Abstract
The alkene functionalised 2-aminobenzimidazole ring found in terrazoanthine natural products was synthesized in 3 steps from 1,2-epoxy-4-vinylcyclohexane via epoxide ring opening with toluenesulphonamide yielding 2 regioisomeric, separable amino alcohols. One isomer was oxidized to the corresponding ketone and subsequently condensed with cyanamide to furnish the title compound, which was characterized by 1H-NMR and 13C-NMR spectroscopy.
1. Introduction
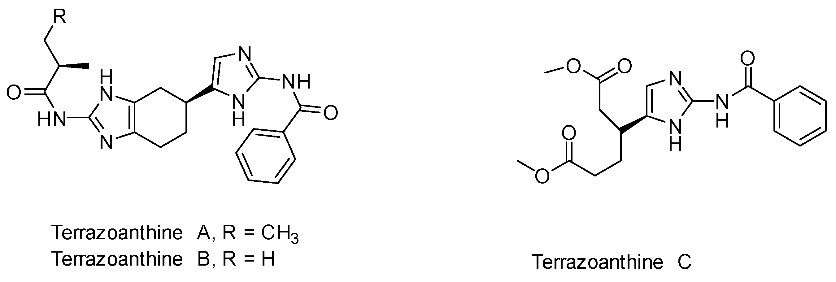
The terrazoanthines (A–C) are a family of 2-aminoimidazole alkaloids isolated from the marine invertebrate group, the zoantharians, off the coast of Ecuador by Thomas et al. [1] These compounds give an insight into the chemical content of Terrazoanthus onoi. Terrazoanthine A and B both contain a previously unknown 6-(imidazol-5-yl)benzo[d]imidazole skeleton (Figure 1).
Figure 1.
Structure of Terrazoanthines A–C.
The 2-aminoimidazole ring is an interesting structural moiety in medicinal chemistry. Biological targets containing glutamate and aspartate residues can interact with the 2-aminoimidazole ring via four hydrogen bonds. [2] It has also been utilized as a bioisostere for the replacement of guanidine, benzamidine and triazole groups in biologically active compounds [3,4,5]. There have been several 2-aminoimidazole natural products that have been the synthesized including sceptrin [6,7], ageliferin [7,8] and dragmacidins D and F [9,10]. We envisaged that the 2-aminoimidazole ring could be installed via a condensation strategy using an α-amino ketone. Alternative strategies have been reported for 2-aminoimidazole synthesis, including reaction of α-halo ketones with guanidine salts [11], or lithiation of imidazoles and subsequent quenching with an electrophilic source of azide and subsequent hydrogenolysis to yield the 2-aminoimidazole functionality [12].
2. Results and Discussion
The synthesis was commenced from commercially available 4-vinyl-1-cyclohexene 1,2-epoxide, mixture of isomers 1. The epoxide underwent aminolysis with p-toluenesulfonamide under microwave irradiation, using conditions similar to those reported by Yang and Murray [13], giving two separable, regioisomeric amino alcohols 2 and 3. The more polar isomer 3 (Rf 0.22, EtOAc-cyclohexane, silica plates) was isolated and then oxidised with PCC in dichloromethane and the resulting ketone 4 was condensed with cyanamide by heating at reflux in H2O to give the 2-aminoimidazole 5 containing the fused ring of terrazoanthine A/B (Scheme 1). Efforts to transform the alkene 5 into functional groups that would enable a second 2-aminoimidazole ring to be incorporated have not been successful to date in our hands. Reactions investigated have included aziridination with chloramine-t hydrate-trimethylphenyl ammonium bromide (decomposition); dihydroxylation with OsO4 (recovered reactant), RuCl3-NaIO4-CeCl3 (decomposition), I2-AgOAc (decomposition), epoxidation with mCPBA (recovered reactant) and halohydrin formation with NBS/NIS/NCS (recovered reactant). The structural assignment is supported by gHMBCAD experiments combined with gHSQCAD in 4. The CH2 signals between the CHs with the vinyl and Ts groups appear as 2 multiplets at δ 2.63 and δ 1.78 ppm. In the gHMBCAD this CH2 signal (ms at δ 2.63 (weak) and δ 1.78 (strong)) ppm show crosspeaks to the 13C signal for the CH bonded to the NHTs group (δ 56.95 ppm). The signal at δ 1.78 ppm also showed strong crosspeaks with the signal for the C = O (δ 205.86 ppm) and the alkene CH (δ 138.5 ppm) indicating this proton is located on the CH2 between the NHTs and vinyl groups. In addition, the NMR assignments for 5 determined by 2D gCOSY, gHSQCAD and gHMBCAD and 2D-NOESY are shown in Figure 2. In the NOESY a cross peak between the multiplet at δ 2.76–2.84 ppm and the Ts protons supported the placement of the Ts group on the nitrogen atom closest to this proton.
