Abstract
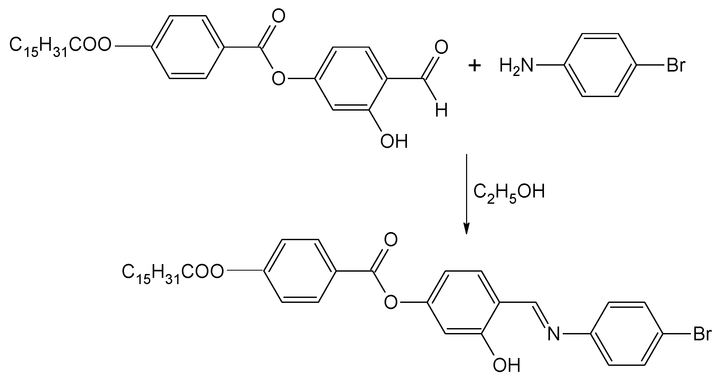
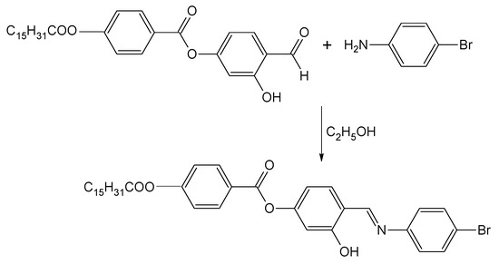
A new Schiff base ester, 4-{[(4-bromophenyl)imino]methyl}-3-hydroxyphenyl 4-(hexadecanoyloxy)benzoate was synthesized and its IR, 1H NMR, 13C NMR and MS spectroscopic data are presented.
High demand for new liquid crystals (LCs) for applications has led to the preparation and study of numerous mesogens in particular, thermotropic liquid crystals [1,2]. Most thermotropic liquid crystals are calamitic molecules having a rigid core composed of two or more phenyl rings and one or more flexible terminal alkyl chains. Schiff base, also known as imine (CH=N), is one of the most well-known linking groups used in connecting the rigid core groups. Wide-ranging research on Schiff base core systems has been conducted since the discovery of MBBA which exhibited room temperature nematic phase [3]. Several studies have been conducted on ester-type Schiff bases owing to their interesting properties and substantial temperature range [4,5,6,7,8,9]. As a continuation of our previous work, we report here a new liquid crystal, 4-{[(4-bromophenyl)imino]methyl}-3-hydroxyphenyl 4-(hexadecanoyloxy)benzoate.
Experimental
4-(4-n-Hexadecanoyloxybenzoyloxy)-2-hydroxybenzaldehye was prepared according to a method that we described in our previous work [10]. In a round-bottom flask, a mixture of the aldehyde (2.48 g, 5.0 mmol), 4-bromoaniline (0.86 g, 5.0 mmol) and absolute ethanol (40 mL) was refluxed with stirring for 3 h. The reaction mixture was filtered and the solvent was removed from the filtrate by evaporation. Recrystallization from absolute ethanol gave the title compound as a yellow solid (1.50 g, 46%).
Melting point: 222–224 °C
MS (EI): m/z (rel. int. %): 651 (M+, 1).
IR (KBr): νmax/ cm−1 2950, 2916, 2848 (C-H aliphatic), 1754 (C=O of C15H31COO- fragment), 1743 (C=O of benzoate), 1623 (C=N), 1605 (C=C aromatic), 1282 (C-O).
1H NMR (400 MHz, CDCl3): δ/ppm 0.91 (t, 3H, J = 6.8 Hz, CH3-), 1.24–1.45 (m, 24H, CH3-(CH2)12-), 1.80 (quint, 2H, J = 7.4 Hz, -CH2-CH2COO-), 2.63 (t, 2H, J = 7.5 Hz, -CH2-COO-), 6.87 (dd, 1H, J = 2.1, 8.4 Hz, Ar-H), 6.93 (d, 1H, J = 2.0 Hz, Ar-H), 7.20 (d, 2H, J = 8.6 Hz, Ar-H), 7.28 (d, 2H, J = 8.7 Hz, Ar-H), 7.47 (d, 1H, J = 8.5 Hz, Ar-H), 7.58 (d, 2H, J = 8.6 Hz, Ar-H), 8.26 (d, 2H, J = 8.7 Hz, Ar-H), 8.64 (s, 1H, CH=N), 13.20 (s, 1H, OH).
