Abstract
Benzyl 3,4,6-tri-O-benzyl-β-d-arabino-hexos-2-ulo-1,5-pyranoside was subjected to manno-selective ketone alkynylation with propiolaldehyde dibenzyl acetal, resulting in the formation of a 2-C-alkynyl β-mannoside bearing a γ-dibenzyl acetal functionality. Subsequent transacetalization of the acetal moiety with methanol and 1,3-dihydroxypropane and acetylation of position 2, respectively, gave 4 different 2-C-alkynyl branched mannosides. Lindlar hydrogenation of the latter under optimized conditions in dimethylformamide afforded a series of 2-C-cis-alkenyl mannosides. X-ray molecular structures of benzyl 3,4,6-tri-O-benzyl-β-d-arabino-hexos-2-ulo-1,5-pyranoside and of the branched glycoside benzyl 3,4,6-tri-O-benzyl-2-C-((Z)-3,3-dibenzyloxyprop-1-en-1-yl)-β-d-mannopyranoside are reported.
1. Introduction
Carbon-branched carbohydrates and especially 1,2-annulated carbohydrates have been the target of considerable synthetic efforts in recent years, for such sugar derivatives may have potential medical application as glycosidase inhibitors [1,2,3,4]. In the context of our current project regarding the development of synthetic strategies towards bicyclic annulated carbohydrate derivatives [5,6], we became interested in the synthesis of 2-C-cis-alkenyl substituted β-mannosides bearing a γ-formyl moiety. Such C-branched glycosides having an additional aldehyde group were thought to be useful synthetic precursors for 1,2-annulated glycosides. Therefore, we contemplated a reaction sequence in which a 2-keto-glucoside (2-uloside) is manno-selectively alkynylated with propiolaldehyde dibenzyl acetal and subsequently partially hydrogenated. Initially, we next anticipated a synthetic route featuring dihydroxylation of the cis-alkene and subsequent deprotection/hemiacetal formation for the synthesis of reducing bycyclic sugar derivatives. Due to the observed inertness of the side chain alkene moiety under several osmium-catalyzed dihydroxylation conditions, most probably caused by the sterical crowdedness of the dibenzyl acetal function, derivatives of the alkynylation product bearing less bulky acetal protecting groups (dimethyl acetal and dioxane) were synthesized and hydrogenated to give the corresponding cis-alkenes. In addition, acetylation of the axial C2-OH function was performed to study a possible adverse effect of the free hydroxyl group in the planned dihydroxylation reactions. Here, we wish to report on the detailed synthesis of a series of four variably protected 2-C-alkynyl branched mannosides as well as 2-C-cis-alkenyl branched mannosides derived thereof.
2. Results and Discussion
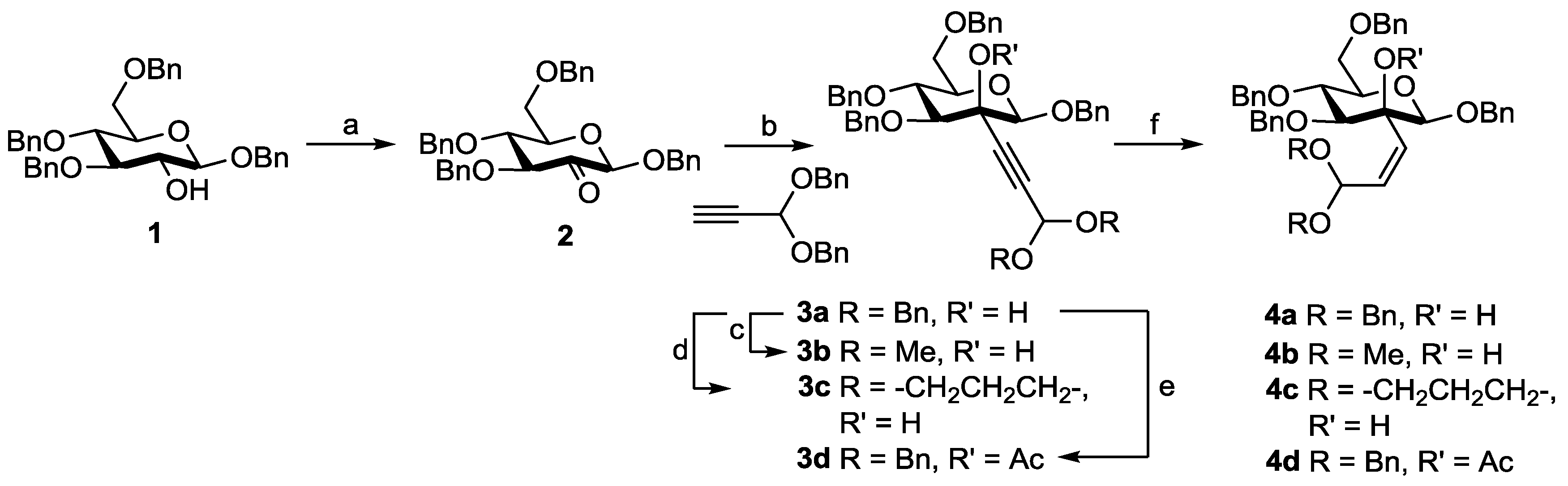
Our synthetic sequence started by subjecting benzyl β-glucoside 1 [7] to Dess-Martin oxidation to afford the corresponding perbenzylated 2-uloside 2 (Scheme 1). Previously, Fokt et al. [8] described the synthesis of 2 via glycosylation reactions with a 2-ulosyl bromide. However, based on our previously encountered difficulties with comparable glycosylation reactions [5] (i.e., low yields and the formation of side products) we anticipated our approach via Dess-Martin oxidation of 1 to be more efficient. Indeed, 2-uloside 2 was obtained in this way in an excellent 96% yield. Due to the high crystallinity of 2-uloside 2, X-ray structural analysis was performed in order to complete the analytical data of 2. Compound 2 crystallized as thin needles upon diffusion of n-pentane into a solution of 2 in ethyl acetate/chloroform (2:1). The space group was found to be P21 and the asymmetric unit contained one molecule of 2. The molecular structure (Figure 1) revealed a carbonyl bond length of 1.204 Å (C2-O21) as well as carbonyl angles of 115.3 Å (C1-C2-C3) and 122.3° (C1-C2-O21 and C3-C2-O21). The carbohydrate system was found to comprise a distorted 4C1 conformation.
