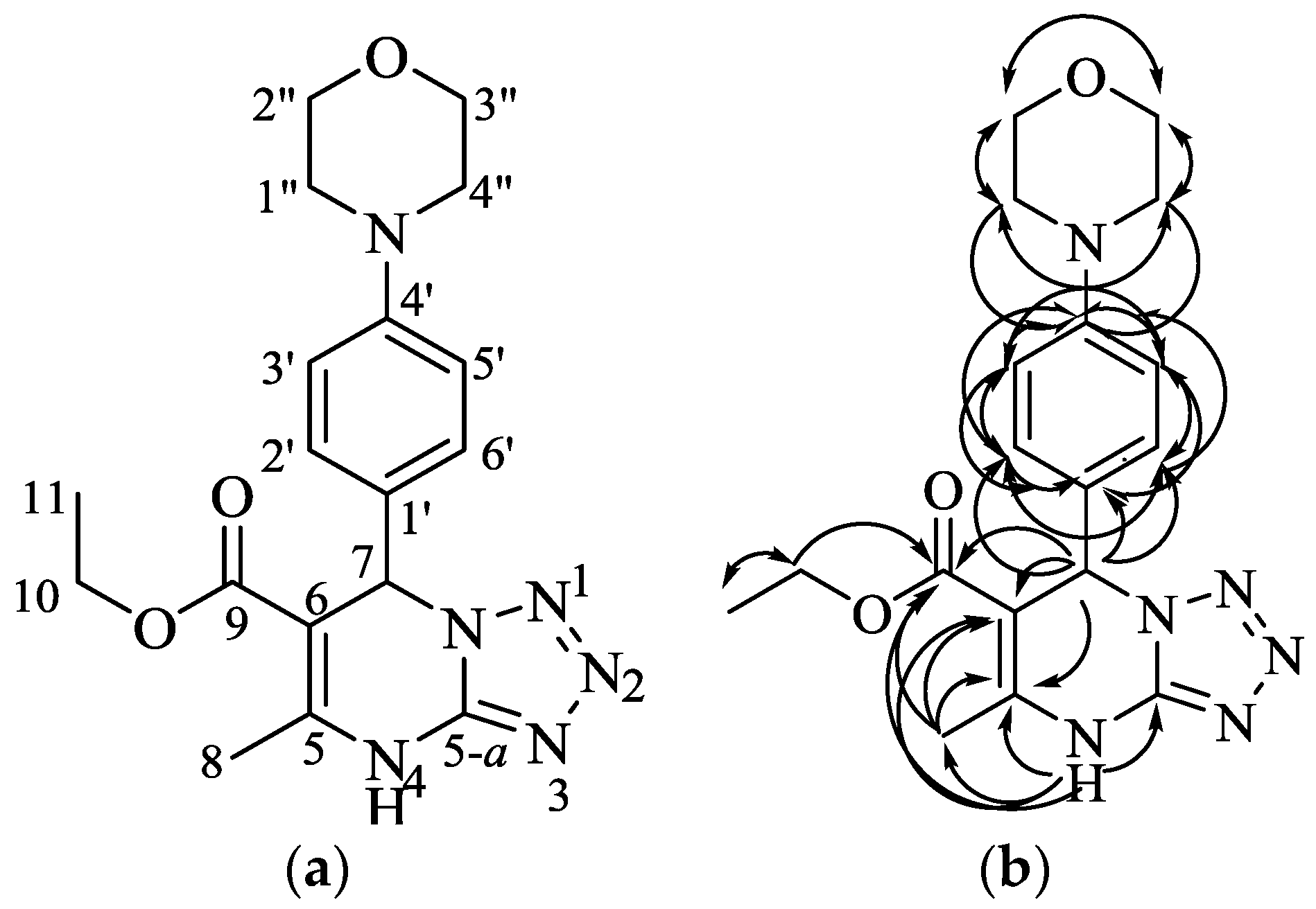
Ethyl 5-methyl-7-(4-morpholinophenyl)-4,7-dihydrotetrazolo[1,5-a]pyrimidine-6-carboxylate
Abstract
:1. Introduction
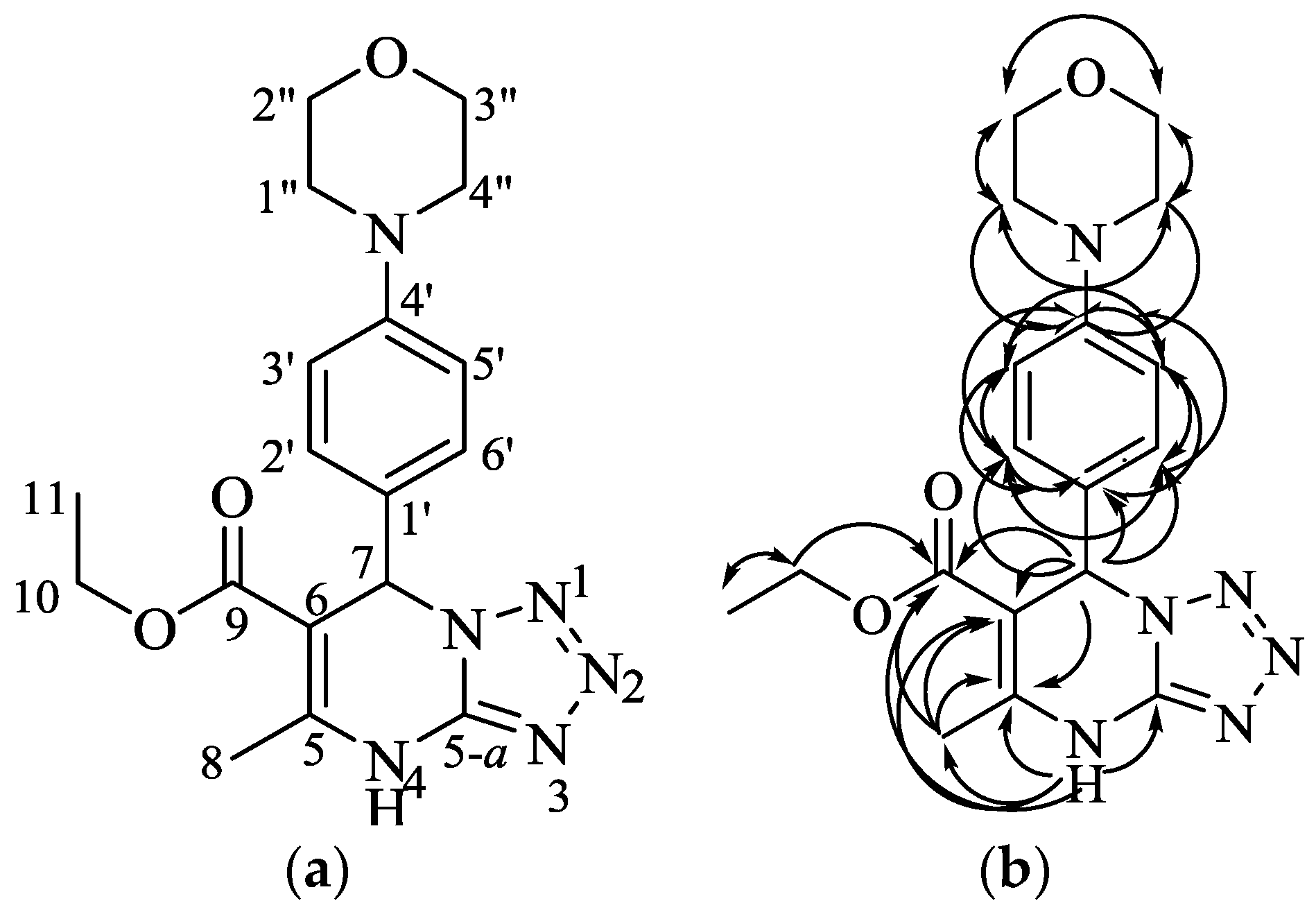
2. Results and Discussion
3. Materials and Methods
3.1. General
3.2. Synthesis Procedure of the Prepared Compound
4. Conclusions
Supplementary Materials
Author Contributions
Funding
Acknowledgments
Conflicts of Interest
References
- Clarck, J.H.; Macquarrie, D.J.; Sherwood, J. The combined role of catalysis and solvent effects on the Biginelli reaction: Improving efficiency and sustainability. Chem. Eur. J. 2013, 19, 5174–5182. [Google Scholar] [CrossRef] [PubMed]
- Kappe, C.O.; Stadler, A. The Biginelli dihydropyrimidine synthesis. Org. React. 2004, 63, 1–116. [Google Scholar]
- Kappe, C.O. Recent advances in the Biginelli dihydropyrimidine synthesis. New tricks from an old dog. Acc. Chem. Res. 2000, 33, 879–888. [Google Scholar] [CrossRef] [PubMed]
- Gein, V.L.; Gein, L.F.; Tsyplyakova, E.P.; Panova, O.S. Synthesis of 6-Acyl-7-aryl-4,7-dihydrotetrazolo[1,5-a]pyrimidine-5-carboxylic acids and their methyl esters. Russ. J. Org. Chem. 2007, 43, 1382–1386. [Google Scholar] [CrossRef]
- Gein, V.L.; Zamaraeva, T.M.; Dmitriev, M.V. Synthesis of diethyl 6-aryl-3,6-dihydrotetrazolo-[1,5-a]pyrimidine-4,5-dicarboxylates. Russ. J. Org. Chem. 2016, 52, 558–561. [Google Scholar] [CrossRef]