Scheme 1.
Synthesis of 5.
Figure 2.
Selected 1H-NMR (left) and 13C-NMR assignments (middle) and observed NOE (right). All values given are chemical shifts (δ) in ppm.
3. Conclusions
The fused core of terrazoanthines A/B natural products were synthesized in 3 steps via epoxide aminolysis, oxidation and condensation strategy to yield the fused 2-aminoimidazole heterocycle, with the structure determined by a combination of 1D and 2D NMR spectroscopic techniques (Supplementary Materials).
4. Materials and Methods
4.1. General Information
All reagents used were from commercial sources and used without further purification. TLC experiments were performed using aluminum sheets pre-coated with silica gel 60 (HF254, E. Merck, Darmstadt, Germany). NMR experiments were carried out in CDCl3 using a 500 MHz spectrometer (Varian Ltd (Agilent), CA, Palo Alto, USA), with the chemical shifts reported relative to internal Me4Si (δ 0.00). NMR spectra were processed and analysed using MestReNova software. Signals from 1H and 13C spectra were assigned using 2D gCOSY, gHSQCAD & gHMBCAD spectroscopy and 2D-NOESY. J values are reported as observed. CDCl3 (δ 77.16) and signals were used for assignment of 13C signals. HRMS data were obtained using a Waters LCT Premier XE Spectrometer. Chromatography was performed with silica gel 60 (Sigma Aldrich, Wicklow, Ireland). IR spectra were measured for films on KBr plates.
4.2. Tosyl-6-vinyl-4,5,6,7-tetrahydro-1 H-benzo[d]imidazole-2-amine (5)
A 35 mL microwave tube was charged with p-toluenesulfonamide (1.7 g, 10 mmol, 1 equiv) and K2CO3 (2.7 g, 20 mmol, 2 equiv). N,N-Dimethylformamide (DMF, 20 mL) was then added followed by 4-vinyl-1-cyclohexene-1,2-epoxide 1 (mixure of isomers, 3.9 mL, 30 mmol, 3 equiv). The tube was sealed with a septum and heated to 80 °C under microwave irradiation for 20 min. The resulting black solution was poured into a biphasic mixture of Et2O-H2O (500 mL, 1:1). The mixture was shaken and the aqueous portion was further extracted with Et2O (2 x 100 mL). The combined organic portions were washed with saturated aqueous NH4Cl (50 mL), brine (50 mL), dried over anhydrous Na2SO4, filtered and the solvent was removed under reduced pressure to yield a dark brown oily residue. This was a mixture of two regioisomeric products (1.8 g, 1:1, 60%) with Rf values (1:1 EtOAc-cyclohexane) of 0.27 (2) and 0.22 (3). Silica gel chromatography was used to separate the products and the more polar isomer 3, N-(2-hydroxy-5-vinylcyclohexyl)-4-methylbenzenesulfonamide, which co-eluted with a small amount of the p-toluenesulfonamide, was carried forward to the next stage. Analytical data for 3: IR 3355, 3259, 3064, 1638, 1299, 1152, 1095 cm−1; [1H-NMR (500 MHz, CDCl3) δ 7.78 (apt d, J = 8.3 Hz, 2H, Ar-H), 7.32 (apt d, J = 8.5 Hz, 2H, Ar-H), 5.62 (dddd, J = 17.4, 10.7, 5.2, 1.9 Hz, 1H, alkene C-H), 4.97 (d, J = 10.7 Hz, 1H, alkene CH(H)), 4.92 (d, J = 6.8 Hz, 1H, -NH), 4.80 (d, J = 17.4 Hz, 1H, alkene CH(H)), 3.41 (broad signal, 1H, CH-OH), 3.12 (m, 1H, CH-N), 2.43 (s, 3H, tosyl CH3), 2.33 (m, 1H, CH-CH = CH2), 1.31–1.85 (overlapped signals and ms, 6H, cyclohexane CH2 signals); 13C-NMR (126 MHz, CDCl3) δ 143.8 (aromatic C), 140.49 (alkene CH), 137.3 (aromatic C), 129.79 (Ar-CH), 127.22 (Ar-CH), 114.56 (Alkene CH2), 72.40 (CH-O), 55.01 (CH-N), 35.40 (CH-CH = CH2), 34.02 (CH2), 28.42 (CH2), 27.13 (CH2, 21.54 (Tosyl CH3); HRMS calc. for C15H22O3NS 296.1320 found [M + H]+ 296.1319.
