Next Article in Journal / Special Issue
Differential Gene Expression of Fibroblasts: Keloid versus Normal
Previous Article in Journal / Special Issue
Influence of Humic Acid on 1-Aminopyrene Ecotoxicity During Solar Photolysis Process
 
 
Font Type:
Arial Georgia Verdana
Font Size:
Aa Aa Aa
Line Spacing:
Column Width:
Background:
Article

Bioorganic Studies in AIDS: Synthetic Antifungals Against Pneumocystis carinii Based on the Multivalency Concept

by
Langu Peng
,
Cunxiang Chen
,
Christian R. Gonzalez
and
Valeria Balogh-Nair
*
Department of Chemistry, City College of CUNY, 138 Street & Convent Avenue, New York, NY10031, USA
*
Author to whom correspondence should be addressed.
Int. J. Mol. Sci. 2002, 3(11), 1145-1161; https://doi.org/10.3390/i3111145
Submission received: 7 June 2002 / Accepted: 30 October 2002 / Published: 30 November 2002

Abstract

:
We report the syntheses of antifungals containing the novel pharmacophores: oxaziridines, sulfonyloxaziridines, nitrones and nitronyl nitroxides. We hypothesized that multiple copies of the pharmacophore per molecule might be a prerequisite to enhance efficacy against the opportunistic pathogen, Pneumocystis carinii. Therefore structural optimization of the leads was based on this new “multivalency” approach. All bisoxaziridines were inactive, but a trisoxaziridine caused ca. 50% reduction of the number of P. carinii tropozoites, compared to TMP-SMX, and a hexaoxaziridine at 1 µg/ml showed activity comparable to the currently used drug, TMP-SMX. Insertion of three units of the nitronyl nitroxide pharmacophore per molecule afforded an antifungal triradical with activity comparable to TMP-SMX at 1 µg/ml; at 25 µg/ml and at 10 µg/ml the triradical was better. The results lend further support to the oxidoredox pharmacophore hypothesis, and the enhancement of activities observed demonstrates the high potential and benefits of applying the concept of multivalency to drug development.

Introduction

Human immunodeficiency virus (HIV) infection, with its clinical progression to AIDS, has become one of the leading causes of death in the world and the number one cause in Africa [1]. According to the World Health Organization, at least 42 million people are HIV-infected worldwide. The complex regimen of antiretroviral drugs that HIV-positive patients take to control the virus has been credited with the notable reduction in AIDS morbidity and mortality seen in the United States and other affluent nations, but in the developing world, where 90% of the HIV-infected people live, adequate means are not available for treatment with highly active antiretroviral therapy (HAART) [2]. Moreover, these therapies fail in up to 40% of HAART patients because of the complexity and toxicity of the drug regimens, and when HAART is stopped, the virus rapidly rebounds. Significantly, viral resistance [3] is beginning to counter the success of HAART, and a model based on the rate of increase of drug-resistant HIV infections in San Francisco predicts that by 2005, 42% of the city’s cases will be resistant [4]. A new opportunity for long-term control of HIV materialized with the recent discovery of chemokine receptors that play an essential role in HIV infection [5,6]. In addition to the CD4 receptor, the chemokine receptors CCR5 and CXCR4 are required to mediate viral entry into macrophages and T cell hosts. Therefore, these receptors provided alternate and attractive new targets for drug development. Since the discovery that in the early stages of HIV infection macrophage-tropic viruses that use the CCR5 receptor predominate, and that people with mutant copies of the gene coding for CCR5 are highly resistant to HIV infection, intensive efforts to discover CCR5 antagonists led to several leads. Among the promising nonpeptidic agents are the quaternary ammonium anilide (TAK-779) from Takeda Chemical Industries [7], the bipiperidine N-oxide (SCH 351125) from Schering-Plough [8], the CCR5 antagonists from Merck [9], and the macrocyclic chemokine mimics we developed [10]. It is expected that viral entry inhibitors soon will be available to relieve the severe problems associated with the long term use of drug cocktails administered in HAART. However, new drugs that block the chemokine receptors, CXCR4 and/or CCR5 may not be without problems [11]. Thus, knocking out the gene for SDF-1, the chemokine that naturally binds to CXCR4, caused developmental problems in mice. Because people without CCR5 are healthy, a better approach would be to use a CCR5-specific drug delivered in the early stages of the infection while the virus is M-tropic to prevent it from turning T-tropic. However, the possibility that blocking the CCR5 receptor would force the virus to mutate to the T-tropic strain, or would induce the virus to switch to other coreceptors to gain entry into cells cannot be excluded.
While better therapies to prevent HIV infection or to eradicate the virus from cells are desperately needed, there is an even more pressing need to combat the opportunistic infections (OIs) that eventually take the life of AIDS patients. Among OIs associated with AIDS, Pneumocystis carinii pneumonia (PCP) affects >70% of AIDS patients, and is one of the most devastating complications of the immunosuppression associated with the disease [12]. Cryptococcus neoformans causes potentially fatal meningitis in 7-10% of AIDS patients and Candida albicans causes oral and esophageal candidiasis in >70% of them. Several other infective agents such as Cryptosporidium parvum, Histoplasma capsulatum, Toxoplasma gondii, Mycobacterium avium, and Mycobacterium tuberculosis cause debilitating diseases in AIDS patients [13]. However, PCP remains the main cause of mortality despite available prophylactic and therapeutic regimens. One of the most effective drug regimens currently used against mild to moderate PCP is a combination of trimethoprim-sulfamethoxazole (TMP-SMX) [14]. However, this combination of a sulfa drug with a dihydrofolate reductase inhibitor has more adverse effects on AIDS patients than on non-immunocompromised subjects. For those patients who cannot tolerate TMP-SMX, the drug of choice is MEPRON (Atovaquone), an antiprotozoal naphthalenedione derivative [14]. However, the success rate for both drugs is low, 62% and 64% respectively. For patients for whom these drugs fail, and are switched to the alternate drug pentamidine, the prognosis is poor with high mortality rates. When pentamidine, which binds within the AT-rich regions of DNA [15] was administered to AIDS patients, 57.5% developed some adverse reaction, 8.7% life-threatening. The fungistatic effect of macrophages on Cryptococcus neoformans is lacking in immunocompromised patients causing potentially fatal meningitis. It is suppressed with Fluconazole after primary treatment with Amphotericin B (preferably with flucytosine). About 50% of the AIDS patients do not survive treatment with flucytosine, and mortality during the course of therapy is 33% and 40% for Amphotericin B and Fluconazol, respectively. Amphotericin B, a long, rigid polyene macrolide traverses the fungal cell wall and causes plasma membrane damage. It is extremely toxic to the kidneys. The available treatments for OIs listed above indicate that TMP-SMX and MEPRON do not work for about 40% of AIDS patients, and Fluconazole does not solve the problem of cryptococcal meningitis; Amphotericin B is so toxic and difficult to tolerate that it earned the nickname of "Amphoterrible". Clearly, there is an urgent need to develop better drugs conducive to safer and more effective therapies.
We started development of antifungals against P. carinii based on the hypothesis that compounds with oxidoredox properties can damage many pathogens which cause OIs. Subsequently, novel oxidoredox pharmacophores [16], oxaziridines, sulfonyloxaziridines, nitrones, and nitronylnitroxides synthesized in our laboratory were inserted into carrier structures to yield active leads against P. carinii. Importantly, we hypothesized that multiple copies of the pharmacophore per molecule might be necessary to achieve high in vivo efficacy [17]. Therefore structural optimization of the leads was initiated based on this new “multivalency” approach. Multivalency is the simultaneous attachment of two or more binding sites on one biological molecule or organism (such as protein or virus) to multiple receptor sites on another (such as a cell surface). Multivalent interactions are ubiquitous in biological systems where thousand- and million-fold increases in binding affinities were observed when divalent and trivalent ligands replaced monovalent ones [18]. However, only very recently has the high potential of multivalency in drug design been fully recognized [19]. In our optimization studies using multivalency, the difficulties of employing novel pharmacophores and of attaching multiple copies of them to appropriate scaffolds have now been overcome with the syntheses of highly active compounds effective against P. carinii. The aim of this paper is to report the syntheses of novel oxaziridines, sulfonyloxaziridines, nitrones and nitronyl nitroxides, and to demonstrate the potential of multivalency through the enhanced biological activities of these compounds.

