemporary European sea bass larvae (Dicentrarchus labrax) is not affected by projected ocean acidification scenarios. Mar. Biol. 2017, 164, 155. [Google Scholar] [CrossRef] [PubMed]
- Cattano, C.; Claudet, J.; Domenici, P.; Milazzo, M. Living in a high CO2 world: A global meta-analysis shows multiple trait-mediated responses of fish to ocean acidification. Ecol. Monogr. 2018. [Google Scholar] [CrossRef]
- Vargas, C.A.; Lagos, N.A.; Lardies, M.A.; Duarte, C.; Manríquez, P.H.; Aguilera, V.M.; Broitman, B.; Widdicombe, S.; Dupont, S. Species-specific responses to ocean acidification should account for local adaptation and adaptive plasticity. Nat. Ecol. Evol. 2017, 1, 0084. [Google Scholar] [CrossRef] [PubMed]
- Riebesell, U.; Fabry, V.J.; Hansson, L.; Gattuso, J.-P. Guide to Best Practices for Ocean Acidification Research and Data Reporting; Publications Office of the European Union Luxembourg: Luxembourg, 2010; Volume 260. [Google Scholar]
- Hofmann, G.; Evans, T.; Kelly, M.; Padilla-Gamiño, J.; Blanchette, C.; Washburn, L.; Chan, F.; McManus, M.; Menge, B.; Gaylord, B. Exploring local adaptation and the ocean acidification seascape–studies in the california current large marine ecosystem. Biogeosciences 2014, 11, 1053–1064. [Google Scholar] [CrossRef]
- Pespeni, M.; Chan, F.; Menge, B.; Palumbi, S. Signs of adaptation to local pH conditions across an environmental mosaic in the California current ecosystem. Integr. Comp. Biol. 2013, 53, 857–870. [Google Scholar] [CrossRef] [PubMed]
- Maas, A.E.; Wishner, K.F.; Seibel, B.A. The metabolic response of pteropods to acidification reflects natural CO2-exposure in oxygen minimum zones. Biogeosciences 2012, 9, 747–757. [Google Scholar] [CrossRef]
- Feely, R.A.; Sabine, C.L.; Hernandez-Ayon, J.M.; Ianson, D.; Hales, B. Evidence for upwelling of corrosive" acidified" water onto the continental shelf. Science 2008, 320, 1490–1492. [Google Scholar] [CrossRef] [PubMed]
- Salisbury, J.; Green, M.; Hunt, C.; Campbell, J. Coastal acidification by rivers: A threat to shellfish? Eos Trans. Am. Geophys. Union 2008, 89, 513. [Google Scholar] [CrossRef]
- Wallace, R.B.; Baumann, H.; Grear, J.S.; Aller, R.C.; Gobler, C.J. Coastal ocean acidification: The other eutrophication problem. Estuar. Coast. Shelf Sci. 2014, 148, 1–13. [Google Scholar] [CrossRef]
- Paulmier, A.; Ruiz-Pino, D.; Garçon, V. CO2 maximum in the oxygen minimum zone (OMZ). Biogeosciences 2011, 8, 239–252. [Google Scholar] [CrossRef]
- Baumann, H.; Wallace, R.; Tagliaferri, T.; Gobler, C. Large natural pH, CO2 and O2 fluctuations in a temperate tidal salt marsh on diel, seasonal, and interannual time scales. Estuar. Coasts 2015, 38, 220–231. [Google Scholar] [CrossRef]
- Baumann, H.; Smith, E.M. Quantifying metabolically driven pH and oxygen fluctuations in us nearshore habitats at diel to interannual time scales. Estuar. Coasts 2018, 41, 1102–1117. [Google Scholar] [CrossRef]
