2-(5-Acetyl-7-methoxy-2-(4-methoxyphenyl)benzofuran-3-yl)acetic Acid
Abstract
:1. Introduction
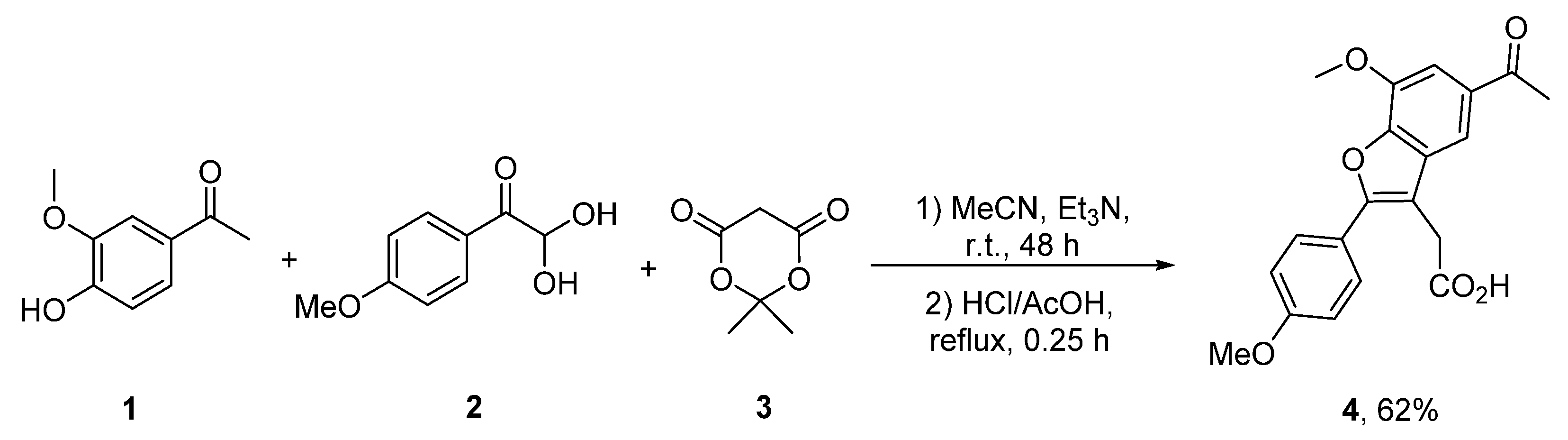
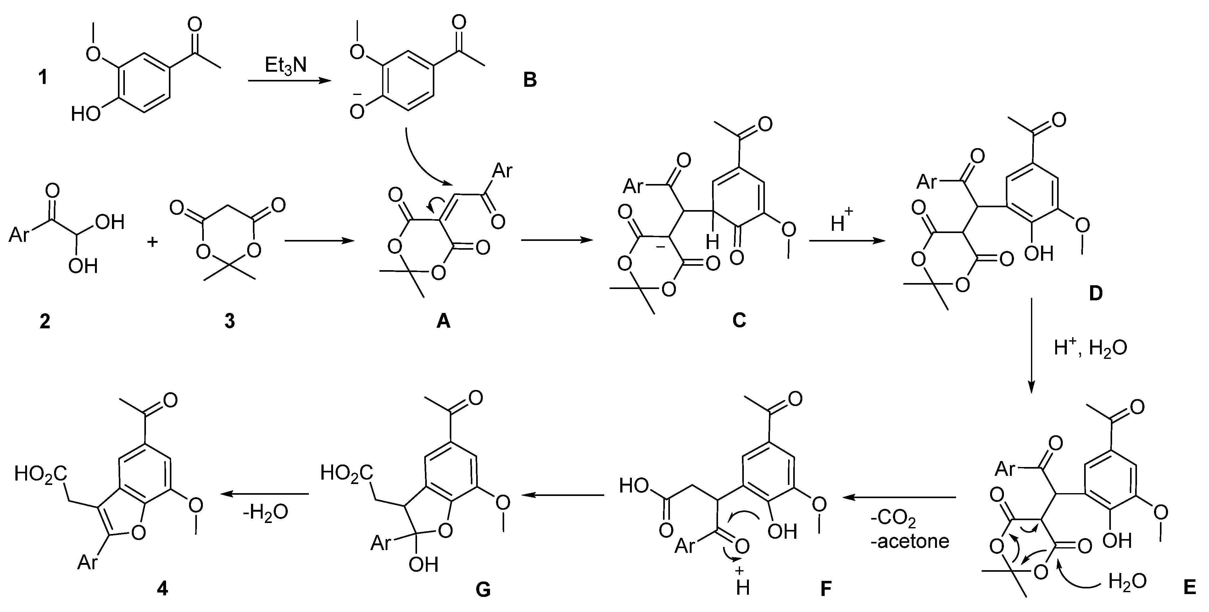
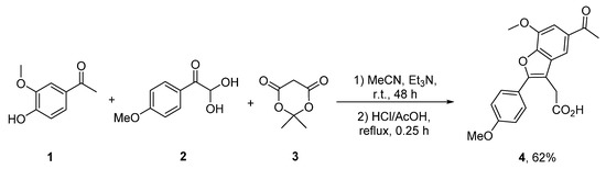
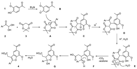
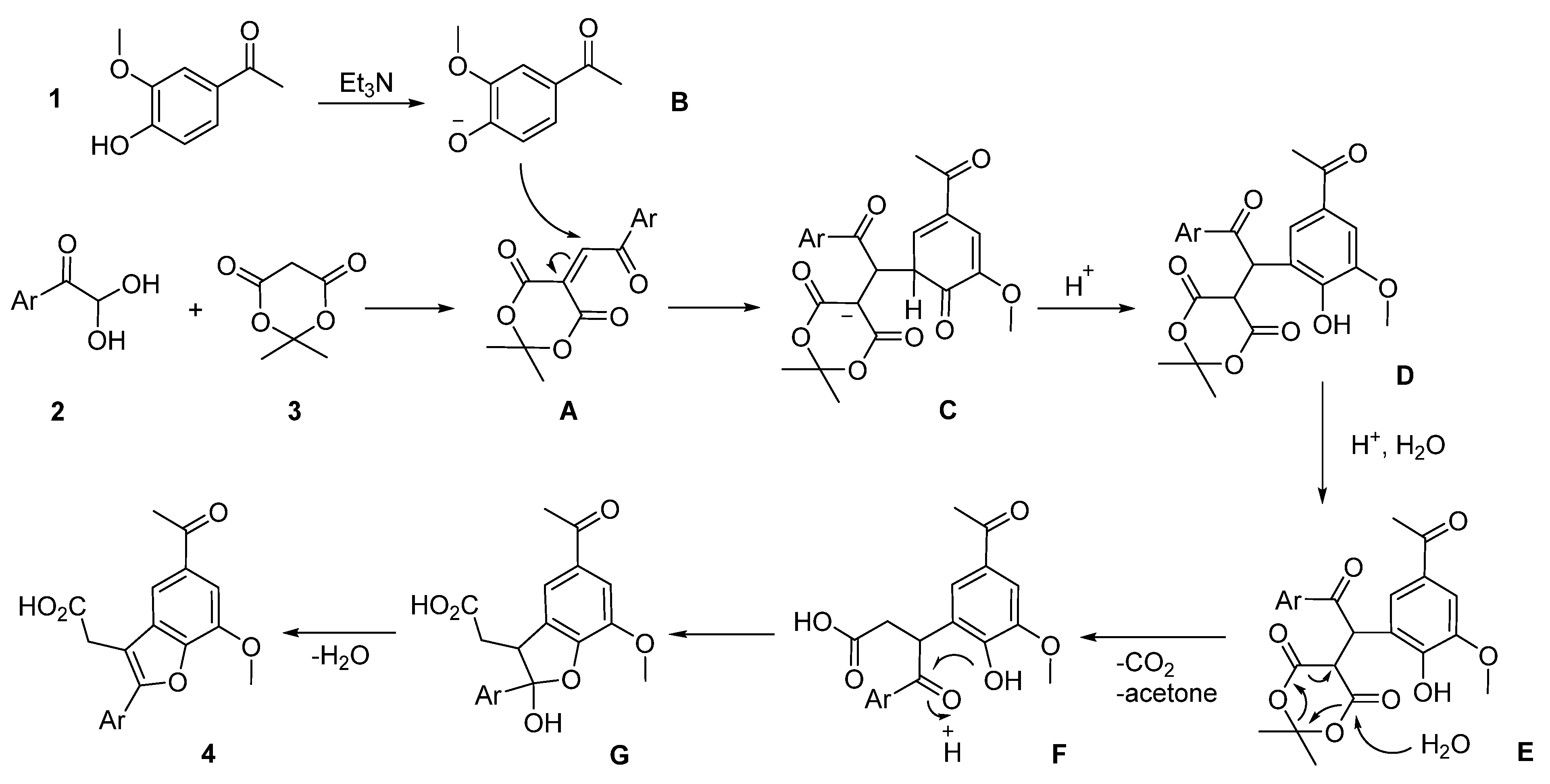
2. Results and Discussion
3. Materials and Methods
Experimental Procedure for the Synthesis of 2-(5-Acetyl-7-methoxy-2-(4-methoxyphenyl)benzofuran-3-yl)acetic Acid 4
Supplementary Materials
Author Contributions
Funding
Institutional Review Board Statement
Informed Consent Statement
Data Availability Statement
Conflicts of Interest
References
- Debnath, P.; Rathore, S.; Walia, S.; Kumar, M.; Devi, R.; Kumar, R. Picrorhiza Kurroa: A Promising Traditional Therapeutic Herb from Higher Altitude of Western Himalayas. J. Herb. Med. 2020, 23, 100358. [Google Scholar] [CrossRef]
- Kumar, S.; Patial, V.; Soni, S.; Sharma, S.; Pratap, K.; Kumar, D.; Padwad, Y. Picrorhiza Kurroa Enhances β-Cell Mass Proliferation and Insulin Secretion in Streptozotocin Evoked β-Cell Damage in Rats. Front. Pharmacol. 2017, 8, 537. [Google Scholar] [CrossRef] [PubMed] [Green Version]
- Yang, T.; Zang, D.-W.; Shan, W.; Guo, A.-C.; Wu, J.-P.; Wang, Y.-J.; Wang, Q. Synthesis and Evaluations of Novel Apocynin Derivatives as Anti-Glioma Agents. Front. Pharmacol. 2019, 10, 951. [Google Scholar] [CrossRef] [PubMed]
- Petrônio, M.; Zeraik, M.; Fonseca, L.; Ximenes, V. Apocynin: Chemical and Biophysical Properties of a NADPH Oxidase Inhibitor. Molecules 2013, 18, 2821–2839. [Google Scholar] [CrossRef] [Green Version]
