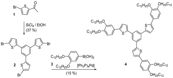
2-{3,5-Bis-[5-(3,4-didodecyloxyphenyl)thien-2-yl]phenyl}-5-(3,4-didodecyloxyphenyl)thiophene
Abstract
1. Introduction
2. Results
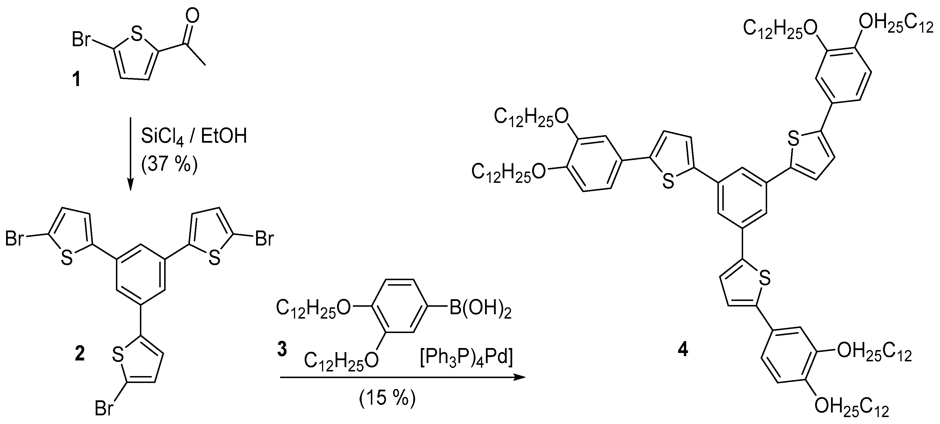
2.1. Synthesis
2.2. Experimental Procedures: Synthesis of 1,3,5-Tris(5-bromothienyl)benzene 2
Experimental Procedure: Synthesis of 2.3.2-{3,5-Bis-[5-(3,4-didodecyloxyphenyl)thien-2- yl]phenyl}-5-(3,4-didodecyloxyphenyl)thiophene 4
2.3. Mesomorphism
3. Materials and Methods
4. Conclusions
Supplementary Materials
Author Contributions
Funding
Conflicts of Interest
References
- Müllen, K.; Wegner, G. Electronic Materials: The Oligomer Approach; Wiley-VCH: Weinheim, Germany, 2010. [Google Scholar]
- Geoghegan, M.; Hadziioannou, G. Polymer Electronics; Oxford University Press: Oxford, UK, 2013. [Google Scholar]
- Bauerle, P.; Mitschke, U.; Gruner, G.; Rimmel, G. Structure-property relationships in functional conjugated oligomers. Pure Appl. Chem. 1999, 71, 2153–2160. [Google Scholar] [CrossRef]
- Maity, S.; Datta, S.; Mishra, M.; Banerjee, S.; Das, S.; Chatterjee, K. Poly(3,4 ethylenedioxythiophene)-tosylate-Its synthesis, properties and various applications. Polym. Adv. Technol. 2021, 32, 1409–1427. [Google Scholar] [CrossRef]
- Luong, J.H.T.; Narayan, T.; Solanki, S.; Malhotra, B.D. Recent advances of conducting polymers and their composites for electrochemical biosensing applications. J. Funct. Biomater. 2020, 11, 71. [Google Scholar] [CrossRef] [PubMed]
- Gu, C.; Huang, N.; Chen, Y.; Qin, L.; Xu, H.; Zhang, S.; Li, F.; Ma, Y.; Jiang, D. π-Conjugated Microporous Polymer Films: Designed Synthesis, Conducting Properties, and Photoenergy Conversions. Angew. Chem. 2015, 54, 13594–13598. [Google Scholar] [CrossRef] [PubMed]
- Wohrle, T.; Wurzbach, I.; Kirres, J.; Kostidou, A.; Kapernaum, N.; Litterscheidt, J.; Haenle, J.C.; Staffeld, P.; Baro, A.; Giesselmann, F.; et al. Discotic Liquid Crystals. Chem. Rev. 2016, 116, 1139–1241. [Google Scholar] [CrossRef] [PubMed]
- Grelet, E.; Bock, H. Control of the orientation of thin open supported columnar liquid crystal films by the kinetics of growth. Europhys. Lett. 2006, 73, 712–718. [Google Scholar] [CrossRef]
- Ikeda, T.; Adachi, H.; Fueno, H.; Tanaka, K.; Haino, T. Induced-Dipole-Directed, Cooperative Self-Assembly of a Benzotrithiophene. J. Org. Chem. 2017, 82, 10062–10069. [Google Scholar] [CrossRef]
- Detert, H.; Lehmann, M.; Meier, H. Star-shaped conjugated systems. Materials 2010, 3, 3218–3330. [Google Scholar] [CrossRef]
- Glang, S.; Rieth, T.; Borchmann, D.; Fortunati, I.; Signorini, R.; Detert, H. Arylethynyl-Substituted Tristriazolotriazines: Synthesis, Optical Properties, and Thermotropic Behavior. Eur. J. Org. Chem. 2014, 2014, 3116–3126. [Google Scholar] [CrossRef]
- Laschat, S.; Baro, A.; Steinke, N.; Giesselmann, F.; Hägele, C.; Scalia, G.; Judele, R.; Kapatsina, E.; Sauer, S.; Schreivogel, A.; et al. Discotic Liquid Crystals: From Tailor-Made Synthesis to Plastic Electronics. Angew. Chem. Int. Ed. 2007, 46, 4832–4887. [Google Scholar] [CrossRef]