- Bopp, L.; Resplandy, L.; Orr, J.; Doney, S.; Dunne, J.; Gehlen, M.; Halloran, P.; Heinze, C.; Ilyina, T.; Séférian, R. Multiple stressors of ocean ecosystems in the 21st century: Projections with CMIP5 models. Biogeosciences 2013, 10, 3627–3676. [Google Scholar] [CrossRef]
- Pörtner, H.-O. Integrating climate-related stressor effects on marine organisms: Unifying principles linking molecule to ecosystem-level changes. Mar. Ecol. Prog. Ser. 2012, 470, 273–290. [Google Scholar] [CrossRef]
- Perry, A.L.; Low, P.J.; Ellis, J.R.; Reynolds, J.D. Climate change and distribution shifts in marine fishes. Science 2005, 308, 1912–1915. [Google Scholar] [CrossRef] [PubMed]
- Poloczanska, E.S.; Brown, C.J.; Sydeman, W.J.; Kiessling, W.; Schoeman, D.S.; Moore, P.J.; Brander, K.; Bruno, J.F.; Buckley, L.B.; Burrows, M.T.; et al. Global imprint of climate change on marine life. Nat. Clim. Chang. 2013, 3, 919–925. [Google Scholar] [CrossRef]
- Pörtner, H.-O. Climate variations and the physiological basis of temperature dependent biogeography: Systemic to molecular hierarchy of thermal tolerance in animals. Comp. Biochem. Physiol. Part A Mol. Integr. Physiol. 2002, 132, 739–761. [Google Scholar] [CrossRef]
- Pörtner, H.O.; Knust, R. Climate change affects marine fishes through the oxygen limitation of thermal tolerance. Science 2007, 315, 95–97. [Google Scholar] [CrossRef] [PubMed]
- Heuer, R.M.; Grosell, M. Elevated CO2 increases energetic cost and ion movement in the marine fish intestine. Sci. Rep. 2016, 6, 34480. [Google Scholar] [CrossRef] [PubMed]
- Pörtner, H.O.; Langenbuch, M.; Michaelidis, B. Synergistic effects of temperature extremes, hypoxia, and increases in CO2 on marine animals: From earth history to global change. J. Geophys. Res. Oceans 2005, 110. [Google Scholar] [CrossRef]
- Pörtner, H.O.; Farrell, A.P. Physiology and climate change. Science 2008, 322, 690–692. [Google Scholar] [CrossRef] [PubMed]
- Strobel, A.; Bennecke, S.; Leo, E.; Mintenbeck, K.; Pörtner, H.O.; Mark, F.C. Metabolic shifts in the antarctic fish Notothenia rossii in response to rising temperature and pCO2. Front. Zool. 2012, 9, 28. [Google Scholar] [CrossRef] [PubMed]
- Enzor, L.A.; Zippay, M.L.; Place, S.P. High latitude fish in a high CO2 world: Synergistic effects of elevated temperature and carbon dioxide on the metabolic rates of Antarctic notothenioids. Comp. Biochem. Physiol. Part A Mol. Integr. Physiol. 2013, 164, 154–161. [Google Scholar] [CrossRef] [PubMed]
- Flynn, E.E.; Bjelde, B.E.; Miller, N.A.; Todgham, A.E. Ocean acidification exerts negative effects during warming conditions in a developing antarctic fish. Conserv. Physiol. 2015, 3, cov033. [Google Scholar] [CrossRef] [PubMed]
