Abstract
This note describes a novel reaction cascade in which a tosylhydrazone derivative of eucarvone undergoes a non-classical dimerization process under basic conditions. The key step in this sequence is a dipolar cycloaddition between a diazo species and a transient cyclopropene. A proposed mechanism for this sequence is presented that is supported by single crystal X-ray analysis of the resulting dimer. We believe this unique transformation is of note as it highlights a neat and efficient entry to complex polycyclic architectures containing an embedded pyrazoline moiety.
1. Introduction
Molecular rearrangements are of considerable importance to synthetic chemistry as they allow the creation of unprecedented molecular scaffolds that present unique physical and biological properties [1]. Additionally, such rearrangements can be part of more complex reaction cascades, resulting in the rapid construction of larger architectures that arise from a well-orchestrated and typically very step-efficient process. The discovery of such reaction cascades therefore allows chemists not only to access new chemical space, but moreover enables us to subsequently design and create such structures in target-oriented synthesis programs.
2. Results
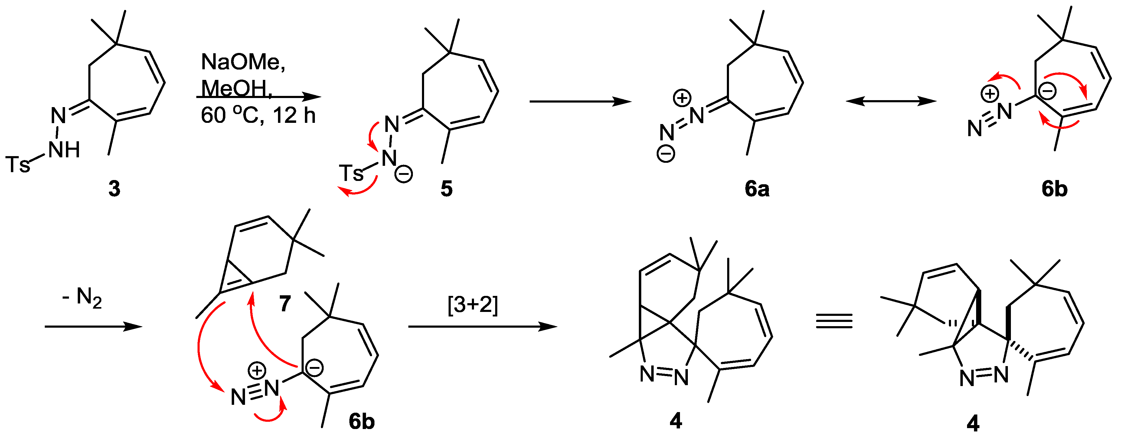
A recent synthesis program in our laboratory concerned the conversion of eucarvone 1, that was prepared by literature methods [2,3], into its deoxygenated cycloheptatriene counterpart 2 (Scheme 1). To perform this transformation, we opted to convert eucarvone into its tosylhydrazone derivative (3), which upon treatment with base was expected to undergo a Bamford–Stevens reaction [4,5].
Scheme 1.
Intended synthetic route towards cycloheptatriene 2.
Upon deprotonation of 3 with a freshly prepared solution of sodium methoxide in methanol (2.0 equiv.) no reaction occurred at ambient temperature after 1h. However, upon heating of the reaction mixture at 60 °C the formation of a new species was observed by thin-layer chromatography (TLC) with the reaction reaching completion after 12 h. After quenching the reaction mixture with saturated aqueous ammonium chloride solution and performing an aqueous extraction (DCM/water) the crude product was isolated and purified by silica column chromatography (EtOAc/hexanes 5:95) to yield a colorless solid as the principle product. Analysis of this material by 1H-NMR revealed that it was not consistent with the reported data for the desired product 2 [6]. Furthermore, HRMS analysis suggested a molecular formula of C20H28N2 implying that a pseudo-dimeric species had alternatively been obtained. To this end, the purified material was crystallized from DCM allowing for single crystal X-ray diffraction analysis. The results of the X-ray analysis confirmed that a dimeric species (4) had been formed as part of the intended deoxygenation process (Figure 1).
Figure 1.
Single crystal X-ray structure of dimeric product 4 (CCDC 1562021) [7].
Furthermore, the presence of an unprecedented tetracyclic (6-3-5-7) ring system containing an embedded pyrazoline ring was revealed. Importantly, it was possible to generate this intriguing product in a reproducible manner (60–70% isolated yield).
3. Discussion
To account for this unexpected reaction outcome, we propose the following mechanistic rationale which is inspired by the classical Bamford–Stevens reaction. As such deprotonation of the tosylhydrazone 3 is expected to generate the corresponding anion 5 that allows expulsion of the tosyl unit to subsequently yield to a diazo intermediate 6a (Scheme 2). This species can be represented through a second resonance form 6b, which then undergoes a ring contraction to a fused (3–6) bicycle 7 accompanied by release of nitrogen gas [8,9,10,11]. Finally, a dipolar cycloaddition between diazo species 6a and bicycle 7 [12] furnishes the observed dimer 4. The regioselectivity of this cycloaddition process is likely to be governed by steric elements and the presence of a minor isomer in the NMR spectrum of crude 4 likely accounts for this (original d.r./r.r. ~4:1).
