Abstract
Cinnamic acid-nitric oxide (NO) donor hybrids have attracted attention, in recent years, as new pharmacological agents to treat multifactorial diseases. In the present study, hybrid oxime 5 was synthesized and its anti-lipid peroxidation and anti-lipoxygenase activities were evaluated. The new compound showed remarkable anti-LOX activity, while its antioxidant activity was quite good in comparison to the appropriate reference compounds. The examined derivative seems to be orally active in accordance to Lipinski’s rule of five. Compound 5 can be considered as a leading structure for the design and synthesis of new hybrids.
1. Introduction
Inflammation is the normal response of the body to several stimuli. This response includes the release of antibodies and proteins, as well as increased blood flow to the damaged area. Chronic inflammation can lead in a variety of multifactorial diseases such as cancer, diabetes, arthritis and cardiovascular, Alzheimer’s and autoimmune diseases [1]. Cyclooxygenases (COXs) and lipoxygenases (LOXs) are important enzymes involved in the onset of the inflammation [2,3]. Many well-known non-steroidal anti-inflammatory drugs (NSAIDs) are aimed at inhibiting COX, while LOX has been the target of new compounds [4,5].
Cinnamic acid is a natural product that is found in essential oils, resins and balsams. The natural hydroxy substituted cinnamic derivatives present several biological activities. Synthetic modifications in their structure lead to cinnamic acid derivatives with a vital role in the formation of commercially important molecules which are necessary for the production of different bioactive compounds and drugs. Different substitutions on basic moiety lead to various biological activities, such as anti-inflammatory [6], antioxidant [7], anticancer [8] and antimicrobial [7] activity.
High levels of ROS are able to modify essentially biological molecules, such lipids, proteins and DNA. It is consistent that rates of ROS production are increased in most diseases.
Furthermore, a combination of appropriate pharmacophore groups with cinnamic acid derivatives were developed to provide hybrids in order to find out promising drug candidates as inhibitors of multiple biological targets associated with inflammation. In the last decade, many hybrid molecules of cinnamic derivatives with other bioactive molecules have been synthesized and evaluated, such as those carrying a group of nitric oxide (NO) donors [9]. Since NO has a significant role in various biological processes, including vasodilation, inflammation and neurotransmission [10,11,12], NO donor groups are incorporated into the structures of already known bioactive molecules to enhance their biological properties.
Due to the importance of new, more active molecules, the present study is focused on the design and synthesis of one new cinnamic acid hybrid molecules, incorporating an NO donor group e.g., the oxime group. The new compound was determined for its antioxidant and anti-LOX activity. The examined derivative seems to be orally active in accordance to Lipinski’s rule of five. Compound 5 can be considered as a lead compound for the design and synthesis of more potent hybrids.
2. Results and Discussion
2.1. Chemistry