- Davis, B.E.; Flynn, E.E.; Miller, N.A.; Nelson, F.A.; Fangue, N.A.; Todgham, A.E. Antarctic emerald rockcod have the capacity to compensate for warming when uncoupled from CO2-acidification. Glob. Chang. Biol. 2018, 24, e655–e670. [Google Scholar] [CrossRef] [PubMed]
- Leo, E.; Kunz, K.L.; Schmidt, M.; Storch, D.; Pörtner, H.-O.; Mark, F.C. Mitochondrial acclimation potential to ocean acidification and warming of polar cod (Boreogadus saida) and Atlantic cod (Gadus morhua). Front. Zool. 2017, 14, 21. [Google Scholar] [CrossRef] [PubMed]
- Munday, P.L.; Crawley, N.E.; Nilsson, G.E. Interacting effects of elevated temperature and ocean acidification on the aerobic performance of coral reef fishes. Mar. Ecol. Prog. Ser. 2009, 388, 235–242. [Google Scholar] [CrossRef]
- Nowicki, J.P.; Miller, G.M.; Munday, P.L. Interactive effects of elevated temperature and CO2 on foraging behavior of juvenile coral reef fish. J. Exp. Mar. Biol. Ecol. 2012, 412, 46–51. [Google Scholar] [CrossRef]
- Bignami, S.; Sponaugle, S.; Hauff, M.; Cowen, R.K.; Browman, H.e.H. Combined effects of elevated pCO2, temperature, and starvation stress on larvae of a large tropical marine fish. ICES J. Mar. Sci. 2016, 74, 1220–1229. [Google Scholar]
- Domenici, P.; Allan, B.J.; Watson, S.-A.; McCormick, M.I.; Munday, P.L. Shifting from right to left: The combined effect of elevated CO2 and temperature on behavioural lateralization in a coral reef fish. PLoS ONE 2014, 9, e87969. [Google Scholar] [CrossRef] [PubMed]
- Tewksbury, J.J.; Huey, R.B.; Deutsch, C.A. Putting the heat on tropical animals. Sci. N. Y. Wash. 2008, 320, 1296. [Google Scholar] [CrossRef] [PubMed]
- Peck, L. Prospects for survival in the southern ocean: Vulnerability of benthic species to temperature change. Antarct. Sci. 2005, 17, 497–507. [Google Scholar] [CrossRef]
- Pörtner, H.-O.; Peck, M. Climate change effects on fishes and fisheries: Towards a cause-and-effect understanding. J. Fish Biol. 2010, 77, 1745–1779. [Google Scholar] [CrossRef] [PubMed]
- Snyder, J.T.; Murray, C.S.; Baumann, H. Potential for maternal effects on offspring CO2 sensitivities in the Atlantic silverside (Menidia menidia). J. Exp. Mar. Biol. Ecol. 2018, 499, 1–8. [Google Scholar] [CrossRef]
- Gobler, C.J.; Merlo, L.R.; Morell, B.K.; Griffith, A.W. Temperature, acidification, and food supply interact to negatively affect the growth and survival of the forage fish, Menidia beryllina (Inland silverside) and Cyprinodon variegatus (Sheepshead minnow). Front. Mar. Sci. 2018, 5, 86. [Google Scholar] [CrossRef]
- Middaugh, D.P.; Hemmer, M.J.; Goodman, L. Methods for Spawning, Culturing and Conducting Toxicity-Tests with Early Life Stages of four Atherinid Fishes: The Inland Silverside,' Menidia beryllina, Atlantic silverside, M. menidia, Tidewater silverside, M. peninsulae and California grunion, Leuresthes tenuis; EPA: Gulf Breeze, FL, USA, 1987.
