Synthesis of 1-(Naphthalen-2-yl)-3-(3-(triethoxysilyl)propyl)urea and Determination of Its Crystal Structure
Abstract
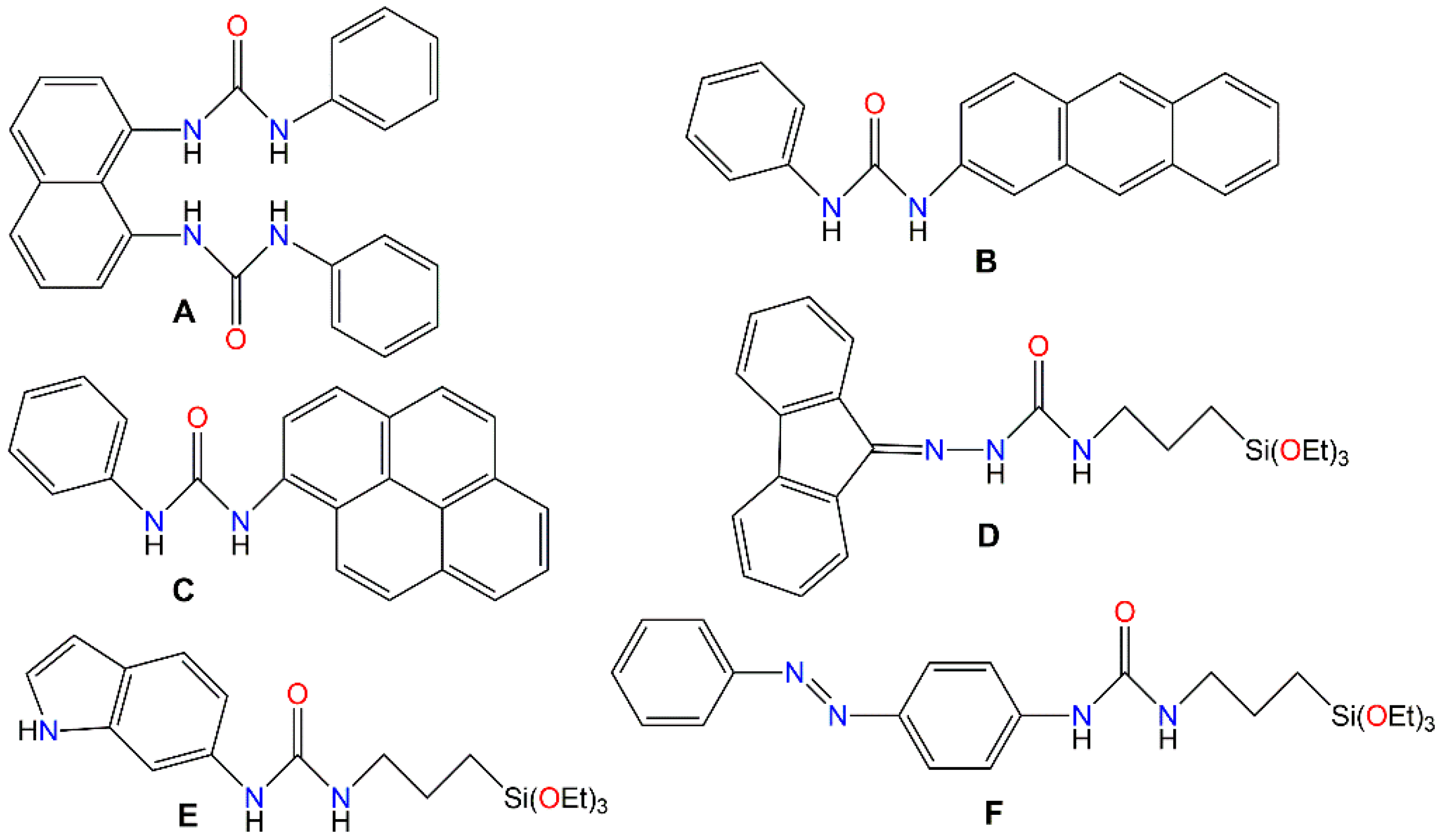
1. Introduction
2. Results and Discussion
2.1. Synthesis and Characterization of N-(2-Naphthyl)-N′-(triethoxysilanepropyl) Urea
2.2. Supramolecular Features
2.3. Investigation of Halide Detection by UV–Vis Absorption and Emission Spectroscopy
3. Materials and Methods
4. Conclusions
Supplementary Materials
Author Contributions
Funding
Data Availability Statement
Acknowledgments
Conflicts of Interest
References
- Schmidtchen, F.P.; Berger, M. Artificial Organic Host Molecules for Anions. Chem. Rev. 1997, 97, 1609–1646. [Google Scholar] [CrossRef]
- Beer, P.D.; Gale, P.A. Anion Recognition and Sensing: The State of the Art and Future Perspectives. Angew. Chem. Int. Ed. 2001, 40, 486–516. [Google Scholar] [CrossRef]
- Gale, P.A. Anion and ion-pair receptor chemistry: Highlights from 2000 and 2001. Coord. Chem. Rev. 2003, 240, 191–221. [Google Scholar] [CrossRef]
- Andrews, N.J.; Haynes, C.J.E.; Light, M.E.; Moore, S.J.; Tong, C.C.; Davis, J.T.; William, A.; Harrell, W.A.; Gale, P.A. Structurally simple lipid bilayer transport agents for chloride and bicarbonate. Chem. Sci. 2012, 3, 2501–2509. [Google Scholar] [CrossRef]
- Busschaert, N.; Caltagirone, C.; Van Rossom, W.; Gale, P.A. Applications of Supramolecular Anion Recognition. Chem. Rev. 2015, 115, 8038–8155. [Google Scholar] [CrossRef]
- Singh, G.; Saroa, A.; Girdhar, S.; Rani, S.; Choquesillo-Lazarte, D.; Sahoo, S.C. Incorporation of azo group at axial position of silatranes: Synthesis, characterization and antimicrobial activity. Appl. Organometal. Chem. 2015, 29, 549–555. [Google Scholar] [CrossRef]
- Smith, P.J.; Reddington, M.V.; Wilcox, C.S. Ion pair binding by a urea in chloroform solution. Tetrahedron Lett. 1992, 33, 6085–6088. [Google Scholar] [CrossRef]
- Fan, E.; van Arman, S.A.; Kincaid, S.; Hamilton, A.D. Molecular recognition: Hydrogen-bonding receptors that function in highly competitive solvent. J. Am. Chem. Soc. 1993, 115, 369–370. [Google Scholar] [CrossRef]
