Abstract
A novel di-Mannich derivative of curcumin pyrazole, 2-[(2,6-dimethyl morpholin-4-yl)methyl]-4-[(E)-2-{3-[(E)-2-{3-[(2,6-dimethylmorpholin-4-yl)methyl]-4-hydroxy-5-methoxyphenyl}ethenyl]-1H-pyrazol-5-yl}ethenyl]-6-methoxyphenol (2), has been synthesized through a Mannich reaction of curcumin pyrazole (1), formaldehyde, and 2,6-dimethylmorpholine. The structure of the synthesized compound was confirmed on the basis of FTIR, 1H-NMR, 13C-NMR, 2D Heteronuclear Single-Quantum Correlation (HSQC) and 2D Heteronuclear Multiple Bond Correlation (HMBC), and mass spectral data. The water solubility was evaluated and the result showed that compound 2 was three times more soluble than that of curcumin pyrazole (1) and curcumin.
1. Introduction
Several curcuminoids bearing a pyrazole ring showed enhancement in the potency of their biological activity as anti-malarials, anti-proliferates, antiplatelet inhibitors, anti-inflammatory agents, antiviral agents, and NOS inhibitors, in comparison with curcumin [,,,,,,]. Contrary to curcumin, which is rapidly degraded at physiological pH, they are stable and exhibit minimal metal chelating properties [,]. However, the water solubility prediction (log S) of curcumin pyrazole is not different enough from curcumin []. A Mannich reaction provides a suitable method to introduce an aminoalkyl substituent into a molecule. In several instances, the Mannich derivatives exhibit better activity than the corresponding parent analogs. Moreover, the presence of a Mannich side chain increases the solubility and hence the bioavailability of the drug molecule [,,]. The substitution of aminomethyl into curcumin and into 1,5-bis(4-hydroxy-3-methoxyphenyl)penta-1,4-dien-3-one by means of the Mannich reaction was reported [,]. Herein, we report the aminomethylation of curcumin pyrazole (1) with 2,6-dimethylmorpholine as an amine reagent.
2. Results and Discussion
2.1. Chemistry
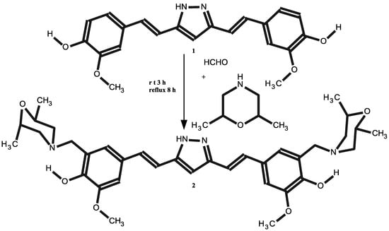
The starting material, curcumin pyrazole (1), was prepared according to the reported method []. The aminoalkylation of compound 1 was achieved through a Mannich reaction using formaldehyde solution and 2,6-dimethylmorpholine at a reflux temperature for 8 h, to give the title compound, 2-[(2,6-dimethylmorpholin-4-yl)methyl]-4-[(E)-2-{3-[(E)-2-{3-[(2,6-dimethylmorpholin-4-yl)methyl]-4-hydroxy-5-methoxyphenyl}ethenyl]-1H-pyrazol-5-yl}ethenyl]-6-methoxyphenol (2) (Scheme 1).

Scheme 1.
Synthesis pathway of the title compound.
The high-resolution electrospray ionisation mass spectrum (HRESIMS) of the title compound 2 showed the molecular ion peak at m/z 619.3474 ([M + H]+). The IR spectrum of the compound showed the disappearance of OH phenolic and NH pyrazole, and revealed CH aliphatic bands at 2823, 2937, and 2972 cm−1. In the 1H-NMR spectra of the compound, protons of OH phenolic and NH pyrazole appeared at δ 4.08 and 2.25 ppm as broad peaks, respectively. The appearance of the protons of the two phenyl rings as two singlet peaks at δ 6.72 ppm (2H) and 6.97 ppm (2H) indicate that the Mannich bases substituted H of the phenyl ring at the ortho position relative to OH groups. Protons of –CH2– connecting N of the morpholine skeleton to the to the phenyl ring (N-CH2-Ar) were observed at δ 3.67 ppm (4H, s). The of protons of CH3, CH2, and CH in the 2,6-dimethylmorpholine moiety and the methoxyphenyl appeared at more than one chemical shifts. These appearances indicate that the compound consists of a mixture of two isomers []. The Fourier-Transform (FT) NMR spectrum of material 2,6-dimethylmorpholine used in the reaction showed that the material consisted of a mixture of cis-form and trans-form [], hence the obtained target compound consisted of two isomers []. In the 2D Heteronuclear Single-Quantum Correlation (HSQC) of the compound (Figure 1), the protons of methyl groups (CH3-CH-) appearing as two peaks at δ 1.15 and 1.24 ppm (12H, d, J = 6.0 Hz) correlated to two carbon peaks at δ 19.1 and 18.0 ppm. Protons of CH2 connected to N (CH-CH2-N-) appearing as a doublet peak at δ 2.83 ppm (4H, d, J = 11 Hz) and as a triplet peak at δ 1.86 ppm (4H, t, J = 11 Hz) correlated to a carbon peak at δ 58.5 ppm, and protons of CH-O appearing as three multiplet peaks at δ 3.77, 3.71 (overlapped with the peak of N-CH2-Ar), and 3.52 ppm (4H, m) correlated to two carbon peaks at δ 61,9 and 71,8 ppm. Meanwhile, protons of the methoxyphenyl group (CH3O-Ar) appearing as two singlet peaks at δ 3.89 and 3.90 ppm (6H, s) correlated to a carbon peak δ 56.0 ppm. The 1H-NMR, 13C-NMR, 2D HSQC, and 2D Heteronuclear Multiple Bond Correlation (HMBC) spectra provided the expected number and types of protons and carbons of the aromatic, ethylenic, and pyrazole moieties of compound 2. These values are in complete agreement with the structure assigned.