- Murray, C.S.; Malvezzi, A.; Gobler, C.J.; Baumann, H. Offspring sensitivity to ocean acidification changes seasonally in a coastal marine fish. Mar. Ecol. Prog. Ser. 2014, 504, 1–11. [Google Scholar] [CrossRef]
- Murray, C.S.; Fuiman, L.A.; Baumann, H. Consequences of elevated CO2 exposure across multiple life stages in a coastal forage fish. ICES J. Mar. Sci. 2017, 74, 1051–1061. [Google Scholar]
- Malvezzi, A.J.; Murray, C.S.; Feldheim, K.A.; DiBattista, J.D.; Garant, D.; Gobler, C.J.; Chapman, D.D.; Baumann, H. A quantitative genetic approach to assess the evolutionary potential of a coastal marine fish to ocean acidification. Evol. Appl. 2015, 8, 352–362. [Google Scholar] [CrossRef] [PubMed]
- De Pasquale, E.; Baumann, H.; Gobler, C.J. Vulnerability of early life stage northwest atlantic forage fish to ocean acidification and low oxygen. Mar. Ecol. Prog. Ser. 2015, 523, 145–156. [Google Scholar] [CrossRef]
- Lopes, A.F.; Morais, P.; Pimentel, M.; Rosa, R.; Munday, P.L.; Gonçalves, E.J.; Faria, A.M. Behavioural lateralization and shoaling cohesion of fish larvae altered under ocean acidification. Mar. Biol. 2016, 163, 243. [Google Scholar] [CrossRef]
- Miller, S.H.; Breitburg, D.L.; Burrell, R.B.; Keppel, A.G. Acidification increases sensitivity to hypoxia in important forage fishes. Mar. Ecol. Prog. Ser. 2016, 549, 1–8. [Google Scholar] [CrossRef]
- Caldeira, K.; Wickett, M.E. Ocean model predictions of chemistry changes from carbon dioxide emissions to the atmosphere and ocean. J. Geophys. Res. 2005, 110, C09S04. [Google Scholar] [CrossRef]
- Stocker, T.F.; Qin, D.; Plattner, G.-K.; Tignor, M.; Allen, S.K.; Boschung, J.; Nauels, A.; Xia, Y.; Bex, V.; Midgley, P.M. Climate Change 2013: The Physical Science Basis; Cambridge University Press: Cambridge, UK; New York, NY, USA, 2014. [Google Scholar]
- Mehrbach, C.; Culberson, C.H.; Hawley, J.E.; Pytkowicx, R.M. Measurements of the apparent dissociation constants of carbonic acid in seawater at atmospheric pressure. Limnol. Oceanogr. 1973, 18, 897–907. [Google Scholar] [CrossRef]
- Dickson, A.; Millero, F. A comparison of the equilibrium constants for the dissociation of carbonic acid in seawater media. Deep Sea Res. Part A Oceanogr. Res. Pap. 1987, 34, 1733–1743. [Google Scholar] [CrossRef]
- Dickson, A.G. Standard potential of the reaction: AgCl(s) + 12H2(g) = Ag(s) + HCl(aq), and and the standard acidity constant of the ion HSO4− in synthetic sea water from 273.15 to 318.15 K. J. Chem. Thermodyn. 1990, 22, 113–127. [Google Scholar] [CrossRef]
- Warton, D.I.; Hui, F.K. The arcsine is asinine: The analysis of proportions in ecology. Ecology 2011, 92, 3–10. [Google Scholar] [CrossRef] [PubMed]
- Grubbs, F.E. Procedures for detecting outlying observations in samples. Technometrics 1969, 11, 53. [Google Scholar] [CrossRef]
- Hedges, L.V.; Gurevitch, J.; Curtis, P.S. The meta-analysis of response ratios in experimental ecology. Ecology 1999, 80, 1150–1156. [Google Scholar] [CrossRef]