Results and Discussion

The oxidoredox hypothesis we proposed recently to account for the mode of action of the antifungal oxaziridines, sulfonyloxaziridines, nitrones and nitronyl nitroxides is detailed in reference [16] and is summarized below.
Activated macrophages produce a cytotoxic flux that kills microorganisms. This flux consists of high, local, and contemporaneous concentrations of superoxide anion radical O2-•, nitric oxide, NO, and the reaction product of these two, peroxynitrite, HNOO-. Nitric oxide is produced by the endotoxin and cytokine-inducible nitric oxide synthases (iNOS), that catalyze the conversion of L-arginine to L-citrulline and NO, at the expense of NADPH and O2 [20]. Nitric oxide and related reactive nitrogen intermediates are being increasingly recognized to have microbicidal activities against a wide spectrum of pathogens, including fungi [21,22] and protozoa [23]. Of particular interest for OIs is the inhibition of Cryptococcus neoformans replication by nitrogen oxides that supports the role of these molecules as effectors of macrophage-mediated cytostasis [22]. Activated human neutrophils exert microbicidal activity through two types of mechanisms: one in which the intact neutrophils' H2O2-myeloperoxidase-Cl- system mediates the production of HOCl, which in turn chlorinates endogenous amines to yield a new group of powerful oxidizing agents, chloramines, and the other in which granule-poor cytoplasts have a NO-dependent cytotoxic mechanism [24]. Of further interest is how Rac1 and Rac2, the small GTP-dependent factors, activated upon exposure to microorganisms, regulate O2-• generation in both macrophages and neutrophils [25]. According to the oxidoredox hypothesis [16], multivalent drugs containing oxidoredox pharmacophores could mimic the action of macrophage and neutrophil oxidants or could interact with macrophage/neutrophil-derived oxidants in specific ways to modulate the physiological concentrations of the latter. To attempt modulation of microbicidal activity, four different functionalities, each with oxidoredox properties, were studied as potential pharmacophores against OIs: oxaziridines that are extensively employed in organic synthesis as oxygen transfer agents, sulfonyloxaziridines that are among the most effective oxidizing agents currently available for chiral epoxidations, nitrones that are well known spin traps and yield oxaziridines by electrocyclic ring closure, and nitronyl nitroxides that can be derived from nitrones by spin trapping and which are also the putative in vivo intermediates [16] derivable from nitrones by a reductive or an oxidative pathway. The structures of the oxidoredox pharmacophores moieties present in the antifungal compounds studied are shown below: Ijms 03 01145 i001

Synthesis and biological activity of compounds with multiple copies of the oxaziridine pharmacophore. 

