Abstract
The ammonium salts of many drugs have significantly improved the solubility and, accordingly, the bioavailability of medicinal substances in the human body. 5-(4-Hydroxy-2-oxo-2H-chromen-3-yl)-5H-chromeno[2,3-b]pyridines are potential NPY1R ligands, which are attractive for antiobesity treatment. Ammonium salts of 5H-chromeno[2,3-b]pyridines were previously unknown. In this communication, it was found that the four-component reaction of salicylaldehyde, 2-aminoprop-1-ene-1,1,3-tricarbonitrile, 4-Hydroxy-2H-chromen-2-one and amines results in the formation of ammonium salts of 5-(3-chromenyl)-5H-chromeno[2,3-b]pyridines. The structure of these previously unknown compounds was confirmed by means of 1H, 13C NMR and IR spectroscopy, mass spectrometry and elemental analysis.
1. Introduction
Solubility is one of the most important parameters to achieve the desired concentration of a drug in the systemic circulation for coveted pharmacological response [1]. Control of the solubilization characteristics of drugs is one of the main directions in the development of modern drug delivery systems. Methods for increasing the solubility and bioavailability of active pharmaceutical ingredients are being actively developed.
Solubility plays a significant role in the action of drugs, especially those intended for oral administration. In this regard, about 40% of manufactured drug substances are classified as practically insoluble, and about 85% of the best-selling drugs in the USA and Europe are taken orally; research in this area is very relevant [2]. One of the methods for improving solubility is the chemical modification of the drug substance [3]. An example of such a modification is the formation of salts.
Chromeno[2,3-b]pyridines are one of the significant classes of heterocyclic compounds. They have wide pharmacological potential; for example, they exhibit antimicrobial [4], anticancer [5], antirheumatic [6], antimyopic [7] and antiasthmatic [8] activities. In the synthesis of chromeno[2,3-b]pyridines, both multistep classical and multicomponent methods [9] are used. These heterocyclic compounds have three conjugated six-membered rings in their structure, which determines their low solubility.
Thus, the synthesis of highly bioavailable chromeno[2,3-b]pyridines is an important challenge for researchers.
Herein, we report the four-component synthesis of the previously unknown ammonium salts of 5-(3-chromenyl)-5H-chromeno[2,3-b]pyridines and present a study of their structure and chemical properties.
2. Results and Discussion
2.1. Multicomponent Synthesis of Ammonium Salts of 5-(3-Chromenyl)-5H-chromeno[2,3-b]pyridines 5
Multicomponent reactions represent a powerful tool in the arsenal of organic synthesis; its synergistic utilization with other green chemistry principles would bring organic chemists one step closer to the ideal synthesis [10].
We previously carried out a multicomponent transformation of salicylaldehydes, 2-aminoprop-1-ene-1,1,3-tricarbonitrile and 4-Hydroxy-2H-chromen-2-one into 5-(4-Hydroxy-2-oxo-2H-chromen-3-yl)-5H-chromeno[2,3-b]pyridines [11] (Scheme 1).
Scheme 1.
Synthesis of 5-(3-chromenyl)-5H-chromeno[2,3-b]pyridines.
