Abstract
A new pyrazolo-pyridine analogue (title compound) was synthesized in two steps. The first stage was synthesis of monoketone curcumin analogue through Claisen–Schmidt reaction. The second stage was synthesis of the title compound through intermolecular cyclization under reflux condition. The structure of the title compound has been confirmed by spectroscopic analysis including UV, FT-IR, HRMS, 1D NMR (1H-NMR, 13C-NMR, 1D-TOCSY), and 2D NMR (COSY, HSQC, HMBC). Based on the DPPH assay, the compound has moderate antioxidant activity, with an IC50 value of 194.06 ± 7.88 µg/mL (0.337 mM).
1. Introduction
Antioxidants are molecules that prevent cell damage caused by oxidation of a molecule. Antioxidants play an important role in the body’s defense mechanisms by scavenging or regulating the formation and removal of reactive oxygen species (ROS) and reactive nitrogen species (RNS). A good balance between ROS and RNS with antioxidants is necessary for proper physiological function. Both ROS and RNS participate in the emergence of oxidative stress [1,2]. Oxidative stress plays an important role in the development of age-related diseases including arthritis, diabetes, dementia, cancer, atherosclerosis, vascular disease, osteoporosis, and metabolic syndrome [3,4].
Intake of dietary antioxidants, whether naturally occurring or synthetically, can increase protection against free radicals and thus can reduce the risk of oxidative stress and improve quality of life by preventing several diseases, contributing to substantial savings in health care costs. Thus, the design and synthesis of new compounds capable of acting as potent antioxidants and of low toxicity is a growing area of research in the field of medicinal chemical synthesis. Chemical synthesis is one of the pathways for finding new antioxidants. Some heterocyclic compounds such as hydro pyrazole (pyrazoline) analogues have been also reported to have various potencies of pharmacological activities such antidiabetic [5,6], anti-dengue virus [7], anti-inflammatory [8], anticancer [9,10,11], and also antioxidant activity [12,13]. In addition, some pyrazole-incorporated monocarbonyl curcumin analogues have been also reported to exhibit potential antiproliferative and antioxidant activities [14]. In this work, we report the synthesis of a new pyrazolo-pyridine analogue through intermolecular cyclization of a monoketone curcumin analogue with phenyl hydrazine. Furthermore, its antioxidant activity is explored by the 1,1-diphenyl-2-picrylhydrazyl (DPPH) method.
2. Results and Discussions
2.1. Synthesis
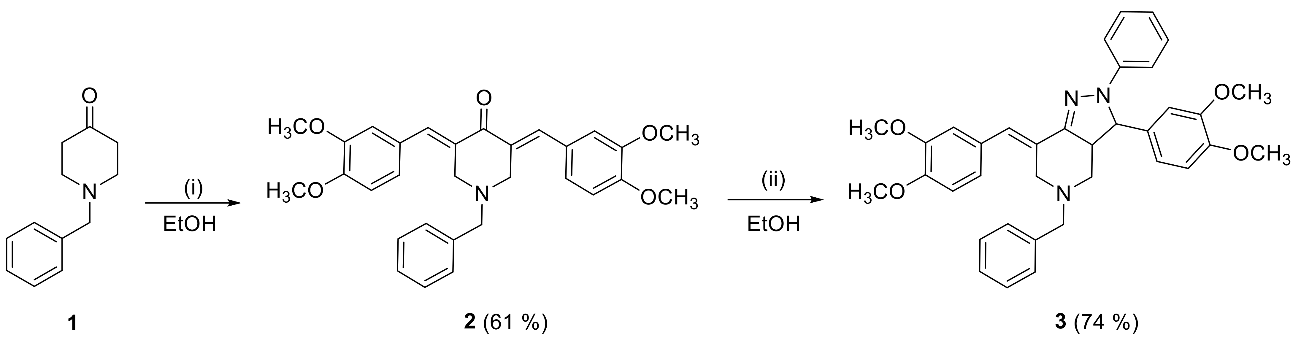
The title compound (3) was synthesized in two steps, as depicted in Figure 1. First, the synthesis of the intermediate, 1-benzyl-3,5-bis((E)-3,4-dimethoxybenzylidene)piperidin-4-one (2), was carried out by reacting 1-benzylpiperidin-4-one (1) with 3,4-dimethoxybenzaldehyde through Claisen–Schmidt condensation. The intermediate was a known compound and the synthesis was carried out by modifying the previously reported procedure [15]. In this study, the synthesis was performed with the aid of microwave