To evaluate the potential of oxaziridines as antifungals, it was necessary to determine how many oxaziridine pharmacophore units a molecule must contain to achieve optimal antifungal activity. However, only a few compounds are known to contain more than one oxaziridine unit, and, except for the macrobicyclic hexaoxaziridine [17] synthesized by us, none are known to contain more than two. Therefore, a systematic investigation to synthesize compounds with multiple oxaziridine pharmacophore units, such as bis-, tris-, and hexaoxaziridines was undertaken as described below.
Bisoxaziridines:
The few known bisoxaziridines were not deemed suitable for our studies, either because of their lack of stability and/or because of the limited possibilities for appropriate functionalization to enhance pharmacological properties. We selected for synthesis target structures that contain N-alkyl, N-cycloalkyl, and N-aryl substituents on the oxaziridine ring (Table 1). In some of the target structures an electron withdrawing group is attached to the oxaziridine nitrogen to enhance thermal stability and to avoid rearrangements. Unlike known oxaziridines, where stabilization was sought but was not always achieved by an inert N-tert-butyl substituent, in the target compounds a hydroxymethyl group attached to the quaternary carbon was used instead (Table 1, entries 1-3). The quaternary carbon was expected to enhance stability by blocking rearrangements, and the hydroxymethyl group should increase water solubility and provide a functionalization site for modulation of biological activity. Condensation of aldehydes with diamines, or of amines with dialdehydes afforded bisimine precursors which were then oxidized to yield the target bisoxaziridines (Scheme 1).
Scheme 1. Bisaldimine precursors and target bisoxaziridines.
Scheme 1. Bisaldimine precursors and target bisoxaziridines.
Ijms 03 01145 g008
Except for entry 16, all bisaldimine intermediates were obtained in good yields by condensations of the amines and aldehydes in anhydrous methanol or acetonitrile either at room temperature or at reflux for 30 minutes (Table 1). The structures of the bisaldimines were confirmed by their chemical ionization mass spectra (CI-MS), 1H and 13C  nmr spectra. All the bisaldimines, except the bisdiphenylphosphinoyl imine (entry 16, doublet at 9.35 ppm), had the characteristic signal of the imino protons between 8-9 ppm. To oxidize the bisaldimines to the target bisoxaziridines, three oxidants,   meta-chloroperbenzoic   acid  (m-CPBA),  potassium  peroxymonosulfate  (Oxone) buffered with KHCO3, and dioxirane were employed. Despite varying the reaction conditions for each oxidant, only three of the target bisoxaziridines could be prepared in this manner; 1, 2, and 3 (entries 1, 4, and 16, Table 1).  However, these three bisoxaziridines were obtained in good to excellent yields by m-CPBA oxidation of the precursor bisimines. The failure to isolate bisoxaziridines (entries 2-3, and 5-15) cannot be attributed entirely to the failure of the oxidizing agents employed. More likely, the bisoxaziridines’ low stability and propensity to fragment into two or more products is a contributing factor. The stabilizing effect of an N-tert-butyl substituent is well-documented; nevertheless, even some of the N-tert-butyl substituted oxaziridines are known to decompose spontaneously at room temperature [26]. It was reported that oxaziridines having an N-methylene or an N-methinyl substituent are prone to spontaneous decomposition, decomposition by acids, and by bases to yield aldehydes, ketones, and ammonia. Nevertheless, an N-methinyl substituted bisoxaziridine, 2, (entry 4, Table 1) was stable, and could be obtained in 52% yield by m-CPBA oxidation of its bisaldimine precursor. The 1H nmr spectrum in CDCl3 of bisoxaziridine 2 showed a characteristic peak for the oxaziridine protons at 4.49 ppm. Proton chemical shifts are known to depend on the orientation of adjacent lone pairs of electrons, with protons trans to the lone pairs resonating at higher field than those cis. Several explanations for the phenomenon have been offered, such as upfield shifts caused by transfer of electron density via the back lobe of the nitrogen lone pair, or by steric factors present when a nitrogen substituent is cis to the protons of interest.  Alternatively, it has been suggested that the anisotropic character of the nitrogen lone pair causes the protons cis to it to shift downfield. Boyd et al. [27] reported that in oxaziridines, protons cis to the lone pair resonate at ca. 5.4 ppm, whereas protons trans to it resonate close to 4.7 ppm (Figure 1). Since the oxaziridine protons in N-methinyl substituted bisoxaziridine  2 resonate at 4.49 ppm,  trans   configuration  can be assigned to this bisoxaziridine.
Table 1. Synthesis of bisoxaziridines.
Table 1. Synthesis of bisoxaziridines.

Entry

amine

aldehyde
bisimine %
bisoxaziridine %recovered aldehyde, %

1
Ijms 03 01145 i002 Ijms 03 01145 i003
79

1 (91)

-

2
Ijms 03 01145 i004 Ijms 03 01145 i005
90

-

78

3
Ijms 03 01145 i006 Ijms 03 01145 i007
67

-

95

4
Ijms 03 01145 i008 Ijms 03 01145 i009
86

2 (52)

-

5
Ijms 03 01145 i010 Ijms 03 01145 i011
95

-

85

6
Ijms 03 01145 i012 Ijms 03 01145 i013
67

-

75

7
Ijms 03 01145 i014 Ijms 03 01145 i015
78

-

85

8
Ijms 03 01145 i016 Ijms 03 01145 i017
87

-

95

9
Ijms 03 01145 i018 Ijms 03 01145 i019
62

-

75

10

Ijms 03 01145 i020 Ijms 03 01145 i021
76

-

74

11
Ijms 03 01145 i022 Ijms 03 01145 i023
68

-

86

12
Ijms 03 01145 i024 Ijms 03 01145 i025
72

-

90

13
Ijms 03 01145 i026 Ijms 03 01145 i027
95

-

78

14
Ijms 03 01145 i028 Ijms 03 01145 i029
86

-

85

15
Ijms 03 01145 i030 Ijms 03 01145 i031
65

-

65

16
(1)
NH2OH
(2)
PPh2Cl
Ijms 03 01145 i032
24

3 (77)