A solution of this intermediate 3 (1.8 g, 6.1 mmol) in CH2Cl2 (40 mL) was added to a flame dried 100 mL round bottom flask containing pyridinium chlorochromate (3.27 g, 15.2 mmol, 2.5 equiv) and celite. The resulting mixture was stirred overnight at room temperature, then diluted with Et2O and filtered through silica gel, eluting with CH2Cl2. The filtrate was concentrated under reduced pressure and silica gel column chromatography (30% EtOAc in cyclohexane) gave 1.4 g of ketone 4 (4.8 mmol, 79% yield); IR 3292, 2930, 1716, 1639, 1417, 1325, 1158 cm−1; 1H-NMR (500 MHz, CDCl3) δ 7.70 (d, J = 8.4 Hz, 2H, aromatic H), 7.27 (d, J = 8.4 Hz, 2H, aromatic H), 5.92 (dddd, J = 14.9, 10.7, 4.1, 2.0 Hz, 1H, alkene CH), 5.69 (d, J = 4.6 Hz, 1H, NH), 5.38–5.20 (overlapped signals, 2H, alkene CH2), 3.91 (dt, J = 12.1, 5.0 Hz, 1H, CH-NHTs), 2.71–2.59 (overlapping signals, 2H), 2.40 (s, 3H, tosyl CH3), 2.35 (overlapping signals, 2H), 2.15–2.05 (broad doublet (J = 13.0 Hz) or m, 1H), 1.93–1.83 (m, 1H), 1.78 (tdd, J = 13.0, 4.7, 2.1 Hz, 1H); 13C-NMR (126 MHz, CDCl3) δ 205.86 (C1), 143.59 (Ar-C), 138.55 (alkene CH), 136.75 (Ar-C), 129.74 (Ar-CH), 127.00 (Ar-CH), 116.15 (alkene CH2), 56.92 (CHN), 39.14 (CHNHCH2CH(vinyl)CH2), 36.81 (CH2C = O), 34.77 (CHCH = CH2), 30.76 (CH2), 21.51 (CH3). HRMS calc. for C15H20O3NS 294.1164 found [M + H]+ 294.1150.
To a round bottom flask containing this ketone (1.4 g, 4.8 mmol) was added cyanamide (1.22 g, 29 mmol), H2O (30 mL) and the mixture was heated to reflux for 3 h, then cooled to room temperature and extracted with CH2Cl2 (3 × 25 mL). The combined organic portions were washed with brine (2 × 10 mL), dried over anhydrous Na2SO4, filtered and concentrated under reduced pressure. Silica gel column chromatography (100% EtOAc) gave the title compound 5 as a greenish solid (925 mg, 2.9 mmol, 61%); IR 3463, 3072, 1638, 1561, 1362, 1162 cm−1; 1H-NMR (500 MHz, CDCl3) δ 7.78 (d, J = 8.3 Hz, 2H), 7.32 (d, J = 8.4 Hz, 2H), 5.82 (m, 1H, alkene CH), 5.45 (s, 2H, NH2), 5.04 (br d, J = 17.3 Hz, 1H, alkene CH), 4.99 (br d or m, J = 10.3 Hz, 1H, alkene H), 2.84–2.76 (m, 1H), 2.42 (s, 3H, tosyl CH3), 2.34–2.36 (overlapping signals, 4H), 1.83 (apt d or br d, J = 11.6 Hz, 1H), 1.52–1.44 (m, 1H); 13C-NMR (126 MHz, CDCl3) δ 148.45 (imidazole C, C-NH2), 145.71 (Ar-C), 142.10 (alkene C-H), 135.85 (Ar-C), 134.26 (imidazole C, C = C-NTs), 130.28 (Ar CH), 127.05 (Ar CH), 118.94 (imidazole C-CH2), 113.74 (Alkene CH2), 38.22 (CH), 28.52 (CH2), 28.25 (CH2), 23.15 (CH2), 21.82 (Tosyl CH3). HRMS calc. for C16H20O2N3S 318.1276 found [M + H]+ 318.1269.
Supplementary Materials
The following are available online, Various 1D and 2D NMR spectra of compounds 3–5.
Author Contributions
F.B.M. conceived and designed the experiments, drafted the manuscript and made revisions; F.B.M. & S.O. performed the experiments; F.B.M., S.O. and P.V.M. analysed the data; P.V.M. is principal investigator and project director and contributed to the target selection, synthesis route design as well as correcting drafts and finalising the manuscript. All authors have read and agreed to the published version of the manuscript.
Funding
The material presented herein was funded in part by Science Foundation Ireland (Grant No. 16/IA/4419 to PM).
Institutional Review Board Statement
Not applicable.
Informed Consent Statement
Not applicable.
Data Availability Statement
The data is reported in the manuscript.