Scheme 1.
Synthesis of C-2-alkynylated and cis-alkenylated mannosides via oxidation, alkynylation and partial hydrogenation. (a) Dess-Martin Periodinane, CH2Cl2, 20 °C, 18 h, 96%; (b) propiolaldehyde dibenzyl acetal, n-BuLi, THF, −80 °C, 15 min, 85%; (c) I2 0.04 M in MeOH, 60 °C, 48 h, 88%; (d) 1,3-dihydroxypropane, p-TosOH cat., toluene, 100 °C, 22 h, 84%; (e) Ac2O, Et3N, DMAP, chloroform, 65 °C, 4 d, 81%; (f) H2, Lindlar catalyst, DMF, 20 °C, 2–5 days, 81%–93%; DMAP = 4-dimethylaminopyridine.
Figure 1.
Molecular structure of 2. Hydrogen atoms as well as a disorder involving the O51 benzyl group are omitted for clarity. Ellipsoids are drawn at a 50% probability level. Red = oxygen, gray = carbon.
Subsequently, alkynylation of 2 with propiolaldehyde dibenzyl acetal [9] and n-butyllithium gave 2-C-alkynyl mannoside 3a in 85% yield. The attack of the nucleophile solely occurred from the equatorial side and no diastereomeric byproduct could be detected. Similarly, high stereoselectivities were previously observed for a wide variety of nucleophilic addition reactions to β-2-ulosides [5,10,11,12]. In order to expand the synthetic applicability of the thus prepared branched mannosides we performed a series of transacetalizations affording products with variably orthogonally protected side chain formyl moieties. Thus, iodine-catalyzed [13] and acid-catalyzed transacetalization of 3a with methanol and 1,3-dihydroxypropane, respectively, afforded dimethyl acetal 3b (88%) and 1,3-dioxane 3c (84%) (Scheme 1). Acetylation of the tertiary 2-OH function under standard conditions [14] gave acetate 3d in 81% yield. The subsequent partial hydrogenation of 3a employing Lindlar’s catalyst and H2 [15] was initially performed in ethyl acetate as well as methanol. However, only minor hydrogenation of the starting material was observed in these solvents over several days. We attributed this finding to the sterical crowdedness of the alkyne moiety in 3a caused by the bulky dibenzyl acetal and the other benzyl protecting groups in the glycoside. Changing the solvent to 1,4-dioxane had only a slightly accelerating effect. In contrast, using DMF as the solvent resulted in a smooth conversion of alkynes 3a–3d to afford the corresponding cis-alkenes 4a–4d in typically 2–5 days and in good yields (81%–93%). Although the partial hydrogenation of alkynes with Lindlar catalyst has been used frequently, solvent effects as well as effects of sterical crowdedness seem to be hardly assessable, and the conditions often need rigorous optimization regarding the individual reaction system [16,17,18,19]. Therefore, we believe the protocol described above might be of further use for the partial hydrogenation of comparable branched alkyne systems. The vicinal alkene coupling constants J7,8 of glycosides 4 were found to be in a region between the anticipated values for cis- and trans-alkenes (J7,8 = 12.4 (4a), 12.4 (4b), 12.1 (4c), 12.4 (4d) Hz). Furthermore, 2D NMR experiments (H,H-NOESY) as well as X-ray structural analysis (vide infra) were utilized for additional structural elucidation and final proof of the structures of 4a–4d.
Originally we anticipated a synthetic route to 1,2-annulated glycosides based on the syn-selective catalytic osmoylation of cis-alkenes of type 4. However, 4a, 4c and 4d, respectively, appeared to be remarkably inert under various osmoylation conditions [20]. Even stoichiometric amounts of osmium tetroxide at elevated temperatures did not result in dihydroxylation of the double bond. For example, dibenzyl acetal 4a did not react over several days when stirred at 70 °C in acetone/water/t-butyl alcohol with 1.2 equivalents of osmium tetroxide and 5 vol % of pyridine as an additive. Dimethyl acetal 4b only resulted in acetal hydrolysis and subsequent decomposition.
Both glycosides 4a and 4b but not glycosides 4c and 4d exhibited each remarkably complex 1H and 13C-NMR spectra in CDCl3 (Figure 2; for the full spectra see the Supporting Information). We attributed these unusually complex spectra to a conformational isomerism caused by constrained rotation of the single bonds adjacent to the bulky alkene moiety. In DMSO-d6 as the solvent compound 4a showed a simpler NMR spectrum and no rotamers were observed. Similar distinct solvent dependencies of conformational isomerism have been reported in the literature [21]. In the case of compound 4b, rotamers were still observable in DMSO-d6, albeit to a much lesser extent. NMR measurements performed at elevated temperatures (50 °C) failed because of decomposition. The structure of glycoside 4a could finally be unambiguously confirmed by X-ray crystallography. Glycoside 4a formed thin needles suitable for X-ray analysis by slow diffusion of n-pentane into a solution of the compound in ethyl acetate. The X-ray structure revealed compound 4a to crystallize in the triclinic space group P1. The asymmetric unit contained four molecules of 4a. An examination of the molecular structure (Figure 3) confirmed the expected 4C1 conformation of the carbohydrate system. The olefinic bond length (C421-C422: 1.325 Å) and torsion angle (C402-C421-C422-C423: 3.0°) were found to be as anticipated for an isolated cis-alkene. The sterically crowded side chain dibenzyl acetal moiety was found to shield both sides of the alkene double bond as illustrated by the torsion angles involving the acetal oxygen atoms and the alkene carbon atoms (C421-C422-C423-O40A: 94.3° and C421-C422-C423-O421: −144.1°).
Figure 2.
13C-NMR spectra of 4a in CDCl3 (a) and DMSO-d6; (b) in the range 80–115 ppm.
Figure 3.
Molecular structure of 4a. Hydrogen atoms are omitted for clarity. Ellipsoids are drawn at a 50% probability level. Red = oxygen, gray = carbon.