- Scheerder, J.; Engbersen, J.F.J.; Casnati, A.; Ungaro, R.; Reinhoudt, D.N. Complexation of Halide Anions and Tricarboxylate Anions by Neutral Urea-Derivatized p-tert-Butylcalix [6] arenes. J. Org. Chem. 1995, 60, 6448–6454. [Google Scholar] [CrossRef]
- Hughes, M.P.; Shang, M.; Smith, B.D. High affinity, carboxylate binding using neutral urea-based receptors with internal Lewis acid coordination. J. Org. Chem. 1996, 61, 4510–4511. [Google Scholar] [CrossRef]
- Hughes, M.P.; Smith, B.D. Enhanced carboxylate binding using urea and amide-based receptors with internal Lewis acid coordination: A cooperative polarization effect. J. Org. Chem. 1997, 62, 4492–4499. [Google Scholar] [CrossRef]
- Fitzmaurice, R.J.; Kyne, G.M.; Douheret, D.; Kilburn, J.D. Synthetic receptors for carboxylic acids and carboxylates. J. Chem. Soc. Perkin Trans. 1 2002, 841–864. [Google Scholar] [CrossRef]
- Evans, A.J.; Matthews, S.E.; Cowley, A.R.; Beer, P.D. Anion binding by calix [4] arene ferrocene ureas. Dalton Trans. 2003, 4644–4650. [Google Scholar] [CrossRef]
- Miyaji, H.; Collinson, S.R.; Prokes, I.; Tucker, J.H.R. A ditopic ferrocene receptor for anions and cations that functions as a chromogenic molecular switch. Chem. Commun. 2003, 64–65. [Google Scholar] [CrossRef] [PubMed]
- Barboiu, M.; Vaughan, G.; van der Lee, A. Self-Organized Heteroditopic Macrocyclic Superstructures. Org. Lett. 2003, 5, 3073–3076. [Google Scholar] [CrossRef]
- Cho, E.J.; Moon, J.W.; Ko, S.W.; Lee, J.Y.; Kim, S.K.; Yoon, J.; Nam, K.C. A New Fluoride Selective Fluorescent as Well as Chromogenic Chemosensor Containing a Naphthalene Urea Derivative. J. Am. Chem, Soc. 2003, 125, 12376–12377. [Google Scholar] [CrossRef]
- Amendola, V.; Bergamaschi, G.; Boiocchi, M.; Fabbrizzi, L.; Mosca, L. The Interaction of Fluoride with Fluorogenic Ureas: An ON1−OFF−ON2 Response. J. Am. Chem. Soc. 2013, 135, 6345–6355. [Google Scholar] [CrossRef]