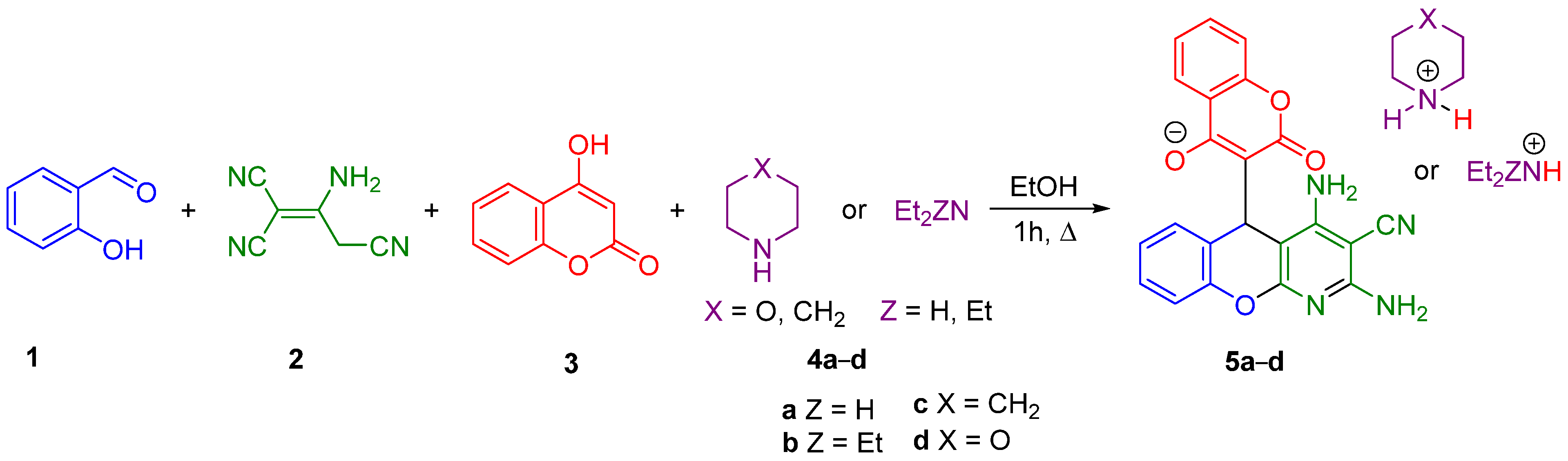
Now, we wish to report our results on the efficient four-component transformation of salicylaldehyde 1, 2-aminoprop-1-ene-1,1,3-tricarbonitrile 2, 4-Hydroxy-2H-chromen-2-one 3 and amines 4 into the previously unknown ammonium salts of 5-(3-chromenyl)-5H-chromeno[2,3-b]pyridines 5 in EtOH at 78 °C, as shown in Scheme 2. The amine in this reaction is both a reagent and a catalyst.
Scheme 2.
Synthesis of ammonium salts of 5-(3-chromenyl)-5H-chromeno[2,3-b]pyridines 5.
Compounds 5a–d were synthesized in 77–81% yields (Table 1).
Table 1.
Four-component reaction of salicylaldehyde 1, 2-aminoprop-1-ene-1,1,3-tricarbonitrile 2, 4-Hydroxy-2H-chromen-2-one 3 and amines 4a–d 1.
The reaction process is environmentally friendly because no amine catalyst becomes waste when reacted. Ethanol is an environmentally preferable solvent conforming to green chemistry. It is available from renewable sources, such as by the fermentation of starch.
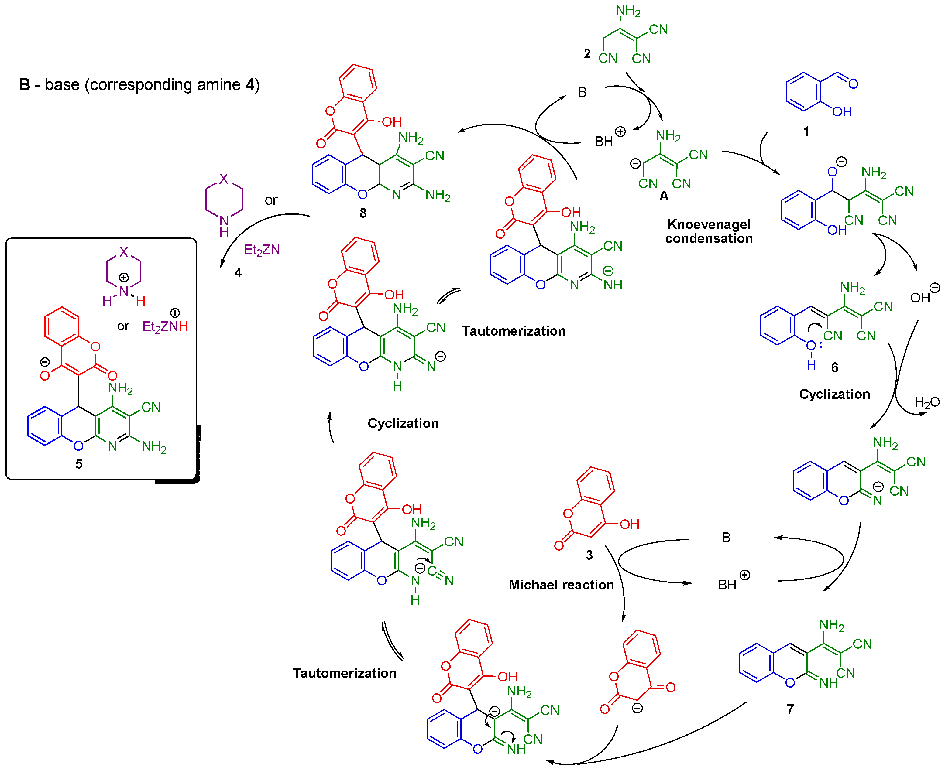
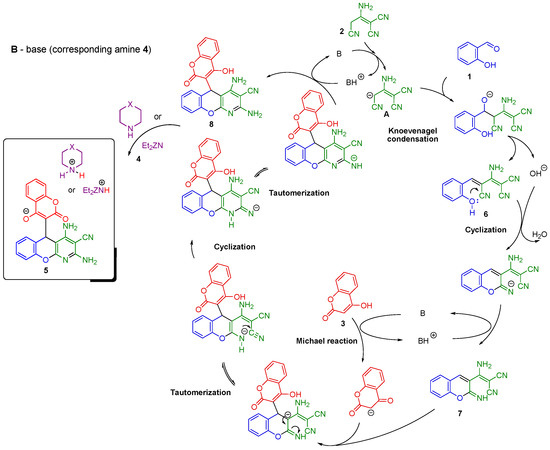
Taking into consideration the results of the 1H NMR monitoring of the Pot, Atom and Step Economy (PASE) reaction of salicylaldehydes, malononitrile dimer and hydroxyquinolinone [12], the following mechanism for the four-component reaction of salicylaldehyde 1, 2-aminoprop-1-ene-1,1,3-tricarbonitrile 2, 4-Hydroxy-2H-chromen-2-one 3 and amines 4a–d was proposed, as shown in Scheme 3.
Scheme 3.
Proposed mechanism of salicylaldehydes 1, malononitrile dimer 2, 4-Hydroxy-2H-chromen-2-one 3 and amines 4 transformation into ammonium salt of chromeno[2,3-b]pyridines 5.
The first stage was a rapid Knoevenagel condensation of salicylaldehyde 1 and malononitrile dimer 2, and then the formation of intermediate 6 with the expulsion of a hydroxide anion [13]. This hydroxide anion instantly catalyzed a rapid cyclization of intermediate 6 into intermediate 7. Then, subsequent Michael addition and cyclization formed the chromeno[2,3-b]pyridine 8. In conclusion, the acid-base interaction of compound 8 and the corresponding amine 4 led to the formation of ammonium salt 5.