In conclusion, we have described a methodology for the straightforward synthesis of 2-C-alkynyl and 2-C-cis-alkenyl β-mannosides with an acetal-protected γ-aldehyde functionality. The synthesis comprises the manno-selective alkynylation of a benzylated 2-uloside and subsequent partial hydrogenation of the intermediate branched alkynes utilizing Lindlar’s catalyst. DMF as the solvent of choice was found to have a distinctly accelerating effect on the partial hydrogenation, and this finding could be of further use for the Lindlar hydrogenation of similar sterically crowded alkyne systems. The 2-C-branched carbohydrates reported here might be valuable building blocks for synthetic carbohydrate chemistry due to the potential orthogonality of the side chain carbonyl protection. For example, C-glycosyl-substituted (Z)-acrolein systems might be accessible from the described compounds.
3. Experimental Section
3.1. General Methods
NMR spectra were recorded with a Bruker Avance 400 spectrometer (Bruker BioSpin GmbH, Rheinstetten, Germany) and calibrated for the solvent signal (1H: CDCl3: 7.26 ppm; acetone-D6: 2.05 ppm; DMSO-d6: 2.50 ppm; 13C: CDCl3: 77.16 ppm; acetone-d6: 29.84 ppm; DMSO-d6: 39.52 ppm). For diastereotopic methylene protons, the signal appearing at higher chemical shift was designated Ha, the one appearing at lower chemical shift values was designated Hb. NMR spectra of compounds 2-4 are given in the Supporting Information. ESI-TOF-HRMS spectra were measured with a Bruker maXis 4 g spectrometer (Bruker Daltonik GmbH, Bremen, Germany), ESI-FTICR-HRMS spectra with a Bruker Apex II spectrometer and FAB-spectra with a Finnigan MAT spectrometer model TSQ 70 (Finnigan MAT, Bremen, Germany). Elemental analysis was performed with a HEKAtech Euro 3000 CHN analyzer (HEKAtech GmbH, Wegberg, Germany). Optical rotations were measured with a Perkin-Elmer Polarimeter 341 (Perkin Elmer Inc., Waltham, MA, USA) in a 10 cm cuvette at 20 °C. Melting points were determined with a Büchi Melting Point M-560 apparatus (BÜCHI Labortechnik GmbH, Essen, Germany). Reactions were monitored by TLC on Polygram Sil G/UV silica gel plates from Macherey-Nagel. Detection of spots was effected by charring with H2SO4 (5% in EtOH), staining by spraying the plates with (NH4)2MoO4/Ce(SO4)2 in diluted sulfuric acid or by inspection of the TLC plates under UV light. Preparative chromatography was performed on silica gel (0.032–0.063 mm) from Macherey-Nagel (Macherey-Nagel GmbH & Co. KG, Düren, Germany). All solvents were purchased in technical grade and purified by distillation. For the reactions, the following solvents were dried according to standard methods and stored over molecular sieves 4 Å: CH2Cl2, THF and DMF: P4O10; toluene: Na/benzophenone. Dess-Martin periodinane was prepared via the potassium bromate method [22]. Propiolaldehyde dibenzyl acetal was prepared according to the method published by Fliegel et al. [9]. The following reagents were commercially available and used without further purification: Lindlar catalyst, para-toluenesulfonic acid, acetic anhydride, 4-(dimethylamino)pyridine (Sigma-Aldrich Chemie, Munich, Germany), 1,3-dihydroxypropane (abcr, Karlsruhe, Germany), n-butyllithium (Fisher Scientific, Nidderrau, Germany), triethylamine (Th. Geyer, Renningen, Germany). All yields given below are isolated yields.
3.2. X-ray Crystallography
Crystals of 2 were grown by slow diffusion of n-pentane into a solution of the compound in ethyl acetate/chloroform (2:1; 20 mg, 750 µL) at ambient temperature. Crystals of 4a were grown by diffusion of n-pentane into a solution of 4a in ethyl acetate (20 mg, 500 µL) at ambient temperature. X-ray data were collected on a Bruker SMART APEX II DUO diffractometer (Bruker AXS Advanced X-ray Solutions GmbH, Karlsruhe, Germany) using a Cu Kα radiation (λ = 1.54178 Å) or Mo Kα radiation (λ = 0.71073 Å). Corrections for absorption effects were applied using SADABS [23]. All structures were solved by direct methods using SHELXS and SHELXL for structure solution and refinement [24,25,26]. Complete crystallographic data for the structural analysis have been deposited with the Cambridge Crystallographic Data, CCDC 1505647 (for 2) and CCDC 1505648 (for 4a). Copies of this information may be obtained free of charge from The Cambridge Crystallographic Data Centre.
3.3. Benzyl 3,4,6-Tri-O-benzyl-β-d-arabino-hexos-2-ulo-1,5-pyranoside (2)
To a solution of glucoside 1 [7] (1.65 g; 3.05 mmol) in CH2Cl2 (100 mL) Dess-Martin periodinane (2.85 g; 6.71 mmol) was added in portions over 15 min at r.t., and the mixture was stirred until TLC (toluene/ethyl acetate, 4:1) indicated complete transformation of the starting material (16 h). The solution was diluted with CH2Cl2 (100 mL) and washed with water, three times with a 1:1 mixture of satd. aqueous NaHCO3 solution and an aqueous 0.2 M Na2S2O3 solution and with water (80 mL each). The organic layer was dried with Na2SO4, filtered and concentrated in vacuo. The crude product was suspended in toluene/acetone (20 mL/15 mL), and the suspension was purified by column chromatography (SiO2, toluene/acetone, 20:1) to afford pure ketone 2 (1.58 g; 2.92 mmol; 96%) as a colorless solid. Crystals suitable for X-ray structural analysis were obtained from n-pentane/ethyl acetate/chloroform. Analytical data were found to be in accordance with ref. [8]. Additional characterization data: 13C-NMR (100 MHz, CDCl3) δ: 197.4 (C-2), 138.1, 137.8, 137.4, 136.2 (4 × CAr,quart), 128.6, 128.6, 128.5, 128.3, 128.2, 128.1, 128.0, 127.8 (20 × CAr), 97.4 (C-1), 85.8 (C-3), 80.1 (C-4), 75.9 (C-5), 75.0 ,73.6, 73.6, 70.3 (4 × CH2Ph), 69.1 (C-6). Anal. calcd. for C34H34O6: C, 75.82; H, 6.36. Found: C, 75.54; H, 6.35.
