1-(4-{[3,5-bis({[3,5-Dimethyl-4-(4-methyl-3,5-dioxo-1,2,4-triazolidin-1-yl)-phenoxy]methyl})phenyl]methoxy}-2,6-dimethyl-phenyl)-4-methyl-1,2,4-triazolidine-3,5-dione
Abstract
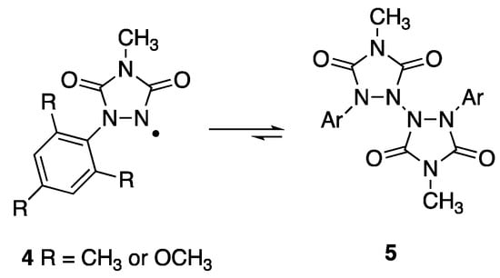
:1. Introduction
2. Results and Discussion
3. Materials and Methods
3.1. General Methods
3.2. 1,3,5-Tris[(3,5-dimethylphenoxy)methyl]benzene (9) [5]
3.3. 1-(4-{[3,5-bis({[3,5-Dimethyl-4-(4-methyl-3,5-dioxo-1,2,4-triazolidin-1-yl)-phenoxy]methyl})phenyl]methoxy}-2,6-dimethylphenyl)-4-methyl-1,2,4-triazolidine-3,5-dione (8)
Supplementary Materials
Author Contributions
Funding
Data Availability Statement
Acknowledgments
Conflicts of Interest
References
- Gravel, P.L.; Pirkle, W.H. Non-Aryl Hydrazyls. I. Synthesis, Isolation, and Characterization of 1-α-Cumyl-4-methyurazolyl. J. Am. Chem. Soc. 1974, 96, 3335–3336. [Google Scholar] [CrossRef]
- Pirkle, W.H.; Gravel, P.L. Persistent Cyclic Diacylhydrazyl Radicals from Urazoles and Pyrazolidine-3,5-diones. J. Org. Chem. 1978, 43, 808–815. [Google Scholar] [CrossRef]
- Martin, K.L.; Breton, G.W. Computational, 1H NMR, and X-ray structural studies on 1-arylurazole tetrazane dimers. Acta Cryst. 2017, C73, 660–666. [Google Scholar] [CrossRef] [PubMed]
- Breton, G.W.; Martin, K.L. Probing the Dynamic Covalent Chemistry Behavior of Nitrogen-Centered Di- and Triurazole Radicals. J. Org. Chem. 2020, 85, 10865–10871. [Google Scholar] [CrossRef] [PubMed]
- Peng, Y.; Feng, Y.; Deng, G.-J.; He, Y.-H.; Fan, Q.-H. From Weakness to Strength: C-H/p-Interaction-Guided Self-Assembly and Gelation of Poly(benzyl ether) Dendrimers. Langmuir 2016, 32, 9313–9320. [Google Scholar] [CrossRef]
- Bausch, M.J.; David, B.; Dobrowolski, P.; Guadalupe-Fasano, C.; Gostowski, R.; Selmarten, D.; Prasad, V.; Vaughn, A.; Wang, L.H. Proton-Transfer Chemistry of Urazoles and Related Imides, Amides, and Diacyl Hydrazides. J. Org. Chem. 1991, 56, 5643–5651. [Google Scholar] [CrossRef]
- Breton, G.W.; Turlington, M. Alternative Synthetic Routes to N-Methyl-1,2,4-Triazoline-3,5-Dione (MeTAD) and Other Triazolinedione Derivatives. Tetrahedron Lett. 2014, 55, 4661–4663. [Google Scholar] [CrossRef]
- Billiet, S.; De Bruycker, K.; Driessen, F.; Goossens, H.; Van Speybroeck, V.; Winne, J.M.; Du Prez, F.E. Triazolinediones Enable Ultrafast and Reversible Click Chemistry for the Design of Dynamic Polymer Systems. Nat. Chem. 2014, 6, 815–821. [Google Scholar] [CrossRef]






Disclaimer/Publisher’s Note: The statements, opinions and data contained in all publications are solely those of the individual author(s) and contributor(s) and not of MDPI and/or the editor(s). MDPI and/or the editor(s) disclaim responsibility for any injury to people or property resulting from any ideas, methods, instructions or products referred to in the content. |
© 2022 by the authors. Licensee MDPI, Basel, Switzerland. This article is an open access article distributed under the terms and conditions of the Creative Commons Attribution (CC BY) license (https://creativecommons.org/licenses/by/4.0/).
Share and Cite
Breton, G.W.; Bowron, J.A., Jr. 1-(4-{[3,5-bis({[3,5-Dimethyl-4-(4-methyl-3,5-dioxo-1,2,4-triazolidin-1-yl)-phenoxy]methyl})phenyl]methoxy}-2,6-dimethyl-phenyl)-4-methyl-1,2,4-triazolidine-3,5-dione. Molbank 2023, 2023, M1535. https://doi.org/10.3390/M1535
Breton GW, Bowron JA Jr. 1-(4-{[3,5-bis({[3,5-Dimethyl-4-(4-methyl-3,5-dioxo-1,2,4-triazolidin-1-yl)-phenoxy]methyl})phenyl]methoxy}-2,6-dimethyl-phenyl)-4-methyl-1,2,4-triazolidine-3,5-dione. Molbank. 2023; 2023(1):M1535. https://doi.org/10.3390/M1535
Chicago/Turabian StyleBreton, Gary W., and James Alexander Bowron, Jr. 2023. "1-(4-{[3,5-bis({[3,5-Dimethyl-4-(4-methyl-3,5-dioxo-1,2,4-triazolidin-1-yl)-phenoxy]methyl})phenyl]methoxy}-2,6-dimethyl-phenyl)-4-methyl-1,2,4-triazolidine-3,5-dione" Molbank 2023, no. 1: M1535. https://doi.org/10.3390/M1535
APA StyleBreton, G. W., & Bowron, J. A., Jr. (2023). 1-(4-{[3,5-bis({[3,5-Dimethyl-4-(4-methyl-3,5-dioxo-1,2,4-triazolidin-1-yl)-phenoxy]methyl})phenyl]methoxy}-2,6-dimethyl-phenyl)-4-methyl-1,2,4-triazolidine-3,5-dione. Molbank, 2023(1), M1535. https://doi.org/10.3390/M1535