5-(4-Hydroxy-2-oxo-2H-chromen-3-yl)-5H-chromeno[2,3-b]pyridines 8 are known as potential neuropeptide Y1 receptor (NPY1R) ligands, which are attractive for antiobesity treatment [11]. NPY1Rs are the most abundant in the hypothalamus; this part of the human brain is known to control eating behavior [14]. Thus, we synthesized a supposedly more soluble and more bioavailable form of the ligand for the NPY1R.
2.2. NMR Spectroscopy Study of Morpholin-4-ium 3-(2,4-Diamino-3-cyano-5H-chromeno[2,3-b]pyridin-5-yl)-2-oxo-2H-chromen-4-olate 5d
The 1H NMR spectrum of compound 8 (Figure 1, bottom spectrum) showed a very broad signal from the proton of the OH-group at 12.3 ppm due to exchange with water and, probably, tautomerism. For the same reason, protons in the immediate neighborhood of the hydroxyl group (H5, H5’) produced broadened signals in the spectrum. Protons of amino groups also produced wide signals.
Figure 1.
Fragment of 1H NMR spectrum of compound 8, DMSO-d6, 500 MHz (bottom); fragment of 1H NMR spectrum of compound 5d, DMSO-d6, 600 MHz (top).
For the ammonium salt 5d, the protons of the NH2-group at the second position produced a narrow singlet at 6.04 ppm (Figure 1, top spectrum). The signal from 4-NH2 group remained broad and shifted slightly to the downfield. The signal from H5 appeared as a sharp singlet, and H5’ turned into a clear doublet at 7.89 ppm and a constant J equal to 6.3 Hz. The morpholinium cation showed a change in the chemical shifts of the nuclei of hydrogen atoms in comparison with the signals from morpholine in the form of a free base [15]. The signal of CH2-fragments of positions 3 and 5 was shifted by Δδ = 0.45 ppm, and the signal for protons 2 and 6 was shifted by Δδ = 0.16 ppm to the downfield. NH2+ protons produced a signal at 8.61 ppm, which is typical for aliphatic ammonium salts.