3.4. Benzyl 3,4,6-Tri-O-benzyl-2-C-(3,3-dibenzyloxypropyn-1-yl)-β-d-mannopyranoside (3a)
Propiolaldehyde dibenzyl acetal [9] (1.02 g; 4.04 mmol) was dissolved in anhydrous THF (35 mL) and cooled to −80 °C. n-Butyllithium (1.50 mL; 4.04 mmol; 2.7 M in n-heptane) was added dropwise and stirring at −80 °C was continued for 2.5 h. Next, 2-uloside 2 (1.98 g; 3.67 mmol) in 30 mL THF was added dropwise over 15 min. After stirring for another 15 min, the reaction was quenched by the addition of satd. aqueous NaCl solution (25 mL), allowed to warm to ambient temperature, diluted with chloroform (200 mL) and washed with water, satd. aqueous NH4Cl solution, satd. aqueous NaHCO3 solution and water (100 mL each). Drying of the organic layer with Na2SO4, filtration, evaporation of the solvents and chromatographic purification (SiO2, toluene/acetone, 20:1) afforded alkyne 3a (2.47 g; 3.12 mmol; 85%) as a colorless solid. An analytical sample was recrystallized from n-hexane/ethyl acetate. Rf = 0.65 (toluene/ethyl acetate, 4:1); [α] +3.5 (c 1, CHCl3); m.p. 85 °C (n-hexane/ethyl acetate); 1H-NMR (400 MHz, CDCl3) δ: 7.50–7.21 (m, 30H, HAr), 5.57 (s, 1H, H-9), 5.14 (d, 1H, Jgem = 10.6 Hz, CH2Ph), 5.04 (d, 1H, Jgem = 12.1 Hz, CH2Ph), 4.95 (d, 1H, Jgem = 10.6 Hz, CH2Ph), 4.88 (d, 1H, Jgem = 11.1 Hz, CH2Ph), 4.85–4.78 (m, 3H, CH2Ph), 4.74–4.63 (m, 4H, CH2Ph), 4.59 (d, 1H, Jgem = 10.9 Hz, CH2Ph), 4.56 (s, 1H, H-1), 3.91–3.76 (m, 3H, H-4, H-6a, H-6b), 3.71 (d, 1H, J3,4 = 9.1 Hz, H-3), 3.52 (ddd, 1H, J4,5 = 9.9, J5,6 = 5.1, 1.9 Hz, H-5), 3.10 (bs, 1H, OH); 13C-NMR (100 MHz, CDCl3) δ: 138.2, 138.1, 137.8 137.4, 137.3, 136.7 (6 × CAr,quart), 128.5, 128.4, 128.4, 128.4, 128.3, 128.0, 128.0, 128.0, 127.9, 127.9, 127.8, 127.8, 127.7 (30 × CAr), 99.7 (C-1), 90.7 (C-9), 85.3 (C-3), 85.1 (C-7), 80.8 (C-8), 76.1 (CH2Ph), 75.3 (C-5), 75.2 (CH2Ph), 75.0 (C-4), 73.6 (CH2Ph), 71.6 (C-2), 70.8 (CH2Ph), 69.0 (C-6), 67.5 (C9-O-CH2Ph), 67.4 (C9-O-CH2Ph); HR-ESI-TOF calcd. for C51H50O8Na [M + Na]+: 813.3398 Found: 813.3384; Anal. calcd. for C51H50O8: C, 77.45; H, 6.37. Found: C, 77.21; H, 6.40.
3.5. Benzyl 3,4,6-Tri-O-benzyl-2-C-(3,3-dimethoxypropyn-1-yl)-β-d-mannopyranoside (3b)
Dibenzyl acetal 3a (301 mg; 0.38 mmol) was dissolved in anhydrous methanol (20 mL) and iodine (200 mg; 0.79 mmol) was added. The solution was stirred at 60 °C for 48 h until TLC (toluene/ethyl acetate, 4:1) indicated complete consumption of the starting material. The reaction mixture was cooled to 0 °C, treated with solid Na2S2O3 (1.0 g), stirred for 15 min and allowed to warm to ambient temperature. Next, chloroform (100 mL) was added and the organic layer was washed with water (2 × 30 mL) and brine (30 mL). The solution was dried with Na2SO4, filtered and concentrated in vacuo. Chromatographic purification of the residue (SiO2, toluene/acetone, 20:1) afforded 3b (213 mg; 0.33 mmol; 88%) as a colorless oil. Rf = 0.30 (toluene/ethyl acetate, 4:1); [α] −6.7 (c 1, CHCl3); 1H-NMR (400 MHz, CDCl3) δ: 7.48–7.27 (m, 18H, HAr), 7.22–7.15 (m, 2H, HAr), 5.18 (s, 1H, H-9), 5.08 (d, 1H, Jgem = 10.9 Hz, CH2Ph), 5.00 (d, 1H, Jgem = 12.1 Hz, CH2Ph), 4.90 (d, 1H, Jgem = 10.9 Hz, CH2Ph), 4.85–4.74 (m, 2H, CH2Ph), 4.70–4.51 (m, 4H, CH2Ph, H-1), 3.86–3.67 (m, 4H, H-4, H-6a, H-6b, H-3, visible coupling constants: J3,4 = 9.1 Hz), 3.52–3.45 (m, 1H, H-5), 3.36 (s, 6H, 2 × CH3), 3.04 (bs, 1H, OH); 13C-NMR (100 MHz, CDCl3) δ: 138.3, 138.1, 137.9 136.8 (4 × CAr,quart), 128.5, 128.4, 128.0, 128.0, 128.0, 127.9, 127.9, 127.7 (20 × CAr), 99.9 (C-1), 93.1 (C-9), 85.4 (C-3), 84.9 (C-7), 80.5 (C-8), 76.1 (CH2Ph), 75.4 (C-5), 75.2 (CH2Ph), 75.0 (C-4), 73.6 (CH2Ph), 71.7 (C-2), 70.9 (CH2Ph), 69.1 (C-6), 52.8 (CH3), 52.6 (CH3); HR-ESI-TOF calcd. for C39H42O8Na [M + Na]+: 661.2772 Found: 661.2777; Anal. calcd. for C39H42O8: C, 73.33; H, 6.63. Found: C, 73.04; H, 6.65.