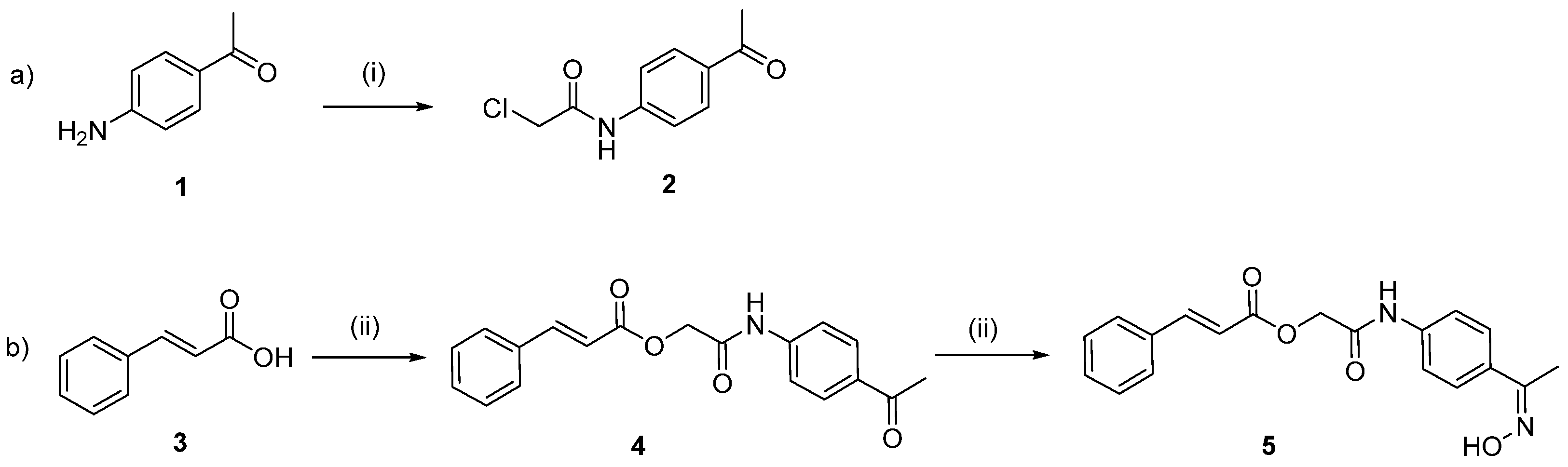
The synthesis of the hybrid compound 2-((4-((E)-1-(hydroxyimino)ethyl)phenyl)amino)-2-oxoethyl cinnamate (5), involved the synthesis of the precursor N-(4-acetylphenyl)-2-chloroacetamide (2) [13] as shown in Scheme 1.
Scheme 1.
(a) Synthesis of N-(4-acetylphenyl)-2-chloroacetamide (2). (i) ClCH2COCl, K2CO3, DCM, rt, 3 h. (b) Synthesis of 2-((4-((E)-1-(hydroxyimino)ethyl)phenyl)amino)-2-oxoethyl cinnamate (5). (ii) 2, Et3N, KI, DMF, rt, 44 h. (iii) NH2OH · HCl, CH3COONa, EtOH, rt, 26 h.
Compound (2) was obtained easily with 4-aminoacetophenone (1) and chloroacetic chloride in the presence of anhydrous potassium carbonate, in DCM (yield: 72%). Ester coupling between (2) and commercially available cinnamic acid (3) using triethylamine and potassium iodide in DMF provided compound (4) in a 40% yield [14]. Nucleophilic addition of hydroxylamine to ketone 4 in EtOH and basic conditions furnished the final cinnamic hybrid oxime 5.
The structure of the final product 5 was verified by 1H, 13C-NMR and LC-MS spectra. The 1H-NMR spectrum exhibited all the characteristic protons of the molecule. The protons of oxime and the NH group appeared as singlets at 10.1 and 9.31 ppm, respectively. The protons of the two phenyl groups and double bond proton correspond to the multiplets at 6.81–6.74, 6.64 and 6.49–6.48 ppm. Moreover, the characteristic proton of cinnamic acid double bond appears at 5.81–5.77 ppm as a doublet peak. Finally, the singlet signals at 3.84 and 1.16 ppm confirm the appearance of CH2 and CH3 in the molecule. In the 13C-NMR spectra, the signals of the amide C=O, the ester C=O and the carbon of the oxime, were assigned at 165.9, 165.7 and 152.6 ppm, respectively. At 62.8 and 11.5 ppm appeared the CH2 and CH3 signals. The remaining carbon signals correspond to the aromatic rings. In mass spectrum, the molecular ion peak was observed at 392.90 m/z.
2.2. Physicochemical Studies
The drug likeness of the derivatives was determined from the theoretical calculation of various molecular properties and the violations of Lipinski’s “rule of five” were also considered (Available online: http://www.molinspiration.com/ accessed on 1 May 2021) [15] and presented in Table 1.
Table 1.
Drug likeness of the synthesized oxime 5. Molecular properties prediction-Lipinski “Rule of five”.
Compound (5) has a molecular weight less than 500 and could be easily transported, diffused, and absorbed. The theoretically calculated lipophilicity (logP) value was found to be less than 5, suggesting satisfactory permeability across the cell membrane. The examined derivative seems to be orally active in accordance to Lipinski’s rule of five, since the number of hydrogen bond acceptors (O and N atoms) and hydrogen bond donors (NH and OH) are less than 10 and 5, respectively. The hydrogen bonding of the compounds is highly correlated to the TPSA, a property that is used as a significant indicator of the bioavailability of a molecule. The TPSA of the oxime 5 was observed of 88.00 Å (the limit is 160 Å), indicating good oral bioavailability. Furthermore, the in silico predicted values point out that compounds with logBB values more than 0.3 are considered to be highly absorbed through BBB [16]. Compound (5) has a high logBB value of 2.90.
