N-(((1S,5R)-6,6-Dimethylbicyclo[3.1.1]hept-2-en-2-yl)methyl)-3-dodecan/tetradecanamido-N,N-dimethylpropan-1-aminium Bromide
Abstract
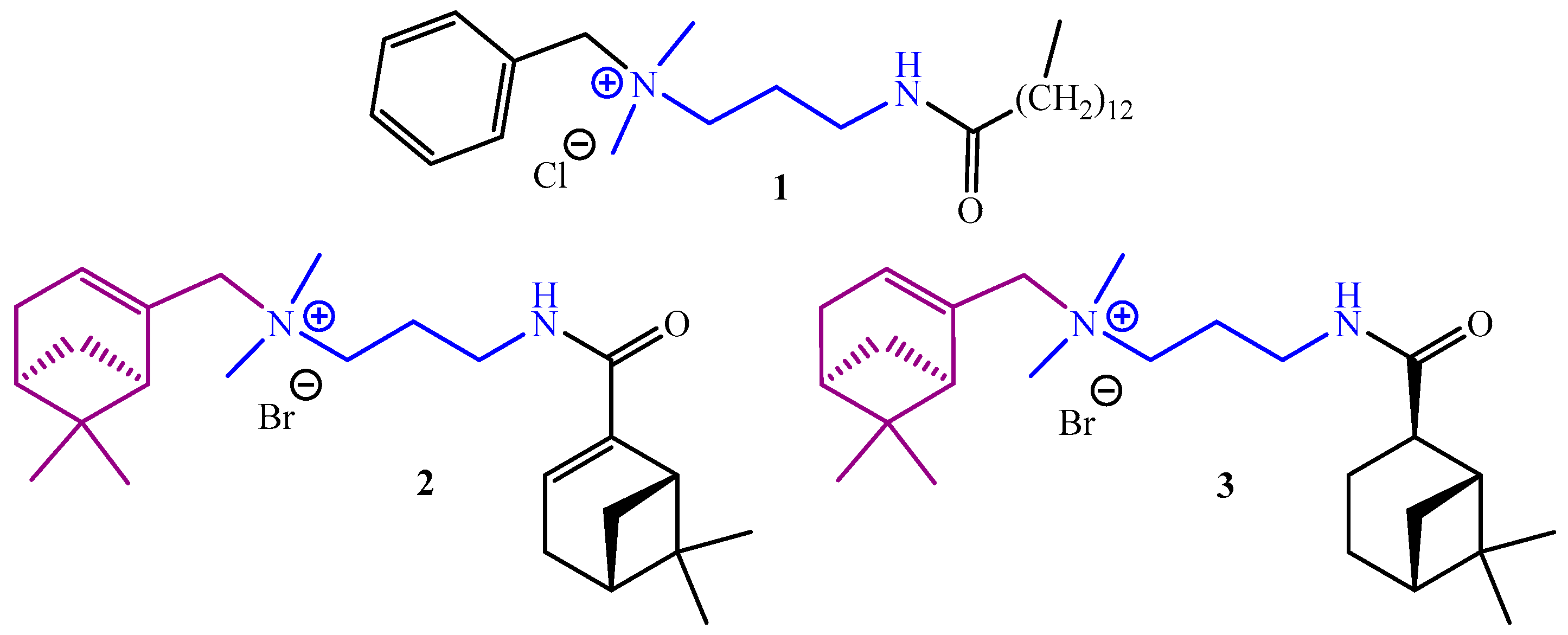
1. Introduction
2. Results and Discussion
3. Materials and Methods
3.1. General
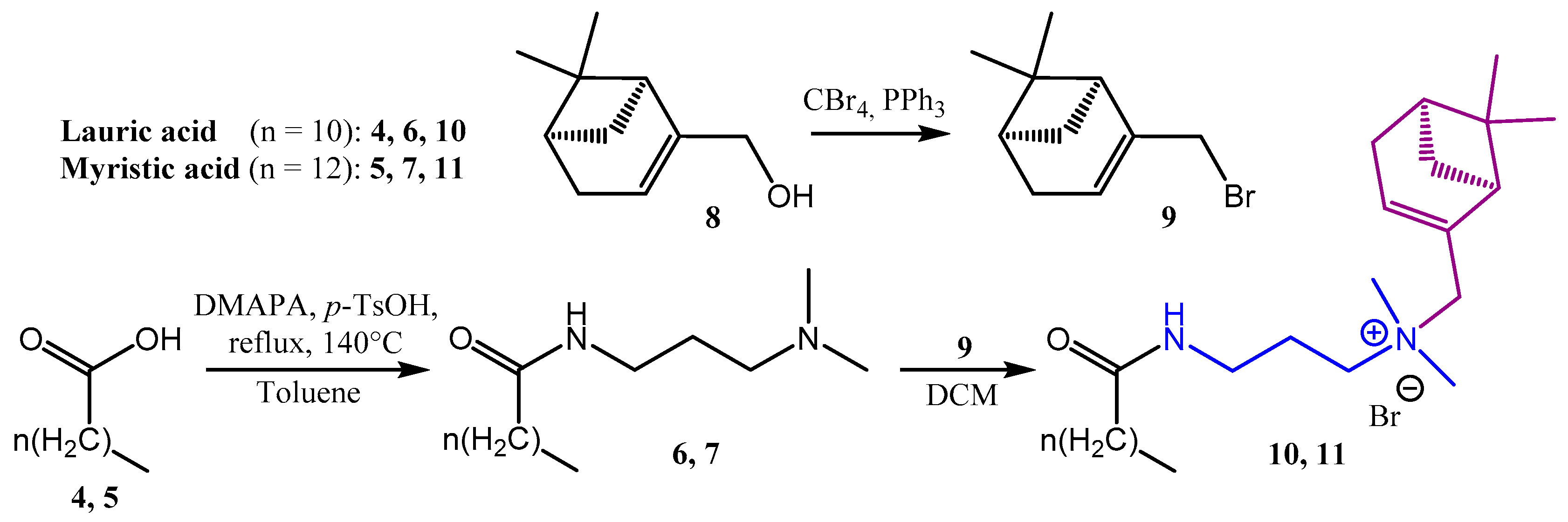
3.2. General Procedure for Synthesis of N-(3-(Dimethylamino)propyl)dodecan/tetradecanamide 6, 7
3.3. General Procedure for Synthesis of N-(((1S,5R)-6,6-Dimethylbicyclo[3.1.1]hept-2-en-2-yl)methyl)-3-dodecan/tetradecanamido-N,N-dimethylpropan-1-aminium bromide 10, 11
3.4. Antibacterial and Antifungal Activities
Supplementary Materials
Author Contributions
Funding
Institutional Review Board Statement
Informed Consent Statement
Data Availability Statement
Acknowledgments
Conflicts of Interest
Sample Availability
References
- Hodille, E.; Rose, W.; Diep, B.A.; Goutelle, S.; Lina, G.; Dumitrescu, O. The role of antibiotics in modulating virulence in Staphylococcus aureus. Clin. Microbiol. Rev. 2017, 30, 887–917. [Google Scholar] [CrossRef] [PubMed]
- Donlan, R.M. Biofilms: Microbial life on surfaces. Emerg. Infect. Dis. 2002, 8, 881–890. [Google Scholar] [CrossRef] [PubMed]
- Soares-Castro, P.; Soares, F.; Santos, P.M. Current advances in the bacterial toolbox for the biotechnological production of monoterpene-based aroma compounds. Molecules 2020, 26, 91. [Google Scholar] [CrossRef] [PubMed]
- Zielińska-Błajet, M.; Feder-Kubis, J. Monoterpenes and their derivatives—Recent development in biological and medical applications. Int. J. Mol. Sci. 2020, 21, 7078. [Google Scholar] [CrossRef] [PubMed]
- Elbe, H.; Yigitturk, G.; Cavusoglu, T.; Uyanikgil, Y.; Ozturk, F. Apoptotic effects of thymol, a novel monoterpene phenol, on different types of cancer. Bratisl. Lek. Listy 2020, 121, 122–128. [Google Scholar] [CrossRef] [PubMed]