irradiation in the presence of potassium hydroxide solution. The phase of the Claisen–Schmidt condensation reaction with an alkaline catalyst begun with the seizure of α hydrogen in compound 1 by an alkaline catalyst to produce enolate ions. Furthermore, the enolate ion was nucleophilic which attacked the carbon atom in the carbonyl group of 3,4-dimethoxybenzaldehyde, which acts as an electrophile, so that a C-C bond is formed and a β-hydroxy curcumin compound will then undergo a dehydration reaction or release of water molecules [16] to produce the compound 2. Second, the synthesis of (E)-5-benzyl-7-(3,4-dimethoxybenzylidene)-3-(3,4-dimethoxyphenyl)-2-phenyl-3,3a,4,5,6,7-hexahydro-2H-pyrazolo[4,3-c]pyridine (3) by reacting the compound 2 with phenyl hydrazine in the presence of potassium hydroxide under reflux condition for 3 h. The pyrazolo-pyridine ring in the compound 3 was formed through the nucleophilic addition of phenyl hydrazine to the carbonyl group of compound 2, and then followed by intramolecular cyclization to form the compound 3 [17]. The compound 3 is a novel compound and was not previously reported.
Figure 1.
The synthesis route of the title compound; (i) 2 eq. of 3,4-dimethoxybenzaldehyde, 10% KOH, 180 W, 135 °C, 1 h, (ii) 6 eq. of phenyl hydrazine, 10% KOH, refluxed at 80 °C for 3 h.
The first stage synthesis produced the crude product 2. The pure product was obtained after it was recrystallized from hot methanol. The result of TLC analysis of 2 using a mixture of n-hexane and DCM (7:3) as mobile phase showed the single spot under 254 UV lamp with an Rf value of 0.25 (see Supplementary Materials, Figure S2). Then, the TLC analysis using a mixtures of n-hexane:chloroform (7:3) and n-hexane:ethyl acetate (7:3) as mobile phases also showed the single spot with Rf values of 0.30 and 0.52, respectively. The melting point of 2 is reached at 137–139 °C. This sharp melting point is characteristic for pure crystalline compounds. Then, the product 2 in yellow solid was used as starting material for the second stage synthesis.
The result of TLC analysis of crude product 3 using n-hexane:DCM (7:3) as mobile phase showed the single spot under 366 UV lamp with an Rf value of 0.45 (see Supplementary Materials, Figure S3). Then, the TLC analysis using a mixtures of n-hexane:chloroform (7:3) and n-hexane:ethyl acetate (7:3) as mobile phases also showed the single spot with Rf values of 0.55 and 0.70, respectively. The compound 3 was obtained as orange solid without recrystallization and with a 75% yield. The high performance liquid chromatography (HPLC) chromatogram of the compound 3 showed a major peak with retention time of 22.53 min (see Supplementary Materials, Figure S4).
HRMS analysis of compound 3 was performed to determine the molecular mass. Based on the HRMS spectra, the compound 3 has a molecular weight as predicted. The molecular mass was calculated as [M + H]+ = 576.2862 (C36H38N3O4) and was found at m/z = 576.2867 (see Supplementary Materials, Figure S33). The very small difference between the calculated and found mass indicates that the compound 3 has high purity.