Figure 1.
2D Heteronuclear Single-Quantum Correlation (HSQC) (a) and 2D Heteronuclear Multiple Bond Correlation (HMBC) (b) of the title compound.
2.2. Solubility Evaluation
The solubility of compound 2 in water (pH 7.4) was three times more soluble than that of curcumin pyrazole 1 and curcumin (Table 1). The introduction of the aminoalkyl and alkoxy group to curcumin pyrazole increases the number of hydrogen bond formations and the potential to undergo protonation of the compound in water. However, it is followed by the increase of many carbon atoms, so that the increase in solubility of compound 2 is not high [].

Table 1.
Water solubility of curcumin, curcumin pyrazole (1) and the title compound (2).
3. Materials and Methods
3.1. General
All solvents, chemicals, and reagents were obtained commercially and used without purification. Purity test of the product was performed by the thin layer chromatographic (TLC) method on silica gel 60 F254 plates (Merck, Darmstadt, Germany). Melting points were determined in the capillary tube using a melting point apparatus (Stuart Scientific, Bibby Sterilin, Staffordshire, UK) and are uncorrected. Infrared (IR) spectra were recorded on an FTIR spectrophotometer (8400S, Shimadzu, Kyoto, Japan); NMR spectra were recorded on an NMR spectrometer (JEOL JNM 500, Peabody, MA, USA) at 500 MHz for 1H and 125 MHz for 13C. Chemical shifts are expressed in δ (ppm) downfield from tetramethylsilane (TMS) as an internal standard; coupling constant (J) are expressed in Hz; CDCl3 were used as solvents. High-resolution mass spectrum was recorded on an ESI-TOP Water LCT Premier XE mass spectrometer (Waters Corp., Milford, MA, USA) in positive mode.
3.2. Synthesis of 2-[(2,6-Dimethylmorpholin-4-yl)methyl]-4-[(E)-2-{3-[(E)-2-{3-[(2,6-dimethylmorpholin-4-yl) methyl]-4-hydroxy-5-methoxyphenyl}ethenyl]-1H-pyrazol-5-yl}ethenyl]-6-methoxyphenol (2)
Curcumin pyrazole (728 mg, 2 mmol) was dissolved in 5 mL ethanol. The solution was then cooled in an ice bath and 2,6-dimethylmorpholine (862 μL, 7 mmol) was added slowly to the cold solution, after which 600 μL (7 mmol) of a solution of 37% aqueous formaldehyde were added dropwise. The mixture was allowed to remain at room temperature for 3 h, then was refluxed for about 8 h. The progress of the reaction was monitored by TLC. After the reaction was completed, solvent and other volatile components of the reaction mixture were evaporated until a dark gummy residue remained. This was taken up with 5 mL of methanol and evaporated again to a residue. The residue was then dissolved in 10 mL of warm methanol and poured slowly with constant stirring into about 400 mL of cold distilled water. The precipitate was allowed to settle overnight and the water with impurities was decanted from the product. The latter was filtered and washed with distilled water, and then dried at room temperature. The desired product was obtained as a brownish-yellow powder in a 73% yield, mp: 193–194 °C and Rf = 0.65 (EtOH:CHCl3 = 1:12).