2.3. Biological Evaluation
In the present study, the new compound (5) was studied with regard to its antioxidant ability as well as to its ability to inhibit soybean LOX in comparison with well-known antioxidant agents recommended as references, e.g., nordihydroguaiaretic acid (NDGA) and Trolox.
In our studies, 2,2-azobis (2-amidinopropane) dihydrochloride (AAPH) was used as a free radical initiator to follow oxidative changes of linoleic acid to conjugated diene hydro peroxide. The activity of the peroxyl radicals produced by the action of AAPH shows a greater similarity to cellular activities such as lipid peroxidation [17]. The synthesized ketone 4 and oxime 5 showed moderate activity at 100 μM concentration (32% and 50.2%, respectively), demonstrating that the presence of the oxime group may be crucial for the antioxidant activity of this type of molecules (Table 2).
Table 2.
Inhibition of AAPH-induced lipid peroxidation (LP%) and soybean LOX (IC50).
Furthermore, the synthesized derivatives were tested in vitro against soybean lipoxygenase (LOX) by the UV-based enzyme assay [18]. Many research groups have used readily obtainable soybean lipoxygenase, which is a homologue of mammalian lipoxygenase and is well-studied [19]. In the present study, soybean LOX was selected to be used. The synthesized oxime 5 showed remarkable activity at 100 μM concentration (99.2%). The compound (4) was tested as well, for the comparison of the structures. This compound exhibited no activity, which is underlined by the importance of the oxime group in the inhibition of LOX. The IC50 value of the compound (5) against LOX was found to be 50 μM (Table 2).
3. Materials and Methods
3.1. General Information
All chemicals, solvents, chemical and biochemical reagents were of analytical grade and purchased from commercial sources (Merck, Merck KGaA, Darmstadt, Germany, Fluka, Sigma-Aldrich Laborchemikalien GmbH, Hannover, Germany, Alfa Aesar, Karlsruhe, Germany and Sigma, St. Louis, MO, USA). Soybean lipoxygenase, sodium linoleate, 2,2-azobis (2-amidinopropane) dihydrochloride (AAPH) were obtained from Sigma Chemical, Co. (St. Louis, MO, USA). All starting materials were obtained from commercial sources (Merck, Merck KGaA, Darmstadt, Germany, Fluka Sigma-Aldrich Laborchemikalien GmbH, Hannover, Germany, Alfa Aesar, Karlsruhe, Germany and Sigma, St. Louis, MO, USA) and used without further purification.
Melting points (uncorrected) were determined on a MEL-Temp II (Lab. Devices, Holliston, MA, USA). For the in vitro tests a 554 double beam spectrophotometer (Perkin-Elmer (Perkin-Elmer Corporation Ltd., Lane Beaconsfield, Bucks, UK) was used. The 1H Nucleic Magnetic Resonance (NMR) spectra were recorded at 500 MHz on an Agilent 500/54 spectrometer, Germany in DMSO. 13C-NMR spectra were obtained at 126 MHz (Bruker Avance 500 spectrometer) in DMSO solutions with tetramethylsilane as internal reference unless otherwise stated. Chemical shifts are expressed in (ppm) and coupling constants J in Hz. Mass spectra were determined on a LC-MS 2010 EV Shimadzu (Shimadzu, Kiyoto, Japan) using MeOH as solvent. Spectra data are given as Supplementary material. Matrix-assisted Laser desorption/ionization time-of-flight mass spectrometry (MALDI-TOF MS) was performed using an Autoflex Speed MALDI-TOF/TOF mass spectrometer of Bruker Daltonics GmbH, in the positive reflection mode using a-cyano-4-hydroxycinnamic acid (HCCA) as matrix.
Reactions were monitored by thin layer chromatography on 5554 F254 Silica gel/TLC cards (Merck and Fluka Chemie GmbH Buchs, Steinheim, Switzerland).