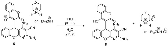
2.3. Acidification of Ammonium Salts of 2,4-Diamino-5-(4-Hydroxy-2-oxo-2H-chromen-3-yl)-5H-chromeno[2,3-b]pyridine-3-carbonitrile 5
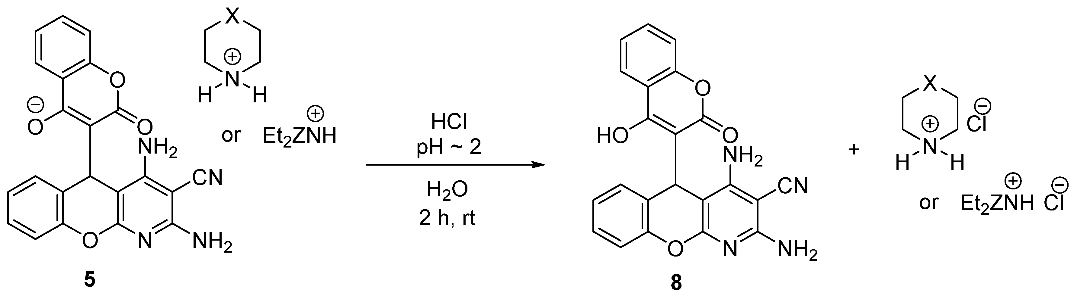
In the study of the chemical properties of ammonium salts 5, it was found that their acidification with concentrated HCl in an aqueous medium led to the formation of chromeno[2,3-b]pyridines 8, as shown in Scheme 4.
Scheme 4.
Acidification of ammonium salts 5.
The yields of compound 8 are practically quantitative and do not depend on the structure of salt 5.
3. Materials and Methods
3.1. General Methods
The solvents and reagents were purchased from commercial sources and used as received. 2-Aminoprop-1-ene-1,1,3-tricarbonitrile 2 was obtained from malononitrile according to the literature [16].
All melting points were measured with Gallenkamp melting-point apparatus (London, UK) and were uncorrected. 1H and 13C NMR spectra were recorded in DMSO-d6 with Bruker AM300, Bruker AV500 and Bruker AV600 spectrometers (Billerica, MA, USA) at ambient temperature. Some OH, NH, NH2 and NH2+ signals were exchanged with D2O (it is present as an impurity in DMSO-d6). Chemical shift values are relative to Me4Si. The IR spectrum was recorded with a Bruker ALPHA-T FT-IR spectrometer (Billerica, MA, USA) in KBr pellet. The MS spectrum (EI = 70 eV) was obtained directly with a Kratos MS-30 spectrometer (Manchester, UK). For elemental analysis, a 2400 Elemental Analyzer (Perkin Elmer Inc., Waltham, MA, USA) was used.
3.2. Multicomponent Synthesis of Ammonium Salts of 2,4-Diamino-5-(4-Hydroxy-2-oxo-2H-chromen-3-yl)-5H-chromeno[2,3-b]pyridine-3-carbonitrile 5
A solution of salicylaldehyde 1 (0.122 g, 1 mmol), 2-aminoprop-1-ene-1,1,3-tricarbonitrile 2 (0.132 g, 1 mmol), 4-Hydroxy-2H-chromen-2-one 3 (0.162 g, 1 mmol) and the corresponding amine 4 (1 mmol) in ethanol (4 mL) was refluxed in a round-bottom flask for 1 h. After the reaction was finished, the reaction mixture was chilled to 0 °C to crystallize the solid compound 5, which was then filtered out, twice rinsed with ice-cold ethanol (2 × 2 mL) and dried under reduced pressure.