HRESIMS (m/z): found 619.3474 ([M + H]+), calculated masses of C35H47N4O6: 619.3496 (error −3.6 ppm). FTIR (KBr) υmax cm−1: 2823, 2937 and 2972 (CH aliphatic), 1568 (C=N), 1490, 1468 (C=C), 1375 (C–N), 1252 (C-O phenolic), 1147 and 1084 (C-O-C). 1H-NMR (500 MHz, CDCl3), δ/ppm: 1.15 and 1.24 (12H, d, CH3-C-2′), 1.86 and 2.83 (8H, H2C-3′ and H2C-5′(N-CH2-CH-)), 3.67 (4H, s, Ar-H2C-7 (N-CH2-Ar)), 3.77, 3.71 and 3,52 (4H, m, HC-2′ and HC-6′ (CH3-CH(CH2)-O)), 3.89 and 3.90 (6H, s, Ar-O-CH3), 6.55 (1H, s, HC-4′′′ (CH-Pyrazole)), 6.72 (2H, s, HAr), 6.87 (2H, d, J = 16 Hz, HC-8′ (HC=Cethenyl)), 6.97 (2H, s, HAr), 6.98 (2H, d, J = 16 Hz, HC-7′ (HC=Cethenyl)). 13C-NMR (500 MHz, CDCl3), δ/ppm: 18.0 and 19.1 (4C, C-2′-CH3), 56.1 (2C, CH3-O-Ar), 58.5 (4C, C-3′ and C-5′ (N-CH2-CH-)), 61.3 (2C, C-7 (N-C-Ar)), 61,9 and 71.8 (4C, C-2′ and C-6′ (C-O-C)), 99.7, (1C, C-4′′′pyrazole), 108.8 (2C, C-2′′ and C-3ArH), 108.9, (2C, C-2 and C-3”ArH), 115.5 (2C, C-8′ethenyl), 119.9 (2C, C-5 and C-6”ArH), 121.0 (2C, C-1” and C-4Ar), 128.1 (2C, C-3′′′ and C′′′pyrazole), 130.7 (2C, C-7′ethenyl), 147.5 (2C, C-1 and C-4”Ar-OH), and 148.3 (2C, C-5” and C-6Ar-O-C) []. The supporting FTIR, HRESIMS, 1H-NMR, and 13C-NMR, spectra (Figures S1–4) are presented in the supplementary material file.
3.3. Solubility Evaluation
The water solubility of the title compound (2), curcumin pyrazole (1), and curcumin were evaluated according to the method reported previously []. Five milligrams of the test compounds were separately dissolved in 5 mL solution of phosphate buffer pH 7.4 and vortexed. When the compound was completely dissolved, the solution was added to the compound until it was visibly saturated, then centrifuged at 3000 rpm for 10 min. The absorbance (A) of the supernatant was measured spectrophotometrically at λ maximum of the test compounds, respectively.
Supplementary Materials
The following are available online at www.mdpi.com/1422-8599/2017/3/M949. Figure S1: FTIR spectrum, Figure S2: HRESI Mass spectrum, Figure S3: 1H-NMR and Figure S4: 13C-NMR of the title compound.
Supplementary File 1Supplementary File 2Supplementary File 3Supplementary File 4Acknowledgments
We thank the Directorate of Research and Community Services, Universitas Indonesia, Depok, Indonesia, for the financial support of this research. We are also thankful to the Research Center for Chemistry, the Indonesian Institute of Sciences, Serpong, Indonesia, and to the Chemistry Study Program, Faculty of Natural Sciences, Bandung Institute of Technology (ITB), Bandung, Indonesia, for recording spectral data.
Author Contributions
H.H., I.I., and J.U. conceived and designed the experiments; J.U. performed the experiments; H.H., I.I., and J.U. analyzed the data; H.H. wrote the paper.
Conflicts of Interest
The authors declare no conflict of interest.
References
- Ahsan, M.J.; Khalilullah, H.; Yasmin, S.; Jadav, S.S.; Govindasamy, J. Synthesis, characterisation, and in vitro anticancer activity of curcumin analogues bearing pyrazole/pyrimidine ring targeting EGFR Tyrosine Kinase. BioMed Res. Int. 2013, 2013, 1–14. [Google Scholar] [CrossRef] [PubMed]
- Narlawar, R.; Pickhardt, M.; Leuchtenberger, S.; Baumann, K.; Krause, S.; Dyrks, T.; Weggen, S.; Mandelkow, E.; Schmidt, B. Curcumin-derived pyrazoles and isoxazoles: Swiss army knives or blunt tools for Alzheimer’s disease. ChemMedChem. 2008, 3, 165–172. [Google Scholar] [CrossRef] [PubMed]
- Mishra, S.; Karmodiya, K.; Surolia, N.; Surolia, A. Synthesis and exploration of novel curcumin analogues as antimalarial agents. Bioorg. Med. Chem. 2008, 16, 2894–2902. [Google Scholar] [CrossRef] [PubMed]
- Selvam, C.; Jachak, S.M.; Thilagavathi, R.; Chakraborti, A.K. Design, synthesis, biological evaluation and molecular docking of curcumin analogues as antioxidant, cyclooxygenase inhibitory and anti-inflammatory agents. Bioorg. Med. Chem. Lett. 2005, 15, 1793–1797. [Google Scholar] [CrossRef] [PubMed]