- Conover, D.O.; Ross, M.R. Patterns in seasonal abundance, growth and biomass of the Atlantic silverside, Menidia menidia, in a New England estuary. Estuaries 1982, 5, 275–286. [Google Scholar] [CrossRef]
- Salinas, S.; Brown, S.C.; Marc, M.; Munch, S.B. Non-genetic inheritance and changing environments. Non Genet. Inherit. 2013, 1, 38–50. [Google Scholar] [CrossRef]
- Conover, D.O. Local adaptation in marine fishes: Evidence and implications for stock enhancement. Bull. Mar. Sci. 1998, 62, 477–493. [Google Scholar]
- Clarke, L.M.; Munch, S.B.; Thorrold, S.R.; Conover, D.O. High connectivity among locally adapted populations of a marine fish (Menidia menidia). Ecology 2010, 91, 3526–3537. [Google Scholar] [CrossRef] [PubMed]
- Pörtner, H.O. Ecosystem effects of ocean acidification in times of ocean warming: A physiologist’s view. Mar. Ecol. Prog. Ser. 2008, 373, 203–217. [Google Scholar] [CrossRef]
- Dahlke, F.T.; Leo, E.; Mark, F.C.; Pörtner, H.O.; Bickmeyer, U.; Frickenhaus, S.; Storch, D. Effects of ocean acidification increase embryonic sensitivity to thermal extremes in Atlantic cod, Gadus morhua. Glob. Chang. Biol. 2017, 23, 1499–1510. [Google Scholar] [CrossRef] [PubMed]
- Rombough, P. The energetics of embryonic growth. Respir. Physiol. Neurobiol. 2011, 178, 22–29. [Google Scholar] [CrossRef] [PubMed]
- Somero, G. The physiology of climate change: How potentials for acclimatization and genetic adaptation will determine ‘winners’ and ‘losers’. J. Exp. Biol. 2010, 213, 912–920. [Google Scholar] [CrossRef] [PubMed]
- Reusch, T.B. Climate change in the oceans: Evolutionary versus phenotypically plastic responses of marine animals and plants. Evolut. Appl. 2014, 7, 104–122. [Google Scholar] [CrossRef] [PubMed]
- Melzner, F.; Thomsen, J.; Koeve, W.; Oschlies, A.; Gutowska, M.; Bange, H.; Hansen, H.; Körtzinger, A. Future ocean acidification will be amplified by hypoxia in coastal habitats. Mar. Biol. 2013, 160, 1875–1888. [Google Scholar] [CrossRef]
- Gobler, C.J.; Baumann, H. Hypoxia and acidification in ocean ecosystems: Coupled dynamics and effects on marine life. Biol. Lett. 2016, 12, 20150976. [Google Scholar] [CrossRef] [PubMed]
- Esbaugh, A.J.; Ern, R.; Nordi, W.M.; Johnson, A.S. Respiratory plasticity is insufficient to alleviate blood acid–base disturbances after acclimation to ocean acidification in the estuarine red drum, Sciaenops ocellatus. J. Comp. Physiol. B 2016, 186, 97–109. [Google Scholar] [CrossRef] [PubMed]
- Baumann, H.; Parks, E.; Murray, C.S. Starvation rates in larval and juvenile Atlantic silversides (Menidia menidia) are unaffected by high CO2 conditions. Mar. Biol. 2018, 165, 75. [Google Scholar] [CrossRef]
- Pechenik, J.A. Larval experience and latent effects—Metamorphosis is not a new beginning. Integr. Comp. Biol. 2006, 46, 323–333. [Google Scholar] [CrossRef] [PubMed]