3.2. Chemistry General Procedure
3.2.1. N-(4-Acetylphenyl)-2-Chloroacetamide (2)
To a stirred solution of 4′-aminoacetophenone (0.79 mmol) in dichloromethane (1.2 ml), K2CO3 (2.22 mmol) was added under argon atmosphere. The reaction mixture was cooled to 0 °C and chloroacetyl chloride (1.25 mmol) was added dropwise. The reaction mixture was allowed to stir at room temperature for 3 hours [13]. After completion of the reaction, the solvent was evaporated and the residue that obtained was washed with water and filtered to isolate compound 2. Yield: 72.2%; white solid; M.p. 152–153 °C; 1H-NMR (500 MHz, CDCl3) δ 8.37 (s, 1H), 8.01 – 7.96 (m, 2H), 7.70 – 7.66 (m, 2H), 4.22 (s, 2H), 2.59 (s, 3H).
3.2.2. 2-((4-Acetylphenyl)amino)-2-oxoethyl Cinnamate (4)
To a stirred solution of cinnamic acid (1.42 mmol) and compound 2 (1.42 mmol) in dimethylformamide (1.60 ml), triethylamine (2.22 mmol) and potassium iodide (1.56 mmol) was added under argon atmosphere [14]. The reaction mixture was stirred at room temperature for 44 h. After completion of the reaction, ammonium solution 12% was added until pH=12 and the residue that obtained was filtered and washed with water to furnish compound 4. Yield: 40%; white solid; M.p. 157–159 °C; LC-MS (m/z) (C19H17NO4) [M + Na+] = 345.85, [M + Na+ + MeOH] = 377.85; 1H-NMR (500 MHz, DMSO-d6) δ 9.57 (s, 1H), 6.98 (d, J = 8.3 Hz, 2H), 6.83 – 6.71 (m, 5H), 6.48 (d, J = 5.0 Hz, 3H), 5.79 (d, J = 16.1 Hz, 1H), 3.87 (s, 2H), 1.56 (s, 3H).
3.2.3. Synthesis of 2-((4-((E)-1-(Hydroxyimino)ethyl)phenyl)amino)-2-oxoethyl Cinnamate (5)
To a stirred solution of compound (4) (0.43 mmol) in absolute ethanol (2.90 mL), hydroxylamine hydrochloride (0.69 mmol) and sodium acetate (0.86 mmol) was added. The reaction mixture was stirred at room temperature for 26 h. After completion of the reaction, the residue was filtered and washed with EtOH. The crude product was purified by silica gel flash column chromatography (n-hexane/EtOAc 65:35) to give compound (5). Yield: 60%; white solid; M.p. 178–180 °C; LC-MS (m/z) in methanol (C19H18N2O4) [M + Na+] = 360.85, [M + Na+ + MeOH] = 392.90; 1H-NMR (500 MHz, DMSO-d6) δ 10.14 (s, 1H), 9.31 (s, 1H), 6.81–6.75 (m, 3H), 6.68–6.61 (m, 4H), 6.49 (dd, J = 4.9, 1.9 Hz, 3H), 5.79 (d, J = 16.1 Hz, 1H), 3.84 (s, 2H), 1.16 (s, 3H); 13C-NMR (126 MHz, DMSO-d6) δ 165.9, 165.7, 152.6, 145.5, 138.9, 134.0, 132.2, 129.1, 128.6, 126.2, 119.1, 117.6, 117.5, 62.8, 11.5. HRMS MALDI-TOF m/z 322.5912 [M + H]+ (calculated for C19H17N2O3, m/z 322.1312).
3.3. Biological In Vitro Assays
Each in vitro experiment was performed at least in triplicate and the standard deviation of absorbance was less than 10% of the mean. For the in vitro assays, a stock solution (1% DMSO in the appropriate buffer with the tested compound diluted under sonication) was prepared from which several dilutions were made with the appropriate buffer.
3.3.1. Inhibition of Linoleic Acid Lipid Peroxidation
2,2′-Azobis(2-amidinopropane) dihydrochloride (AAPH) was used as a free radical initiator. The method was based on the production of conjugated diene hydroperoxide by oxidation of sodium linoleate in an aqueous solution at 234 nm, expressed as an increased absorption. Trolox was used as reference compound (93%) [20]. The results are given in Table 2.
