Synthesis and Analytical Characterization of Cyclization Products of 3-Propargyloxy-5-benzyloxy-benzoic Acid Methyl Ester
Abstract
1. Introduction
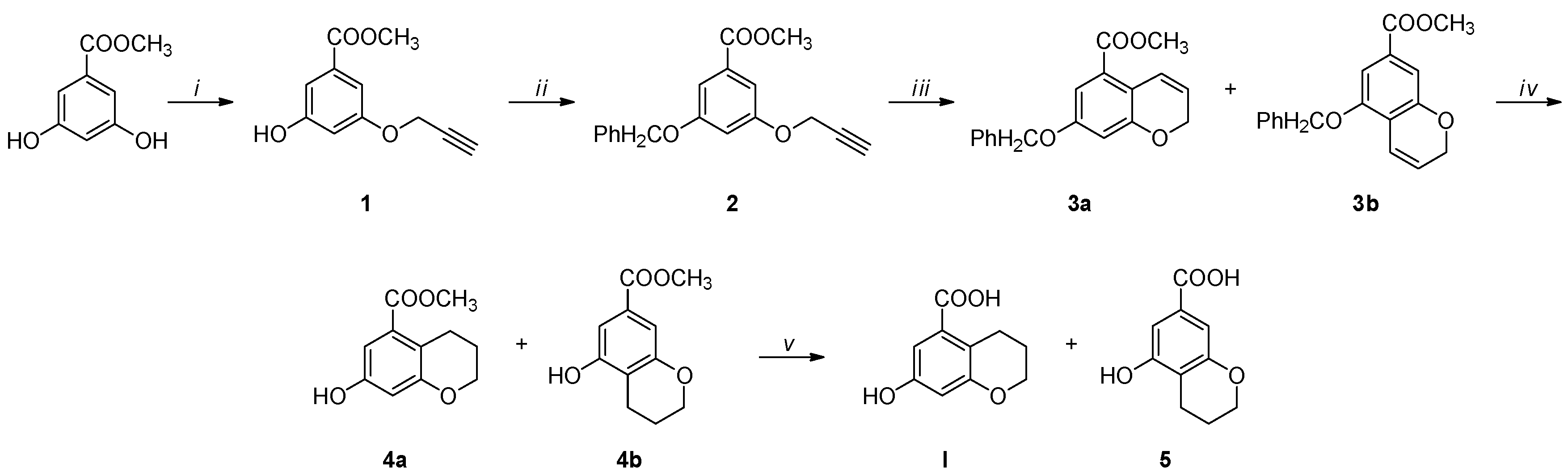
2. Results and Discussion
3. Materials and Methods
- Synthesis of 3-propargyloxy-5-hydroxy benzoic acid methyl ester (1)
- Synthesis of 3-propargyloxy-5-benzyloxy-benzoic acid methyl ester (2)
- Synthesis of methyl 7-(benzyloxy)-2H-chromene-5-carboxylate (3a) and methyl 5-(benzyloxy)-2H-chromene-7-carboxylate (3b)
- Synthesis of methyl 7-hydroxychromane-5-carboxylate (4a) and methyl 5-hydroxychromane-7-carboxylate (4b)
- Synthesis of 7-hydroxychromane-5-carboxylic acid (I)
- Synthesis of 5-hydroxychromane-7-carboxylic acid (5)
4. Conclusions
Supplementary Materials
Author Contributions
Funding
Data Availability Statement
Acknowledgments
Conflicts of Interest
References
- Ellis, G.P. (Ed.) Chemistry of Heterocyclic Compounds; Chemistry of Heterocyclic Compounds: A Series of Monographs; Wiley: Hoboken, NJ, USA, 1977; Volume 31, ISBN 9780471382126. [Google Scholar]
- Horton, D.A.; Bourne, G.T.; Smythe, M.L. The combinatorial synthesis of bicyclic privileged structures or privileged substructures. Chem. Rev. 2003, 103, 893–930. [Google Scholar] [CrossRef]
- Jadhav, S.R.; Karan Kumar, B.; Joshi, R.P.; Suryakant, C.K.; Chandu, A.; Muzaffar-Ur-Rehman, M.; Khetmalis, Y.M.; Nandikolla, A.; Murugesan, S.; Chandra Sekhar, K.V.G. Retrospective Review of Chromane Analogues as Anti-protozoal Leads: A Decade’s Worth of Evolution. Curr. Top. Med. Chem. 2023, 23, 713–735. [Google Scholar] [CrossRef] [PubMed]
- Emami, S.; Ghanbarimasir, Z. Recent advances of chroman-4-one derivatives: Synthetic approaches and bioactivities. Eur. J. Med. Chem. 2015, 93, 539–563. [Google Scholar] [CrossRef] [PubMed]
- Ghatpande, N.G.; Jadhav, J.S.; Kaproormath, R.V.; Soliman, M.E.; Shaikh, M.M. A brief overview on recent advances in spiro[chromane-2,4′-piperidine]-4(3H)-one-functionalized compounds in medicinal chemistry research. Bioorg. Med. Chem. 2020, 28, 115813. [Google Scholar] [CrossRef]
- Otgon, O.; Nadmid, S.; Paetz, C.; Dahse, H.M.; Voigt, K.; Bartram, S.; Boland, W.; Dagvadorj, E. Chromane Derivatives from Underground Parts of Iris tenuifolia and Their In Vitro Antimicrobial, Cytotoxicity and Antiproliferative Evaluation. Molecules 2021, 26, 6705. [Google Scholar] [CrossRef]
- Pecio, Ł.; Pecio, S.; Mroczek, T.; Oleszek, W. Spiro-Flavonoids in Nature: A Critical Review of Structural Diversity and Bioactivity. Molecules 2023, 28, 5420. [Google Scholar] [CrossRef]