3.6. Benzyl 3,4,6-Tri-O-benzyl-2-C-((1,3-dioxan-2-yl)ethynyl)-β-d-mannopyranoside (3c)
To a solution of dibenzyl acetal 3a (465 mg; 0.59 mmol) in anhydrous toluene (15 mL) was added 1,3-propanediol (426 µL; 5.88 mmol) and a catalytic amount of p-toluenesulfonic acid hydrate (14 mg) and the solution was stirred at 100 °C for 22 h until TLC (toluene/ethyl acetate, 4:1) indicated the complete transformation of the starting material. The reaction mixture was diluted with toluene (20 mL), washed with satd. aqueous NaHCO3 solution (20 mL) and water (20 mL). After drying with Na2SO4, filtration and concentration in vacuo chromatographic purification of the residue (SiO2, toluene/ethyl acetate, 7:1) afforded 3c (320 mg; 84%) as a colorless amorphous solid. Rf = 0.26 (toluene/ethyl acetate, 4:1); [α] −2.4 (c 1, CHCl3); 1H-NMR (400 MHz, CDCl3) δ: 7.48–7.42 (m, 4H, HAr), 7.40–7.26 (m, 14H, HAr), 7.21–7.16 (m, 2H, HAr), 5.46 (s, 1H, H-9), 5.10 (d, 1H, Jgem = 10.9 Hz, CH2Ph), 5.01 (d, 1H, Jgem = 12.4 Hz, CH2Ph), 4.91 (d, 1H, Jgem = 10.9 Hz, CH2Ph), 4.85–4.76 (m, 2H, CH2Ph), 4.69–4.52 (m, 4H, CH2Ph, H-1), 4.22–4.15 (m, 2H, -CH2-CH2-CH2-), 3.86–3.69 (m, 6H, -CH2-CH2-CH2-, H-6a, H-6b, H-4, H-3, visible coupling constants: J3,4 = 8.8 Hz), 3.48 (ddd, 1H, J4,5 = 9.8, J5,6 = 5.1, 2.0 Hz, H-5), 3.07 (bs, 1H, OH), 1.81–1.67 (m, 2H, -CH2-CH2-CH2-); 13C-NMR (100 MHz, CDCl3) δ: 138.3, 138.1, 137.9, 136.9 (4 × CAr,quart), 128.5, 128.4, 128.4, 128.3, 128.0, 127.9, 127.9, 127.8, 127.7 (20 × CAr), 99.9 (C-1), 90.2 (C-9), 85.4 (C-3), 85.1 (C-7), 80.7 (C-8), 76.1 (CH2Ph), 75.4 (C-5), 75.2 (CH2Ph), 75.0 (C-4), 73.6 (CH2Ph), 71.7 (C-2), 70.9 (CH2Ph), 69.1 (C-6), 64.6 (-CH2-CH2-CH2-), 64.6 (-CH2-CH2-CH2-), 25.7 (-CH2-CH2-CH2-); HR-ESI-TOF calcd. for C40H42O8Na [M + Na]+: 673.2772 Found: 673.2777; Anal. calcd. for C40H42O8: C, 73.83; H, 6.51. Found: C, 73.67; H, 6.66.
3.7. Benzyl 2-O-Acetyl-3,4,6-tri-O-benzyl-2-C-(3,3-dibenzyloxypropyn-1-yl)-β-d-mannopyranoside (3d)
A solution 3a (394 mg; 0.50 mmol), acetic anhydride (4 mL), triethylamine (76 µL; 0.548 mmol) and DMAP (122 mg; 1.0 mmol) in chloroform (4 mL) was heated to 65 °C for 4 d until TLC (toluene/ethyl acetate, 4:1) indicated complete conversion of the starting material. The reaction mixture was diluted with chloroform (50 mL) and poured onto an ice-cold satd. aqueous NaHCO3 solution (50 mL). The organic layer was washed with sat. aqueous NaHCO3 solution and water (20 mL each), dried with Na2SO4, filtered, concentrated in vacuo and coevaporated with toluene (2 × 10 mL). Chromatography of the residue (SiO2, toluene/acetone, 50:1) gave 3d (335 mg; 0.40 mmol; 81%) as a colorless oil. Rf = 0.70 (toluene/ethyl acetate, 4:1); [α] −11.7 (c 0.85, CHCl3); 1H-NMR (400 MHz, CDCl3) δ: 7.43–7.18 (m, 28H, HAr), 7.15–7.10 (m, 2H, HAr), 5.53 (s, 1H, H-9), 5.30 (d, 1H, Jgem = 10.9 Hz, CH2Ph), 4.97 (d, 1H, Jgem = 12.4 Hz, CH2Ph), 4.87–4.62 (m, 8H, CH2Ph), 4.56 (d, 1H, Jgem = 12.1 Hz, CH2Ph), 4.51–4.44 (m, 2H, H-1, CH2Ph), 3.79–3.67 (m, 4H, H-6a, H-6b, H-3), 3.49 (ddd, 1H, J4,5 = 9.6, J5,6 = 4.5, 2.5 Hz, H-5), 2.18 (s, 3H, CH3); 13C-NMR (100 MHz, CDCl3) δ: 168.3 (C=O acetyl), 138.3, 138.2, 138.0, 137.6, 137.6, 136.7 (6 × CAr,quart), 128.7, 128.5, 128.5, 128.5, 128.4, 128.4, 128.3, 128.2, 128.0, 127.9, 127.8, 127.8, 127.7 (30 × CAr), 100.6 (C-1), 91.0 (C-9), 86.1 (C-3), 84.4 (C-7), 82.2 (C.8), 75.7 (C-5), 75.4 (CH2Ph), 2 × 75.2 (CH2Ph, C-2), 74.7 (C-4), 73.6 (CH2Ph), 71.2 (CH2Ph), 69.2 (C-6), 67.6 (CH2Ph), 67.6 (CH2Ph), 22.2 (CH3); HR-ESI-TOF calcd. for C53H52O9Na [M + Na]+: 855.3504 Found: 855.3505; Anal. calcd. for C53H52O9: C, 76.42; H, 6.29. Found: C, 76.36; H, 6.32.