- Ghorbani-Vaghei, R.; Toghraei-Semiromi, Z.; Amiri, M. Karimi-Nami, R., One-pot synthesis of tetrazolo[1,5-a]pyrimidines under solvent-free conditions. Mol. Divers. 2013, 17, 307–318. [Google Scholar] [CrossRef] [PubMed]
- Li, T.-J.; Yao, C.-S.; Yu, C.-X.; Wang, X.-S.; Tu, S.-J. Ionic liquid-mediated one pot synthesis of 5-(trifluoromethyl)-4,7-dihydrotetrazolo-[1,5-a]pyrimidine derivatives. Synth. Commun. 2012, 42, 2728–2738. [Google Scholar] [CrossRef]
- Gein, V.L.; Zamaraeva, T.M.; Mishunin, V.V.; Kotegov, V.P. Synthesis and Hypoglycemic Activity of Methyl 6-aryl(hetaryl)-5-(2-furanoyl)-3,6-dihydrotetrazolo[1,5-a]pyrimidine-4-carboxylates. Russ. J. Org. Chem. 2016, 86, 286–290. [Google Scholar] [CrossRef]
- Gein, V.L.; Zamaraeva, T.M.; Kurbatova, A.A.; Voronina, E.V.; Vakhrin, M.I. Synthesis and Antimicrobial Activity of N,7-diaryl-5-methyl-4,7-dihydrotetrazolo[1,5-a]pyrimidine-6-carboxamides. Pharm. Chem. J. 2010, 44, 27–29. [Google Scholar]
- Haleel, A.; Mahendiran, D.; Veena, V.; Sakthivel, N.; Rahiman, A.K. Antioxidant, DNA interaction, VEGFR2 kinase, Topoisomerase I and in vitro cytotoxic activities of heteroleptic copper (II) complexes of tetrazolo[1,5-a]pyrimidines and diimines. Mater. Sci. Eng. C Mater. 2016, 68, 366–382. [Google Scholar] [CrossRef] [PubMed]
- Piccionello, A.P.; Musumeci, R.; Cocuzza, C.; Fortuna, C.G.; Guarcello, A.; Pierro, P.; Pace, A. Synthesis and preliminary antibacterial evaluation of Linezolid-like 1,2,4-oxadiazole derivatives. Eur. J. Med. Chem. 2012, 50, 441–448. [Google Scholar] [CrossRef] [PubMed]