- Stefanska, J.; Pawliczak, R. Apocynin: Molecular Aptitudes. Mediat. Inflamm. 2008, 2008, 106507. [Google Scholar] [CrossRef] [PubMed] [Green Version]
- Cross, A.L.; Hawkes, J.; Wright, H.L.; Moots, R.J.; Edwards, S.W. APPA (Apocynin and Paeonol) Modulates Pathological Aspects of Human Neutrophil Function, without Supressing Antimicrobial Ability, and Inhibits TNFα Expression and Signalling. Inflammopharmacology 2020, 28, 1223–1235. [Google Scholar] [CrossRef] [PubMed]
- Montes-Rivera, J.O.; Tamay-Cach, F.; Quintana-Pérez, J.C.; Guevara-Salazar, J.A.; Trujillo-Ferrara, J.G.; Del Valle-Mondragón, L.; Arellano-Mendoza, M.G. Apocynin Combined with Drugs as Coadjuvant Could Be Employed to Prevent and/or Treat the Chronic Kidney Disease. Ren. Fail. 2018, 40, 92–98. [Google Scholar] [CrossRef]
- Boshtam, M.; Kouhpayeh, S.; Amini, F.; Azizi, Y.; Najaflu, M.; Shariati, L.; Khanahmad, H. Anti-Inflammatory Effects of Apocynin: A Narrative Review of the Evidence. Life 2021, 14, 997–1010. [Google Scholar] [CrossRef]
- Abdelmageed, M.E.; El-Awady, M.S.; Suddek, G.M. Apocynin Ameliorates Endotoxin-Induced Acute Lung Injury in Rats. Int. Immunopharmacol. 2016, 30, 163–170. [Google Scholar] [CrossRef]
- Wang, K.; Li, L.; Song, Y.; Ye, X.; Fu, S.; Jiang, J.; Li, S. Improvement of Pharmacokinetics Behavior of Apocynin by Nitrone Derivatization: Comparative Pharmacokinetics of Nitrone-Apocynin and Its Parent Apocynin in Rats. PLoS ONE 2013, 8, e70189. [Google Scholar] [CrossRef] [Green Version]