The spectroscopic analyses including ultraviolet-visible (UV-Vis), Fourier transform–infra red (FT-IR), 1D and 2D nuclear magnetic resonance (NMR) were also performed to confirm targeted structure. The UV spectra of compound 3 showed the absorbance at maxima of 280 and 350 nm. Both absorptions showed the electronic transitions of the conjugation systems in the title compound. The FT-IR spectra of compound 3 showed the absorption bands around 3023–3004 cm−1 and 1513–1465 cm−1. These absorptions were due to vibrations of aromatic C–H and C=C bonds in the aromatic rings of the title compound. The strong absorption band at 1596 cm−1 and some absorption bands around 1235–1264 cm−1 show the presence of C=N and C–N bonds in the heterocyclic pyrazolo-pyridine ring. The absorption bands around and 2908–2836 cm−1 and 1157–1025 cm−1 showed the presence of aliphatic C–H and C–O bonds in the methoxy groups of the title compound.
The 1D and 2D NMR analysis of product 3 also showed that the structure of obtained product was matched with the targeted molecule. Based on the 1H NMR spectra, there were 17 protons in the aromatic proton area and 20 protons in the aliphatic proton area. The total of integration (37 protons) corresponded to the number of protons in the title compound. The multiplet signal around δ 7.27–7.22 ppm (5H) was assigned as aromatic protons in benzyl ring (Ar′′′′) of the title compound. The triplet (2H), doublet (2H), and triplet (1H) signals at δ 7.17, 7.10, and 6.85 ppm, respectively, were assigned as aromatic protons in phenyl ring (Ar’). The doublet (1H, J = 2 Hz), doublet of doublet (1H, J = 8 Hz, 2 Hz), and doublet (1H, J = 8 Hz) signals at δ 6.95; 6.91; and 6.85 ppm were assigned as aromatic protons of 2′′, 6′′, and 5′′ in 3,4-dimethoxyphenyl ring (Ar′′). The proton 2′′ has long range connectivity (meta coupling) with proton 6′′ with a J value of 2 Hz. The singlet (2H) and singlet (1H) signals at δ 6.83 and 6.77 ppm were assigned as proton 5′′′/6′′′ and 2′′′, respectively. Then, the singlet signal (1H) at δ 7.29 ppm was assigned as proton 7b. The signal assignment in the 1H NMR spectra was supported by 1D total correlated spectroscopy (1D-TOCSY) and correlation of spectroscopy (COSY) analyses (see Supplementary Materials, Figures S9–S13).
Based on the calculation of coupling constants (J) for proton signals in the aliphatic area, it was observed that the protons 3a and 3 were located in axial orientation (J3a−3 = 12.5 Hz, φ3−3a = ~180°), as depicted in Figure 2; meanwhile, the Ar′′ was located in equatorial position. The doublet of doublet signal of proton 4a with J = 10.5 Hz and 6 Hz showed that the proton 4a has correlations with protons 4b (geminal coupling) and 3a (vicinal coupling, φ4a−3a = ~50°), respectively. In addition, the triplet signal of proton 4b with J = 10.5 Hz showed that the proton 4b has correlation with proton 4a (germinal coupling) and 3a (vicinal coupling, φ4b−3a = ~140°). Then, the two doublet (1H) signals at δ 3.69 and 3.66 ppm with J = 13.5 Hz were assigned as geminal protons 5aa and 5ab. Then, the two signals at δ 4.09 and 3.16 were also assigned as germinal protons 6a and 6b, respectively.
Figure 2.
The orientation of aliphatic protons in the pyrazolo-pyridine ring of the title compound based on the correlation between 3J and φ values (see Karplus Curve). The signal of proton 3a appeared as a multiplet (highlighted in yellow) because it was correlated with protons 3, 4b, and 4a. (The correlations were also confirmed by COSY and 1D-TOCSY analysis; see Supplementary Materials, Figures S9–S13.) The correlation between protons 3a and 3 is highlighted in red, the correlation between protons 3a and 4b is highlighted in blue, and the correlation between protons 3a and 4a is highlighted in green.
Compound 3 has two chiral centers and therefore they may exist in four stereoisomeric forms (R,R; S,S; R,S; and S,R). However, based on the orientations of protons 3a and 3 (see Figure 2), it can be concluded that there are only two possibilities of stereoisomeric forms (R,S or S,R), as depicted in Figure 3. However, we did not detect the present of diastereomeric or enantiomeric mixture in product 3 (the display of 1H and 13C-NMR spectra are quite clear). For this reason, the relative stereochemistry of compound 3 was labelled as rel-S,R.