-
13C Nmr is another diagnostic tool to assign cis versus trans configuration to oxaziridines [28]. Oxaziridine carbons resonate in the narrow range of 79-84 ppm. Aliphatic carbons trans to the nitrogen lone pair in oxaziridines experience a considerable upfield shift relative to cis substituents (Figure 2). Moreover, although smaller than the 9 ppm upfield shifts observed for aliphatic carbons, upfield shifts of 3.5 ppm are characteristic of ipso carbons trans to the nitrogen lone pairs. In agreement with the trans  geometry assigned to 2, the oxaziridine carbon resonates at 79.0 ppm, and the ipso carbon’s signal is at 129.2 ppm (Figure 2). Furthermore, the signals of the oxaziridine protons and carbons both appear as singlets in the 1H and 13C nmr spectra indicating that the two oxaziridine moieties in 2 have identical, trans  geometry.
Figure 1. Chemical shifts of protons in cis and trans oxaziridines [27].
Figure 1. Chemical shifts of protons in cis and trans oxaziridines [27].
Ijms 03 01145 g001
Figure 2. Lone pair effects on carbon-13 resonances in oxaziridines [28].
Figure 2. Lone pair effects on carbon-13 resonances in oxaziridines [28].
Ijms 03 01145 g002
Like other active oxygen compounds, bisoxaziridine 2 (Figure 3) transfers its oxygen atoms to triphenylphosphine quantitatively. Thus, addition of Ph3P to a CDCl3 solution of 2 led to loss of the oxaziridine proton’s signal at 4.49 ppm with concomitant appearance of the imine signal at 8.2 ppm. Mass spectroscopy is especially useful for characterizing oxaziridines because they lose oxygen from their molecular ions. The CI-mass spectrum (NH3 gas) of bisoxaziridine 2 showed the successive loss of two oxygen atoms, yielding fragments at m/z  439 and 423, corresponding to 16 mass unit losses from the [M+1]+ ion. When the bisoxaziridine 2, homogeneous by tlc, was submitted to hplc analysis, two well separated peaks were observed. The separated peaks had identical mass spectra, and when the separated peaks of 2 were reinjected for hplc analysis, single peaks were observed. This, and the spectral analyses suggested that 2 is a diastereomeric mixture. Since the diastereomeric mixture was devoid of antifungal activity, preparative hplc separation of the diastereomers was not pursued.
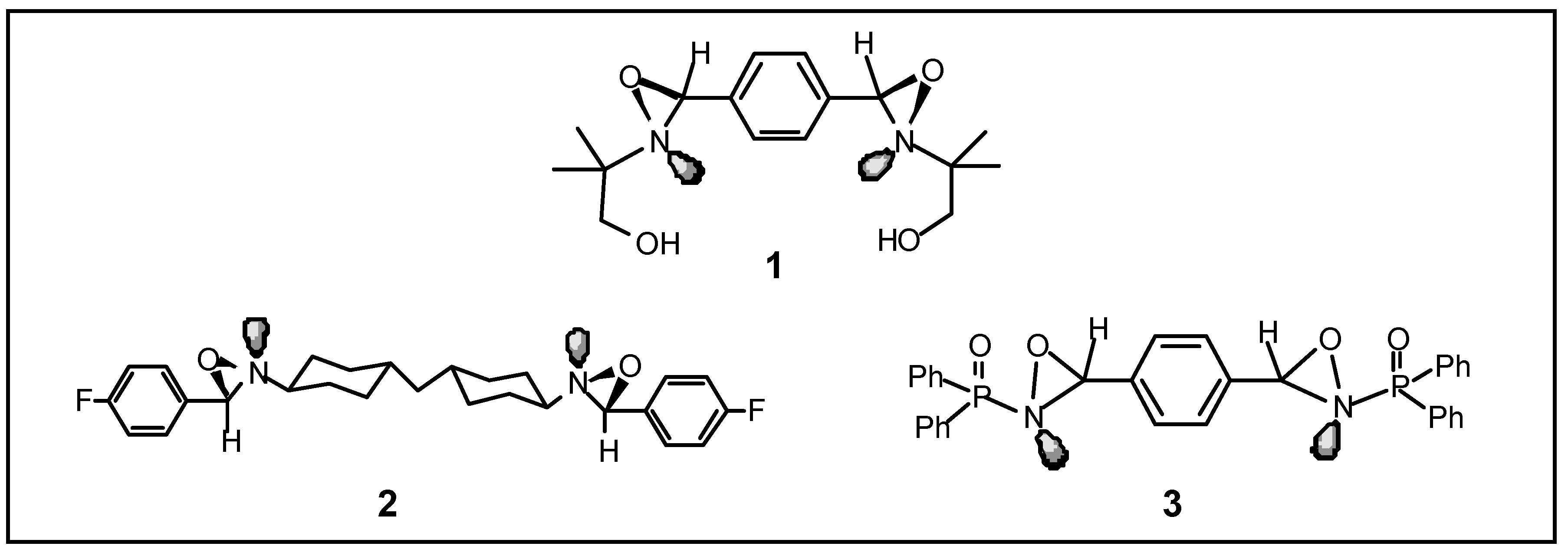
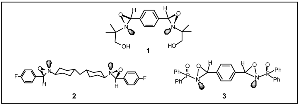
Bisoxaziridine 1 (Figure 3) was synthesized by condensation of 2-amino-2-methyl-1-propanol with terephthaldicarboxaldehyde, followed by oxidation of the bisimine with m-CPBA. Reaction with PPh3, and the mass spectrum of 1 confirmed the presence of two atoms of active oxygen per molecule. The 1H nmr spectrum of 1 showed a singlet for the oxaziridine signal at 4.78 ppm, and the 13C nmr spectrum showed the oxaziridine carbon resonance at 73.3 ppm, establishing the trans geometry of the oxaziridine moieties. The bisoxaziridine 3 (Figure 3) was prepared by Arbuzov type PIII - PV rearrangement of the O-diphenylphosphino-oximes to the bis-diphenylphosphinoyl imines, and subsequent biphasic oxidation of the imines with m-CPBA according to Scheme 2. Apart from the popular sulfonyloxaziridines, few other types of N-functionalized oxaziridines are known. Until now, N-phosphinoyloxaziridines were limited to monofunctionalized derivatives, and so the bis-diphenyl phosphinoyloxaziridine 3 is the first member of a hitherto unknown class of oxaziridines bearing two oxaziridinyl moieties. The structures of the intermediates, and that of 3, were ascertained by their 1H, 13C nmr, and CI-MS spectra, and by the transfer of the two active oxygens of 3 to PPh3. The CI-MS spectrum of 3, characteristic of oxaziridines, showed sequential loss of two 16 mass units from the molecular  ion,  corresponding  to  the  loss of two oxygen atoms.  Salient features of the nmr spectrum included the precursor bisimine proton resonance, a doublet at 9.35 ppm, deshielded by the proximity of the diphenylphosphinoyl groups cis to them, and characterized by a coupling constant of 3JPH=31.5 Hz, indicating that the geometry of both imines was trans. The signal of the two oxaziridine protons (cis to the phosphinoyl moieties), a doublet at 5.65 ppm with a coupling constant of 3JPH=8 Hz, confirmed the trans geometry of the oxaziridine groups.
Figure 3. Structures of the bisoxaziridines 1, 2, and 3.
Figure 3. Structures of the bisoxaziridines 1, 2, and 3.
Ijms 03 01145 g003
Scheme 2. Synthesis of bisdiphenylphosphinoyloxaziridine, 3.
Scheme 2. Synthesis of bisdiphenylphosphinoyloxaziridine, 3.
Ijms 03 01145 g009
The bisoxaziridines showed no antifungal activity against Pneumocystis carinii at concentrations low enough to predict in vivo potential. Therefore, to establish the minimum number of oxaziridine pharmacophore units per molecule that are a prerequisite for antifungal activity, synthesis of oxaziridines containing three pharmacophore units per molecule was undertaken next.
Trisoxaziridines:
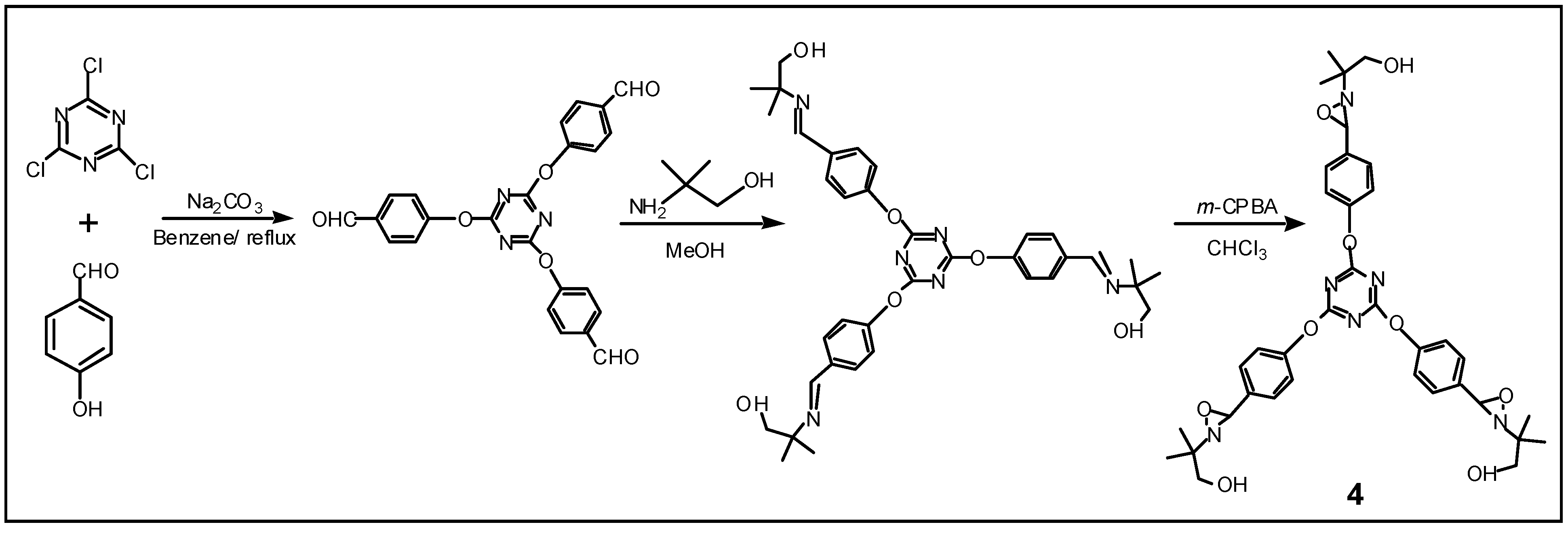
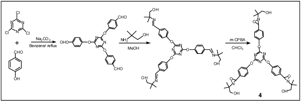