- Gilfanov, I.R.; Pavelyev, R.S.; Nikitina, L.E.; Frolova, L.L.; Popov, A.V.; Rakhmatullin, I.Z.; Klochkov, V.V.; Lisovskaya, S.A.; Trizna, E.Y.; Grishaev, D.Y.; et al. N-(((1S,5R)-6,6-Dimethylbicyclo[3.1.1]hept-2-en-2-yl)methyl)-3-((1R,5S)-6,6-dimethylbicyclo[3.1.1]hept-2-ene/ane-2-carboxamido)-N,N-dimethylpropan-1-aminium Bromide. Molbank 2023, 2023, M1592. [Google Scholar] [CrossRef]
- Nikitina, L.E.; Lisovskaya, S.A.; Startseva, V.A.; Florova, L.L.; Kutchin, A.V.; Shevchenko, O.G.; Ostolopovskaya, O.V.; Pavelyev, R.S.; Khelkhal, M.A.; Gilfanov, I.R.; et al. Biological Activity of Bicyclic Monoterpene Alcohols. Bionanoscience 2021, 11, 970–976. [Google Scholar] [CrossRef]
- Guseva, G.B.; Antina, E.V.; Berezin, M.B.; Pavelyev, R.S.; Kayumov, A.R.; Ostolopovskaya, O.V.; Gilfanov, I.R.; Frolova, L.L.; Kutchin, A.V.; Akhverdiev, R.F.; et al. Design, Spectral Characteristics, and Possibilities for Practical Application of BODIPY FL-Labeled Monoterpenoid. ACS Appl. Bio Mater. 2021, 4, 6227–6235. [Google Scholar] [CrossRef] [PubMed]
- Mahmoud, R.Y.; Trizna, E.Y.; Sulaiman, R.K.; Pavelyev, R.S.; Gilfanov, I.R.; Lisovskaya, S.A.; Ostolopovskaya, O.V.; Frolova, L.L.; Kutchin, A.V.; Guseva, G.B.; et al. Increasing the Efficacy of Treatment of Staphylococcus aureus–Candida albicans Mixed Infections with Myrtenol. Antibiotics 2022, 11, 1743. [Google Scholar] [CrossRef] [PubMed]
- Sapozhnikov, S.V.; Sabirova, A.E.; Shtyrlin, N.V.; Druk, A.Y.; Agafonova, M.N.; Chirkova, M.N.; Kazakova, R.R.; Grishaev, D.Y.; Nikishova, T.V.; Krylova, E.S.; et al. Design, synthesis, antibacterial activity and toxicity of novel quaternary ammonium compounds based on pyridoxine and fatty acids. Eur. J. Med. Chem. 2021, 211, 113100. [Google Scholar] [CrossRef] [PubMed]