- Choi, S.H.; Suh, G.J.; Kwon, W.Y.; Kim, K.S.; Park, M.J.; Kim, T.; Ko, J.I. Apocynin Suppressed the Nuclear Factor-ΚB Pathway and Attenuated Lung Injury in a Rat Hemorrhagic Shock Model. J. Trauma Acute Care Surg. 2017, 82, 566–574. [Google Scholar] [CrossRef] [PubMed]
- ‘T Hart, B.A.; Simons, J.M.; Shoshan, K.-S.; Bakker, N.P.M.; Labadie, R.P. Antiarthritic Activity of the Newly Developed Neutrophil Oxidative Burst Antagonist Apocynin. Free Radic. Biol. Med. 1990, 9, 127–131. [Google Scholar] [CrossRef]
- ‘T Hart, B.A.; Copray, S.; Philippens, I. Apocynin, a Low Molecular Oral Treatment for Neurodegenerative Disease. BioMed Res. Int. 2014, 2014, 298020. [Google Scholar] [CrossRef] [PubMed]
- Van den Worm, E.; Beukelman, C.J.; Van den Berg, A.J.J.; Kroes, B.H.; Labadie, R.P.; Van Dijk, H. Effects of Methoxylation of Apocynin and Analogs on the Inhibition of Reactive Oxygen Species Production by Stimulated Human Neutrophils. Eur. J. Pharmacol. 2001, 433, 225–230. [Google Scholar] [CrossRef]
- Palmen, M.; Beukelman, C.; Mooij, R.; Pena, A.; Vonrees, E. Anti-Inflammatory Effect of Apocynin, a Plant-Derived NADPH Oxidase Antagonist, in Acute Experimental Colitis. Neth. J. Med. 1995, 47, A41. [Google Scholar] [CrossRef]
- Pandey, A.; Kour, K.; Bani, S.; Suri, K.A.; Satti, N.K.; Sharma, P.; Qazi, G.N. Amelioration of Adjuvant Induced Arthritis by Apocynin: Amelioration of adjuvant induced arthritis by apocynin. Phytother. Res. 2009, 23, 1462–1468. [Google Scholar] [CrossRef] [PubMed]
- Harraz, M.M.; Marden, J.J.; Zhou, W.; Zhang, Y.; Williams, A.; Sharov, V.S.; Nelson, K.; Luo, M.; Paulson, H.; Schöneich, C.; et al. SOD1 Mutations Disrupt Redox-Sensitive Rac Regulation of NADPH Oxidase in a Familial ALS Model. J. Clin. Investig. 2008, 118, JCI34060. [Google Scholar] [CrossRef] [Green Version]
