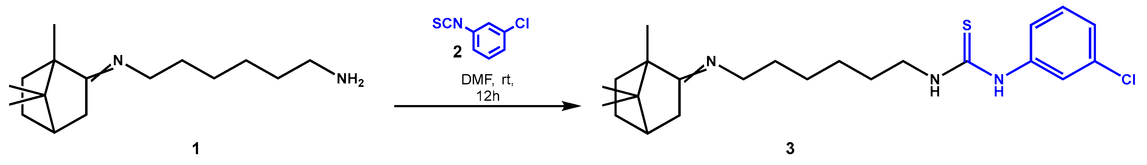
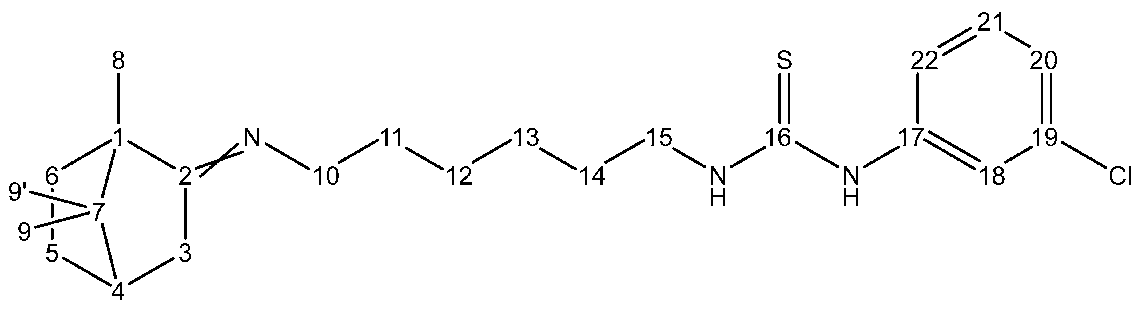
1-(3-Chlorophenyl)-3-(6-((1,7,7-trimethylbicyclo[2.2.1]heptan-2-ylidene)amino)hexyl)thiourea
Abstract
1. Introduction
2. Results and Discussion
3. Materials and Methods
4. Conclusions
Supplementary Materials
Author Contributions
Funding
Institutional Review Board Statement
Informed Consent Statement
Data Availability Statement
Conflicts of Interest
References
- Chen, Y.; Sun, J.; Tong, H.; Wang, J.; Cao, R.; Xu, H.; Chen, L.; Morisseau, C.; Zhang, M.; Shi, Y.; et al. Design and Synthesis of Dual-Targeting Inhibitors of sEH and HDAC6 for the Treatment of Neuropathic Pain and Lipopolysaccharide-Induced Mortality. J. Med. Chem. 2024, 67, 2095–2117. [Google Scholar] [CrossRef] [PubMed]
- Burmistrov, V.; Morisseau, C.; Pitushkin, D.; Fayzullin, R.R.; Karlov, D.; Vernigora, A.; Kuznetsov, Y.; Abbas, S.M.H.; Butov, G.M.; Hammock, B.D. Ureas derived from camphor and fenchone reveal enantiomeric preference of human soluble epoxide hydrolase. Rusults Chem. 2022, 4, 100653. [Google Scholar] [CrossRef] [PubMed]
- Burmistrov, V.V.; Danilov, D.V.; D’yachenko, V.S.; Rasskazova, E.V.; Butov, G.M. Synthesis and Properties of 1,3-Disubstituted Ureas and Their Isosteric Analogs Containing Polycyclic Fragments: I. Synthesis of 1-(Adamantan-1-yl)-3-(fluoro, chlorophenyl)ureas. Russ. J. Org. Chem. 2020, 56, 735–740. [Google Scholar] [CrossRef]
- Luo, A.; Wu, Z.; Li, S.; McReynolds, C.B.; Wang, D.; Liu, H.; Huang, C.; He, T.; Zhang, X.; Wang, Y.; et al. The soluble epoxide hydrolase inhibitor TPPU improves comorbidity of chronic pain and depression via the AHR and TSPO signaling. J. Transl. Med. 2023, 21, 71. [Google Scholar] [CrossRef] [PubMed]
- Zhang, J.; Zhang, W.-H.; Morisseau, C.; Zhang, M.; Dong, H.-J.; Zhu, Q.-M.; Huo, X.-K.; Sun, C.-P.; Hammock, B.D.; Ma, X.-C. Genetic deletion or pharmacological inhibition of soluble epoxide hydrolase attenuated particulate matter 2.5 exposure mediated lung injury. J. Hazard. Mater. 2023, 458, 131890. [Google Scholar] [CrossRef] [PubMed]
- Wang, B.; Wu, L.; Chen, J.; Dong, L.; Chen, C.; Wen, Z.; Hu, J.; Fleming, I.; Wang, D.W. Metabolism pathways of arachidonic acids: Mechanisms and potential therapeutic targets. Sig. Transduct. Target Ther. 2021, 6, 94. [Google Scholar] [CrossRef] [PubMed]
- Kulkarni, R.; Mehta, R.; Goswami, S.K.; Hammock, B.D.; Morisseau, C.; Hwang, S.H.; Mallappa, O.; Azeemuddin, M.M.; Rafiq, M.; Manjula, S.N. Neuroprotective effect of herbal extracts inhibiting soluble epoxide hydrolase (sEH) and cyclooxygenase (COX) against chemotherapy-induced cognitive impairment in mice. Biochem. Biophys. Res. Commun. 2023, 667, 64–72. [Google Scholar] [CrossRef] [PubMed]
- Oh, Y.T.; Yang, J.; Morisseau, C.; He, Q.; Hammock, B.; Youn, J.H. Effects of Individual Circulating FFAs on Plasma and Hepatic FFA Epoxides, Diols, and Epoxide-Diol Ratios as Indices of Soluble Epoxide Hydrolase Activity. Int. J. Mol. Sci. 2023, 24, 10760. [Google Scholar] [CrossRef] [PubMed]