Figure 3.
The two possibilities of configuration of compound 3.
The signal assignment in 13C-NMR spectra of compound 3 was supported by 2D NMR analysis, including heteronuclear single quantum correlation (HSQC) and heteronuclear multiple bond correlation (HMBC). Based on the HSQC spectra of compound 3, there were 4 primary carbons (methoxy carbons), 3 secondary carbons (4, 5, 6), 19 tertiary carbons, and 10 quaternary carbons (36 carbons in total). Then, the HMBC analysis was also performed to observe the correlations between protons and carbons in 2–4 bonds. Both 2D NMR interpretations showed the match correlation with the expected structure, as depicted in Figure 4. The interpretation of 1D and 2D NMR spectra of the title compound are presented in Table 1.
Figure 4.
The 2D NMR analysis of the title compound: (a) the chemical shift of the carbons based on the interpretation of 13C-NMR and HSQC spectra; (b) the important correlations in HMBC spectra of the title compound.
Table 1.
Interpretation of 1D and 2D NMR spectra of the title compound.
2.2. Test for Antioxidant Activity
The antioxidant activity of the title compound was analyzed by DPPH method. This in vitro test is probably the most popular choice because it is simple, fast, and low-cost. The results of antioxidant activity evaluation, presented in Table 2, showed that at the highest test concentration (1000 µg/mL), the title compound exhibited 82.06 ± 0.78% of DPPH scavenging activity. Based on the inhibition concentration 50 (IC50) calculation, the title compound showed moderate antioxidant activity, with an IC50 value of 194.06 ± 7.88 µg/mL (0.337 mM).
Table 2.
Absorbance measurement in DPPH assay of the title compound.
3. Materials and Methods
3.1. Materials
Some materials used in this work were purchased from Sigma-Aldrich, such as 1-benzyl-4-piperidone, 3,4-dimethoxybenzaldehyde, and phenyl hydrazine. The other materials, including potassium hydroxide, methanol, ethanol absolute, dichloromethane, n-hexane, and TLC plate (GF254), were purchased form Merck.
3.2. Instrumentations
The instruments used in synthesis, purification, and structure characterization of the title compound were a reflux apparatus, UV lamp 254/366 nm (CamagTM), HPLC (Shimadzu LC Solution) with Shimpack VP-ODS column 250 × 4.6 mm, UV-Vis spectrophotometer (Genesys 10S UV-Vis), HRMS (Waters Xevo QTOFMS Instruments, Milford, MA, USA), FT-IR spectrophotometer (Shimadzu IR Prestige-21, Shimadzu Corporation, Kyoto, Japan), and NMR spectrometer 500 MHz and 125 MHz (Agilent Technologies, Santa Clara, CA, USA). The instrument used in antioxidant assay was a 96-well microplate reader (Epoch Biotech, Winooski, VT, USA).
3.3. Methods
3.3.1. Synthesis of Compound 2
The synthesis of intermediate compound 2 was performed by modifying a previously reported procedure [15]. First, 1-benzylpiperidin-4-one (5.0 mmol) was dissolved in 5 mL ethanol. Then, 3,4-dimethoxy benzaldehyde (10.0 mmol) and KOH (10%, 4 mL) were added to the solution. The mixture was irradiated in the microwave at 180 W and 135 °C for 1 h and the reaction was monitored using TLC. After the reaction is complete, the mixture was neutralized with hydrochloric acid 3 N, and then it was kept in an ice bath for 6 h. The crystal obtained was filtered using a Buchner funnel and washed with cold aqua DM and n-hexane. The crude product was recrystallized from hot methanol and then characterized by TLC, and the melting point was measured.
The compound 2 was obtained as yellow solid in 61% yield (previously reported procedure: 92% [15]) and the melting point was reached at 137–139 °C (previously reported procedure: 168–170 °C [15]).
