N-(3-Chloro-2-methylphenyl)-4-(4-fluorophenyl)-1,3-thiazol-2-amine
Abstract
:1. Introduction
2. Results and Discussion
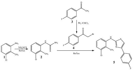
2.1. Chemistry
2.2. Antibacterial Activity
3. Materials and Methods
3.1. Chemistry
3.1.1. General Information
3.1.2. Synthesis of N-(3-Chloro-2-methylphenyl)-4-(4-fluorophenyl) 1,3-thiazol-2-amine 5
3.2. Antibacterial Activity
Supplementary Materials
Acknowledgments
Author Contributions
Conflicts of Interest
References
- Siddiqui, N.; Arshad, M.F.; Ahsan, W.; Alam, M.S. Thiazoles: A valuable insight into the recent advances and biological activities. Int. J. Pharm. Sci. Drug Res. 2009, 1, 136–143. [Google Scholar]
- Madni, M.; Hameed, S.; Ahmed, M.N.; Tahir, M.N.; Al-Masoudi, N.A.; Pannecouque, C. Synthesis, crystal structure, anti-HIV and antiproliferative activity of new pyrazolylthiazole derivatives. Med. Chem. Res. 2017, 26, 2653–2665. [Google Scholar] [CrossRef]
- Sadek, B.; Al-Tabakha, M.M.; Fahelelbom, K.M.S. Antimicrobial prospect of newly synthesized 1,3-thiazole derivatives. Molecules 2011, 16, 9386–9396. [Google Scholar] [CrossRef] [PubMed]
- Patt, W.C.; Hamilton, H.W.; Taylor, M.D.; Ryan, M.J.; Taylor, D.G., Jr.; Connolly, C.J.C.; Doherty, A.M.; Klutchko, S.R.; Sircar, I. Structure-activity relationships of a series of 2-amino-4-thiazole-containing renin inhibitors. J. Med. Chem. 1992, 35, 2562–2572. [Google Scholar] [CrossRef] [PubMed]
- Jean, J.C.; Wise, L.D.; Caprathe, B.W.; Tecle, H.; Bergmeier, S.; Humblet, C.C.; Heffner, T.G.; Meltzner, L.T.; Pugsley, T.A. 4-(1,2,5,6-Tetrahydro-1-alkyl-3-pyridinyl)-2-thiazolamines: A novel class of compounds with central dopamine agonist properties. J. Med. Chem. 1990, 33, 311–317. [Google Scholar] [CrossRef]
- Hargrave, K.D.; Hess, F.K.; Oliver, J.T. N-(4-substituted-thiazolyl)oxamic acid derivatives, a new series of potent, orally active antiallergy agents. J. Med. Chem. 1983, 26, 1158–1163. [Google Scholar] [CrossRef] [PubMed]
- Narayana, B.; Vijaya Raj, K.K.; Ashalatha, B.V.; Suchetha Kumari, N. Antibacterial and antifungal studiesn some new acetylcinnolines and cinnolinylthiazole derivatives. Ind. J. Chem. Sect. B 2006, 45B, 1704–1709. [Google Scholar]
- Sarojini, B.K.; Krishna, B.G.; Darshanraj, C.G.; Bharath, B.R.; Manjunatha, H. Synthesis, characterization, in vitro and molecular docking studies of new 2,5-dichloro thienyl substituted thiazole derivatives for antimicrobial properties. Eur. J. Med. Chem. 2010, 45, 3490–3496. [Google Scholar] [CrossRef] [PubMed]
- Me’graud, F.; Occhialini, A.; Rossignol, J.F. Nitazoxanide, a potential drug for eradication of Helicobacter pylori with no cross-resistance to metronidazole. Antimicrob. Agents Chemother. 1998, 42, 2836–2840. [Google Scholar]
- Ye, X.; Zhou, W.; Li, Y.; Sun, Y.; Zhang, Y.; Ji, H.; Lai, Y. Darbufelone, a novel anti-inflammatory drug, induces growth inhibition of lung cancer cells both in vitro and in vivo. Cancer Chemother. Pharmacol. 2010, 66, 277–285. [Google Scholar] [CrossRef] [PubMed]
- Naumann, K. Influence of chlorine substituents on biological activity of chemicals. J. Prakt. Chem. 1999, 341, 417–435. [Google Scholar] [CrossRef]
- Kirk, K.L. Fluorine in medicinal chemistry: Recent therapeutic applications of fluorinated small molecules. J. Fluor. Chem. 2006, 127, 1013–1029. [Google Scholar] [CrossRef]
- Leung, C.S.; Leung, S.S.F.; Tirado-Rives, J.; Jorgensen, W.L. Methyl effects on protein–ligand binding. J. Med. Chem. 2012, 55, 4489–4500. [Google Scholar] [CrossRef] [PubMed]
- Yavari, I.; Hossaini, Z.; Sabbaghan, M.; Ghazanfarpour-Darjani, M. A one-pot synthesis of functionalized thiazoles from acid chlorides, secondary amines, ethyl bromopyruvate, and ammonium thiocyanate. Mol. Divers. 2009, 13, 295–300. [Google Scholar] [CrossRef] [PubMed]
- Holla, B.S.; Malini, K.V.; Rao, B.S.; Sarojini, B.K.; Kumari, N.S. Synthesis of some new 2,4-disubstituted thiazoles as possible antibacterial and anti-inflammatory agents. Eur. J. Med. Chem. 2003, 38, 313–318. [Google Scholar] [CrossRef]
- Balouiri, M.; Sadiki, M.; Ibnsouda, S.K. Methods for in vitro evaluating antimicrobial activity: A review. J. Pharm. Anal. 2016, 6, 71–79. [Google Scholar] [CrossRef]

| Compound | Diameter of Zone of Inhibition (mm) after 24 h of Incubation | |
|---|---|---|
| Staphylococcus aureus (ATTC2043) | Chromobacterium violaceum (ATTC2216) | |
| 5 (3.14 × 10−3 M) | 20.5 ± 0.4 | 17.0 ± 0.3 |
| Streptomycin (20 µg/Disc) | 36.6 ± 0.3 | 29.1 ± 0.2 |
| DMSO | NA | NA |
© 2018 by the authors. Licensee MDPI, Basel, Switzerland. This article is an open access article distributed under the terms and conditions of the Creative Commons Attribution (CC BY) license (http://creativecommons.org/licenses/by/4.0/).
Share and Cite
Uwabagira, N.; Sarojini, B.K.; Poojary, B. N-(3-Chloro-2-methylphenyl)-4-(4-fluorophenyl)-1,3-thiazol-2-amine. Molbank 2018, 2018, M975. https://doi.org/10.3390/M975
Uwabagira N, Sarojini BK, Poojary B. N-(3-Chloro-2-methylphenyl)-4-(4-fluorophenyl)-1,3-thiazol-2-amine. Molbank. 2018; 2018(1):M975. https://doi.org/10.3390/M975
Chicago/Turabian StyleUwabagira, Nadine, Balladka Kunhana Sarojini, and Boja Poojary. 2018. "N-(3-Chloro-2-methylphenyl)-4-(4-fluorophenyl)-1,3-thiazol-2-amine" Molbank 2018, no. 1: M975. https://doi.org/10.3390/M975
APA StyleUwabagira, N., Sarojini, B. K., & Poojary, B. (2018). N-(3-Chloro-2-methylphenyl)-4-(4-fluorophenyl)-1,3-thiazol-2-amine. Molbank, 2018(1), M975. https://doi.org/10.3390/M975