Diethylammonium 3-(2,4-Diamino-3-cyano-5H-chromeno[2,3-b]pyridin-5-yl)-2-oxo-2H-chromen-4-olate (5a). White solid; yield 80% (0.377 g); mp = 306–307 °C (decomp.); FT-IR (KBr): 3392 (NH2), 3182 (NH2), 2204 (CN), 1645 (C=O), 1601 (C=C Ar), 1567 (C=C Ar), 1515 (C=C Ar), 1259 (OH), 1226 (C-H Ar), 1064 (C-H Ar) cm−1; 1H NMR (300 MHz, DMSO-d6): δ 1.12 (t, 3J = 7.3 Hz, 6H, 2 CH3), 2.88 (q, 3J = 7.3 Hz, 4H, 2 CH2), 5.37 (s, 1H, CH), 6.02 (s, 2H, 2-NH2), 6.70 (br s, 2H, 4-NH2), 6.79–7.18 (m, 6H, 6 CH Ar), 7.32 (t, 3J = 7.4 Hz, 1H, CH Ar), 7.88 (d, 3J = 7.4 Hz, 1H, CH Ar) ppm; 13C NMR (126 MHz, DMSO-d6): δ 11.6 (2C, 2 CH3), 28.9 (CH aliph.), 41.9 (2C, 2 CH2), 70.4 (br s, C-CN Ar), 91.3 (C-C=O), 103.8 (C-C-NH2 Ar), 115.5 (CH Ar), 116.0 (CN), 117.6 (C-C-O− Ar), 122.4 (CH Ar), 123.2 (C-CHaliph Ar), 123.3 (CH Ar), 125.7 (CH Ar), 126.2 (CH Ar), 126.9 (CH Ar), 128.9 (CH Ar), 130.3 (CH Ar), 152.3 (O-C-CH Ar), 154.2 (C4-NH2), 157.3 (C-O-C=O Ar), 159.2 (O-C-N Ar), 159.9 (C2-NH2), 162.9 (C=O), 171.8 (C-O−) ppm; MS (m/z, relative intensity %): 276 [M − C4H11N − C7H6O2]+ (1), 237 [M − C4H11N − C9H5O3]+ (77), 162 [C9H6O3]+ (51), 120 [C7H4O2]+ (58), 58 [C3H8N]+ (100); Anal. calcd. for C26H25N5O4: C, 66.23; H, 5.34; N, 14.85%; found: C, 66.12; H, 5.41; N, 14.81%.
Triethylammonium 3-(2,4-Diamino-3-cyano-5H-chromeno[2,3-b]pyridin-5-yl)-2-oxo-2H-chromen-4-olate (5b). Yellowish solid; yield 81% (0.405 g); mp = 177–178 °C; FT-IR (KBr): 3388 (NH2), 3189 (NH2), 2194 (CN), 1630 (C=O), 1601 (C=C Ar), 1565 (C=C Ar), 1511 (C=C Ar), 1259 (OH), 1226 (C-H Ar), 1106 (C-H Ar) cm−1; 1H NMR (300 MHz, DMSO-d6): δ 1.15 (t, 3J = 7.2 Hz, 9H, 3 CH3), 3.07 (q, 3J = 7.2 Hz, 6H, 3 CH2), 5.40 (s, 1H, CH), 6.06 (s, 2H, 2-NH2), 6.75 (br s, 2H, 4-NH2), 6.81–7.22 (m, 6H, 6 CH Ar), 7.34 (t, 3J = 7.2 Hz, 1H, CH Ar), 7.91 (d, 3J = 7.2 Hz, 1H, CH Ar), 8.39–9.37 (br s, 1H, NH+) ppm; 13C NMR (126 MHz, DMSO-d6): δ 9.2 (3C, 3 CH3), 28.9 (CH aliph.), 46.4 (3C, 3 CH2), 70.2 (br s, C-CN Ar), 91.3 (C-C=O), 103.8 (C-C-NH2 Ar), 115.5 (CH Ar), 116.0 (CN), 117.6 (C-C-O− Ar), 122.5 (CH Ar), 123.2 (C-CHaliph Ar), 123.3 (CH Ar), 125.7 (CH Ar), 126.2 (CH Ar), 126.9 (CH Ar), 128.9 (CH Ar), 130.3 (CH Ar), 152.3 (O-C-CH Ar), 154.2 (C4-NH2), 157.3 (C-O-C=O Ar), 159.2 (O-C-N Ar), 159.9 (C2-NH2), 163.0 (C=O), 171.9 (C-O−) ppm; MS (m/z, relative intensity %): 277 [M − C6H15N − C7H5O2]+ (1), 237 [M − C6H15N − C9H5O3]+ (36), 162 [C9H6O3]+ (11), 101 [C6H15N]+ (18), 86 [C5H12N]+ (100); Anal. calcd. for C28H29N5O4: C, 67.32; H, 5.85; N, 14.02%; found: C, 67.23; H, 5.92; N, 13.96%.