- Demenev, A.; Eichhorn, S.H.; Taerum, T.; Perepichka, D.F.; Patwardhan, S.; Grozema, F.C.; Siebbeles, L.D.A.; Klenkler, R. Quasi Temperature Independent Electron Mobility in Hexagonal Columnar Mesophases of an H-Bonded Benzotristhiophene Derivative. Chem. Mater. 2010, 22, 1420–1428. [Google Scholar] [CrossRef]
- Tober, N.; Lehmann, M.; Detert, H. Synthesis, Thermal and Optical Properties of Tris(5-aryl-1,3,4-oxadiazolyl)benzo[1,2-b; 3,4-b’; 5,6-b’’]trithiophenes—New Discotic Liquid Crystals with Enormous Mesophase Ranges. Eur. J. Org. Chem. 2021, 25, 798–809. [Google Scholar] [CrossRef]
- Kotha, S.; Chakraborty, K.; Brahmachary, E. A general and simple method for the synthesis of star-shaped thiophene derivatives. Synlett 1999, 10, 1621–1623. [Google Scholar] [CrossRef]
- Klukas, F.; Perkampus, J.; Urselmann, D.; Mueller, T.J.J. Pseudo Five-Component Synthesis of 3-(Hetero)arylmethyl-2,5-di(hetero)-aryl-Substituted Thiophenes via Sonogashira-Glaser Cyclization Sequence. Synthesis 2014, 46, 3415–3422. [Google Scholar] [CrossRef]
- Kotha, S.; Kashinath, D.; Lahiri, K.; Sunoj, R.B. Synthesis of C3-Symmetric Nano-Sized Polyaromatic Compounds by Trimerization and Suzuki−Miyaura Cross-Coupling Reaction. Eur. J. Org. Chem. 2004, 19, 4003–4013. [Google Scholar] [CrossRef]
- Thomas, K.R.J.; Huang, T.-H.; Lin, J.T.; Pu, S.-C.; Cheng, Y.-M.; Hsieh, C.-C.; Tai, C.P. Donor–Acceptor Interactions in Red-Emitting Thienylbenzene-Branched Dendrimers with Benzothiadiazole Core. Chem. Europ. J. 2008, 14, 11231–11241. [Google Scholar] [CrossRef]
- Thomas, K.R.J.; Lin, J.T.; Tao, Y.-T.; Ko, C.-W. New Star-Shaped Luminescent Triarylamines: Synthesis, Thermal, Photophysical, and Electroluminescent Characteristics. Chem. Mater. 2002, 14, 1354–1361. [Google Scholar] [CrossRef]
- Lumpi, D.; Holzer, B.; Bintinger, J.; Horkel, E.; Waid, S.; Wanzenboeck, H.D.; Marchetti-Deschmann, M.; Hametner, C.; Bertagnolli, E.; Kymissis, I.; et al. Substituted triphenylamines as building blocks for star shaped organic electronic materials. New J. Chem. 2015, 39, 1840–1851. [Google Scholar] [CrossRef]
- Lin, Z.; Bjorgaard, J.; Yavuz, A.G.; Kose, M.E. Low Band Gap Star-Shaped Molecules Based on Benzothia(oxa)diazole for Organic Photovoltaics. J. Phys. Chem. C 2011, 115, 15097–15108. [Google Scholar] [CrossRef]
- Do, K.; Choi, H.; Lim, K.; Jo, H.; Cho, J.W.; Nazeeruddin, M.K.; Ko, J. Star-shaped hole transporting materials with a triazine unit for efficient perovskite solar cells. Chem. Commun. 2014, 50, 10971–10974. [Google Scholar] [CrossRef]
- Doba, T.; Matsubara, T.; Ilies, L.; Shang, R.; Nakamura, E. Homocoupling-free iron-catalysed twofold C–H activation/cross-couplings of aromatics via transient connection of reactants. Nat. Catal. 2019, 2, 400–406. [Google Scholar] [CrossRef]
- Quintana, C.; Morshedi, M.; Wang, H.; Du, J.; Cifuentes, M.P.; Humphrey, M.G. Exceptional Two-Photon Absorption in Alkynylruthenium–Gold Nanoparticle Hybrids. Nano Lett. 2019, 19, 756–760. [Google Scholar] [CrossRef]
- Mitchell, W.J.; Kopidakis, N.; Rumbles, G.; Ginley, D.S.; Shaheen, S.E. The synthesis and properties of solution processable phenyl cored thiophene dendrimers. J. Mater. Chem. 2005, 15, 4518–4528. [Google Scholar] [CrossRef]