Since the average molecular weight of most of the useful small molecule drugs is below 1,000, and optimally falls in the range of 500-600 [29], to append several pharmacophore units to a molecule, macrocycles and dendrimers were envisaged as suitable carrier structures. Dendrimers are particularly attractive when the goal is to append identical functionalities (Figure 4). Here, this strategy is employed to append three oxaziridine pharmacophore units to the dendrimeric core, 2,4,6-tris(p-formylphenoxy)-1,3,5-triazine, to obtain the trisoxaziridine 4. To the best of our knowledge compound 4 is the first example of a trisoxaziridine. The 1,3,5-triazine was chosen as the central core of the dendrimer both to facilitate synthesis and to enhance the molecule’s drug potential. 1,3,5-Triazines are not toxic, and some triazine derivatives by themselves display fungicidal or antibacterial properties.
Trisoxaziridine 4 was synthesized efficiently, in three steps according to Scheme 3. Reaction of p-hydroxybenzaldehyde with cyanuric chloride gave 2,4,6-tris(p-formylphenoxy)-1,3,5-triazine in 78% yield. This trialdehyde was then condensed with 2-amino-2-methyl-1-propanol to yield the trisimine in 95% yield. Oxidation of the trisimine  with m-CPBA in chloroform at room temperature afforded 4 in 91% yield. This trisoxaziridine, a white powder, can be stored without decomposition at -20oC for several months. The presence of three active oxygens in 4 was corroborated by quantitative transfer of the oxygen atoms to PPh3.
Figure 4. Dendrimers appended with multiple pharmacophore units.
Figure 4. Dendrimers appended with multiple pharmacophore units.
Ijms 03 01145 g004
Scheme 3. Synthesis of the trisoxaziridine 4.
Scheme 3. Synthesis of the trisoxaziridine 4.
Ijms 03 01145 g010
The structures of trisimine and that of trisoxaziridine 4 were assigned on the basis of 1H, 13C nmr, FT-IR, and MS data. In the 1H nmr spectrum of trisoxaziridine 4 the signal of the three oxaziridine protons appears as a singlet at 5.03 ppm indicating that the three oxaziridines in 4 have identical, trans geometry. The 13C nmr shows a typical oxaziridine carbon resonance at 66.9 ppm. Unlike the trisimine, where the methyl signals have identical chemical shifts, the signals of the methyl carbons adjacent to the chiral nitrogen atom in the trisoxaziridine 4 appear as separate peaks at 14.2 and 18.5 ppm. The FAB mass spectrum of 4 showed the typical fragmentation pattern of oxaziridines, along with fragmentation validating the particular substitution pattern present in 4. Thus, the fragments at m/z=687 [MH-16]+, 671 [MH-32]+, and 655 [MH-48]+ correspond to sequential loss of one, two, and three oxygen atoms from the 703 [M+1]+ ion.
Unlike bisoxaziridines 1-3 that were inactive, trisoxaziridine 4 was active against P. carinii at a concentration of 25 μg/ml. Over a period of seven days of incubation with P. carinii cultures, 4 caused ca. 50% reduction of the number of tropozoites compared to the control (Figure 5). This demonstrated that the number of oxaziridine pharmacophore units per molecule is a critical factor for modulation of antifungal activity. Therefore, to enhance the level of activity so that complete inhibition of P. carinii reproduction is achieved at concentrations of less than 10 µg/ml, synthesis of drug candidates containing six oxaziridine pharmacophore units per molecule was undertaken.
Figure 5. Inhibition of the growth of Pneumocystis carinii by the trisoxaziridine 4.
Figure 5. Inhibition of the growth of Pneumocystis carinii by the trisoxaziridine 4.
Ijms 03 01145 g005
Hexaoxaziridines:
The macrobicyclic hexaoxaziridine, 5 (Figure 6), the first macrocycle containing oxaziridine moieties, was highly active against Pneumocystis carinii in cultures at concentrations of <1 µg/ml [16]. This enhancement of activity demonstrated the high potential and benefits of applying the concept of multivalency to drug development. These antifungal studies were conducted by Professor Marilyn S. Bartlett’ s group at the Indiana University Medical School. The rat P. carinii cultivation method established at Indiana University using specific cell lines, careful standardization of inocula, and organisms from animals that have had the same strain passed over time has been used successfully to screen compounds and select those most likely to be effective in vivo. This culture method predicted the efficacy in animals of atovaquone, trimetrexate, albendazol, and 8-aminoquinolines [30]. The high level of in vitro activity against P. Carinii warranted in vivo testing of the compound requiring gram amounts of the material. However, due to the low yield of ca. 10% in the first synthesis of 5 [17], the compound was available only in milligram amounts. The second, improved synthesis (40% yield) together with the extensive structural studies that established the configuration of all the 12 stereocenters in 5 will be published shortly. This improved synthesis yielded adequate amounts of 5 for in vivo studies. However, the very low solubility of 5 in water prevented its intraperitoneal delivery to mice, and when it was given orally, mixed with peanut butter, its rapid decomposition rendered it useless. Synthesis of a water soluble analog of 5 in which the six highly active oxaziridine moieties are carried by a dendrimer scaffold are in progress.
Figure 6. Structure of hexaoxaziridine 5 (Macromodel) showing the two enantiomeric sets of (R,R) and (S,S) oxaziridines.
Figure 6. Structure of hexaoxaziridine 5 (Macromodel) showing the two enantiomeric sets of (R,R) and (S,S) oxaziridines.
Ijms 03 01145 g006

