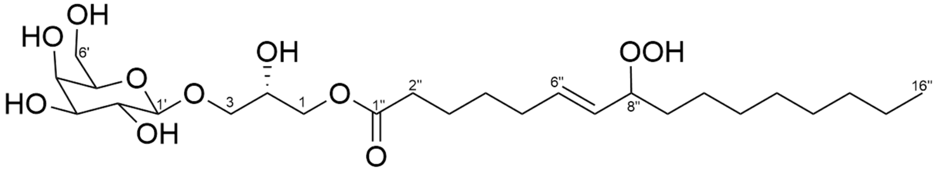
(S)-2-Hydroxy-3-(((2R,3R,4S,5R,6R)-3,4,5-trihydroxy-6-(hydroxymethyl)tetrahydro-2H-pyran-2-yl)oxy)propyl (E)-8-Hydroperoxyhexadec-6-enoate
Abstract
1. Introduction
2. Results and Discussion
3. Materials and Methods
3.1. General Procedure and Method
3.2. Biological Materials
3.3. Isolation of Compound (1)
3.4. Preparation of Compound (2)
Supplementary Materials
Author Contributions
Funding
Data Availability Statement
Conflicts of Interest
References
- Wasternack, C. Jasmonates: An Update on Biosynthesis, Signal Transduction and Action in Plant Stress Response, Growth and Development. Ann. Bot. 2007, 100, 681–697. [Google Scholar] [CrossRef] [PubMed]
- Parchem, K.; Letsiou, S.; Petan, T.; Oskolkova, O.; Medina, I.; Kuda, O.; O’Donnell, V.B.; Nicolaou, A.; Fedorova, M.; Bochkov, V.; et al. Oxylipin profiling for clinical research: Current status and future perspectives. Prog. Lipid Res. 2024, 95, 101276. [Google Scholar] [CrossRef] [PubMed]
- Bos, C.L.; Richel, D.J.; Ritsema, T.; Peppelenbosch, M.P.; Versteeg, H.H. Prostanoids and prostanoid receptors in signal transduction. Int. J. Biochem. Cell Biol. 2004, 36, 1187–1205. [Google Scholar] [CrossRef] [PubMed]
- A Howe, G.; Schilmiller, A.L. Oxylipin metabolism in response to stress. Curr. Opin. Plant Biol. 2002, 5, 230–236. [Google Scholar] [CrossRef] [PubMed]
- Nishino, H.; Kanda, N.; Zhang, B.T.; Kamio, M.; Uchida, H.; Sugahara, K.; Nagai, H.; Satake, M. Okeanic acid–A, a trihydroxy fatty acid from the Okinawan cyanobacterium Okeania hirsuta. Nat. Prod. Res. 2024, 1–8. [Google Scholar] [CrossRef] [PubMed]
- Nishino, H.; Zhang, B.-T.; Uchida, H.; Kamio, M.; Nagai, H.; Satake, M. (10E,15Z)-12-(Dimethylsulfonio)-9,13-dihydroxyoctadeca-10,15-dienoate. Molbank 2024, 2024, M1784. [Google Scholar] [CrossRef]
- Smith, M.W.; Brown, R.; Smullin, S.; Eager, J. Photosensitized peroxidation of lipids: An Experiment Using 1H-NMR. J. Chem. Edu. 1997, 74, 1471–1473. [Google Scholar] [CrossRef]
- Kikuchi, H.; Tsukitani, Y.; Manda, T.; Fujii, T.; Nakanishi, H.; Kobayashi, M.; Kitagawa, I. Marine Natural Products. X. Pharmacological Active Glycolipids from the Okinawan Marine Sponge Phyllospongia foliascens (Pallas). Chem. Pharm. Bull. 1982, 30, 3544–3547. [Google Scholar] [CrossRef]
- Han, C.; Yamano, Y.; Kakiuchi, F.; Nakamura, K.; Uemura, D. Grubbs carbene complex-catalyzed cleavage of allyl vic-diols to aldehydes with a co-oxidant application to the selective cleavage of huge marine molecules. Tetrahedron 2011, 67, 9622–9626. [Google Scholar]



| Position | δH (ppm, J in Hz) | δC, (ppm, Type) |
|---|---|---|
| 1′ | 4.26, d (7.2) | 105.2, CH |