- Ishmuratov, G.Y.; Yakovleva, M.P.; Tukhvatshin, V.S.; Talipov, R.F.; Nikitina, L.E.; Artemova, N.P.; Startseva, V.A.; Tolstikov, A.G. Sulfur-Containing Derivatives of Mono- and Bicyclic Natural Monoterpenoids. Chem. Nat. Compd. 2014, 50, 22–47. [Google Scholar] [CrossRef]
- Nikitina, L.E.; Pavelyev, R.S.; Gilfanov, I.R.; Kiselev, S.V.; Azizova, Z.R.; Ksenofontov, A.A.; Bocharov, P.S.; Antina, E.V.; Klochkov, V.V.; Timerova, A.F.; et al. Unraveling the Mechanism of Platelet Aggregation Suppression by Monoterpenoids. Bioengineering 2022, 9, 24. [Google Scholar] [CrossRef]
- Liu, H.-X.; Tan, H.-B.; He, M.-T.; Li, L.; Wang, Y.-H.; Long, C.-L. Isolation and synthesis of two hydroxychavicol heterodimers from Piper nudibaccatum. Tetrahedron 2015, 71, 2369–2375. [Google Scholar] [CrossRef]
- Leclercq, R.; Canton, R.; Brown, D.F.J.; Giske, C.G.; Heisig, P.; MacGowan, A.P.; Mouton, J.W.; Nordmann, P.; Rodloff, A.C.; Rossolini, G.M.; et al. EUCAST expert rules in antimicrobial susceptibility testing. Clin. Microbiol. Infect. 2013, 19, 141–160. [Google Scholar] [CrossRef] [PubMed]


| Strains | MIC, µg/mL | ||
|---|---|---|---|
| 10 | 11 | Miramistin | |
| S. aureus ATCC29213 | 8 | 2 | 4 |
| P. aeruginosa ATCC27853 | 32 | 512 | >1024 |
| Candida albicans NCTC- 885-653 | 128 | 32 | >1500 |
| Candida tropicalis Y-1513/784 | 512 | 64 | >1500 |
| Aspergillus niger F-1119 | 128 | 32 | >1500 |
| Rhizopus nigricans F-1537/1722 | 128 | 64 | >1500 |
| Fusarium oxysporum (clinical isolate) | 128 | 32 | >1500 |
Disclaimer/Publisher’s Note: The statements, opinions and data contained in all publications are solely those of the individual author(s) and contributor(s) and not of MDPI and/or the editor(s). MDPI and/or the editor(s) disclaim responsibility for any injury to people or property resulting from any ideas, methods, instructions or products referred to in the content. |