Piperidin-1-ium 3-(2,4-Diamino-3-cyano-5H-chromeno[2,3-b]pyridin-5-yl)-2-oxo-2H-chromen-4-olate (5c). Yellowish solid; yield 79% (0.382 g); mp = 238–239 °C; FT-IR (KBr): 3340 (NH2), 3234 (NH2), 2200 (CN), 1630 (C=O), 1602 (C=C Ar), 1568 (C=C Ar), 1506 (C=C Ar), 1259 (OH), 1228 (C-H Ar), 1106 (C-H Ar) cm−1; 1H NMR (300 MHz, DMSO-d6): δ 1.41–1.75 (m, 6H, 3 CH2), 3.75 (t, 3J = 4.9 Hz, 4H, 2 CH2N), 5.40 (s, 1H, CH), 6.06 (s, 2H, 2-NH2), 6.74 (br s, 2H, 4-NH2), 6.80–7.21 (m, 6H, 6 CH Ar), 7.33 (t, 3J = 7.2 Hz, 1H, CH Ar), 7.90 (d, 3J = 7.2 Hz, 1H, CH Ar) ppm; 13C NMR (75 MHz, DMSO-d6): δ 21.3 (CH2), 22.0 (2C, 2 CH2), 27.9 (CH aliph.), 43.4 (2C, 2 CH2N), 69.3 (C-CN Ar), 90.3 (C-C=O), 102.5 (C-C-NH2 Ar), 114.3 (CH Ar), 114.8 (C-C-O− Ar), 116.5 (CN), 121.2 (CH Ar), 122.1 (2C, CH Ar, C-CHaliph Ar), 124.6 (CH Ar), 125.2 (CH Ar), 125.7 (CH Ar), 127.7 (CH Ar), 129.0 (CH Ar), 151.2 (O-C-CH Ar), 153.1 (C4-NH2), 156.3 (C-O-C=O Ar), 158.2 (O-C-N Ar), 158.8 (C2-NH2), 162.8 (C=O), 170.7 (C-O−) ppm; MS (m/z, relative intensity %): 398 [M − C5H11N]+ (3), 303 [M − C5H11N − C4H5N3]+ (2), 237 [M − C5H11N − C9H5O3]+ (100), 162 [C9H6O3]+ (27), 84 [C5H10N]− (57); Anal. calcd. for C27H25N5O4: C, 67.07; H, 5.21; N, 14.48%; found: C, 66.98; H, 5.32; N, 14.41%.
Morpholin-4-ium 3-(2,4-Diamino-3-cyano-5H-chromeno[2,3-b]pyridin-5-yl)-2-oxo-2H-chromen-4-olate (5d). White solid; yield 77% (0.374 g); mp = 266–267 °C; FT-IR (KBr): 3452 (NH2), 3352 (NH2), 2203 (CN), 1637 (C=O), 1599 (C=C Ar), 1568 (C=C Ar), 1505 (C=C Ar), 1259 (OH), 1226 (C-H Ar), 1107 (C-H Ar) cm−1; 1H NMR (300 MHz, DMSO-d6): δ 3.10 (t, 3J = 5.1 Hz, 4H, 2 CH2N), 3.75 (t, 3J = 5.1 Hz, 4H, 2 CH2O), 5.41 (s, 1H, CH), 6.05 (s, 2H, 2-NH2), 6.74 (br s, 2H, 4-NH2), 6.83–7.20 (m, 6H, 6 CH Ar), 7.34 (t, 3J = 7.2 Hz, 1H, CH Ar), 7.90 (d, 3J = 7.2 Hz, 1H, CH Ar), 8.67 (br s, 2H, NH2+) ppm; 13C NMR (126 MHz, DMSO-d6): δ 28.4 (CH aliph.), 43.0 (2C, 2 CH2N), 63.4 (2C, 2 CH2O), 69.9 (C-CN Ar), 90.9 (C-C=O), 103.1 (C-C-NH2 Ar), 114.9 (CH Ar), 115.4 (C-C-O− Ar), 117.0 (CN), 121.7 (CH Ar), 122.6 (CH Ar), 122.7 (C-CHaliph Ar), 125.1 (CH Ar), 125.8 (CH Ar), 126.3 (CH Ar), 128.2 (CH Ar), 129.6 (CH Ar), 151.8 (O-C-CH Ar), 153.7 (C4-NH2), 156.9 (C-O-C=O Ar), 158.7 (O-C-N Ar), 159.4 (C2-NH2), 162.2 (C=O), 171.2 (C-O−) ppm; MS (m/z, relative intensity %): 289 [M − C4H9NO − C4H5N4]+ (1), 237 [M − C4H9NO − C9H5O3]+ (85), 162 [C9H6O3]+ (35), 87 [C4H9NO]+ (39), 29 [CH3N]+ (100); Anal. calcd. for C26H23N5O5: C, 64.32; H, 4.78; N, 14.43%; found: C, 64.26; H, 4.85; N, 14.39%.