- Schultz, E.T.; Conover, D.O.; Ehtisham, A. The dead of winter: Size-dependent variation and genetic differences in seasonal mortality among Atlantic silverside (Atherinidae: Menidia menidia) from different latitudes. Can. J. Fish. Aquat. Sci. 1998, 55, 1149–1157. [Google Scholar] [CrossRef]
- Kroeker, K.J.; Kordas, R.L.; Crim, R.; Hendriks, I.E.; Ramajo, L.; Singh, G.S.; Duarte, C.M.; Gattuso, J.-P. Impacts of ocean acidification on marine organisms: Quantifying sensitivities and interaction with warming. Glob. Chang. Biol. 2013, 19, 1884–1896. [Google Scholar] [CrossRef] [PubMed]
- Green, B.S. Maternal effects in fish populations. Adv. Mar. Biol. 2008, 54, 1–105. [Google Scholar] [PubMed]
- Hoffmann, A.A.; Sgrò, C.M. Climate change and evolutionary adaptation. Nature 2011, 470, 479–485. [Google Scholar] [CrossRef] [PubMed]
- Lefevre, S. Are global warming and ocean acidification conspiring against marine ectotherms? A meta-analysis of the respiratory effects of elevated temperature, high CO2 and their interaction. Conserv. Physiol. 2016, 4, cow009. [Google Scholar] [CrossRef] [PubMed]



| Target Treatment Levels | |||||
|---|---|---|---|---|---|
| Exp Num | Fertilization Date | pCO2 | Temp | Number of Replicates | Measured Traits |
| 1 | 5/5/2014 | 400, 2200, 6000 | 17, 24 | 5 | ES, LS |
| 2 | 4/22/2016 | 400, 2200 | 17, 24 | 5 | ES, HL, LS, GR |
| 3 | 5/19/2016 | 400, 2200, 4000 | 17, 20, 24 | 5 | ES, HL, LS, GR |
| 4 | 4/28/2017 | 400, 2200 | 24, 28 | 3 | ES, HL, LS, GR |
| 5 | 5/26/2017 | 400, 2200, 4000 | 24, 28 | 5 | ES, HL, LS, GR |
| Exp Num | Target Temp | Measured Temp | Target pCO2 | Measured pH | Salinity | AT | CT | pCO2 | fCO2 | CO32− |
|---|---|---|---|---|---|---|---|---|---|---|
| 1 | 17 | 17.5 ± 0.1 | 400 | 8.24 ± 0.02 | 26 | 2514 ± 17 | 2302 ± 12 | 433 ± 29 | 431 ± 29 | 168 ± 8 |
| 17.5 ± 0.1 | 2200 | 7.49 ± 0.05 | 26 | 2539 ± 22 | 2581 ± 5 | 2564 ± 94 | 2556 ± 94 | 38 ± 1 | ||
| 17.5 ± 0.1 | 6000 | 7.14 ± 0.05 | 26 | 2492 ± 33 | 2680 ± 11 | 5753 ± 277 | 6733 ± 276 | 17 ± 1 | ||
| 24 | 24.0 ± 0.2 | 400 | 8.20 ± 0.06 | 26 | 2501 ± 7 | 2258 ± 11 | 474 ± 27 | 472 ± 27 | 191 ± 7 | |
| 24.0 ± 0.2 | 2200 | 7.47 ± 0.05 | 26 | 2474 ± 81 | 2504 ± 8 | 2881 ± 172 | 2872 ± 172 | 42 ± 2 | ||
| 24.0 ± 0.2 | 6000 | 7.14 ± 0.05 | 26 | 2472 ± 49 | 2634 ± 13 | 6195 ± 378 | 6174 ± 378 | 20 ± 1 | ||
| 2 | 17 | 16.9 ± 0.3 | 400 | 8.17 ± 0.12 | 30 | 2038 ± 17 | 1851 ± 8 | 368 ± 18 | 367 ± 18 | 135 ± 6 |
| 16.9 ± 0.3 | 2200 | 7.49 ± 0.13 | 30 | 2031 ± 12 | 2058 ± 21 | 2037 ± 188 | 2030 ± 188 | 32 ± 2 | ||
| 24 | 23.5 ± 0.3 | 400 | 8.13 ± 0.09 | 30 | 204 ± 11 | 1838 ± 16 | 427 ± 29 | 426 ± 29 | 150 ± 7 | |
| 23.6 ± 0.3 | 2200 | 7.49 ± 0.12 | 30 | 2041 ± 11 | 2048 ± 7 | 2190 ± 277 | 2183 ± 276 | 5 ± 5 | ||
| 3 | 17 | 17.4 ± 0.2 | 400 | 8.22 ± 0.01 | 31 | 2054 ± 8 | 1838 ± 26 | 322 ± 12 | 321 ± 12 | 153 ± 2 |
