4-({4-[(2E)-3-(2,5-Dimethoxyphenyl)prop-2-enoyl]phenyl}amino)-4-oxobutanoic Acid
Abstract
:1. Introduction
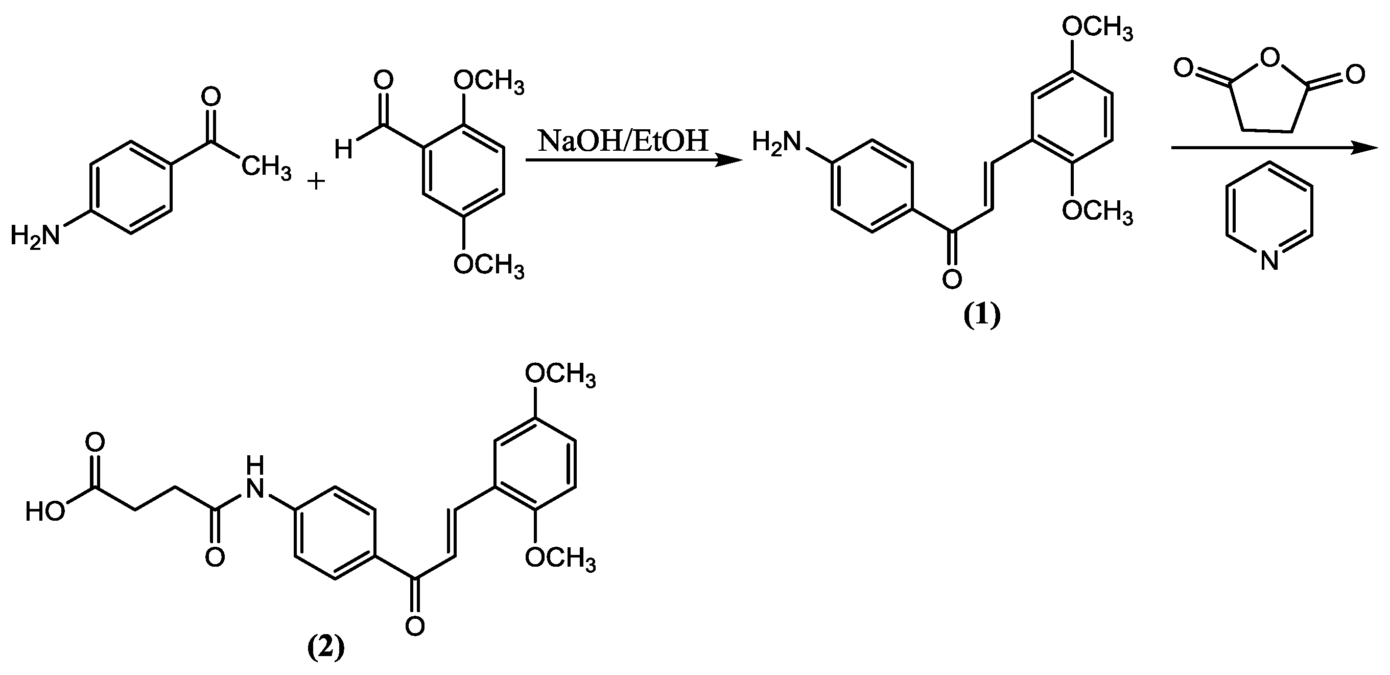
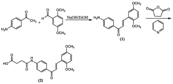
2. Results
3. Materials and Methods
3.1. General
3.2. Preparation of the Title Compound (2)
4. Conclusions
Supplementary Materials
Acknowledgments
Author Contributions
Conflicts of Interest
References
- Lin, M.; Zhou, Y.; Flavin, M.T.; Zhou, L.; Nie, W.; Chen, F. Chalcones and flavonoids as anti-tuberculosis agents. Bioorg. Med. Chem. 2002, 10, 2795–2782. [Google Scholar] [CrossRef]
- Kim, B.T.; Chun, J.C.; Hwang, K.J. Synthesis of dihydroxylated chalcone derivatives with diverse substitution pattern and their radical scavenging ability toward DPPH free radicals. Bull. Korean Chem. Soc. 2008, 29, 1125–1130. [Google Scholar] [CrossRef]
- Khan, S.A.; Ahmed, B.; Alam, T. Synthesis and hepatotoxic activity of some new chalcones containing 1,4-dioxane ring system. Pak. J. Pharm. Sci. 2006, 19, 290–294. [Google Scholar] [PubMed]
- Jung, J.-C.; Jang, S.; Lee, Y.; Min, D.; Lim, E.; Jung, H.; Oh, M.; Oh, S.; Jumg, M. Efficient synthesis and neuroprotective effect of substituted 1,3-diphenyl-2-propen-1-ones. J. Med. Chem. 2008, 51, 4054–4058. [Google Scholar] [CrossRef] [PubMed]
- Prasad, Y.R.; Kumar, P.R.; Smiles, D.J.; Babu, P.A. QSAR studies on chalcone derivatives as antibacterial agents against Bacillus pumilis. Arkivoc 2008, 11, 266–276. [Google Scholar]
- Sharma, M.; Chaturvedi, V.; Manju, Y.K.; Bhatnagar, S.; Srivastava, K.; Puri, S.K.; Chauhan, P.M.S. Substituted quinolinyl chalcones and quinolinyl pyrimidines as a new class of anti-infective agents. Eur. J. Med. Chem. 2009, 44, 2081–2091. [Google Scholar] [CrossRef] [PubMed]
- Asiri, A.M.; Khan, S.A. Synthesis and anti-bacterial activities of a bis-chalcone derived from thiophene and its bis-cyclized products. Molecules 2011, 16, 523–531. [Google Scholar] [CrossRef] [PubMed]