Synthesis and antifungal activity of compounds with multiple copies of the sulfonyloxaziridine pharmacophore 

N-sulfonyloxaziridines are generally not only more stable than oxaziridines, but they are also more powerful oxidizing agents due to the enhanced electrophilicity of their oxygen atoms. The bissulfonyloxaziridine 6 with two sulfonyloxaziridine moieties, was obtained in 92% yield by m-CPBA oxidation of the corresponding sulfonimine in presence of a phase transfer catalyst butyltriethylammonium chloride (BTEAC) (Scheme 4). The two oxaziridine moieties in 6 have identical geometry, as ascertained by spectral data. In vitro, 6 was active against P. carinii, at a concentration of 2.1 µM, comparable to that of pentamidine. In vivo testing in mice at the NIAID contractor's laboratory indicates it has no gross toxicity at 50 mg/kg/day, ip [16]. To ascertain whether increased multivalency will further enhance the antifungal activity, synthesis of a macrocyclic analog containing four sulfonyloxaziridine units is in progress.
Scheme 4. Synthesis of bissulfonyloxazirine, 6.
Scheme 4. Synthesis of bissulfonyloxazirine, 6.
Ijms 03 01145 g011

Synthesis and antifungal activity of compounds with multiple copies of the nitrone and nitronyl nitroxide pharmacophores 

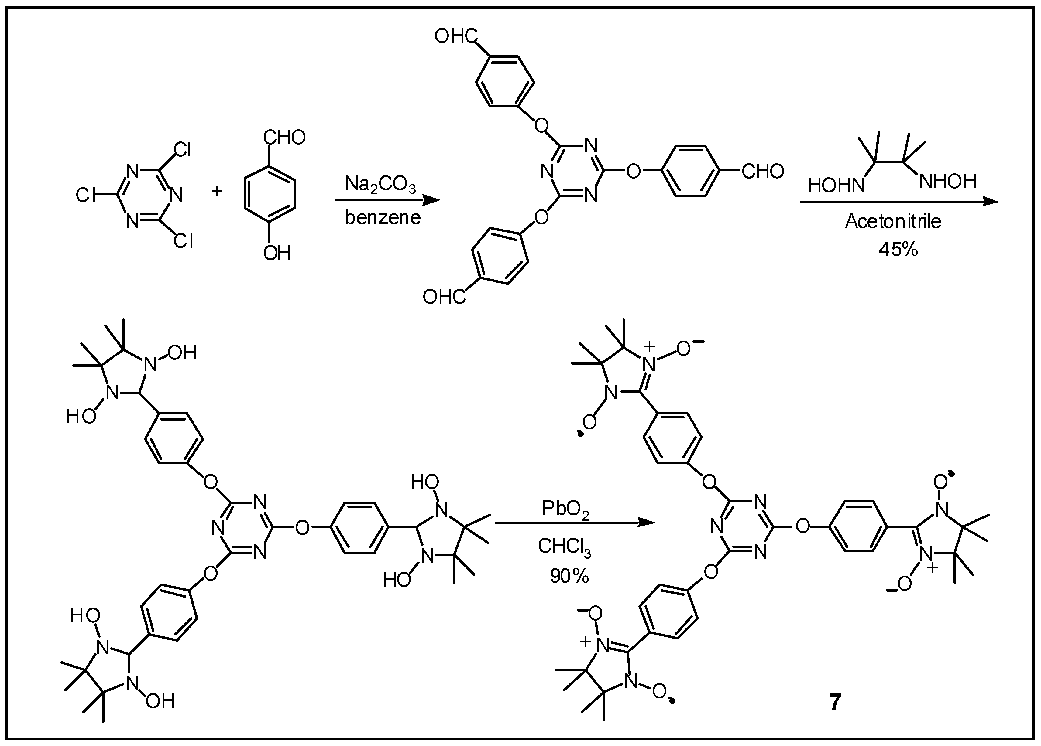
We have previously reported the synthesis and antifungal activity of compound VBN-3, a bisnitrone, that was highly active against P. carinii, both in vitro and in vivo [16]. Considering the several mechanisms by which VBN-3 could work, we have selected two pathways  as the likeliest ones to occur in vivo, as shown in Scheme 5 [16].
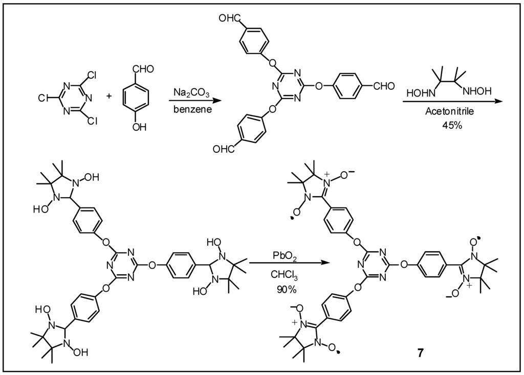
Both the oxidative (a) and the reductive (b) activation pathways involved formation of a nitronyl nitroxide intermediate, a diradical. To test this hypothesis, we have carried out model experiments on VBN-3 demonstrating that the bisnitrone is convertible to the putative nitronyl nitroxide intermediate by slow oxidation with air. The nitronyl nitroxide was obtained as a purple, crystalline, and stable compound. This suggested that the antifungal activity against P. carinii could be greatly enhanced by replacing the nitrone pharmacophore with nitronyl nitroxide moieties. To achieve this, and to benefit from the activity enhancements expected from employing multivalent drugs,  the trisnitronyl nitroxide 7 was synthesized, as shown in Scheme 6.  The synthesis employed the same dendrimeric core, a 1,3,5-triazine  moiety,  that  was  used  in  the  synthesis  of the trisoxaziridine 4  (Scheme 3) to append multiples of the pharmacophore unit. Condensation of the trisaldehyde [31] with 2,3-dihydroxyamino-2,3-dimethylbutane gave a colorless tris(di-N-hydroxy) intermediate which was oxidized with lead dioxide to afford the trisnitronyl nitroxide 7 in excellent yield. The triradical 7, obtained as a deep-blue colored microcrystalline material, was stable at room temperature for several months. Its structure was determined from a combination of spectroscopic data, and to facilitate spectral analysis of this paramagnetic species, it was reduced with methylhydrazine to the corresponding tris(N-hydroxy) derivative [32]. It had limited solubility in water, <2 mg/ml, but was very soluble in DMSO (34 mg/ml) so it could be tested against P. carinii  in cultures at both low and high concentrations. Figure 7 shows that the activity of the triradical 7 against P. carinii at a concentration of of 1 µg/ml is comparable to that of TMP/SMX, the drug in current use, and at 10 or 25 µg/ml 7 is better. These results confirm the hypothesis of drug action as outlined in Scheme 5, and they demonstrate that multivalency is a powerful way to optimize drug potency.
Scheme 5. Hypothetical pathways postulated for (a) reductive and (b) oxidative activation of VBN-3 (from Reference [16]).
Scheme 5. Hypothetical pathways postulated for (a) reductive and (b) oxidative activation of VBN-3 (from Reference [16]).
Ijms 03 01145 g012
Scheme 6. Synthesis of the trisnitronyl nitroxide, 7 [32].
Scheme 6. Synthesis of the trisnitronyl nitroxide, 7 [32].
Ijms 03 01145 g013
Figure 7. Inhibition of the growth of P. carinii  by the antifungal tris(nitronyl nitroxide), 7 [32].
Figure 7. Inhibition of the growth of P. carinii  by the antifungal tris(nitronyl nitroxide), 7 [32].
Ijms 03 01145 g007