- Herlem, G.; Kandory, A.; Kinghat Tangou, R.; Gharbi, T.; Cattey, H.; Knorr, M.; Khatyr, A. Electrochemical deposition of a luminescent alkoxysilyl-based fluorenone film exhibiting halide sensitivity. J. Solid State Sci. Technol. 2017, 6, 7–13. [Google Scholar] [CrossRef]
- Barboiu, M.; Caraballo, R.; Arnal-Hrault, C.; Perriat, P.; Lee, A.; Pasc, A. Ion-Conduction Pathways in Self-Organised Ureidoarene-Heteropolysiloxane Hybrid Membranes. Chem. Eur. J. 2008, 14, 1776–1783. [Google Scholar] [CrossRef]
- Liu, N.; Dunphy, D.R.; Rodriguez, M.A.; Singerb, S.; Brinker, J. Synthesis and crystallographic structure of a novel photoresponsive azobenzene-containing organosilane. Chem. Commun. 2003, 1144–1145. [Google Scholar] [CrossRef]
- Varga, G.; Szeman, J.; Szente, L.; Csabai, P.; Kékesi, K. Chromatographic Stationary Phase for Separation of Cyclodextrine and Derivatives Thereof. International Patent WO 2005/105257 A1, 2005. [Google Scholar]
- Moreau, J.E.; Pichon, B.P.; Man, M.W.C.; Bied, C.; Pritzkow, H.; Bantignies, J.-L.; Dieudonn, P.; Sauvajol, J.-L. ABetter Understanding of the Self-Structuration of Bridged Silsesquioxanes. Angew. Chem. Int. Ed. 2004, 43, 203–206. [Google Scholar] [CrossRef] [PubMed]
- Singha, G.; Saroa, A.; Rani, S.; Girdhar, S.; Sahoo, S.; Choquesillo-Lazarte, D. Substituted phenyl urea and thiourea silatranes: Synthesis, characterization and anion recognition properties by photophysical and theoretical studies. Polyhedron 2016, 112, 51–60. [Google Scholar] [CrossRef]
- Blažek, V.; Molčanov, K.; Mlinarić-Majerski, K.; Kojić-Prodić, B.; Basarić, N. Adamantane bisurea derivatives: Anion binding in the solution and in the solid state. Tetrahedron 2013, 69, 517–526. [Google Scholar] [CrossRef]
- Spackman, M.A.; Jayatilaka, D. Hirshfeld Surface Analysis. Cryst. Eng. Comm. 2009, 11, 19–32. [Google Scholar] [CrossRef]
- Turner, M.J.; McKinnon, J.J.; Wolff, S.K.; Grimwood, D.J.; Spackman, P.R.; Jayatilaka, D.; Spackman, M.A. CrystalExplorer17.5; University of Western Australia: Perth, Australia, 2017; Available online: https://crystalexplorer.net (accessed on 1 June 2025).