3.3.2. Synthesis of Compound 3
The compound 2 (2.0 mmol) was dissolved in 5 mL of absolute ethanol. 10% KOH (3 mL) was added to the solution and the mixture was homogenized. Phenyl hydrazine (12 mmol) was added into the mixture and homogenized. The mixture was refluxed at 80 °C for 3 h and the reaction was monitored using TLC. After the reaction was completed, the mixture was cooled in an ice bath for 6 h. The crystal obtained was filtered using a Buchner funnel and washed with cold aqua DM, methanol, and n-hexane. Then, the structure of 3 was confirmed by spectroscopic analysis.
The compound 3 was obtained as orange crystal in 74% yield, with melting point of 106–107 °C.
UV spectra (in ethanol): 280 and 350 nm.
FTIR spectra (KBr, cm−1): 3023 (C-H), 3004 (C-H), 2908 (C-H), 2836 (C-H), 1596 (C=N), 1513 (C=C), 1499 (C=C), 1465 (C=C), 1256 (C-N), 1256 (C-N), 1235 (C-N), 1157 (C-O), 1139 (C-O), 1025 (C-O).
1H-NMR (CDCl3, 500 MHz): 7.29 (s, 1H); 7.27–7.22 (m, 5H); 7.17 (t, 2H, J = 8.5 Hz); 7.10 (d, 2H, J = 8 Hz), 6.95 (d, 1H, J = 2 Hz); 6.91 (dd, 1H, J = 8 Hz, 2Hz); 6.86 (d, 1H, J = 8 Hz); 6.85 (t, 1H, J = 8 Hz); 6.83 (s, 2H); 6.77 (s, 1H); 4.53 (d, 1H, J = 12.5 Hz); 4.09 (d, 1H, J = 14 Hz); 3.90 (s, 3H); 3.89 (s, 3H); 3.84 (s, 3H), 3.81 (s, 3H), 3.69 (d, 1H, J = 13.5 Hz); 3.66 (d, 1H, J = 13 Hz); 3.34 (m, 1H); 3.24 (dd, 1H, J = 11 Hz, 6 Hz); 3.16 (dd, 1H, J = 14 Hz, 3 Hz); 2.50 (t, 1H, J = 10.5 Hz).
13C-NMR (CDCl3, 125 MHz): 151.83; 149.71; 148.55; 148.53 (2C); 147.15; 137.51; 134.20; 129.08; 128.93 (2C); 128.70 (2C); 128.38 (2C); 127.39; 126.27; 126.22; 122.67; 120.39; 118. 45; 115.21 (2C); 112.51; 111.46; 110.90; 108.75; 72.03; 62.18; 55.97; 55.91; 55.87; 55.79; 55.58; 55.38; 54.35.
HRMS: molecular ion peak [M + H]+ was found at m/z 576.2867, calculated mass = 576.2862 (C36H38N3O4).
3.3.3. Test for Antioxidant Activity
The antioxidant activity evaluation for the title compound was performed by following the previously reported literatures [18,19,20] with slight modification. First, 10 mg of the title compound were dissolved in 10 mL methanol (1000 µg/mL). As much as 100 µL of this solution were transferred to line A in a 96-well microplate reader, while the lines B to G were added by 50 µL of methanol. Then, as much as 50 µL of solution in line A were transferred to line B, 50 µL of solution in line B were transferred to line C, and this procedure was repeated until line F. Furthermore, as much as 50 µL of solution from line F were discarded to obtain a serial concentration of 1000, 500, 250, 125, 62.5, and 31.25 in lines A–F, respectively. Then, as much as 80 µL of DPPH solution (40 µg/mL) were transferred to lines A–G, while line H was just filled with 130 µL of methanol as a blank and the test solutions were incubated for 30 min at room temperature in the dark room. The absorbance was measured at a wavelength of 517 nm with a 96-well microplate reader and the percentage of DPPH inhibition was calculated using formulae from previous reports [18,19,20]. The IC50 value was calculated based on the linear regression equation (y = ax + b) from the curve by plotting the Ln concentration and the percentage of inhibition (see Supplementary Materials, Table S2 and Figure S34). Then, the IC50 value was categorized based on the previous reports [18,19,20].