Scheme 2.
Proposed mechanism for the formation of dimer 4.
4. Materials and Methods
Eucarvone 1 was prepared from carvone by literature known methods [2,3] and isolated as a colorless oil. The synthesis of tosylhydrazone 3 from eucarvone 1 was accomplished as follows: tosyl hydrazine (1.1 mmol, 205 mg) and one drop of acetic acid were added to a solution of eucarvone (1, 1 mmol, 150 mg) in MeCN (0.5 M). The resulting mixture was heated at 65 °C for 5 h at which point TLC indicated full conversion of 1. After removal of the solvent the crude mixture was purified by silica column chromatography (10–20% EtOAc in hexanes) to yield 3 as a colorless amorphous solid (85% yield, 0.85 mmol, 270 mg). NMR and LC-MS data are consistent with this structure:
1H-NMR (600 MHz, CDCl3) δ/ppm 7.83 (d, J = 8.4 Hz, 2H), 7.75 (s, 1H), 7.31–7.27 (m, 2H), 5.92 (dt, J = 7.4, 1.3 Hz, 1H), 5.56 (dd, J = 11.6, 7.3 Hz, 1H), 5.53 (d, J = 11.5 Hz, 1H), 2.41 (s, 3H), 2.40 (s, 2H), 1.92 (d, J = 1.4 Hz, 3H), 1.00 (s, 6H). 13C-NMR (150 MHz, CDCl3) δ/ppm 155.2 (C), 144.1 (C), 143.4 (CH), 137.9 (C), 135.1 (C), 129.4 (2CH), 128.1 (2CH), 127.2 (CH), 121.8 (CH), 38.2 (CH2), 35.2 (C), 27.5 (2CH3), 21.8 (CH3), 21.6 (CH3). LC-MS (TOF-ES+) 319.3 (M + H).
The synthesis of dimer 4 was accomplished by the following procedure: Sodium metal (22 mg, 0.96 mmol, 2.0 equiv.) was dissolved in dry methanol (2 mL) at ambient temperature. Tosylhydrazone 3 (150 mg, 0.47 mmol, 1.0 equiv.) was added the resulting solution of sodium methoxide (0.48 M). After stirring at room temperature for 1 h the temperature was raised to 60 °C and maintained for 12 h, at which point TLC indicated full consumption of 3 and formation of a new compound. The reaction mixture was cooled to room temperature, treated with saturated aqueous ammonium chloride solution, and extracted into DCM (3 × 15 mL). The combined organic layers were dried over anhydrous Na2SO4, filtered, and evaporated to dryness. Purification by silica column chromatography (5% EtOAc/hexanes) yielded 4 as a colorless crystalline solid (65%, 0.30 mmol, 90 mg). Slow evaporation of a solution of 4 in DCM yielded crystals suitable for X-ray diffraction analysis.
1H-NMR (400 MHz, CDCl3) δ/ppm 5.93 (ddt, J = 7.5, 1.7, 0.9 Hz, 1H), 5.80 (d, J = 11.3 Hz, 1H), 5.70 (dt, J = 9.9, 1.1 Hz, 1H), 5.64 (dd, J = 11.3, 7.5 Hz, 1H), 5.55 (dd, J = 9.9, 3.3 Hz, 1H), 2.52 (d, J = 14.8 Hz, 1H), 1.75 (dd, J = 15.0, 1.1 Hz, 1H), 1.62 (dd, J = 14.8, 1.4 Hz, 1H), 1.55 (s, 3H), 1.41 (s, 3H), 1.31 (d, J = 15.0 Hz, 1H), 1.27 (dd, J = 1.3, 0.7 Hz, 3H), 1.10 (s, 3H), 1.01 (s, 3H), 0.96 (s, 3H), 0.77 (dd, J = 3.3, 1.0 Hz, 1H). 13C-NMR and DEPT135 (100 MHz, CDCl3) δ/ppm 145.6 (CH), 141.9 (CH), 135.4 (C), 128.2 (CH), 121.7 (CH), 119.8 (CH), 102.1 (C), 78.2 (C), 47.7 (CH2), 36.0 (C), 33.8 (CH2), 33.6 (C), 33.5 (CH3), 30.9 (CH3), 30.7 (CH3), 30.3 (C), 28.7 (CH3), 25.5 (CH3), 22.4 (CH3), 8.5 (CH). IR (neat, cm−1) ν 3018 (m), 2955 (s), 2926 (s), 2865 (m), 1513 (m), 1468 (m), 1379 (m), 1362 (m), 1080 (m), 885 (w), 741 (s), 708 (m), 683 (w). HRMS (TOF MS+) calculated for C20H29N2 297.2331, found 297.2339 (Δ 2.7 ppm). X-ray data: CCDC 1562021; space group P-1; a = 8.3507(5) Å, b = 9.1321(5) Å, c = 12.5575(7) Å; α = 76.486(2)°, β = 74.373(2)°, γ = 71.713(2)°. Melting range: decomposition >105 °C.