- Engler, C.; Heine, H. Ueber die Einwirkung des Ammoniaks und seiner Abkömmlinge auf die Ketone bei Gegenwart von wasserentziehenden Substanzen. Berichte der Deutschen Chemischen Gesellschaft 1873, 6, 638–643. [Google Scholar] [CrossRef]
- Bui-Hoi, N.P.; Jacquignon, P.; Périn, F.; Delcey, M.C. Analogues hétérocycliques des triaryl-1,3,5-benzènes. C. R. Acad. Sci. Ser. C 1966, 262, 1237–1239. [Google Scholar]
- Kotha, S.; Todeti, S.; Gopal, M.B.; Datta, A. Synthesis and Photophysical Properties of C3-Symmetric Star-Shaped Molecules Containing Heterocycles Such as Furan, Thiophene, and Oxazole. ACS Omega 2017, 2, 6291–6297. [Google Scholar] [CrossRef] [PubMed]
- Andicsová-Eckstein, A.; Végh, D.; Krutošíková, A.; Tokárová, Z. Insights into the triple self-condensation reaction of thiophene-based methyl ketones and related compounds. Org. Chem. 2018, 124–139. [Google Scholar] [CrossRef]
- Yatabe, T.; Harbison, M.A.; Brand, J.D.; Wagner, M.; Muellen, K.; Samori, P.; Rabe, J.P. Extended triphenylenes: Synthesis, mesomorphic properties and molecularly resolved scanning tunneling microscopy images of hexakis(dialkoxyphenyl)triphenylenes and dodeca(alkoxy)tris(triphenylene)s. J. Mater. Chem. 2000, 10, 1519–1525. [Google Scholar] [CrossRef]
- Cherioux, F.; Guyard, L. Synthesis and Electrochemical Properties of Novel 1,3,5-Tris(oligothienyl)benzenes: A New Generation of 3D Recticulating Agents. Adv. Funct. Mater. 2001, 11, 305–309. [Google Scholar] [CrossRef]
- Rebourt, E.; Pépin-Donat, B.; Dinh, E. Routes towards three-dimensional fully conjugated conducting polymers: 1. Preparation of the kit of monomers. Polymer 1995, 36, 399–412. [Google Scholar] [CrossRef]
- Tober, N.; Rieth, T.; Lehmann, M.; Detert, H. Synthesis, Thermal, and Optical Properties of Tris(5-aryl-1,3,4-oxadiazol-2-yl)- 1,3,5-triazines, New Star-shaped Fluorescent Discotic Liquid Crystals. Chemistry 2019, 25, 15295–15304. [Google Scholar] [CrossRef]


Publisher’s Note: MDPI stays neutral with regard to jurisdictional claims in published maps and institutional affiliations. |
© 2021 by the authors. Licensee MDPI, Basel, Switzerland. This article is an open access article distributed under the terms and conditions of the Creative Commons Attribution (CC BY) license (https://creativecommons.org/licenses/by/4.0/).
Share and Cite
Jochem, M.; Detert, H. 2-{3,5-Bis-[5-(3,4-didodecyloxyphenyl)thien-2-yl]phenyl}-5-(3,4-didodecyloxyphenyl)thiophene. Molbank 2021, 2021, M1225. https://doi.org/10.3390/M1225
Jochem M, Detert H. 2-{3,5-Bis-[5-(3,4-didodecyloxyphenyl)thien-2-yl]phenyl}-5-(3,4-didodecyloxyphenyl)thiophene. Molbank. 2021; 2021(2):M1225. https://doi.org/10.3390/M1225
Chicago/Turabian StyleJochem, Matthias, and Heiner Detert. 2021. "2-{3,5-Bis-[5-(3,4-didodecyloxyphenyl)thien-2-yl]phenyl}-5-(3,4-didodecyloxyphenyl)thiophene" Molbank 2021, no. 2: M1225. https://doi.org/10.3390/M1225
APA StyleJochem, M., & Detert, H. (2021). 2-{3,5-Bis-[5-(3,4-didodecyloxyphenyl)thien-2-yl]phenyl}-5-(3,4-didodecyloxyphenyl)thiophene. Molbank, 2021(2), M1225. https://doi.org/10.3390/M1225