3.8. Lindlar Hydrogenations: General Procedure for the Synthesis of 4a, 4b, 4c and 4d
Compound 3 was dissolved in anhydrous DMF and Lindlar catalyst was added. The suspension was stirred under an atmosphere of hydrogen (at a pressure slightly above atmospheric pressure evoked by a column of water) at r.t. until TLC (toluene/ethyl acetate, 4:1) indicated complete conversion of the starting material. The mixture was diluted with CH2Cl2. Filtration through a layer of Celite provided, after evaporation of the solvent and coevaporation with n-heptane, the cis-alkene 4, typically in high purity. If necessary, chromatographic purification/recrystallization provided the further purified products.
3.9. Benzyl 3,4,6-Tri-O-benzyl-2-C-((Z)-3,3-dibenzyloxyprop-1-en-1-yl)-β-d-mannopyranoside (4a)
A solution of 3a (129 mg; 0.163 mmol) in anhydrous DMF (2 mL) was treated with Lindlar catalyst (64 mg; 50 wt %) for 48 h as described in the general procedure above. Chromatography (SiO2, toluene/acetone, 20:1) gave 4a (120 mg; 0.151 mmol; 93%) as a colorless solid. An analytical sample was recrystallized from n-hexane/ethyl acetate. Crystals suitable for X-ray structural analysis were obtained from n-pentane/ethyl acetate. Rf = 0.76 (toluene/ethyl acetate, 4:1); [α] −34.0 (c 0.5, CHCl3); m.p. 95 °C (n-hexane/ethyl acetate); 1H-NMR (400 MHz, DMSO-d6) δ: 7.40–7.15 (m, 30H, HAr), 6.19 (d, 1H, J8,9 = 6.8 Hz, H-9), 5.74 (dd, 1H, J7,8 = 12.4, J8,9 = 6.8 Hz, H-8), 5.67 (d, J7,8 = 12.4 Hz, H-7), 4.85–4.40 (m, 13H, CH2Ph, H-1), 4.34 (bs, 1H, OH), 3.78–3.63 (m, 4H, H-3, H-4, H-6a, H-6b), 3.58–3.52 (m, 1H, H-5); 13C-NMR (100 MHz, DMSO-d6) δ: 138.5, 138.5, 138.4, 138.4, 138.3, 137.7 (6 × CAr,quart), 133.2 (C-7), 129.9 (C-8), 128.2, 128.2, 128.1, 128.1, 128.0, 127.7, 127.6, 127.6, 127.5, 127.4, 127.4, 127.3, 127.2, 127.2 (30 × CAr), 100.8 (C-1), 97.5 (C-9), 84.3 (C-3), 78.7 (C-2), 75.6 (C-4), 74.9 (CH2Ph), 74.5 (C-5), 74.1 (CH2Ph), 72.3 (CH2Ph), 70.2 (CH2Ph), 69.1 (C-6), 67.5 (CH2Ph), 66.3 (CH2Ph); HR-ESI-TOF calcd. for C51H52O8Na [M + Na]+: 815.3554 Found: 815.3544; Anal. calcd. for C51H52O8: C, 77.25; H, 6.61. Found: C, 77.31; H, 6.56.
3.10. Benzyl 3,4,6-Tri-O-benzyl-2-C-((Z)-3,3-dimethoxyprop-1-en-1-yl)-β-d-mannopyranoside (4b)
Alkyne 3b (95 mg; 0.149 mmol) in anhydrous DMF (3 mL) was treated with Lindlar catalyst (71 mg; 75 wt %) for 5 d as described in the general procedure above. After chromatographic purification (SiO2, toluene + 2% Et3N), alkene 4b (87 mg; 0.136 mmol; 91%) was obtained as a colorless, amorphous solid. Rf = 0.23 (toluene + 2% Et3N); [α] −57.0 (c 1, CHCl3); 1H-NMR (400 MHz, DMSO-d6) δ: rotameric isomerism, significant signals: 5.69 (d, 1H, J8,9 = 6.3 Hz, H-9), 5.59 (d, 1H, J7,8 = 12.4 Hz, H-7), 5.54 (dd, 1H, J7,8 = 12.4, J8,9 = 6.3 Hz, H-8), 3.14 (s, 6H, 2 × CH3); 13C-NMR (100 MHz, DMSO-d6) δ: rotameric isomerism, significant signals: 133.2 (C-7), 129.8 (C-8), 100.7 (C-1), 99.0 (C-9), 74.5 (C-5), 52.8, 51.6 (2 × CH3); HR-ESI-TOF calcd. for C39H44O8Na [M + Na]+: 663.2928 Found: 663.2933; Anal. calcd. for C39H44O8: C, 73.10; H, 6.92. Found: C, 72.97; H, 7.01.