- Komogortsev, A.N.; Lichitsky, B.V.; Melekhina, V.G. Straightforward One-Step Approach towards Novel Derivatives of 9-Oxo-5,6,7,9-Tetrahydrobenzo[9,10]Heptaleno[3,2-b]Furan-12-Yl)Acetic Acid Based on the Multicomponent Reaction of Colchiceine, Arylglyoxals and Meldrum’s Acid. Tetrahedron Lett. 2021, 78, 153292. [Google Scholar] [CrossRef]
- Gorbunov, Y.O.; Lichitsky, B.V.; Komogortsev, A.N.; Mityanov, V.S.; Dudinov, A.A.; Krayushkin, M.M. Synthesis of Condensed Furylacetic Acids Based on Multicomponent Condensation of Heterocyclic Enols with Arylglyoxals and Meldrum’s Acid. Chem. Heterocycl. Compd. 2018, 54, 692–695. [Google Scholar] [CrossRef]
- Komogortsev, A.N.; Lichitsky, B.V.; Tretyakov, A.D.; Dudinov, A.A.; Krayushkin, M.M. Investigation of the Multicomponent Reaction of 5-Hydroxy-2-Methyl-4H-Pyran-4-One with Carbonyl Compounds and Meldrum’s Acid. Chem. Heterocycl. Compd. 2019, 55, 818–822. [Google Scholar] [CrossRef]
- Lichitsky, B.V.; Melekhina, V.G.; Komogortsev, A.N.; Minyaev, M.E. A New Multicomponent Approach to the Synthesis of Substituted Furan-2(5H)-Ones Containing 4H-Chromen-4-One Fragment. Tetrahedron Lett. 2020, 61, 152602. [Google Scholar] [CrossRef]
- Lichitsky, B.V.; Tretyakov, A.D.; Komogortsev, A.N.; Mityanov, V.S.; Dudinov, A.A.; Gorbunov, Y.O.; Daeva, E.D.; Krayushkin, M.M. Synthesis of Substituted Benzofuran-3-Ylacetic Acids Based on Three-Component Condensation of Polyalkoxyphenols, Arylglyoxals and Meldrum’s Acid. Mendeleev Commun. 2019, 29, 587–588. [Google Scholar] [CrossRef]