3.3.2. Inhibition of Soybean Lipoxygenase In Vitro
In vitro study was evaluated as reported previously by our group [20]. The tested compounds were incubated at room temperature with sodium linoleate (0.1 mM) and 0.2 mL of enzyme solution (1/9 × 10−4 w/v in saline). The conversion of sodium linoleate to 13-hydroperoxylinoleic acid at 234 nm was recorded and compared with the appropriate standard inhibitor NDGA (IC50 = 0.45 μM). In order to determine the IC50 values different concentrations were used. The results are given in Table 2.
4. Conclusions
The synthesis of a potential cinnamic acid-NO donor hybrid was presented. The chemical structure of the synthesized compound was verified by using NMR and mass spectra. The anti-LOX and antioxidant activity of the compound were also determined, and showed a promising result. Further investigation is in progress to define the NO-donating character of this compound.
Supplementary Materials
The following are available online. Figure S1: 1H-NMR spectrum of compound 5, Figure S2: 13C-NMR spectrum of compound 5, Figure S3: HRMS spectrum of compound 5, Figure S4: LC-MS spectrum of compound 5.
Author Contributions
D.H.-L. contributed to the supervision, design, conceptualization, project administration, validation and writing. I.-C.T. contributed to the writing, synthesis, biological evaluation and analysis of the data. All authors have read and agreed to the published version of the manuscript.
Funding
This research received no external funding.
Institutional Review Board Statement
Not applicable.
Data Availability Statement
The data presented in this study are available in this article.
Acknowledgments
The authors are grateful to E.Vlachou for her help taking MS data. We thank A. Andreopoulou. (Center of Instrumental Analysis, University of Patras, Greece) for recording HRMS spectra.
Conflicts of Interest
The authors declare no conflict of interest.
References
- Aggarwal, B.B.; Shishodia, S.; Sandur, S.K.; Pandey, M.K.; Sethi, G. Inflammation and Cancer: How Hot is the Link? Biochem. Pharmacol. 2006, 72, 1605–1621. [Google Scholar] [CrossRef] [PubMed]
- Dubois, R.N.; Abramson, S.B.; Crofford, L.; Gupta, R.A.; Simon, L.S.; Van De Putte, L.B.; Lipsky, P.E. Cyclooxygenase in Biology and Disease. FASEB J. 1998, 12, 1063–1073. [Google Scholar] [CrossRef] [PubMed] [Green Version]
- Rådmark, O.; Samuelsson, B. 5-Lipoxygenase: Mechanisms of Regulation. J. Lipid Res. 2009, 50, S40–S45. [Google Scholar] [CrossRef] [PubMed] [Green Version]
- Pontiki, E.; Hadjipavlou-Litina, D. Synthesis and Pharmacochemical Evaluation of Novel Aryl-Acetic Acid Inhibitors of Lipoxygenase, Antioxidants, and Anti-Inflammatory Agents. Bioorganic Med. Chem. 2007, 15, 5819–5827. [Google Scholar] [CrossRef] [PubMed]
- Peperidou, A.; Pontiki, E.; Hadjipavlou-Litina, D.; Voulgari, E.; Avgoustakis, K. Multifunctional Cinnamic Acid Derivatives. Molecules 2017, 22, 1247. [Google Scholar] [CrossRef]
- De Cássia, R.; Andrade, L.N.; Barreto, R.; De Sousa, D.P. A Review on Anti-Inflammatory Activity of Phenylpro-Panoids Found in Essential Oils. Molecules 2014, 19, 1459–1480. [Google Scholar] [CrossRef] [Green Version]
- Sova, M. Antioxidant and Antimicrobial Activities of Cinnamic Acid Derivatives. Mini Rev. Med. Chem. 2012, 12, 749–767. [Google Scholar] [CrossRef]