- Kamal, A.; Dastagiri, D.; Ramaiah, M.J.; Reddy, S.; Bharathi, E.V.; Reddy, M.K.; Sagar, M.V.P.; Reddy, T.L.; Pushpavalli, S.N.C.V.L.; Pal-Bhadra, M. Synthesis and apoptosis inducing ability of new anilino substituted pyrimidine sulfonamides as potential anticancer agent. Eur. J. Med. Chem. 2011, 46, 5817–5824. [Google Scholar] [CrossRef] [PubMed]
- Maddilaa, S.; Jonnalagadda, S.B. New class of pyrimidinesulfamoyl containing pyrazole and pyrrole derivatives and their antioxidant activity. Lett. Org. Chem. 2011, 6, 374–379. [Google Scholar] [CrossRef]
- Suwito, H.; Zulqaida, S.; Ul Haq, K.; Kristanti, A.N.; Indriani, I. Ethyl 4-[5-methoxymethyl)furan-2-yl]-6-methyl-2-oxo-1,2,3,4-tetrahydropyrimidine-5-carboxylate. Molbank 2017, 2007, M954. [Google Scholar] [CrossRef]


| No. of Atoms | δH (mult, J (Hz)) | δC (ppm) | HMBC |
|---|---|---|---|
| 4 | 11.08 (s, 1H) | C-5, C-8, C-9, C-5-a | |
| [5-a] | — | 148.8 | — |
| 5 | — | 145.8 | — |
| 6 | — | 99.6 | — |
| 7 | 6.67 (s, 1H) | 59.2 | C-5, C-6, C-9, C-1′, C-2′, C-6′ |
| 8 | 2.67 (s, 3H) | 19.6 | C-5, C-6, C-9 |
| 9 | — | 165.1 | — |
| 10 | 4.05 (m, 2H) | 60.6 | C-9, C-11 |
| 11 C | 1.16 (t, J = 7.1 Hz, 3H) | 14.2 | C-10 |
| 1′ C | — | 131.1 | — |
| 2′ C | 7.25 (d, J = 8.6 Hz, 1H) | 128.4 | C-1′, C-3′, C-4′, C-6′ |
| 3′ C | 6.83 (d, J = 8.6 Hz, 1H) | 115.5 | C-1′, C-2′, C-4′, C-5′ |
| 4′ C | — | 151.5 | — |
| 5′C | 6.83 (d, J = 8.6 Hz, 1H) | 115.5 | C-1′, C-3′, C-4′, C-6′ |