| 17.6 ± 0.3 | 2200 | 7.51 ± 0.01 | 31 | 2047 ± 20 | 2066 ± 21 | 1952 ± 39 | 1945 ± 39 | 35 ± 1 | ||
| 17.4 ± 0.2 | 4200 | 7.20 ± 0.02 | 31 | 2053 ± 24 | 2174 ± 16 | 4056 ± 204 | 4042 ± 203 | 18 ± 1 | ||
| 20 | 19.7 ± 0.2 | 400 | 8.20 ± 0.02 | 31 | 2048 ± 29 | 1833 ± 3 | 345 ± 15 | 345 ± 15 | 160 ± 6 | |
| 19.6 ± 0.3 | 2200 | 7.51 ± 0.03 | 31 | 2031 ± 14 | 2039 ± 10 | 1964 ± 109 | 1957 ± 108 | 38 ± 2 | ||
| 19.7 ± 0.2 | 4200 | 7.21 ± 0.02 | 31 | 2058 ± 6 | 2153 ± 37 | 4066 ± 227 | 4063 ± 226 | 20 ± 1 | ||
| 24 | 23.7 ± 0.2 | 400 | 8.22 ± 0.02 | 31 | 2044 ± 9 | 1798 ± 8 | 331 ± 14 | 330 ± 14 | 185 ± 5 | |
| 23.7 ± 0.3 | 2200 | 7.49 ± 0.02 | 31 | 2048 ± 22 | 2050 ± 25 | 2157 ± 92 | 2151 ± 92 | 42 ± 1 | ||
| 23.6 ± 0.2 | 4200 | 7.20 ± 0.02 | 31 | 2059 ± 1 | 2140 ± 8 | 4339 ± 169 | 4325 ± 169 | 22 ± 1 | ||
| 4 | 24 | 23.6 ± 0.3 | 400 | 8.19 ± 0.03 | 31 | 2096 ± 63 | 1842 ± 64 | 368 ± 38 | 367 ± 38 | 180 ± 10 |
| 23.7 ± 0.3 | 2200 | 7.51 ± 0.03 | 31 | 2124 ± 51 | 2122 ± 44 | 2155 ± 83 | 2148 ± 82 | 45 ± 4 | ||
| 28 | 28.1 ± 0.2 | 400 | 8.22 ± 0.03 | 32 | 2164 ± 88 | 1860 ± 85 | 356 ± 35 | 355 ± 34 | 216 ± 11 | |
| 27.9 ± 0.4 | 2200 | 7.52 ± 0.03 | 32 | 2164 ± 117 | 2146 ± 113 | 2217 ± 134 | 2210 ± 133 | 54 ± 6 | ||
| 5 | 24 | 24.3 ± 0.4 | 400 | 8.19 ± 0.02 | 32 | 2137 ± 3 | 1897 ± 13 | 389 ± 23 | 388 ± 23 | 175 ± 8 |
| 24.1 ± 0.2 | 2200 | 7.50 ± 0.04 | 32 | 2151 ± 14 | 2156 ± 27 | 2265 ± 228 | 2258 ± 227 | 43 ± 4 | ||
| 24.2 ± 0.3 | 4200 | 7.21 ± 0.02 | 32 | 2130 ± 27 | 2230 ± 25 | 4432 ± 180 | 4418 ± 179 | 23 ± 1 | ||
| 28 | 28.2 ± 0.2 | 400 | 8.23 ± 0.02 | 32 | 2157 ± 24 | 1857 ± 29 | 350 ± 19 | 348 ± 19 | 215 ± 4 | |
| 28.1 ± 0.2 | 2200 | 7.48 ± 0.02 | 32 | 2176 ± 50 | 2172 ± 48 | 2439 ± 84 | 2431 ± 83 | 49 ± 2 | ||
| 28.2 ± 0.3 | 4200 | 7.20 ± 0.03 | 32 | 2155 ± 20 | 2244 ± 18 | 4720 ± 217 | 4714 ± 204 | 26 ± 1 |
| Exp Num | Temp (°C) | Treatment CO2 | Days to First Hatch | Age at Hatch Sample (dpf) | Embryo Survival (%) | Hatch Length (mm) | Age at Larval Sample (dpf) | Larval Survival (%) | Growth Rate (mm d1−) |
|---|---|---|---|---|---|---|---|---|---|
| 1 | 17 | C | 13 | 14 | 68 ± 4 | 26 | 34 ± 9 | ||
| H | 13 | 14 | 74 ± 3 | 26 | 50 ± 22 | ||||
| E | 13 | 14 | 56 ± 6 | 26 | 43 ± 28 | ||||
| 24 | C | 6 | 7 | 65 ± 4 | 16 | 44 ± 10 | |||
| H | 6 | 7 | 65 ± 3 | 16 | 53 ± 13 | ||||
| E | 6 | 7 | 56 ± 8 | 16 | 37 ± 28 | ||||
| 2 | 17 | C | 13 | 15 | 92 ± 3 | 5.32 ± 0.05 | 30 | 21 ± 8 | 0.18 ± 0.03 |
| H | 13 | 15 | 87 ± 11 | 5.29 ± 0.05 | 30 | 11 ± 7 | 0.16 ± 0.04 | ||
| 24 | C | 6 | 7 | 88 ± 7 | 5.30 ± 0.14 | 16 | 32 ± 33 | 0.41 ± 0.05 | |
| H | 6 | 7 | 76 ± 6 | 5.35 ± 0.06 | 16 | 26 ± 7 | 0.40 ± 0.05 | ||
| 3 | 17 | C | 13 | 15 | 93 ± 5 | 5.37 ± 0.05 | 36 | 32 ± 8 | 0.21 ± 0.02 |
| H | 13 | 15 | 95 ± 5 | 5.42 ± 0.12 | 36 | 56 ± 21 | 0.20 ± 0.02 | ||
| E | 13 | 15 | 89 ± 6 | 5.42 ± 0.11 | 36 | 59 ± 14 | 0.19 ± 0.01 | ||