4. Conclusions
Based on the research, we concluded that the new pyrazolo-pyridine analogue (title compound) can be synthesized in two steps with a 74% yield. All spectroscopic data agreed with the expected structure, and based on the antioxidant activity evaluation, the title compound exhibited moderate antioxidant activity, with an IC50 value of 194.06 ± 7.88 µg/mL (0.337 mM).
Supplementary Materials
The following are available online at Figures S1–S34. Tables S1 and S2.
Author Contributions
Design of all experiments, A.Z.; Experimental synthetic work, A.Z., E.M., E.N.R. and N.H.; Interpretation of spectroscopic data, H.Y.T. and I.I.; Biological activity, E.M. and N.F.; Literature research and writing of manuscript, E.M., A.Z., N.F. and I.I.; Review and editing of manuscript, H.Y.T., N.F. and I.I.; All authors have read and agreed to the published version of the manuscript.
Funding
This research was funded by DRPM DIKTI under the scheme of basic research with contract number 144/SP2H/LT/DPRM/2021.
Data Availability Statement
The data presented in our study are available in the supplementary material of this article.
Acknowledgments
The author grateful for research grant from DRPM DIKTI.
Conflicts of Interest
The authors declare no conflict of interest.
References
- Sánchez, V.P.J.; Bautista, N.P.K.; Serrano, N.C.; Rincon, M.Y.; Garg, N.J. Potential Role of Antioxidants as Adjunctive Therapy in Chagas Disease. Oxidative Med. Cell. Longev. 2020, 1, 1–13. [Google Scholar] [CrossRef] [PubMed]
- Brainina, K.; Stozhko, N.; Vidrevich, M. Antioxidants: Terminology, Methods and Future Considerations. Antioxidants 2019, 8, 297. [Google Scholar] [CrossRef] [PubMed]
- Tan, B.L.; Norhaizan, M.E.; Liew, W.P.P.; Rahman, H.S. Antioxidant and oxidative stress: A mutual interplay in age-related diseases. Front. Pharmacol. 2018, 9, 1–28. [Google Scholar] [CrossRef] [PubMed]
- Spiegel, M.; Andruniów, T.; Sroka, Z. Flavones’ and flavonols’ antiradical structure-activity relationship—A quantum chemical study. Antioxidants 2020, 9, 1–21. [Google Scholar] [CrossRef] [PubMed]
- Jasril, J.; Ikhtiarudin, I.; Hasti, S.; Reza, A.I.; Frimayanti, N. Microwave-assisted synthesis, in silico studies and in vivo evaluation for the antidiabetic activity of new brominated pyrazoline analogs. TJPS 2019, 43, 83–89. [Google Scholar]
- Ikhtiarudin, I.; Jasril, J.; Frimayanti, N. Microwave-assisted synthesis and in vivo antidiabetic activity of 5-(2-bromophenyl)-3-(naphthalen-1-yl)-4,5-dihydro-1H-pyrazole. In Proceedings of the Science and Mathematics International Conference (SMIC 2018), Jakarta, Indonesia, 2–4 November 2018; pp. 35–40. [Google Scholar]
- Zamri, A.; Teruna, H.Y.; Wulansari, S.; Herfindo, N.; Frimayanti, N.; Ikhtiarudin, I. 3-(3,4-Dimethoxyphenyl)-5-(2-fluorophenyl)-1-phenyl-4,5-dihydro-1H-pyrazole. Molbank 2019, 2019, M1088. [Google Scholar] [CrossRef]
- Jasril, J.; Teruna, H.Y.; Frimayanti, N.; Hasti, S.; Ikhtiarudin, I. Design, molecular docking study, synthesis and in vivo evaluation of some bromonaphthyl pyrazolines as new anti-inflammatory agents. In Proceedings of the Science and Mathematics International Conference (SMIC 2018), Jakarta, Indonesia, 2–4 November 2018; pp. 41–47. [Google Scholar]