- Codony, S.; Entrena, J.M.; Calvó-Tusell, C.; Jora, B.; González-Cano, R.; Osuna, S.; Corpas, R.; Morisseau, C.; Pérez, B.; Barniol-Xicota, M.; et al. Synthesis, In Vitro Profiling, and In Vivo Evaluation of Benzohomoadamantane-Based Ureas for Visceral Pain: A New Indication for Soluble Epoxide Hydrolase Inhibitors. J. Med. Chem. 2022, 65, 13660–13680. [Google Scholar] [CrossRef] [PubMed]
- Burmistrov, V.; Morisseau, C.; Karlov, D.; Pitushkin, D.; Vernigora, A.; Rasskazova, E.; Butov, G.M.; Hammock, B.D. Bioisosteric substitution of adamantane with bicyclic lipophilic groups improves water solubility of human soluble epoxide hydrolase inhibitors. Bioorg. Med. Chem. Lett. 2020, 30, 127430. [Google Scholar] [CrossRef] [PubMed]
- Hammock, B.D.; McReynolds, C.B.; Wagner, K.; Buckpitt, A.; Cortes-Puch, I.; Croston, G.; Lee, K.S.S.; Yang, J.; Schmidt, W.K.; Hwang, S.H. Movement to the Clinic of Soluble Epoxide Hydrolase Inhibitor EC5026 as an Analgesic for Neuropathic Pain and for Use as a Nonaddictive Opioid Alternative. J. Med. Chem. 2021, 64, 1856–1872. [Google Scholar] [CrossRef] [PubMed]
- Munkuev, A.A.; Zakharenko, A.L.; Kornienko, T.E.; Dyrkheeva, N.S.; Ilina, E.S.; Suslov, E.V.; Issa, F.; Achara, C.; Reynisson, J.; Volcho, K.P.; et al. Synthesis of adamantane-monoterpene conjugates with 1,3,4-thiadiazol-2(3H)-imine linker and evaluation of their inhibitory activity against TDP1. Med. Chem. Res. 2024, 33, 324–335. [Google Scholar] [CrossRef]
- Sokolova, A.S.; Yarovaya, O.I.; Shernyukov, A.V.; Gatilov, Y.V.; Razumova, Y.V.; Zarubaev, V.V.; Tretiak, T.S.; Pokrovsky, A.G.; Kiselev, O.I.; Salakhutdinov, N.F. Discovery of a new class of antiviral compounds: Camphor imine derivatives. Eur. J. Med. Chem. 2015, 105, 263–273. [Google Scholar] [CrossRef] [PubMed]



Disclaimer/Publisher’s Note: The statements, opinions and data contained in all publications are solely those of the individual author(s) and contributor(s) and not of MDPI and/or the editor(s). MDPI and/or the editor(s) disclaim responsibility for any injury to people or property resulting from any ideas, methods, instructions or products referred to in the content. |
© 2024 by the authors. Licensee MDPI, Basel, Switzerland. This article is an open access article distributed under the terms and conditions of the Creative Commons Attribution (CC BY) license (https://creativecommons.org/licenses/by/4.0/).
Share and Cite
Zapravdina, D.; Burmistrov, V. 1-(3-Chlorophenyl)-3-(6-((1,7,7-trimethylbicyclo[2.2.1]heptan-2-ylidene)amino)hexyl)thiourea. Molbank 2024, 2024, M1809. https://doi.org/10.3390/M1809
Zapravdina D, Burmistrov V. 1-(3-Chlorophenyl)-3-(6-((1,7,7-trimethylbicyclo[2.2.1]heptan-2-ylidene)amino)hexyl)thiourea. Molbank. 2024; 2024(2):M1809. https://doi.org/10.3390/M1809
Chicago/Turabian StyleZapravdina, Daria, and Vladimir Burmistrov. 2024. "1-(3-Chlorophenyl)-3-(6-((1,7,7-trimethylbicyclo[2.2.1]heptan-2-ylidene)amino)hexyl)thiourea" Molbank 2024, no. 2: M1809. https://doi.org/10.3390/M1809
APA StyleZapravdina, D., & Burmistrov, V. (2024). 1-(3-Chlorophenyl)-3-(6-((1,7,7-trimethylbicyclo[2.2.1]heptan-2-ylidene)amino)hexyl)thiourea. Molbank, 2024(2), M1809. https://doi.org/10.3390/M1809