| 20 | C | 10 | 11 | 96 ± 5 | 5.55 ± 0.11 | 25 | 82 ± 10 | 0.33 ± 0.02 | |
| H | 10 | 11 | 95 ± 5 | 5.62 ± 0.09 | 25 | 77 ± 14 | 0.32 ± 0.02 | ||
| E | 10 | 11 | 94 ± 7 | 5.42 ± 0.08 | 25 | 75 ± 22 | 0.33 ± 0.03 | ||
| 24 | C | 6 | 7 | 95 ± 5 | 5.51 ± 0.09 | 16 | 72 ± 8 | 0.37 ± 0.02 | |
| H | 6 | 7 | 95 ± 6 | 5.32 ± 0.05 | 16 | 74 ± 9 | 0.35 ± 0.03 | ||
| E | 6 | 7 | 92 ± 9 | 5.22 ± 0.11 | 16 | 69 ± 14 | 0.37 ± 0.05 | ||
| 4 | 24 | C | 6 | 6 | 62 ± 9 | 4.98 ± 0.07 | 16 | 33 ± 10 | 0.33 ± 0.04 |
| H | 6 | 6 | 51 ± 7 | 4.98 ± 0.10 | 16 | 36 ± 32 | 0.33 ± 0.01 | ||
| 28 | C | 5 | 5 | 46 ± 5 | 4.76 ± 0.04 | 14 | 31 ± 35 | 0.48 ± 0.09 | |
| H | 5 | 5 | 49 ± 3 | 4.62 ± 0.09 | 14 | 40 ± 27 | 0.44 ± 0.08 | ||
| 5 | 24 | C | 6 | 6 | 74 ± 13 | 4.78 ± 0.07 | 16 | 41 ± 27 | 0.33 ± 0.06 |
| H | 6 | 6 | 83 ± 12 | 4.90 ± 0.16 | 16 | 37 ± 20 | 0.36 ± 0.05 | ||
| E | 6 | 6 | 55 ± 3 | 4.83 ± 0.10 | 16 | 29 ± 28 | 0.33 ± 0.05 | ||
| 28 | C | 5 | 5 | 80 ± 13 | 4.54 ± 0.10 | 14 | 14 ± 7 | 0.40 ± 0.04 | |
| H | 5 | 5 | 67 ± 9 | 4.69 ± 0.10 | 14 | 14 ± 9 | 0.42 ± 0.03 | ||
| E | 5 | 5 | 72 ± 13 | 4.70 ± 0.05 | 14 | 9 ± 6 | 0.38 ± 0.08 |
| Trait | Factor | F | df | p |
|---|---|---|---|---|
| ES | CO2 | 2.992 | 2 | 0.058 |
| Temp | 1.140 | 3 | 0.336 | |
| CO2 × Temp | 0.677 | 6 | 0.669 | |
| Experiment | 33.581 | 4 | <0.001 | |
| HL | CO2 | 1.895 | 2 | 0.156 |
| Temp | 19.518 | 3 | <0.001 | |
| CO2 × Temp | 3.021 | 6 | 0.010 | |
| Experiment | 75.361 | 3 | <0.001 | |
| LS | CO2 | 0.296 | 2 | 0.756 |
| Temp | 9.429 | 3 | <0.001 | |
| CO2 × Temp | 0.759 | 6 | 0.614 | |
| Experiment | 12.385 | 4 | <0.001 | |
| GR | CO2 | 0.457 | 2 | 0.595 |
| Temp | 77.964 | 3 | <0.001 | |
| CO2 ×Temp | 0.515 | 6 | 0.838 | |
| Experiment | 3.330 | 3 | 0.012 |
© 2018 by the authors. Licensee MDPI, Basel, Switzerland. This article is an open access article distributed under the terms and conditions of the Creative Commons Attribution (CC BY) license (http://creativecommons.org/licenses/by/4.0/).
Share and Cite
Murray, C.S.; Baumann, H. You Better Repeat It: Complex CO2 × Temperature Effects in Atlantic Silverside Offspring Revealed by Serial Experimentation. Diversity 2018, 10, 69. https://doi.org/10.3390/d10030069
Murray CS, Baumann H. You Better Repeat It: Complex CO2 × Temperature Effects in Atlantic Silverside Offspring Revealed by Serial Experimentation. Diversity. 2018; 10(3):69. https://doi.org/10.3390/d10030069
Chicago/Turabian StyleMurray, Christopher S., and Hannes Baumann. 2018. "You Better Repeat It: Complex CO2 × Temperature Effects in Atlantic Silverside Offspring Revealed by Serial Experimentation" Diversity 10, no. 3: 69. https://doi.org/10.3390/d10030069
APA StyleMurray, C. S., & Baumann, H. (2018). You Better Repeat It: Complex CO2 × Temperature Effects in Atlantic Silverside Offspring Revealed by Serial Experimentation. Diversity, 10(3), 69. https://doi.org/10.3390/d10030069