13C NMR (100 MHz, CDCl3): δ/ppm 172.18 (C=O of C15H31COO-), 164.26 (C=O of benzoate), 162.56 (C=N), 162.96, 155.55, 155.17, 147.64, 133.83, 132.97, 132.31, 126.94, 123.26, 122.40, 120.94, 117.56, 113.58 and 111.08 for aromatic carbons, 34.83 (-CH2COO-), 25.25 (-CH2CH2COO-), 32.36, 30.13, 30.11, 30.09, 30.08, 30.03, 29.88, 29.80, 29.68, 29.52, 29.43, 23.13 (CH3(CH2)12), 14.58 (CH3(CH2)12).
Elemental analysis: Calculated for C36H44NO5Br, 66.46%, H, 6.82%, N, 2.15%; Found: C, 66.44%, H, 6.87%, N, 2.17%.
Supplementary materials
Supplementary File 1Supplementary File 2Supplementary File 3Acknowledgements
Authors would like to thank Universiti Tunku Abdul Rahman and Universiti Sains Malaysia for the financial supports and research facilities.
References
- Yuksel, F.; Atilla, D.; Ahsen, V. Synthesis and characterization of liquid-crystalline asymmetric phthalocyanines. Polyhedron 2007, 26, 4551–4556. [Google Scholar] [CrossRef]
- Zhang, B.Y.; Meng, F.B.; Tian, M.; Xiao, W.Q. Side-chain liquid-crystalline polysiloxanes containing ionic mesogens and cholesterol ester groups. React. Funct. Polym. 2007, 66, 551–558. [Google Scholar] [CrossRef]
- Kelker, H; Scheurle, B. Liquid-crystalline (nematic) phase with a particularly loq solidification point. Angew. Chem. Int. Edn. 1969, 8, 884–885. [Google Scholar]
- Eran, B.E.; Nesrullajev, A.; Canli, N.Y. Characterization and investigation of the mesogenic, thermo-morphological and thermotropic properties of new chiral (S)-5-octyloxy-2-[{4-(2-methylbuthoxy)phenylimino(methyl)phenol liquid crystalline compound. Mat. Chem. Phys. 2008, 111, 555–558. [Google Scholar] [CrossRef]
- Parra, M.; Vergara, J.; Zuniga, C.; Soto, E.; Sierra, T.; Serrano, J.L. New chiral Schiff’s bases with a 1,3,4-thiadizole ring in the mesogenic core: Synthesis, mesomorphic. Liq. Cryst. 2004, 32, 457–462. [Google Scholar] [CrossRef]
- Prajapati, A.K.; Varia, C.C. Azomesogens with polar chloro, nitro and phenolic –OH substituents. Liq. Cryst. 2008, 35, 1271–1277. [Google Scholar] [CrossRef]
- Vora, R.; Prajapati, A.K.; Kevat, J. Effect of terminal branching on mesomorphism. Mol. Cryst. Liq. Cryst. 2001, 357, 229–237. [Google Scholar] [CrossRef]
- Ha, S.T.; Ong, L.K.; Ong, S.T.; Yeap, G.Y.; Wong, J.P.W.; Koh, T.M.; Lin, H.C. Synthesis and mesomorphic properties of new Schiff base esters with different alkyl chains. Chin. Chem. Lett. 2009, 20, 767–770. [Google Scholar] [CrossRef]
- Ha, S.T.; Lee, T.L.; Lee, S.L.; Yeap, G.Y.; Win, Y.F.; Ong, S.T. Mesomorphic behavior of new azomethine liquid crystals having terminal bromo substituent. Chin. Chem. Lett. 2012, 23, 177–180. [Google Scholar] [CrossRef]
- Yeap, G.Y.; Ha, S.T.; Boey, P.L.; Mahmood, W.A.K.; Ito, M.M.; Youhei, Y. Synthesis and characterization of some new mesogenic Schiff base esters N-[4-(4-n-hexadecanoyloxybenzoyloxy)benzylidene]-4-substituted anilines. Mol. Cryst. Liq. Cryst. 2006, 452, 73–90. [Google Scholar] [CrossRef]
© 2012 by the authors; licensee MDPI, Basel, Switzerland. This article is an open access article distributed under the terms and conditions of the Creative Commons Attribution license (http://creativecommons.org/licenses/by/3.0/).