- Bridi, H.; de Carvalho Meirelles, G.; von Poser, G.L. Structural diversity and biological activities of phloroglucinol derivatives from Hypericum species. Phytochemistry 2018, 155, 203–232. [Google Scholar] [CrossRef] [PubMed]
- Fridén-Saxin, M.; Seifert, T.; Landergren, M.R.; Suuronen, T.; Lahtela-Kakkonen, M.; Jarho, E.M.; Luthman, K. Synthesis and evaluation of substituted chroman-4-one and chromone derivatives as sirtuin 2-selective inhibitors. J. Med. Chem. 2012, 55, 7104–7113. [Google Scholar] [CrossRef]
- Zhang, X.; Zhou, Q.; Zhou, Y.; Wang, Z.; Wang, J.; Wang, M. Asymmetric synthesis of chiral (thio)chromanes and exploration on their structure–activity relationship in macrophages. RSC Adv. 2023, 13, 30391–30400. [Google Scholar] [CrossRef]
- Simelane, S.B.; Moshapo, P.T.; Masuka, R.W. Organic and Medicinal Chemistry Benzopyran-Core as an Antimycobacterial Agent. Org. Med. Chem. Int. J. 2020, 10, 56–72. [Google Scholar]
- Mujahid, M.; Gonnade, R.G.; Yogeeswari, P.; Sriram, D.; Muthukrishnan, M. Synthesis and antitubercular activity of amino alcohol fused spirochromone conjugates. Bioorg. Med. Chem. Lett. 2013, 23, 1416–1419. [Google Scholar] [CrossRef]
- Chitti, S.; Nandikolla, A.; Khetmalis, Y.M.; Van Calster, K.; Kumar, B.V.S.; Kumar, B.K.; Murugesan, S.; Cappoen, D.; Sekhar, K.V.G.C. Design, Synthesis and Biological Evaluation of Novel Spiro-[Chroman-2,4′-Piperidin]-4-One Analogs as Anti-Tubercular Agents. Chem. Biodivers. 2022, 19, e202200304. [Google Scholar] [CrossRef] [PubMed]
- Wu, M.C.; Peng, C.F.; Chen, I.S.; Tsai, I.L. Antitubercular chromones and flavonoids from Pisonia aculeata. J. Nat. Prod. 2011, 74, 976–982. [Google Scholar] [CrossRef] [PubMed]
- Dongamanti, A.; Aamate, V.K.; Devulapally, M.G.; Gundu, S.; Balabadra, S.; Manga, V.; Yogeeswari, P.; Sriram, D.; Balasubramanian, S. Bis-spirochromanones as potent inhibitors of Mycobacterium tuberculosis: Synthesis and biological evaluation. Mol. Divers. 2017, 21, 999–1010. [Google Scholar] [CrossRef]
- Kapadiya, K.M.; Jadeja, Y.S.; Banik, A.; Khunt, R.C. In Silico and in Vitro Studies of Fluorinated Chroman-2-Carboxilic Acid Derivatives as an Anti-tubercular Agent. Folia Med. 2018, 60, 601–609. [Google Scholar] [CrossRef] [PubMed]
- Sadorn, K.; Saepua, S.; Boonyuen, N.; Komwijit, S.; Rachtawee, P.; Pittayakhajonwut, P. Phenolic glucosides and chromane analogs from the insect fungus Conoideocrella krungchingensis BCC53666. Tetrahedron 2019, 75, 3463–3471. [Google Scholar] [CrossRef]
- Mujeeb, S.; Singh, K.; Yogi, B.; Kumar, P.; Kumar, P. Design, Synthesis and Anti-tubercular Evaluation of Some Novel Chroman-Hydrazone Derivatives. Asian J. Chem. 2023, 35, 483–492. [Google Scholar] [CrossRef]