- Moore, S.J.; Wenzel, M.; Light, M.E.; Morley, R.; Bradberry, S.J.; Gomez-Iglesias, P.; Soto-Cerrato, V.; Perez-Tomasc, R.; Gale, P.A. Towards ‘‘drug-like’’ indole-based transmembrane anion transporters. Chem. Sci. 2012, 3, 2501–2509. [Google Scholar] [CrossRef]
- Amendola, V.; Boiocchi, M.; Colasson, B.; Fabbrizzi, L. Metal-Controlled Assembly and Selectivity of a Urea-Based Anion Receptor. Inorg.Chem. 2006, 45, 6138–6147. [Google Scholar] [CrossRef]
- Pramanik, A.; Powell, D.R.; Wong, B.M.; Hossain, M.A. Spectroscopic, Structural, and Theoretical Studies of Halide Complexes with a Urea-Based Tripodal Receptor. Inorg. Chem. 2012, 51, 4274–4284. [Google Scholar] [CrossRef]
- Basak, M.; Das, A.; Das, G. Exploring cyclohexane/piperazine-urea motifs for spherical halide (X = Cl−/Br−) recognition: Effects on anion coordination, photoluminescence, and morphological tunability. CrystEngComm 2021, 23, 7771–7780. [Google Scholar] [CrossRef]
- Dolomanov, O.V.; Bourhis, L.J.; Gildea, R.J.; Howard, J.A.K.; Puschmann, H. Olex2: A Complete Structure Solution, Refinement and Analysis Program. J. Appl. Crystallogr. 2009, 42, 339–341. [Google Scholar] [CrossRef]
- Sheldrick, G.M. SHELXT—Integrated Space-Group and Crystal-Structure Determination. Acta Crystallogr. Sect. A 2015, 71, 3–8. [Google Scholar] [CrossRef]
- Sheldrick, G.M. Crystal Structure Refinement with SHELXL. Acta Crystallogr. Sect. C 2015, 71, 3–8. [Google Scholar] [CrossRef]








Disclaimer/Publisher’s Note: The statements, opinions and data contained in all publications are solely those of the individual author(s) and contributor(s) and not of MDPI and/or the editor(s). MDPI and/or the editor(s) disclaim responsibility for any injury to people or property resulting from any ideas, methods, instructions or products referred to in the content. |
© 2026 by the authors. Licensee MDPI, Basel, Switzerland. This article is an open access article distributed under the terms and conditions of the Creative Commons Attribution (CC BY) license.
Share and Cite
Khatyr, A.; Jourdain, I.; Knorr, M.; Strohmann, C.; Schrimpf, T. Synthesis of 1-(Naphthalen-2-yl)-3-(3-(triethoxysilyl)propyl)urea and Determination of Its Crystal Structure. Molbank 2026, 2026, M2129. https://doi.org/10.3390/M2129
Khatyr A, Jourdain I, Knorr M, Strohmann C, Schrimpf T. Synthesis of 1-(Naphthalen-2-yl)-3-(3-(triethoxysilyl)propyl)urea and Determination of Its Crystal Structure. Molbank. 2026; 2026(1):M2129. https://doi.org/10.3390/M2129
Chicago/Turabian StyleKhatyr, Abderrahim, Isabelle Jourdain, Michael Knorr, Carsten Strohmann, and Tobias Schrimpf. 2026. "Synthesis of 1-(Naphthalen-2-yl)-3-(3-(triethoxysilyl)propyl)urea and Determination of Its Crystal Structure" Molbank 2026, no. 1: M2129. https://doi.org/10.3390/M2129
APA StyleKhatyr, A., Jourdain, I., Knorr, M., Strohmann, C., & Schrimpf, T. (2026). Synthesis of 1-(Naphthalen-2-yl)-3-(3-(triethoxysilyl)propyl)urea and Determination of Its Crystal Structure. Molbank, 2026(1), M2129. https://doi.org/10.3390/M2129