3.11. Benzyl 3,4,6-Tri-O-benzyl-2-C-((Z)-2-(1,3-dioxan-2-yl)vinyl)-β-d-mannopyranoside (4c)
Alkyne 3c (239 mg; 0.367 mmol) in anhydrous DMF (5 mL) was treated with Lindlar catalyst (144 mg; 60 wt %) for 3 d as described in the general procedure above. Alkene 4c (194 mg; 0.297 mmol; 81%) was obtained as a colorless, amorphous solid. Rf = 0.65 (toluene/ethyl acetate, 2:1); [α] –61.2 (c 1, CHCl3); 1H-NMR (400 MHz, CDCl3) δ: 7.41–7.25 (m, 18H, HAr), 7.23–7.17 (m, 2H, HAr), 5.80 (d, 1H, J8,9 = 5.1 Hz, H-9), 5.70 (dd, 1H, J7,8 = 12.1, J8,9 = 5.2 Hz, H-8), 5.33 (d, 1H, J7,8 = 12.1 Hz, H-7), 4.93 (d, 1H, Jgem = 12.1 Hz, CH2Ph), 4.86 (d, 1H, Jgem = 10.9 Hz, CH2Ph), 4.76–4.52 (m, 6H, CH2Ph), 4.26 (s, 1H, H-1), 4.10–4.01 (m, 2H, -CH2-CH2-CH2-), 3.92–3.72 (m, 6H, H-4, OH, -CH2-CH2-CH2-, H-6a, H-6b), 3.49–3.43 (m, 1H, H-5), 3.40 (d, 1H, J3,4 = 9.1 Hz, H-3), 2.17–2.03 (m, 1H, -CH2-CHaHb-CH2-), 1.31 (d, 1H, Jvic = 13.4 Hz, -CH2-CHaHb-CH2-); 13C-NMR (100 MHz, CDCl3) δ: 138.5, 138.4, 138.0, 137.2 (4 × CAr,quart), 133.2 (C-7), 132.2 (C-8), 128.8, 128.5, 128.5, 128.4, 128.4, 128.3, 127.9, 127.9, 127.9, 127.8, 127.7 (20 × CAr), 99.8 (C-1), 98.5 (C-9), 84.6 (C-3), 78.7 (C-2), 2 × 76.1 (C-4, CH2Ph), 75.5 (C-5), 75.2 (CH2Ph), 73.7 (CH2Ph), 70.4 (CH2Ph), 69.5 (C-6), 66.7 (CH2-CH2-CH2-), 66.6 (CH2-CH2-CH2-), 25.6 (CH2-CH2-CH2-); HR-ESI-TOF calcd. for C40H44O8Na [M + Na]+: 675.2932 Found: 675.2928; Anal. calcd. for C40H44O8: C, 73.60; H, 6.79. Found: C, 73.65; H, 6.88.
3.12. Benzyl 2-O-Acetyl-3,4,6-tri-O-benzyl-2-C-((Z)-3,3-dibenzyloxyprop-1-en-1-yl)-β-d-mannopyranoside (4d)
Alkyne 3d (249 mg; 0.299 mmol) in anhydrous DMF (3 mL) was treated with Lindlar’s catalyst (113 mg; 45 wt %) for 3 d as described in the general procedure above. Alkene 4d (220 mg; 0.263 mmol; 88%) was obtained as a colorless oil. Rf = 0.78 (toluene/ethyl acetate, 2:1); [α] –18.6 (c 1, CHCl3); 1H-NMR (400 MHz, CDCl3) δ: 7.35–7.16 (m, 30H, HAr), 6.21 (d, 1H, J7,8 = 12.4 Hz, H-7), 5.76 (dd, 1H, J7,8 = 12.4, J8,9 = 7.8 Hz, H-8), 5.67 (d, 1H, J8,9 = 7.8 Hz, H-9), 5.27 (s, 1H, H-1), 4.87 (d, 1H, Jgem = 11.6 Hz, CH2Ph), 4.65–4.55 (m, 3H, CH2Ph), 4.51–4.46 (m, 3H, CH2Ph), 4.44–4.37 (m, 5H, CH2Ph), 4.95–4.82 (m, 4H, H-5, H-3, H-6a, H-4), 3.77 (dd, 1H, J6a,6b = 9.6, J5,6b = 5.8 Hz, H-6b), 1.83 (s, 3H, CH3); 13C-NMR (100 MHz, CDCl3) δ: 169.4 (C=O acetyl), 138.5, 138.4, 138.2, 138.1, 138.0, 137.8 (6 × CAr,quart), 133.1 (C-7), 128.6, 128.5, 128.5, 128.4, 128.4, 128.3, 128.2, 127.9, 127.8, 127.8, 127.7, 127.6, 127.6, 127.5 (30 × CAr), 127.1 (C-8), 99.9 (C-1), 95.8 (C-9), 80.2 (C-2), 79.7 (C-3), 75.1 (*C-4), 74.9 (*C-5; assignments may be interchanged), 74.8 (CH2Ph), 73.3 (CH2Ph), 72.3 (CH2Ph), 71.1 (CH2Ph), 70.6 (C-6), 66.9 (CH2Ph), 65.2 (CH2Ph), 22.2 (CH3); HR-ESI-TOF calcd. for C53H54O9Na [M + Na]+: 857.3660 Found: 857.3663; Anal. calcd. for C53H54O9: C, 76.24; H, 6.52. Found: C, 76.14; H, 6.48.
Supplementary Materials
The following are available online at http://www.mdpi.com/1422-8599/2016/4/M916, NMR spectra of compounds 2–4.
Supplementary File 1Supplementary File 2Supplementary File 3Supplementary File 4Acknowledgments
We thank Petra Krüger (elemental analysis), Dorothee Wistuba, Claudia Kruse, Peter Haiss (mass spectra) and Cäcilia Maichle-Mössmer (X-ray crystallography) and Gregor Lemanski for their contribution to this work.
Author Contributions
Melchior Menzel, Daniel Borowski and Thomas Ziegler designed the experiments; Daniel Borowski performed the experiments and analyzed the data; Daniel Borowski and Thomas Ziegler wrote the paper.
Conflicts of Interest
The authors declare no conflict of interest.