Acknowledgments

Financial support from the National Institutes of Health, RO1 AI39418 and RCMI Grant 2G12RR 003000-60, is gratefully acknowledged. The antifungal assays were carried out at NIAID contractors’ laboratories and at the laboratories of Professor Marlyn S. Bartlett, Indiana University Medical School.

References and Notes

  1. UNAIDS. Report on the Global HIV/AIDS Epidemic 2000. XIII International AIDS Conference, Durban, South Africa, 2000.
  2. De Clercq, E. Toward improved anti-HIV chemotherapy: Therapeutic strategies for intervention with HIV infections. J. Med. Chem. 1995, 38, 2491–2517. [Google Scholar] [CrossRef] [PubMed]
  3. Pomerantz, R. J. Primary HIV-1 resistance. J. Am. Med. Assoc. 1999, 282, 1177–1179. [Google Scholar] [CrossRef]
  4. Blower, S. M.; Aschenbach, A. N.; Gershengorn, H. B.; Kahn, J. O. Predicting the unpredictable: Transmission of drug-resistant HIV. Nature Medicine 2001, 7, 1016–1020. [Google Scholar] [CrossRef]
  5. Littman, D. R. Chemokine receptors: keys to AIDS pathogenesis? Cell 1998, 93, 677–680. [Google Scholar] [CrossRef] [PubMed]
  6. Saunders, J.; Tarby, C. M. Opportunities for novel therapeutic agents acting at chemokine receptors. Drug Discovery Today 1999, 4, 80–92. [Google Scholar] [CrossRef] [PubMed]
  7. Baba, M.; Nishimura, O.; Kanzaki, N.; Okamoto, M.; Sawada, H.; Iizawa, Y.; Shiraishi, M.; Aramaki, Y.; Okonogi, K.; Ogawa, Y.; Meguro, K.; Fujino, M. A small molecule, nonpeptide CCR5 antagonist with highly potent and selective anti-HIV-1 activity. Proc. Natl. Acad. Sci. USA 1999, 96, 5698–5703. [Google Scholar] [CrossRef] [PubMed]
  8. Palani, A.; Shapiro, S.; Clader, J. W.; Greenlee, W. J.; Cox, K.; Strizki, J.; Endres, M.; Baroudy, B. M. J. Med. Chem. 2001, 44, 3339–3342.
  9. Finke, P.E.; Meurer, L. C.; Oates, B.; Mills, S. G.; MacCoss, M.; Malkowitz, M.; Springer, M. S.; Daugherty, B. L.; Gould, S. L.; DeMartino, J. A.; Siciliano, S. J.; Carella, A.; Carver, G.; Holmes, K.; Danzeisen, R.; Hazuda, D.; Kessler, J.; Lineberger, J.; Miller, M.; Schleif, W. A.; Emini, E. A.Antagonists of the human CCR5 receptor as anti-HIV –1-agents. Part 2: Structure-activity relationships for substituted 2-aryl-1-[N-(methyl)-N-(phenylsulfonyl)amino]-4-(piperidinyl-1—yl)butanes. Bioorg. Med. Chem. Lett. 2001, 11, 265–270. [Google Scholar]
  10. Balogh-Nair, V.; Brathwaite, C. E.; Chen, C. X.; Gonzalez, C. R.; Finberg, R. W. Synthesis and anti-HIV activity of macrocyclic chemokine mimics. To be submitted to J. Med. Chem; Reduction of HIV-1’s infectivity by chemokine mimics. In Presented at the Gordon Conference: Chemotherapy of AIDS, Ventura, CA, 1997.
  11. Balter, M. AIDS researchers negociate tricky slopes of science. Science 1998, 280, 825–826. [Google Scholar] [CrossRef]
  12. Kovacs, J. A.; Heimentz, J. W.; Macher, A. M.; Stover, D.; Murray, H. W.; Shelhamer, J.; Lane, H. C.; Urmarcher, C.; Honig, C.; Longo, D.; Parker, M. M.; Natanson, J.E.; Parillo, J. E.; Fauci, A. S.; Pizzo, P. A.; H. Masur, H. Pneumocystis carinii pneumonia: a comparison between patients with acquired immunodeficiency syndrome and patients with other immunodeficiencies. Ann. Int. Med. 1984, 100, 663–671. [Google Scholar]
  13. Sternberg, S. The emerging fungal threat. Science 1994, 266, 1632–1634. [Google Scholar] [CrossRef]
  14. Physicians’ Desk Reference. Medical Economics Data Production Company: Mont Vale, NJ, 2001; pp. 1442–1446.
  15. Greenidge, P. A.; Jenkins, T. C.; Neidle, S. DNA minor groove recognition properties of pentamidine and its analogs: A molecular modeling study. Mol. Pharmacol. 1993, 43, 982–988. [Google Scholar] [PubMed]
  16. Balogh-Nair, V. Oxidoredox suppression of fungal infections by novel pharmacophores. In Advances in Bioorganic Chemistry. The Biology - Chemistry Interface; Snyder, J. K., Cooper, R., Eds.; Marcel Dekker Inc.; 1999; Chapter 12; pp. 311–349. [Google Scholar]
  17. Brathwaite, C. E.; Chen, C. X.; Balogh-Nair, V. Novel oxygenated macrocycles as oxygenase mimics. Indian J. Chem. 1992, 31B, 810–812. [Google Scholar]