- Sivakumar, P.M.; Seenivasan, S.P.; Kumar, V.; Doble, M. Synthesis, antimycobacterial activity evaluation, and QSAR studies of chalcone derivatives. Bioorg. Med. Chem. Lett. 2007, 17, 1695–1700. [Google Scholar] [CrossRef] [PubMed]
- Yoon, G.; Kang, B.Y.; Cheon, S.H. Topoisomerase I inhibition and cytotoxicity of lichochalcones A and E from Glycyrrhiza inflate. Arch. Pharm. Res. 2007, 30, 313–316. [Google Scholar] [CrossRef] [PubMed]
- Dave, S.S.; Ghatole, A.M.; Rahatgaonkar, A.M.; Chorghade, M.S.; Chauhan, P.M.S.; Srivastava, K. Experimental and computational evaluation of new quinolinyl chalcones as potent antiplasmodial agents. Indian J. Chem. 2009, 48, 1780–1793. [Google Scholar]
- Suwito, H.; Pudjiastuti, P.; Fanani, M.Z.; Kimata-Ariga, Y.; Katahira, R.; Kawakami, T.; Fujiwara, T.; Hase, T.; Sirat, H.M.; Puspaningsih, N.N.T. Design and synthesis of chalcone derivatives as inhibitors of the ferredoxin—Ferredoxin-NADP+ reductase interaction of plasmodium falciparum: Pursuing new antimalarial agents. Molecules 2014, 19, 21473–21488. [Google Scholar] [CrossRef] [PubMed]
- Ferrer, R.; Lobo, G.; Gamboa, N.; Rodrigues, J.; Abramjuk, C.; Jung, K.; Lein, M.; Charris, J.E. Synthesis of [(7-chaloroquinolin-4-yl)amino]chalcones: Potential antimalarial and anticancer agents. Sci. Pharm. 2009, 77, 725–741. [Google Scholar]
- Suwito, H.; Jumina; Mustofa; Ni′matuzahroh; Puspaningsih, N.N.T. Anticancer and antimicrobial activity of methoxy amino chalcone derivatives. Der Pharma Chem. 2015, 7, 89–94. [Google Scholar]
- Suwito, H.; Kristanti, A.N.; Hayati, S.; Dewi, S.R.; Amalina, I.; Puspaningsih, N.N.T. Antimicrobial activities and in silico analysis of methoxy amino chalcone derivatives. Procedia Chem. 2016, 18, 103–111. [Google Scholar] [CrossRef]


| Atom | Chemical Shift (ppm) | HMBC |
|---|---|---|
| 1 C | 153.16 | |
| 1′ C | 56.66 | |