- Jadhav, S.Y.; Bhosale, R.B.; Shirame, S.P.; Patil, S.B.; Kulkarni, S.D. PEG mediated synthesis and biological evaluation of asymmetrical pyrazole curcumin analogues as potential analgesic, anti-inflammatory and antioxidant agents. Chem. Biol. Drug Des. 2015, 85, 377–384. [Google Scholar] [CrossRef] [PubMed]
- Wu, J.; Tang, H.-J.; Xu, J.J.; Ye, J.; Tian, H.-Y.; Li, Y.-L.; Jiang, R.-W. Rapid synthesis of curcuminoid pyrazoles with antiviral effects through one-pot combinatorial modification of total curcuminoids. Res. Rep. Med. Chem. 2015, 5, 41–47. [Google Scholar]
- Shioorkar, M.G.; Ubale, M.B. Simple and efficient microwave assisted PEG mediated synthesis of pyrazole analogues of curcumin. Der Pharma Chem. 2015, 7, 274–277. [Google Scholar]
- Nieto, C.I.; Claramunt, R.M.; Cabildo, M.P.; Cornago, M.P.; Sanz, D.; García, J.A.; Torralba, M.C.; Torres, M.R.; Elguero, J.; López, A.; et al. Fluorination effects on NOS inhibitory activity of pyrazoles related to curcumin. Molecules 2015, 20, 15643–15665. [Google Scholar] [CrossRef] [PubMed]
- Claramunt, R.M.; Nieto, C.I.; Sanz, D.; Elguero, J. Curcumin derived pyrazoles and related compounds. Afinidad LXXIV 2016, 576, 259–268. [Google Scholar]
- MarvinSketch 17.17.0. Chemaxon Ltd., 1998–2017. Available online: http://www.chemaxon.com (accessed on 2 August 2017).
- Reddy, M.V.B.; Su, C.R.; Chiou, W.F.; Liu, Y.N.; Chen, R.Y.; Bastow, K.F.; Lee, K.H.; Wu, T.S. Design, synthesis, and biological evaluation of Mannich bases of heterocyclic chalcone analogs as cytotoxic agents. Bioorg. Med. Chem. 2008, 16, 7358–7370. [Google Scholar] [CrossRef] [PubMed]
- Subramaniapillai, S.G. Mannich reaction: A versatile and convenient approach to bioactive skeletons. J. Chem. Sci. 2013, 125, 467–482. [Google Scholar] [CrossRef]
- Roman, G. Mannich bases in medicinal chemistry and drug design. Eur. J. Med. Chem. 2015, 89, 743–816. [Google Scholar] [CrossRef] [PubMed]
- Geschickter, C.F.; Meadow, J.R. Curcumin Derivatives. U.S. Patent Office 3, 479,345, 18 November 1969. [Google Scholar]
- Yerdelen, K.O.; Gul, H.I.; Sakagami, H.; Umemura, N. Synthesis and biological evaluation of 1,5-bis(4-hydroxy-3methoxyphenyl)penta-1,4-dien-3-one and its aminomethyl derivatives. J. Enzyme Inhib. Med. Chem. 2014, 30, 383–388. [Google Scholar] [CrossRef] [PubMed]
- Silverstein, R.M.; Webster, F.X.; Kiemle, D.J. Spectrometric Identification of Organic Compounds, 7th ed.; John Wiley & Sons, Inc.: New York, NY, USA, 2005. [Google Scholar]
- Available online: http://www.sigmaaldrich.com/spectra/fnmr/FNMR000707.PDF (accessed on 21 July 2017).
- Xu, G.; Yang, X.; Lei, P.; Liu, X.; Zhang, X.; Ling, Y. Synthesis ang fungicidal activity study of novel daphneolone analogs with 2,6-dimethylmorpholine. Chin. Chem. Lett. 2016, 27, 555–558. [Google Scholar] [CrossRef]
- Knittel, J.J.; Zavod, R.M. Drug Design and Relationship of Functional Groups to Pharmacologic Activity. In Foye’s Principles of Medicinal Chemistry, 7th ed.; Lemke, T.L., Williams, D.A., Roche, V.F., Zito, S.W., Eds.; Lippincott Williams & Wilkins: Philadelphia, PA, USA, 2013; pp. 29–60. [Google Scholar]
- Dolai, S.; Shi, W.; Corbo, C.; Sun, C.; Averick, S.; Obeysekera, D.; Farid, M.; Alonso, A.; Banerjee, P.; Raja, K. “Clicked” sugar-curcumin conjugate: Modulator of amyloid-β and Tau peptide aggregation at ultralow concentrations. ACS Chem. Neurosci. 2011, 2, 694–699. [Google Scholar] [CrossRef] [PubMed]
© 2017 by the authors. Licensee MDPI, Basel, Switzerland. This article is an open access article distributed under the terms and conditions of the Creative Commons Attribution (CC BY) license (http://creativecommons.org/licenses/by/4.0/).