Conflicts of Interest
The authors declare no conflict of interest.
References
- Guillen, P.O.; Jaramillo, K.B.; Genta-Jouve, G.; Sinniger, F.; Rodriguez, J.; Thomas, O.P. Terrazoanthines, 2-Aminoimidazole Alkaloids from the Tropical Eastern Pacific Zoantharian Terrazoanthus Onoi. Org. Lett. 2017, 19, 1558–1561. [Google Scholar] [CrossRef] [Green Version]
- Arita, K.; Hashimoto, H.; Shimizu, T.; Nakashima, K.; Yamada, M.; Sato, M. Structural Basis for Ca(2+)-Induced Activation of Human PAD4. Nat. Struct. Mol. Biol. 2004, 11, 777–783. [Google Scholar] [CrossRef] [PubMed]
- Pitts, W.J.; Wityak, J.; Smallheer, J.M.; Tobin, A.E.; Jetter, J.W.; Buynitsky, J.S.; Harlow, P.P.; Solomon, K.A.; Corjay, M.H.; Mousa, S.A.; et al. Isoxazolines as Potent Antagonists of the Integrin αvβ3. J. Med. Chem. 2000, 43, 27–40. [Google Scholar] [CrossRef] [PubMed]
- Huigens, R.W.; Reyes, S.; Reed, C.S.; Bunders, C.; Rogers, S.A.; Steinhauer, A.T.; Melander, C. The Chemical Synthesis and Antibiotic Activity of a Diverse Library of 2-Aminobenzimidazole Small Molecules against MRSA and Multidrug-Resistant A. Baumannii. Bioorganic Med. Chem. 2010, 18, 663–674. [Google Scholar] [CrossRef] [PubMed]
- Rogers, S.A.; Bero, J.D.; Melander, C. Chemical Synthesis and Biological Screening of 2-Aminoimidazole-Based Bacterial and Fungal Antibiofilm Agents. ChemBioChem 2010, 11, 396–410. [Google Scholar] [CrossRef] [PubMed]
- Baran, P.S.; Zografos, A.L.; O’Malley, D.P. Short Total Synthesis of (±)-Sceptrin. J. Am. Chem. Soc. 2004, 126, 3726–3727. [Google Scholar] [CrossRef] [PubMed]
- Baran, P.S.; Li, K.; O’Malley, D.P.; Mitsos, C. Short, Enantioselective Total Synthesis of Sceptrin and Ageliferin by Programmed Oxaquadricyclane Fragmentation. Angew. Chem. Int. Ed. 2005, 45, 249–252. [Google Scholar] [CrossRef] [PubMed]
- Baran, P.S.; O’Malley, D.P.; Zografos, A.L. Sceptrin as a Potential Biosynthetic Precursor to Complex Pyrrole-Imidazole Alkaloids: The Total Synthesis of Ageliferin. Angew. Chem. Int. Ed. 2004, 43, 2674–2677. [Google Scholar] [CrossRef] [PubMed]
- Garg, N.K.; Sarpong, R.; Stoltz, B.M. The First Total Synthesis of Dragmacidin D Protocols from a Number of Deep Water Sponges Including. J. Am. Chem. Soc. 2002, 124, 13179–13184. [Google Scholar] [CrossRef] [PubMed] [Green Version]
- Garg, N.K.; Caspi, D.D.; Stoltz, B.M. The Total Synthesis of (+)-Dragmacidin F. J. Am. Chem. Soc. 2004, 126, 9552–9553. [Google Scholar] [CrossRef] [PubMed]
- Little, T.L.; Webber, S.E. A Simple and Practical Synthesis of 2-Aminoimidazoles. J. Org. Chem. 1994, 59, 7299–7305. [Google Scholar] [CrossRef]
- Sullivan, J.; Giles, R.; Looper, R. 2-Aminoimidazoles from Leucetta Sponges: Synthesis and Biology of an Important Pharmacophore. Curr. Bioact. Compd. 2009, 5, 39–78. [Google Scholar] [CrossRef] [Green Version]
- Yang, S.M.; Murray, W.V. Microwave Assisted Ring-Opening of Epoxides with N-Biaryl Sulfonamides in the Synthesis of Matrix Metalloproteinase-9 Inhibitors. Tetrahedron Lett. 2008, 49, 835–839. [Google Scholar] [CrossRef]
Publisher’s Note: MDPI stays neutral with regard to jurisdictional claims in published maps and institutional affiliations. |
© 2021 by the authors. Licensee MDPI, Basel, Switzerland. This article is an open access article distributed under the terms and conditions of the Creative Commons Attribution (CC BY) license (https://creativecommons.org/licenses/by/4.0/).