| 6′ C | 7.25 (d, J = 8.6 Hz, 1H) | 128.4 | C-1′, C-2′, C-4′, C-5′ |
| 1″ C | 3.14 (t, J = 4.8 Hz, 2H) | 48.9 | C-4′, C-2″, C-4″ |
| 2″ C | 3.83 (t, J = 4.8 Hz, 2H) | 66.9 | C-1″, C-3″ |
| 3″ C | 3.83 (t, J = 4.8 Hz, 2H) | 66.9 | C-2″, C-4″ |
| 4″ C | 3.14 (t, J = 4.8 Hz, 2H) | 48.9 | C-4′, C-1″, C-3″ |
© 2018 by the authors. Licensee MDPI, Basel, Switzerland. This article is an open access article distributed under the terms and conditions of the Creative Commons Attribution (CC BY) license (http://creativecommons.org/licenses/by/4.0/).
Share and Cite
Suwito, H.; Kurnyawaty, N.; Ul Haq, K.; Abdulloh, A.; Indriani, I. Ethyl 5-methyl-7-(4-morpholinophenyl)-4,7-dihydrotetrazolo[1,5-a]pyrimidine-6-carboxylate. Molbank 2018, 2018, M998. https://doi.org/10.3390/M998
Suwito H, Kurnyawaty N, Ul Haq K, Abdulloh A, Indriani I. Ethyl 5-methyl-7-(4-morpholinophenyl)-4,7-dihydrotetrazolo[1,5-a]pyrimidine-6-carboxylate. Molbank. 2018; 2018(2):M998. https://doi.org/10.3390/M998
Chicago/Turabian StyleSuwito, Hery, Noorma Kurnyawaty, Kautsar Ul Haq, Abdulloh Abdulloh, and Indriani Indriani. 2018. "Ethyl 5-methyl-7-(4-morpholinophenyl)-4,7-dihydrotetrazolo[1,5-a]pyrimidine-6-carboxylate" Molbank 2018, no. 2: M998. https://doi.org/10.3390/M998
APA StyleSuwito, H., Kurnyawaty, N., Ul Haq, K., Abdulloh, A., & Indriani, I. (2018). Ethyl 5-methyl-7-(4-morpholinophenyl)-4,7-dihydrotetrazolo[1,5-a]pyrimidine-6-carboxylate. Molbank, 2018(2), M998. https://doi.org/10.3390/M998
