(Z)-1-(3,5-Dichloro-2H-pyrrol-2-ylidene)-N,N-dimethylmethanamine
Abstract
1. Introduction
2. Results
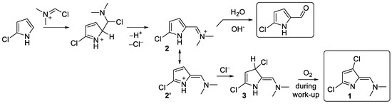
2.1. Synthesis of (Z)-1-(3,5-Dichloro-2-pyrrolylidene)-N,N-dimethylmethanamine
2.2. XRD Studies
3. Materials and Methods
Supplementary Materials
Author Contributions
Funding
Data Availability Statement
Acknowledgments
Conflicts of Interest
References
- Neena, N.; Chaudhri, V.; Singh, F.V.; China, H.; Dohi, T. Synthetic Utility of the Vilsmeier–Haack Reagent in Organic Synthesis. Synlett 2023, 34, 777–792. [Google Scholar]
- Su, W.; Weng, Y.; Jiang, L.; Yang, Y.; Zhao, L.; Chen, Z.; Li, Z.; Li, J. Recent Progress in the Use of Vilsmeier-Type Reagents. Org. Prep. Proced. Int. 2010, 42, 503–555. [Google Scholar] [CrossRef]
- 2-Pyrrolealdehyde. Org. Synth. 1956, 36, 74. [CrossRef]
- Badalyan, K.S.; Akopyan, A.E.; Attaryan, H.S.; Asratyan, G.V. Vilsmeier-Haack formylation of 1H-pyrazoles. Russ. J. Gen. Chem. 2014, 84, 793–795. [Google Scholar] [CrossRef]
- Chahal, M.; Dhillon, S.; Rani, P.; Kumari, G.; Aneja, D.K.; Kinger, M. Unravelling the Synthetic and Therapeutic Aspects of Five, Six and Fused Heterocycles Using Vilsmeier–Haack Reagent. RSC Adv. 2023, 13, 26604–26629. [Google Scholar] [CrossRef] [PubMed]
- Jones, G.; Stanforth, S.P. The Vilsmeier reaction of non-aromatic compounds. In Organic Reactions; Jones, G., Stanforth, S.P., Eds.; John Wiley: New York, NY, USA, 2000; Volume 56, p. 355. [Google Scholar]
- Yu, C.; Hao, E.; Sun, Y.; Jiao, L. Recent Advances in Highly Fluorescent Hydrazine-Inserted Pyrrole-Based Diboron-Anchoring Fluorophores: Synthesis and Properties. Synlett 2023, 35, 37–54. [Google Scholar] [CrossRef]
- Cordell, G.A. 2-Halopyrroles. Synthesis and chemistry. J. Org. Chem. 1975, 40, 3161–3169. [Google Scholar] [CrossRef]
- Sheldrick, G.M. SADABS, Program for Area Detector Adsorption Correction; Institute for Inorganic Chemistry, University of Goettingen: Goettingen, Germany, 1996. [Google Scholar]
- Sheldrick, G.M. Crystal structure refinement with SHELXL. Acta Crystallogr. Sect. C 2015, 71, 3–8. [Google Scholar] [CrossRef] [PubMed]
- Dolomanov, O.V.; Bourhis, L.J.; Gildea, R.J.; Howard, J.A.K.; Puschmann, H. OLEX2: A complete structure solution, refinement and analysis program. J. Appl. Crystallogr. 2009, 42, 339–341. [Google Scholar] [CrossRef]
- Leen, V.; Leemans, T.; Boens, N.; Dehaen, W. 2- and 3-Monohalogenated BODIPY Dyes and Their Functionalized Analogues: Synthesis and Spectroscopy. Eur. J. Org. Chem. 2011, 23, 4386–4396. [Google Scholar] [CrossRef]




Disclaimer/Publisher’s Note: The statements, opinions and data contained in all publications are solely those of the individual author(s) and contributor(s) and not of MDPI and/or the editor(s). MDPI and/or the editor(s) disclaim responsibility for any injury to people or property resulting from any ideas, methods, instructions or products referred to in the content. |
© 2025 by the authors. Licensee MDPI, Basel, Switzerland. This article is an open access article distributed under the terms and conditions of the Creative Commons Attribution (CC BY) license (https://creativecommons.org/licenses/by/4.0/).
Share and Cite
Rykunov, D.; Sonina, A.; Vorob’ev, A. (Z)-1-(3,5-Dichloro-2H-pyrrol-2-ylidene)-N,N-dimethylmethanamine. Molbank 2025, 2025, M1979. https://doi.org/10.3390/M1979
Rykunov D, Sonina A, Vorob’ev A. (Z)-1-(3,5-Dichloro-2H-pyrrol-2-ylidene)-N,N-dimethylmethanamine. Molbank. 2025; 2025(1):M1979. https://doi.org/10.3390/M1979
Chicago/Turabian StyleRykunov, Daniil, Alina Sonina, and Aleksey Vorob’ev. 2025. "(Z)-1-(3,5-Dichloro-2H-pyrrol-2-ylidene)-N,N-dimethylmethanamine" Molbank 2025, no. 1: M1979. https://doi.org/10.3390/M1979
APA StyleRykunov, D., Sonina, A., & Vorob’ev, A. (2025). (Z)-1-(3,5-Dichloro-2H-pyrrol-2-ylidene)-N,N-dimethylmethanamine. Molbank, 2025(1), M1979. https://doi.org/10.3390/M1979