- Lichitsky, B.V.; Komogortsev, A.N.; Melekhina, V.G. 2-(2-(4-Methoxyphenyl)Furo[3,2-h]Quinolin-3-Yl)Acetic Acid. Molbank 2022, 2022, M1315. [Google Scholar] [CrossRef]
- Lichitsky, B.V.; Komogortsev, A.N.; Melekhina, V.G. 2-(2-(4-Methoxyphenyl)-4,9-Dimethyl-7-Oxo-7H-Furo[2,3-f]Chromen-3-Yl)Acetic Acid. Molbank 2021, 2021, M1304. [Google Scholar] [CrossRef]


Publisher’s Note: MDPI stays neutral with regard to jurisdictional claims in published maps and institutional affiliations. |
© 2022 by the authors. Licensee MDPI, Basel, Switzerland. This article is an open access article distributed under the terms and conditions of the Creative Commons Attribution (CC BY) license (https://creativecommons.org/licenses/by/4.0/).
Share and Cite
Lichitsky, B.V.; Komogortsev, A.N.; Melekhina, V.G. 2-(5-Acetyl-7-methoxy-2-(4-methoxyphenyl)benzofuran-3-yl)acetic Acid. Molbank 2022, 2022, M1357. https://doi.org/10.3390/M1357
Lichitsky BV, Komogortsev AN, Melekhina VG. 2-(5-Acetyl-7-methoxy-2-(4-methoxyphenyl)benzofuran-3-yl)acetic Acid. Molbank. 2022; 2022(2):M1357. https://doi.org/10.3390/M1357
Chicago/Turabian StyleLichitsky, Boris V., Andrey N. Komogortsev, and Valeriya G. Melekhina. 2022. "2-(5-Acetyl-7-methoxy-2-(4-methoxyphenyl)benzofuran-3-yl)acetic Acid" Molbank 2022, no. 2: M1357. https://doi.org/10.3390/M1357
APA StyleLichitsky, B. V., Komogortsev, A. N., & Melekhina, V. G. (2022). 2-(5-Acetyl-7-methoxy-2-(4-methoxyphenyl)benzofuran-3-yl)acetic Acid. Molbank, 2022(2), M1357. https://doi.org/10.3390/M1357