References
- Chapleur, Y.; Chétien, F. Preparative Carbohydrate Chemistry; Hanessian, S., Ed.; Marcel Dekker: New York, NY, USA, 2007. [Google Scholar]
- Yoshimura, J. Synthesis of Branched-chain Sugars. Adv. Carbohydr. Chem. Biochem. 1984, 42, 69–134. [Google Scholar]
- Awan, S.I.; Werz, D.B. Syntheses of 1,2-annulated and 1-spiroannulated carbohydrate derivatives: Recent developments. Bioorg. Med. Chem. 2012, 20, 1846–1856. [Google Scholar] [CrossRef] [PubMed]
- Vankar, Y.D.; Linker, T. Recent Developments in the Synthesis of 2-C-Branched and 1,2-Annulated Carbohydrates. Eur. J. Org. Chem. 2015, 2015, 7633–7642. [Google Scholar] [CrossRef]
- Borowski, D.; Zweiböhmer, T.; Ziegler, T. 1,2-Annulated sugars: Synthesis of polyhydroxylated 2,10-dioxadecalins with β-manno configuration. Eur. J. Org. Chem. 2016, 5248–5256. [Google Scholar] [CrossRef]
- Menzel, M.; Ziegler, T. Synthesis of Vicinal Diketoses by Using a Metathesis-Hydroxylation-Oxidation Sequence. Eur. J. Org. Chem. 2014, 7658–7663. [Google Scholar] [CrossRef]
- Nepogodev, S.; Pakulski, Z.; Zamojski, A.; Holst, O.; Brade, H. The synthesis and characterisation of 2-O-(6-O-l-glycero-α,β-d-manno-heptopyranosyl-α-d-glucopyranosyl)-α,β-d-glucopyranose. Carbohydr. Res. 1992, 232, 33–45. [Google Scholar] [CrossRef]
- Fokt, I.; Skora, S.; Conrad, C.; Madden, T.; Emmett, M.; Priebe, W. d-Glucose and d-mannose-based metabolic probes. Part 3: Synthesis of specifically deuterated d-glucose, d-mannose, and 2-deoxy-d-glucose. Carbohydr. Res. 2013, 368, 111–119. [Google Scholar] [CrossRef] [PubMed]
- Fliegel, F.; Beaudet, I.; Watrelot-Bourdeau, S.; Cornet, N.; Quintard, J.-P. Preparation of α-substituted γ-alkoxyallylstannanes from β-tributylstannyl acrolein acetals: Scope of the method and primary rationalization of the obtained results. J. Organomet. Chem. 2005, 690, 659–673. [Google Scholar] [CrossRef]
- Schmeichel, M.; Redlich, H. The Grignard Reagent from 2-Bromomethyl-1,3-dioxolane, a Novel and Efficient d2-Reagent: Synthesis of Branched Chain Carbohydrate Derivatives. Synthesis 1996, 1996, 1002–1006. [Google Scholar] [CrossRef]
- Kerékgyártó, J.; Rákó, J.; Ágoston, K.; Gyémánt, G.; Szurmai, Z. New Factors Governing Stereoselectivity in Borohydride Reductions of β-d-Glycoside-2-uloses—The Peculiar Effect of “Activated” DMSO. Eur. J. Org. Chem. 2000, 2000, 3931–3935. [Google Scholar] [CrossRef]
- Cleator, E.; McCusker, C.F.; Steltzer, F.; Ley, S.V. Grignard additions to 2-uloses: Synthesis of stereochemically pure tertiary alcohols. Tetrahedron Lett. 2004, 45, 3077–3080. [Google Scholar] [CrossRef]
- Szarek, W.; Zamojski, A.; Tiwari, K.; Ison, E.R. A new, facile method for cleavage of acetals and dithioacetals. Tetrahedron Lett. 1986, 27, 3827–3830. [Google Scholar] [CrossRef]
- Höfle, G.; Steglich, W. 4-Dialkylaminopyridines as Acylation Catalysts; III. Acylation of Sterically Hindered Alcohols. Synthesis 1972, 1972, 619–621. [Google Scholar] [CrossRef]
- Lindlar, H.; Dubuis, R. Palladium catalyst for partial reduction of acetylenes. Org. Synth. 1966, 46, 89–92. [Google Scholar]
- Campos, K.R.; Cai, D.; Journe, M.; Kowal, J.J.; Larsen, R.D.; Reider, P.J. Controlled semihydrogenation of aminoalkynes using ethylenediamine as a poison of Lindlar's catalyst. J. Org. Chem. 2001, 66, 3634–3635. [Google Scholar] [CrossRef] [PubMed]
- Sydnes, L.K.; Holmelid, B.; Kvernenes, O.H.; Valdersnes, S.; Hodne, M.; Boman, K. Stereospecific synthesis of allylic and homoallylic alcohols from functionalized propargylic alcohols. Arkivoc 2008, 2008, 242–268. [Google Scholar]
- García-Mota, M.; Gómez-Díaz, J.; Novell-Leruth, G.; Vargas-Fuentes, C.; Bellarosa, L.; Bridier, B.; Pérez-Ramírez, J.; López, N. A density functional theory study of the ‘mythic’ Lindlar hydrogenation catalyst. Theor. Chem. Acc. 2011, 128, 663–673. [Google Scholar] [CrossRef]
- Siau, W.-Y.; Zhang, Y.; Zhao, Y. Stereoselective Synthesis of Z-Alkenes. Top. Curr. Chem. 2012, 327, 33–58. [Google Scholar] [PubMed]
- Erdik, E.; Kâhya, D.; Daşkapan, T. Accelerating Ligands for Osmium Tetraoxide Catalyzed Racemic Dihydroxylation of α-Pinene. Synth. Commun. 1998, 28, 1–7. [Google Scholar] [CrossRef]
- Abraham, R.J.; Tormena, C.F.; Rittner, R. Conformational Analysis. Part 35. NMR, solvation and theoretical investigation of rotational isomerism in methyl fluoroacetate and methyl difluoroacetate. J. Chem. Soc. Perkin Trans. 2 2001, 815–820. [Google Scholar] [CrossRef]
- Boeckmann, R.K., Jr.; Shao, P.; Mullins, J.J. The Dess-Martin Periodinane: 1,1,1-Triacetoxy-1,1-dihydro-1,2-benziodoxol-3(1H)-one. Org. Synth. 2004, 10, 141–146. [Google Scholar]
- Sheldrick, G.M. SHELXS 97, Program for the Solution of Crystal Structures; University of Goettingen: Goettingen, Germany, 1997; Acta Crystallogr. Sect. B 2006, B62, 912–918. [Google Scholar]
- Sheldrick, G.M. Phase Annealing in SHELX-90: Direct Methods for Larger Structures. Acta Crystallogr. Sect. A 1990, 46, 467–473. [Google Scholar] [CrossRef]
- Sheldrick, G.M. SHELXL, Bruker Analytical X-ray Division; Bruker Analytical X-ray; Instruments, Inc.: Madison, WI, USA, 2001. [Google Scholar]
- Hübschle, C.B.; Sheldrick, G.M.; Dittrick, B. ShelXle: A Qt graphical user interface for SHELXL. J. Appl. Crystallogr. 2011, 44, 1281–1284. [Google Scholar] [CrossRef] [PubMed]
© 2016 by the authors; licensee MDPI, Basel, Switzerland. This article is an open access article distributed under the terms and conditions of the Creative Commons Attribution (CC-BY) license (http://creativecommons.org/licenses/by/4.0/).