5. Conclusions
In conclusion, we have accomplished the efficient synthesis of a complex tetracyclic pyrazoline system (4) by an unprecedented dimerization reaction. This is based on a Bamford–Stevens reaction of a tosylhydrazone precursor (3), and a mechanistic rationale accounting for this transformation is proposed. Due to the novelty of both this scaffold and this process, we believe such intriguing entities hold interest as they represent new chemical space.
Supplementary Materials
The following are available online at http://www.mdpi.com/1422-8599/2017/3/M948, copies of NMR spectra of 4 and X-ray crystallography data.
Supplementary File 1Supplementary File 2Supplementary File 3Supplementary File 4Acknowledgments
We gratefully acknowledge support from the Royal Society (UF130576; MB and IRB) as well as Erasmus+ (SL). We furthermore are grateful to Dr. Andrej Batsanov (Durham University) for solving the X-ray crystal structure of compound 4.
Author Contributions
S.L. and M.B. performed the experiments. M.B. and I.R.B. wrote the paper.
Conflicts of Interest
The authors declare no conflict of interest. The founding sponsors had no role in the design of the study; in the collection, analyses, or interpretation of data; in the writing of the manuscript, or in the decision to publish the results.
References and Notes
- Rojas, C.M. Molecular Rearrangements in Organic Synthesis, 1st ed.; John Wiley & Sons: New York, NY, USA, 2015; pp. 1–750. [Google Scholar]
- Yadav, V.K.; Babu, K.G. A remarkably efficient Markovnikov hydrochlorination of olefins and transformation of nitriles into imidates by use of AcCl and an alcohol. Eur. J. Org. Chem. 2005, 452–456. [Google Scholar] [CrossRef]
- Selezneva, N.K.; Gimalova, F.A.; Valeev, R.F.; Miftakhov, M.S. Carvone hydrochloride in the synthesis of thiazole-containing C11-C21-building block of epithilones gem-dimethylcyclopropane analogs. Russ. J. Org. Chem. 2010, 46, 191–197. [Google Scholar] [CrossRef]
- Bamford, W.R.; Stevens, T.S. The decomposition of p-tolylsulfonylhydrazones by alkali. J. Chem. Soc. 1952, 4735–4740. [Google Scholar] [CrossRef]
- Adlington, R.M.; Barrett, A.G.M. Recent applications of the Shapiro reaction. Acc. Chem. Res. 1983, 16, 55–59. [Google Scholar] [CrossRef]
- Romanenko, E.P.; Tkachev, A.V. Identification by GC-MS of cymene isomers 3,7,7-trimethylcyclohepta-1,3,5-heptatriene in essential oils. Chem. Nat. Compd. 2006, 42, 699–701. [Google Scholar] [CrossRef]
- CCDC 1562021 contains the X-ray structure crystallographic data for this paper. These data can be obtained free of charge via http://www.ccdc.cam.ac.uk/conts/retrieving.html (or from the CCDC, 12 Union Road, Cambridge CB2 1EZ, UK; Fax: +44-1223-336033; E-mail: deposit@ccdc.cam.ac.uk)
- Deng, Y.; Jing, C.; Doyle, M.P. Dinitrogen extrusion from enoldiazo compounds under thermal conditions: synthesis of donor-acceptor cyclopropenes. Chem. Commun. 2015, 51, 12924–12927. [Google Scholar] [CrossRef] [PubMed]
- Zhang, Y.; Kubicki, J.; Platz, M.S. Ultrafast UV-visible and infrared spectroscopic observation of a singlet vinylcarbene and intramolecular cyclopropenation reaction. J. Am. Chem. Soc. 2009, 131, 13602–13603. [Google Scholar] [CrossRef] [PubMed]
- Deng, Y.; Jing, C.; Zavalij, P.; Doyle, M.P. Hg(OTf)2 catalysed intramolecular 1,4-addition of donor-acceptor cyclopropenes to arenes. Org. Lett. 2015, 17, 4312–4315. [Google Scholar] [CrossRef] [PubMed]
- Ertelt, M.; Hrovat, D.A.; Thatcher Borden, W.; Sander, W. Heavy-atom tunneling in the ring opening of a strained cyclopropene at very low temperatures. Chem. Eur. J. 2014, 20, 4713–4720. [Google Scholar] [CrossRef] [PubMed]
- Instead of a cyclopropene species (7) it is also conceivable that a carbene is formed upon loss of nitrogen gas that subsequently is involved in the dipolar cycloaddition.
© 2017 by the authors. Licensee MDPI, Basel, Switzerland. This article is an open access article distributed under the terms and conditions of the Creative Commons Attribution (CC BY) license (http://creativecommons.org/licenses/by/4.0/).


