Analysis of Circulating MicroRNAs in Patients with Diabetic Foot Ulcers and Lower Limb Amputation
Abstract
1. Introduction
2. Results
2.1. Characteristics of the Study Population
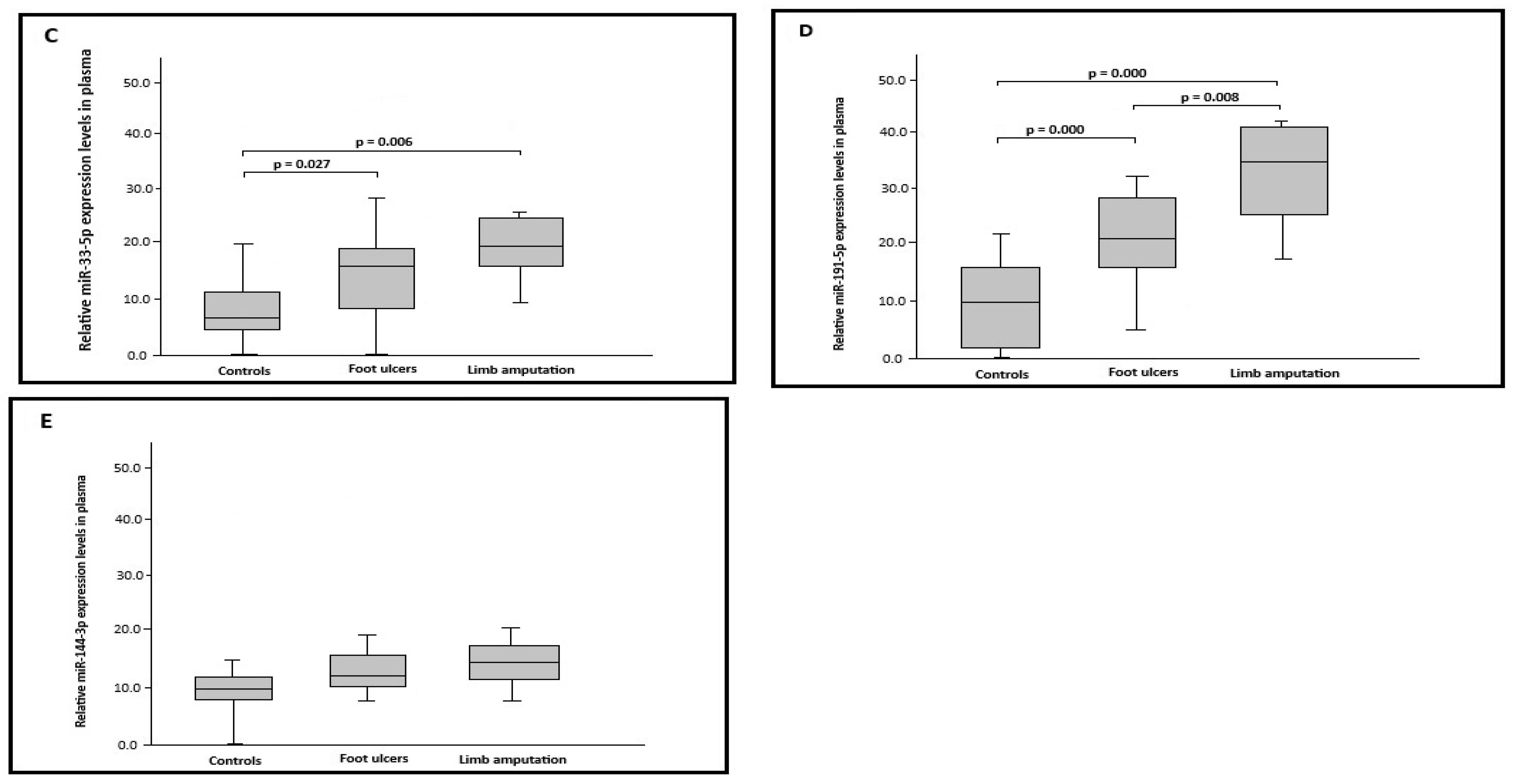
2.2. MicroRNA’s Expression
2.3. ROC Curve Analysis
2.4. miRNA Expression Levels and Anthropometric and Biochemical Values
2.5. miRNA Expression Levels and Comorbidities
2.6. Bioinformatic Analysis
3. Discussion
4. Materials and Methods
4.1. Patient Population
4.2. Lipid Profile
4.3. Blood and Plasma Sample
4.4. RNA Extraction
4.5. miRNAs Quantitative Real-Time
4.6. Statistical Analysis
4.7. Bioinformatic Analysis
5. Conclusions
Supplementary Materials
Author Contributions
Funding
Institutional Review Board Statement
Informed Consent Statement
Data Availability Statement
Acknowledgments
Conflicts of Interest
References
- Ozdemir, D.; Feinberg, M.W. MicroRNAs in diabetic wound healing: Pathophysiology and therapeutic opportunities. Trends Cardiovasc. Med. 2019, 29, 131–137. [Google Scholar] [CrossRef]
- Zhang, Y.; Lazzarini, P.A.; McPhail, S.M.; Van Netten, J.J.; Armstrong, D.G.; Pacella, R.E. Global Disability Burdens of Diabetes-Related Lower-Extremity Complications in 1990 and 2016. Diabetes Care 2020, 43, 964–974. [Google Scholar] [CrossRef]
- Margolis, D.J.; Kantor, J.; Santanna, J.; Strom, B.L.; Berlin, J.A. Risk factors for delayed healing of neuropathic diabetic foot ulcers: A pooled analysis. Arch. Dermatol. 2000, 136, 1531–1535. [Google Scholar] [CrossRef] [PubMed]
- Ortega, F.J.; Mercader, J.M.; Moreno-Navarrete, J.M.; Rovira, O.; Guerra, E.; Esteve, E.; Xifra, G.; Martínez, C.; Ricart, W.; Rieusset, J.; et al. Profiling of circulating microRNAs reveals common microRNAs linked to type 2 diabetes that change with insulin sensitization. Diabetes Care 2014, 37, 1375–1383. [Google Scholar] [CrossRef]
- Kato, M.; Castro, N.E.; Natarajan, R. MicroRNAs: Potential mediators and biomarkers of diabetic complications. Free Radic. Biol. Med. 2013, 64, 85–94. [Google Scholar] [CrossRef] [PubMed]
- Yan, C.; Chen, J.; Wang, C.; Yuan, M.; Kang, Y.; Wu, Z.; Li, W.; Zhang, G.; Machens, H.G.; Rinkevich, Y.; et al. Milk exosomes mediated miR-31-5p delivery accelerates diabetic wound healing through promoting angiogenesis. Drug Deliv. 2022, 29, 214–228. [Google Scholar] [CrossRef] [PubMed]
- Petkovic, M.; Sorensen, A.E.; Leal, E.C.; Carvalho, E.; Dalgaard, L.T. Mechanistic Actions of microRNAs in Diabetic Wound Healing. Cells 2020, 9, 2228. [Google Scholar] [CrossRef] [PubMed]