3.3. Acidification of Ammonium Salts of 2,4-Diamino-5-(4-Hydroxy-2-oxo-2H-chromen-3-yl)-5H-chromeno[2,3-b]pyridine-3-carbonitrile 5
A solution of ammonium salt 5 (0.5 mmol) in water (10 mL) was stirred in a round-bottom flask for 1 h at ambient temperature. Then, concentrated hydrochloric acid was added dropwise to pH 2. The resulting solution was stirred for 1 h at ambient temperature. After the reaction was finished, the solid compound 8 was filtered out, twice rinsed with ice-cold ethanol (2 × 2 mL) and dried under reduced pressure.
2,4-Diamino-5-(4-Hydroxy-2-oxo-2H-chromen-3-yl)-5H-chromeno[2,3-b]pyridine-3-carbonitrile (8). Yellowish solid; yield: from compound 5a 95% (0.189 g), from compound 5b 94% (0.187 g), from compound 5c 96% (0.191 g), from compound 5d 98% (0.195 g); mp = 304–305 °C, lit [11] mp = 303–305 °C; 1H NMR (300 MHz, DMSO-d6): δ 5.46 (s, 1H, CH), 6.23 (br s, 2H, 2-NH2), 6.51 (br s, 2H, 4-NH2), 6.96–7.11 (m, 3H, 3 CH Ar), 7.20 (t, 3J = 7.7 Hz, 1H, CH Ar), 7.32 (t, 3J = 7.7 Hz, 2H, 2 CH Ar), 7.58 (t, 3J = 7.7 Hz, 1H, CH Ar), 8.01 (d, 3J = 6.9 Hz, 1H, CH Ar) ppm.
4. Conclusions
The title compounds, ammonium salts of 5-(3-chromenyl)-5H-chromeno[2,3-b]pyridines 5, were synthesized in good yield using the facile and efficient four-component approach with simple equipment and available starting compounds. The compounds 5 were characterized by spectroscopic methods (NMR, IR and MS-EI) and elemental analysis. The synthesis of ammonium salts 5 allows a supposedly more soluble and bioavailable form of the potential NPY1R ligands to be obtained, which is attractive for antiobesity treatment. The acidification of compounds 5 led to the formation of chromeno[2,3-b]pyridines 8 in almost all quantitative yields.
Supplementary Materials
The following are available online: compound 5a spectra: 1H NMR (Figure S1), 13C NMR (Figure S2), IR (Figure S3), MS (EI) (Figure S4); compound 5b spectra: 1H NMR (Figure S5), 13C NMR (Figure S6), IR (Figure S7), MS (EI) (Figure S8); compound 5c spectra: 1H NMR (Figure S9), 13C NMR (Figure S10), IR (Figure S11), MS (EI) (Figure S12); compound 5d spectra: 1H NMR (Figure S13), 13C NMR (Figure S14), IR (Figure S15), MS (EI) (Figure S16).
Author Contributions
Y.E.R.—synthesis, spectroscopic analysis and writing the manuscript; A.N.F.—NMR spectroscopy research; M.N.E.—conceptualization, supervision and writing the manuscript. All authors have read and agreed to the published version of the manuscript.
Funding
This research received no external funding.
Data Availability Statement
The data for the compounds presented in this study are available in the Supplementary Materials of this article.
Conflicts of Interest
The authors declare no conflict of interest.