- Baltas, M.; Bedos-Belval, F. Cinnamic Acid Derivatives as Anticancer Agents-A Review. Curr. Med. Chem. 2011, 18, 1672–1703. [Google Scholar] [CrossRef]
- Fotopoulos, I.; Pontiki, E.; Hadjipavlou-Litina, D. Targeting Inflammation with Conjugated Cinnamic Amides, Ethers and Esters. Lett. Drug Des. Discov. 2019, 17, 3–11. [Google Scholar] [CrossRef]
- Strijdom, H.; Chamane, N.; Lochner, A. Nitric Oxide in the Cardiovascular System: A Simple Molecule with Complex Actions. Cardiovasc. J. Afr. 2009, 20, 303–310. [Google Scholar] [PubMed]
- Esplugues, J.V. NO as a Signalling Molecule in the Nervous System. Br. J. Pharmacol. 2002, 135, 1079–1095. [Google Scholar] [CrossRef] [PubMed] [Green Version]
- Bogdan, C. Nitric Oxide and the Immune Response. Nat. Immunol. 2001, 2, 907–916. [Google Scholar] [CrossRef] [PubMed]
- Anthwal, A.; Thakur, B.K.; Rawat, M.S.M.; Rawat, D.S.; Tyagi, A.K.; Aggarwal, B.B. Synthesis, Characterization and In Vitro Anticancer Activity of C-5 Curcumin Analogues with Potential to Inhibit TNF-α -Induced NF-B Activation. Biomed. Res. Int. 2014, 2014, 1–10. [Google Scholar] [CrossRef] [PubMed] [Green Version]
- Rafiq, M.; Nazir, Y.; Ashraf, Z.; Rafique, H.; Afzal, S.; Mumtaz, A.; Hassan, M.; Ali, A.; Afzal, K.; Yousuf, M.R.; et al. Synthesis, Computational Studies, Tyrosinase Inhibitory Kinetics and Antimelanogenic Activity of Hydroxy Substituted 2-[(4-acetylphenyl)amino]-2-oxoethyl derivatives. J. Enzym. Inhib. Med. Chem. 2019, 34, 1562–1572. [Google Scholar] [CrossRef] [Green Version]
- Lipinski, C.A.; Lombardo, F.; Dominy, B.W.; Feeney, P.J. Experimental and Computational Approaches to Estimate Solubility and Permeability in Drug Discovery and Development Settings. Adv. Drug Deliv. Rev. 2001, 46, 3–26. [Google Scholar] [CrossRef]
- Gupta, M.; Lee, H.J.; Barden, C.J.; Weaver, D.F. The Blood-Brain Barrier (BBB) Score. J. Med. Chem. 2019, 62, 9824–9836. [Google Scholar] [CrossRef] [PubMed]
- Betigeri, S.; Thakur, A.; Raghavan, K. Use of 2,2′-Azobis(2-Amidinopropane) Dihydrochloride as a Reagent Tool for Evaluation of Oxidative Stability of Drugs. Pharm. Res. 2005, 22, 310–317. [Google Scholar] [CrossRef] [PubMed]
- Peperidou, A.; Kapoukranidou, D.; Kontogiorgis, C.; Hadjipavlou-Litina, D. Multitarget Molecular Hybrids of Cinnamic Acids. Molecules 2014, 19, 20197–20226. [Google Scholar] [CrossRef] [PubMed]
- Minor, W.; Steczko, J.; Bolin, J.T.; Otwinowski, Z.; Axelrod, B. Crystallographic Determination of the Active Site Iron and Its Ligands in Soybean Lipoxygenase L-1. Biochemistry 1993, 32, 6320–6323. [Google Scholar] [CrossRef] [PubMed]
- Pontiki, E.; Hadjipavlou-Litina, D.; Litinas, K.; Nicolotti, O.; Carotti, A. Design, Synthesis and Pharmacobiological Evaluation of Novel Acrylic Acid Derivatives Acting as Lipoxygenase and Cyclooxygenase-1 Inhibitors with Antioxi-dant and Anti-Inflammatory Activities. Eur. J. Med. Chem. 2011, 46, 191–200. [Google Scholar] [CrossRef] [PubMed]
Publisher’s Note: MDPI stays neutral with regard to jurisdictional claims in published maps and institutional affiliations. |
© 2021 by the authors. Licensee MDPI, Basel, Switzerland. This article is an open access article distributed under the terms and conditions of the Creative Commons Attribution (CC BY) license (https://creativecommons.org/licenses/by/4.0/).