- Gomes, A.C.; Moreira, A.C.; Mesquita, G.; Gomes, M.S. Modulation of Iron Metabolism in Response to Infection: Twists for All Tastes. Pharmaceuticals 2018, 11, 84. [Google Scholar] [CrossRef] [PubMed]
- Zhang, L.; Hendrickson, R.C.; Meikle, V.; Lefkowitz, E.J.; Ioerger, T.R.; Niederweis, M. Comprehensive analysis of iron utilization by Mycobacterium tuberculosis. PLoS Pathog. 2020, 16, e1008337. [Google Scholar] [CrossRef]
- Hameed, S.; Pal, R.; Fatima, Z. Iron Acquisition Mechanisms: Promising Target Against Mycobacterium tuberculosis. Open Microbiol. J. 2015, 9, 91–97. [Google Scholar] [CrossRef]
- Chao, A.; Sieminski, P.J.; Owens, C.P.; Goulding, C.W. Iron acquisition in Mycobacterium tuberculosis. Chem. Rev. 2019, 119, 1193–1220. [Google Scholar] [CrossRef] [PubMed]
- Choudhury, M.; Koduru, T.N.; Kumar, N.; Salimi, S.; Desai, K.; Prabhu, N.P.; Sritharan, M. Iron uptake and transport by the carboxymycobactin-mycobactin siderophore machinery of Mycobacterium tuberculosis is dependent on the iron-regulated protein HupB. BioMetals 2021, 34, 511–528. [Google Scholar] [CrossRef] [PubMed]
- Shyam, M.; Shilkar, D.; Verma, H.; Dev, A.; Sinha, B.N.; Brucoli, F.; Bhakta, S.; Jayaprakash, V. The Mycobactin Biosynthesis Pathway: A Prospective Therapeutic Target in the Battle against Tuberculosis. J. Med. Chem. 2021, 64, 71–100. [Google Scholar] [CrossRef] [PubMed]
- Shyam, M.; Shilkar, D.; Rakshit, G.; Jayaprakash, V. Approaches for targeting the mycobactin biosynthesis pathway for novel anti-tubercular drug discovery: Where we stand. Expert Opin. Drug Discov. 2022, 17, 699–715. [Google Scholar] [CrossRef] [PubMed]
- Kumar, G.; Adhikrao, P.A. Targeting Mycobacterium tuberculosis iron-scavenging tools: A recent update on siderophores inhibitors. RSC Med. Chem. 2023, 14, 1885–1913. [Google Scholar] [CrossRef] [PubMed]
- Mori, M.; Stelitano, G.; Gelain, A.; Pini, E.; Chiarelli, L.R.; Sammartino, J.C.; Poli, G.; Tuccinardi, T.; Beretta, G.; Porta, A.; et al. Shedding X-ray light on the role of magnesium in the activity of M. tuberculosis salicylate synthase (MbtI) for drug design. J. Med. Chem. 2020, 63, 7066–7080. [Google Scholar] [CrossRef] [PubMed]
- Mori, M.; Stelitano, G.; Chiarelli, L.R.; Cazzaniga, G.; Gelain, A.; Barlocco, D.; Pini, E.; Meneghetti, F.; Villa, S. Synthesis, Characterization, and Biological Evaluation of New Derivatives Targeting MbtI as Antitubercular Agents. Pharmaceuticals 2021, 14, 155. [Google Scholar] [CrossRef] [PubMed]