| H3 | 3.80 | 1 |
| 2 C | 113.53 | |
| H | 6.99 | 1, 6 |
| 3 C | 118.57 | |
| H | 6.99 | 4, 5 |
| 4 C | 153.77 | |
| 4′ C | 56.22 | |
| H3 | 3.76 | 4 |
| 5 C | 112.93 | |
| H | 7.51 | 7, 3, 1 |
| 6 C | 124.08 | |
| 7 C | 138.06 | |
| H | 7.97 | 9, 5, 1, 8 |
| 8 C | 122.36 | |
| H | 7.86 | 9, 7, 6 |
| 9 C | 188.05 | |
| 10 C | 132.64 | |
| 11 C | 130.46 | |
| H | 8.10 | 9, 12, 15, 13 |
| 12 C | 118.73 | |
| H | 7.73 | 14, 10, 13 |
| 13 C | 144.19 | |
| 14 C | 118.73 | |
| H | 7.73 | 12, 10, 13 |
| 15 C | 130.46 | |
| H | 8.10 | 9, 14, 11, 13 |
| 16 H | 10.32 | 12, 14, 13, 17 |
| 17 C | 171.35 | |
| 18 C | 29.13 | |
| H2 | 2.50 | 19, 17, 20 |
| 19 C | 31.71 | |
| H2 | 2.58 | 18, 17, 20 |
| 20 C | 174.33 | |
| 21 H | 12.15 |
© 2017 by the authors. Licensee MDPI, Basel, Switzerland. This article is an open access article distributed under the terms and conditions of the Creative Commons Attribution (CC BY) license (http://creativecommons.org/licenses/by/4.0/).
Share and Cite
Suwito, H.; Haq, K.U.; Rahmah, N.N.D.; Kristanti, A.N.; Puspaningsih, N.N.T. 4-({4-[(2E)-3-(2,5-Dimethoxyphenyl)prop-2-enoyl]phenyl}amino)-4-oxobutanoic Acid. Molbank 2017, 2017, M938. https://doi.org/10.3390/M938
Suwito H, Haq KU, Rahmah NND, Kristanti AN, Puspaningsih NNT. 4-({4-[(2E)-3-(2,5-Dimethoxyphenyl)prop-2-enoyl]phenyl}amino)-4-oxobutanoic Acid. Molbank. 2017; 2017(2):M938. https://doi.org/10.3390/M938
Chicago/Turabian StyleSuwito, Hery, Kautsar Ul Haq, Nia Nur Dinia Rahmah, Alfinda Novi Kristanti, and Ni Nyoman Tri Puspaningsih. 2017. "4-({4-[(2E)-3-(2,5-Dimethoxyphenyl)prop-2-enoyl]phenyl}amino)-4-oxobutanoic Acid" Molbank 2017, no. 2: M938. https://doi.org/10.3390/M938
APA StyleSuwito, H., Haq, K. U., Rahmah, N. N. D., Kristanti, A. N., & Puspaningsih, N. N. T. (2017). 4-({4-[(2E)-3-(2,5-Dimethoxyphenyl)prop-2-enoyl]phenyl}amino)-4-oxobutanoic Acid. Molbank, 2017(2), M938. https://doi.org/10.3390/M938