- Jasril, J.; Ikhtiarudin, I.; Zamri, A.; Teruna, H.Y.; Frimayanti, N. New fluorinated chalcone and pyrazoline analogs: Synthesis, docking, and molecular dynamic studies as anticancer agents. TJPS 2017, 41, 93–98. [Google Scholar]
- Jasril, J.; Frimayanti, N.; Ikhtiarudin, I. In silico studies of fluorinated chalcone and pyrazoline analogues as inhibitors for cervical cancer. AIP Conf. Proc. 2020, 2242, 040008. [Google Scholar] [CrossRef]
- Jasril, J.; Nurulita, Y.; Desviana, L.; Ikhtiarudin, I.; Frimayanti, N. Microwave-assisted synthesis of a fluorinated pyrazoline, in silico study and in vitro cytotoxic evaluation against HeLa cell line. AIP Conf. Proc. 2021, 2331, 040014. [Google Scholar] [CrossRef]
- Jasril, J.; Teruna, H.Y.; Aisyah, A.; Nurlaili, N.; Hendra, R. Microwave assisted synthesis and evaluation of toxicity and antioxidant activity of pyrazoline derivatives. Indones. J. Chem. 2019, 19, 583–591. [Google Scholar] [CrossRef]
- Kumar, A.; Varadaraj, B.G.; Singla, R.K. Synthesis and evaluation of antioxidant activity of novel 3,5-disubstituted-2-pyrazolines. Bull. Fac. Pharm. Cairo Univ. 2013, 51, 167–173. [Google Scholar] [CrossRef][Green Version]
- Nagargoje, A.A.; Akolkar, S.V.; Siddiqui, M.M.; Bagade, A.V.; Kodam, K.M.; Sangshetti, J.N.; Damale, M.G.; Shingate, B.B. Synthesis and evaluation of pyrazole-incorporated monocarbonyl curcumin analogues as antiproliferative and antioxidant agents. J. Chin. Chem. Soc. 2019, 66, 1–8. [Google Scholar] [CrossRef]
- Zhou, D.Y.; Zhang, K.; Conney, A.H.; Ding, N.; Cui, X.X.; Wang, H.; Verano, M.; Zhao, S.Q.; Fan, Y.X.; Zheng, X.; et al. Synthesis and evaluation of curcumin-related compounds containing benzyl piperidone for their effects on human cancer cells. Chem. Pharm. Bull. 2013, 61, 1149–1155. [Google Scholar] [CrossRef]
- Perrin, C.L.; Chang, K.L. The complete mechanism of an aldol condensation. J. Org. Chem. 2016, 81, 5631–5635. [Google Scholar] [CrossRef] [PubMed]
- Kaka, K.N.; Taher, S.G.; Hamad, W.M.; Ibrahim, A.H. Synthesis of novel series of pyrazoline, and study their kinetics and reaction mechanism. ARO Sci. J. Koya Univ. 2019, 7, 5–13. [Google Scholar] [CrossRef]
- Ikhtiarudin, I.; Agistia, N.; Frimayanti, N.; Harlianti, T.; Jasril, J. Microwave-assisted synthesis of 1-(4-hydroxyphenyl)-3-(4-methoxyphenyl)prop-2-en-1-one and its activities as an antioxidant, sunscreen, and antibacterial. J. Kim. Sains Dan Apl. 2020, 23, 51–60. [Google Scholar] [CrossRef]
- Jasril, J.; Nurulita, Y.; Afriana, N.; Ikhtiarudin, I.; Frimayanti, N. Microwave-assisted synthesis and antioxidant activity of a hydrazone, (E)-1-(4-methoxybenzylidene)-2-phenylhydrazine. AIP Conf. Proc. 2021, 2331, 040018. [Google Scholar] [CrossRef]
- Jasril, J.; Ikhtiarudin, I.; Nurulita, Y.; Nurisma. Microwave-assisted synthesis and antioxidant activity of an imine, (E)-1-(3-bromobenzylidene)-2-phenylhydrazine. AIP Conf. Proc. 2020, 2242, 040041. [Google Scholar] [CrossRef]
Publisher’s Note: MDPI stays neutral with regard to jurisdictional claims in published maps and institutional affiliations. |
© 2021 by the authors. Licensee MDPI, Basel, Switzerland. This article is an open access article distributed under the terms and conditions of the Creative Commons Attribution (CC BY) license (https://creativecommons.org/licenses/by/4.0/).