- Mori, M.; Stelitano, G.; Griego, A.; Chiarelli, L.R.; Cazzaniga, G.; Gelain, A.; Pini, E.; Camera, M.; Canzano, P.; Fumagalli, A.; et al. Synthesis and assessment of the in vitro and ex vivo activity of salicylate synthase (MbtI) inhibitors as new candidates for the treatment of mycobacterial infections. Pharmaceuticals 2022, 15, 992. [Google Scholar] [CrossRef] [PubMed]
- Mori, M.; Villa, S.; Chiarelli, L.R.; Meneghetti, F.; Bellinzoni, M. Structural Study of a New MbtI-Inhibitor Complex: Towards an Optimized Model for Structure-Based Drug Discovery. Pharmaceuticals 2023, 16, 1559. [Google Scholar] [CrossRef]
- Pini, E.; Poli, G.; Tuccinardi, T.; Chiarelli, L.; Mori, M.; Gelain, A.; Costantino, L.; Villa, S.; Meneghetti, F.; Barlocco, D. New Chromane-Based Derivatives as Inhibitors of Mycobacterium tuberculosis Salicylate Synthase (MbtI): Preliminary Biological Evaluation and Molecular Modeling Studies. Molecules 2018, 23, 1506. [Google Scholar] [CrossRef]
- Mori, M.; Meneghetti, F.; Chiarelli, L.R.; Diego, A.; Nava, D.; Gelain, A.; Cazzaniga, G.; Villa, S.; Pini, E. 6-Hydroxy-2-methylbenzofuran-4-carboxylic Acid. Molbank 2020, 2020, M1143. [Google Scholar] [CrossRef]



Disclaimer/Publisher’s Note: The statements, opinions and data contained in all publications are solely those of the individual author(s) and contributor(s) and not of MDPI and/or the editor(s). MDPI and/or the editor(s) disclaim responsibility for any injury to people or property resulting from any ideas, methods, instructions or products referred to in the content. |
© 2024 by the authors. Licensee MDPI, Basel, Switzerland. This article is an open access article distributed under the terms and conditions of the Creative Commons Attribution (CC BY) license (https://creativecommons.org/licenses/by/4.0/).
Share and Cite
Mori, M.; Cazzaniga, G.; Nava, D.; Pini, E. Synthesis and Analytical Characterization of Cyclization Products of 3-Propargyloxy-5-benzyloxy-benzoic Acid Methyl Ester. Molbank 2024, 2024, M1806. https://doi.org/10.3390/M1806
Mori M, Cazzaniga G, Nava D, Pini E. Synthesis and Analytical Characterization of Cyclization Products of 3-Propargyloxy-5-benzyloxy-benzoic Acid Methyl Ester. Molbank. 2024; 2024(2):M1806. https://doi.org/10.3390/M1806
Chicago/Turabian StyleMori, Matteo, Giulia Cazzaniga, Donatella Nava, and Elena Pini. 2024. "Synthesis and Analytical Characterization of Cyclization Products of 3-Propargyloxy-5-benzyloxy-benzoic Acid Methyl Ester" Molbank 2024, no. 2: M1806. https://doi.org/10.3390/M1806
APA StyleMori, M., Cazzaniga, G., Nava, D., & Pini, E. (2024). Synthesis and Analytical Characterization of Cyclization Products of 3-Propargyloxy-5-benzyloxy-benzoic Acid Methyl Ester. Molbank, 2024(2), M1806. https://doi.org/10.3390/M1806