References
- Savjani, K.T.; Gajjar, A.K.; Savjani, J.K. Drug Solubility: Importance and Enhancement Techniques. ISRN Pharm. 2012, 2012, 1–10. [Google Scholar] [CrossRef] [PubMed]
- Sharma, D.; Soni, M.; Kumar, S.; Gupta, G.D. Solubility enhancement—eminent role in poorly soluble drugs. Res. J. Pharm. Technol. 2009, 2, 220–224. [Google Scholar]
- Patel, M.S.N.; Ahmed, M.H.; Saqib, M.; Shaikh, S.N. Chemical Modification: A unique solutions to Solubility problem. J. Drug Deliv. Ther. 2019, 9, 542–546. [Google Scholar] [CrossRef]
- Srivastava, S.K.; Tripathi, R.P.; Ramachandran, R. NAD+-dependent DNA Ligase (Rv3014c) from Mycobacterium tuberculosis. J. Biol. Chem. 2005, 280, 30273–30281. [Google Scholar] [CrossRef] [PubMed]
- Azuine, M. Cancer chemopreventive effect of phenothiazines and related tri-heterocyclic analogues in the 12-O-tetradecanoylphorbol-13-acetate promoted Epstein-Barr virus early antigen activation and the mouse skin two-stage carcinogenesis models. Pharmacol. Res. 2004, 49, 161–169. [Google Scholar] [CrossRef] [PubMed]
- Maruyama, Y.; Goto, K.; Terasawa, M.; Nakatsu, O. Use of 9-chloro-7-(1H-tetrazol-5-yl)-5-oxo-5H[1H]benzopyrano[2,3-b]-pyridine and its Salts and Hydrates in the Treatment of Rheumatic. Maladies. Patent DE 3010751, 17 January 1980. [Google Scholar]
- Shigemitsu, T.; Watanabe, N. Composition for Prophylaxis and Treatment of. Myopia. Patent EP0647445A1, 5 October 1994. [Google Scholar]
- Ukawa, K.; Ishiguro, T.; Kuriki, H.; Nohara, A. Synthesis of the metabolites and degradation products of 2-amino-7-isopropyl-5-oxo-5H-(1)benzopyrano(2,3-b)pyridine-3-carboxylic acid (Amoxanox). Chem. Pharm. Bull. 1985, 33, 4432–4437. [Google Scholar] [CrossRef] [PubMed]
- Elinson, M.N.; Ryzhkova, Y.E.; Ryzhkov, F.V. Multicomponent design of chromeno[2,3-b]pyridine systems. Russ. Chem. Rev. 2021, 90, 94–115. [Google Scholar] [CrossRef]
- Cioc, R.C.; Ruijter, E.; Orru, R.V.A. Multicomponent reactions: Advanced tools for sustainable organic synthesis. Green Chem. 2014, 16, 2958–2975. [Google Scholar] [CrossRef]
- Ryzhkov, F.V.; Ryzhkova, Y.E.; Elinson, M.N.; Vereshchagin, A.N.; Korolev, V.A.; Egorov, M.P. Quadruple Bond Forming Multicomponent Approach to 5-(3-chromenyl)-5H-chromeno[2,3-b]pyridines and Its Interaction with the Neuropeptide Y1 Receptor. Chem. Heterocycl. Compd. 2020, 56, 1560–1568. [Google Scholar] [CrossRef]
- Ryzhkov, F.V.; Ryzhkova, Y.E.; Elinson, M.N.; Vorobyev, S.V.; Fakhrutdinov, A.N.; Vereshchagin, A.N.; Egorov, M.P. Catalyst-Solvent System for PASE Approach to Hydroxyquinolinone-Substituted Chromeno[2,3-b]pyridines Its Quantum Chemical Study and Investigation of Reaction Mechanism. Molecules 2020, 25, 2573. [Google Scholar] [CrossRef] [PubMed]
- Patai, S.; Israeli, Y. 411. The kinetics and mechanisms of carbonyl–methylene condensations. Part VII. The reaction of malononitrile with aromatic aldehydes in ethanol. J. Chem. Soc. 1960, 2025–2030. [Google Scholar] [CrossRef]
- Stanley, B.G.; Kyrkouli, S.E.; Lampert, S.; Leibowitz, S.F. Neuropeptide Y chronically injected into the hypothalamus: A powerful neurochemical inducer of hyperphagia and obesity. Peptides 1986, 7, 1189–1192. [Google Scholar] [CrossRef]
- Behr, A.; Becker, M.; Reyer, S. A highly efficient method for the hydroaminomethylation of long-chain alkenes under aqueous, biphasic conditions. Tetrahedron Lett. 2010, 51, 2438–2441. [Google Scholar] [CrossRef]
- Mittelbach, M. An improved and facile synthesis of 2-amino-1,1,3-tricyanopropene. Mon. Chem. Chem. Mon. 1985, 116, 689–691. [Google Scholar] [CrossRef]
Publisher’s Note: MDPI stays neutral with regard to jurisdictional claims in published maps and institutional affiliations. |
© 2021 by the authors. Licensee MDPI, Basel, Switzerland. This article is an open access article distributed under the terms and conditions of the Creative Commons Attribution (CC BY) license (https://creativecommons.org/licenses/by/4.0/).