  18. Mammen, M.; Choi, S-K.; Whitesides, G. M. Polyvalent interactions in biological systems: Implications for design and use of multivalent ligands and inhibitors. Angew. Chem. Int. Ed. 1998, 37, 2754–2794. [Google Scholar] [CrossRef]
  19. Borman, S. Multivalency: Strength in numbers. Enormous affinity enhancements afforded by multivalent binding may have implications for drug design. In C&N; 2000 October 9; pp. 47–53. [Google Scholar]
  20. Moncada, S.; Palmer, R. M. J.; Higgs, E. A. Nitric oxide: Physiology, pathophysiology, and pharmacology. Pharmacological Reviews 1991, 43, 109–142. [Google Scholar] [PubMed]
  21. Granger, D. L.; Perfect, J. R.; Durack, D. T. Macrophage-mediated fungistatis in vitro: Requirements for intracellular and extracellular cytotoxicity. J. Immunol. 1986, 136, 672–680. [Google Scholar] [PubMed]
  22. Alspaugh, J.A.; Granger, D. L. Inhibition of Cryptococcus neoformans replication by nitrogen oxides supports the role of these molecules as effectors of macrophage-mediated cytostasis. Infection and Immunity 1991, 59, 2291–2296. [Google Scholar]
  23. Zhu, L.; Gunn, C; Beckman, J. S. Bactericidal activity of peroxynitrite. Arch. Biochem. Biophys. 1992, 298, 452–457. [Google Scholar] [CrossRef]
  24. Malawista, S. E.; Montgomery, R. R.; Van Blaricom, G. Evidence for reactive nitrogen intermediates in killing of Staphylococci by human neutrophil cytoplasts. J. Clin. Invest. 1992, 90, 631–636. [Google Scholar] [CrossRef] [PubMed]
  25. Freman, J. L. R.; Kreck, M. L.; Uhlinger, D. J.; Lambeth, J. D. Ras-effector homologue region on Rac regulates protein associations in the neutrophil respiratory burst oxidase complex. Biochemistry 1994, 33, 13431–13435. [Google Scholar] [CrossRef] [PubMed]
  26. Rundel, W. Methoden zur Herstellung und Umwandlung von Oxaziridinen. In Methoden der Organischen Chemie.; Weyl, J., Weyl, Th., Muller, E., Eds.; Thieme: Stuttgart, 1988; band X/4; p. 449. [Google Scholar]
  27. Jennings, W. B.; Boyd, D. R.; Watson, C. G.; Becker, E. D.; Bradley, R. B.; Jerina, D. M. The stereochemical dependence of 15NCH and 13CH coupling constants in oxaziridines. J. Am. Chem. Soc. 1972, 94, 8501–854. [Google Scholar] [CrossRef]
  28. Cudic, M; Herrman, R. Multinuclear magnetic resonance study of oxaziridines. Magn. Reson. Chem. 1993, 31, 461–467. [Google Scholar] [CrossRef]
  29. Burger’s Medicinal Chemistry and Drug Discovery. Volume 1. Principles and Practice; Wolff, M. E. (Ed.) Wiley: New York, 1995; Vol. 1, Chapter 1; p. 15.
  30. Bartlett, M. S.; Edlind, T. D.; Lee, C-H.; Dean, R.; Queener, S. F.; Shaw, M. M.; Smith, J. W. Albendazole inhibits Pneumocystis carinii proliferation in inoculated immunosuppressed mice. Antimicrob. Agents & Chemother. 1994, 38, 1834–1837. [Google Scholar]
  31. Tahmasebbi, D. C.; Sasaki, T. Synthesis of a three-helix bundle protein by reductive amination. J. Org. Chem. 1994, 59, 728–731. [Google Scholar]
  32. Peng, L. Ph.D. thesis, The City University of New York, 1999.

Share and Cite

MDPI and ACS Style

Peng, L.; Chen, C.; Gonzalez, C.R.; Balogh-Nair, V. Bioorganic Studies in AIDS: Synthetic Antifungals Against Pneumocystis carinii Based on the Multivalency Concept. Int. J. Mol. Sci. 2002, 3, 1145-1161. https://doi.org/10.3390/i3111145

AMA Style

Peng L, Chen C, Gonzalez CR, Balogh-Nair V. Bioorganic Studies in AIDS: Synthetic Antifungals Against Pneumocystis carinii Based on the Multivalency Concept. International Journal of Molecular Sciences. 2002; 3(11):1145-1161. https://doi.org/10.3390/i3111145

Chicago/Turabian Style

Peng, Langu, Cunxiang Chen, Christian R. Gonzalez, and Valeria Balogh-Nair. 2002. "Bioorganic Studies in AIDS: Synthetic Antifungals Against Pneumocystis carinii Based on the Multivalency Concept" International Journal of Molecular Sciences 3, no. 11: 1145-1161. https://doi.org/10.3390/i3111145

APA Style

Peng, L., Chen, C., Gonzalez, C. R., & Balogh-Nair, V. (2002). Bioorganic Studies in AIDS: Synthetic Antifungals Against Pneumocystis carinii Based on the Multivalency Concept. International Journal of Molecular Sciences, 3(11), 1145-1161. https://doi.org/10.3390/i3111145

Article Metrics

Back to TopTop