| 2′ | 3.53, overlap | 72.5, CH |
| 3′ | 3.51, dd (9.3, 2.8) | 74.7, CH |
| 4′ | 3.88, brs | 69.9, CH |
| 5′ | 3.55, m | 76.3, CH |
| 6′ | 3.76, m | 62.4, CH2 |
| 1 | 4.12, d (5.4) | 66.1, CH2 |
| 2 | 3.94, m | 69.3, CH |
| 3a | 3.66, dd (10.7, 4.8) | 72.1, CH2 |
| 3b | 3.82, dd (10.7, 5.5) | |
| 1″ | 173.7, C | |
| 2″ | 2.33, t (7.4) | 34.4, CH2 |
| 3″ | 1.62, overlap | 25.1, CH2 |
| 4″ | 1.44, m | 29.3, CH2 |
| 5″ | 2.07, overlap | 32.6 a, CH2 |
| 6″ | 5.68, dt (15.4, 6.5) | 134.6, CH |
| 7″ | 5.41, ddt (15.4, 7.9, 1.5) | 131.2, CH |
| 8″ | 4.19, m | 86.6, CH |
| 9″a | 1.41, m | 33.6, CH2 |
| 9″b | 1.63, overlap | |
| 10″ | 1.23–1.37, m | 26.1, CH2 |
| 11″ | 1.23–1.37, m | 30.0 b, CH2 |
| 12″ | 1.23–1.37, m | 30.3 b, CH2 |
| 13″ | 1.23–1.37, m | 30.4 b, CH2 |
| 14″ | 1.23–1.37, m | 32.7 a, CH2 |
| 15″ | 1.23–1.37, m | 23.3, CH2 |
| 16″ | 0.88, t (6.8) | 14.4, CH3 |
| 8″-OOH | 10.31, s |
Disclaimer/Publisher’s Note: The statements, opinions and data contained in all publications are solely those of the individual author(s) and contributor(s) and not of MDPI and/or the editor(s). MDPI and/or the editor(s) disclaim responsibility for any injury to people or property resulting from any ideas, methods, instructions or products referred to in the content. |
© 2025 by the authors. Licensee MDPI, Basel, Switzerland. This article is an open access article distributed under the terms and conditions of the Creative Commons Attribution (CC BY) license (https://creativecommons.org/licenses/by/4.0/).
Share and Cite
Zhang, B.; Horiuchi, M.; Kawabe, R.; Uchida, H.; Satake, M.; Nagai, H. (S)-2-Hydroxy-3-(((2R,3R,4S,5R,6R)-3,4,5-trihydroxy-6-(hydroxymethyl)tetrahydro-2H-pyran-2-yl)oxy)propyl (E)-8-Hydroperoxyhexadec-6-enoate. Molbank 2025, 2025, M1978. https://doi.org/10.3390/M1978
Zhang B, Horiuchi M, Kawabe R, Uchida H, Satake M, Nagai H. (S)-2-Hydroxy-3-(((2R,3R,4S,5R,6R)-3,4,5-trihydroxy-6-(hydroxymethyl)tetrahydro-2H-pyran-2-yl)oxy)propyl (E)-8-Hydroperoxyhexadec-6-enoate. Molbank. 2025; 2025(1):M1978. https://doi.org/10.3390/M1978
Chicago/Turabian StyleZhang, Botao, Mana Horiuchi, Ryoya Kawabe, Hajime Uchida, Masayuki Satake, and Hiroshi Nagai. 2025. "(S)-2-Hydroxy-3-(((2R,3R,4S,5R,6R)-3,4,5-trihydroxy-6-(hydroxymethyl)tetrahydro-2H-pyran-2-yl)oxy)propyl (E)-8-Hydroperoxyhexadec-6-enoate" Molbank 2025, no. 1: M1978. https://doi.org/10.3390/M1978
APA StyleZhang, B., Horiuchi, M., Kawabe, R., Uchida, H., Satake, M., & Nagai, H. (2025). (S)-2-Hydroxy-3-(((2R,3R,4S,5R,6R)-3,4,5-trihydroxy-6-(hydroxymethyl)tetrahydro-2H-pyran-2-yl)oxy)propyl (E)-8-Hydroperoxyhexadec-6-enoate. Molbank, 2025(1), M1978. https://doi.org/10.3390/M1978