© 2023 by the authors. Licensee MDPI, Basel, Switzerland. This article is an open access article distributed under the terms and conditions of the Creative Commons Attribution (CC BY) license (https://creativecommons.org/licenses/by/4.0/).
Share and Cite
Nikitina, L.E.; Gilfanov, I.R.; Pavelyev, R.S.; Lisovskaya, S.A.; Trizna, E.Y.; Rakhmatullin, I.Z.; Klochkov, V.V.; Davletshin, R.R.; Babaeva, O.B.; Kolesnikova, A.I.; et al. N-(((1S,5R)-6,6-Dimethylbicyclo[3.1.1]hept-2-en-2-yl)methyl)-3-dodecan/tetradecanamido-N,N-dimethylpropan-1-aminium Bromide. Molbank 2023, 2023, M1704. https://doi.org/10.3390/M1704
Nikitina LE, Gilfanov IR, Pavelyev RS, Lisovskaya SA, Trizna EY, Rakhmatullin IZ, Klochkov VV, Davletshin RR, Babaeva OB, Kolesnikova AI, et al. N-(((1S,5R)-6,6-Dimethylbicyclo[3.1.1]hept-2-en-2-yl)methyl)-3-dodecan/tetradecanamido-N,N-dimethylpropan-1-aminium Bromide. Molbank. 2023; 2023(3):M1704. https://doi.org/10.3390/M1704
Chicago/Turabian StyleNikitina, Liliya E., Ilmir R. Gilfanov, Roman S. Pavelyev, Svetlana A. Lisovskaya, Elena Y. Trizna, Ilfat Z. Rakhmatullin, Vladimir V. Klochkov, Rustam R. Davletshin, Olga B. Babaeva, Alena I. Kolesnikova, and et al. 2023. "N-(((1S,5R)-6,6-Dimethylbicyclo[3.1.1]hept-2-en-2-yl)methyl)-3-dodecan/tetradecanamido-N,N-dimethylpropan-1-aminium Bromide" Molbank 2023, no. 3: M1704. https://doi.org/10.3390/M1704
APA StyleNikitina, L. E., Gilfanov, I. R., Pavelyev, R. S., Lisovskaya, S. A., Trizna, E. Y., Rakhmatullin, I. Z., Klochkov, V. V., Davletshin, R. R., Babaeva, O. B., Kolesnikova, A. I., Ostolopovskaya, O. V., Frolova, L. L., & Kayumov, A. R. (2023). N-(((1S,5R)-6,6-Dimethylbicyclo[3.1.1]hept-2-en-2-yl)methyl)-3-dodecan/tetradecanamido-N,N-dimethylpropan-1-aminium Bromide. Molbank, 2023(3), M1704. https://doi.org/10.3390/M1704