- Ohtsuka, M.; Iwamoto, K.; Naito, A.; Imasato, M.; Hyuga, S.; Nakahara, Y.; Mikamori, M.; Furukawa, K.; Moon, J.; Asaoka, T.; et al. Circulating MicroRNAs in Gastrointestinal Cancer. Cancers 2021, 13, 3348. [Google Scholar] [CrossRef]
- Deiuliis, J.A. MicroRNAs as regulators of metabolic disease: Pathophysiologic significance and emerging role as biomarkers and therapeutics. Int. J. Obes. 2016, 40, 88–101. [Google Scholar] [CrossRef] [PubMed]
- Eliasson, L.; Esguerra, J.L.S. MicroRNA Networks in Pancreatic Islet Cells: Normal Function and Type 2 Diabetes. Diabetes 2020, 69, 804–812. [Google Scholar] [CrossRef]
- Morales-Sánchez, P.; Lambert, C.; Ares-Blanco, J.; Suárez-Gutiérrez, L.; Villa-Fernández, E.; Garcia, A.V.; García-Villarino, M.; Tejedor, J.R.; Fraga, M.F.; Torre, E.M.; et al. Circulating miRNA expression in long-standing type 1 diabetes mellitus. Sci. Rep. 2023, 13, 8611. [Google Scholar] [CrossRef]
- Wang, L.; Wang, C.; Huang, C.; Zhou, Z.; Yang, R.; Huang, Y.; Chen, Z.; Zhang, Y.; Wang, S.; Feng, K. Role of microRNAs in diabetic foot ulcers: Mechanisms and possible interventions. Diabetes Res. Clin. Pract. 2024, 217, 111858. [Google Scholar] [CrossRef] [PubMed]
- Goodarzi, G.; Maniati, M.; Durdi, Q. The role of microRNAs in the healing of diabetic ulcers. Int. Wound J. 2019, 16, 621–633. [Google Scholar] [CrossRef]
- Elhag, D.A.; Al Khodor, S. Exploring the potential of microRNA as a diagnostic tool for gestational diabetes. Transl. Med. 2023, 21, 392. [Google Scholar] [CrossRef] [PubMed]
- Moura, J.; Borsheim, E.; Carvalho, E. The role of MicroRNAs in diabetic complications-special emphasis on wound healing. Genes 2014, 5, 926–956. [Google Scholar] [CrossRef] [PubMed]
- Solís-Toro, D.; Mosquera-Escudero, M.; Garcia-Perdomo, H.A. Association between circulating microRNAs and the metabolic syndrome in adult populations: A systematic review. Diabetes Metab. Synd. 2022, 16, 102376. [Google Scholar] [CrossRef] [PubMed]
- Liao, X.; Xue, H.; Wang, Y.-C.; Nazor, K.L.; Guo, S.; Trivedi, N.; Peterson, S.E.; Liu, Y.; Loring, J.F.; Laurent, L.C. Matched miRNA and mRNA signatures from an hESC-based in vitro model of pancreatic differentiation reveal novel regulatory interactions. J. Cell Sci. 2013, 126, 3848–3861. [Google Scholar]
- Perez, L.M.; Bernal, A.; San Martin, N.; Lorenzo, M.; Fernandez-Veledo, S.; Galvez, B.G. Metabolic rescue of obese adipose-derived stem cells by the lin28/let7 pathway. Diabetes 2013, 62, 2368–2379. [Google Scholar] [CrossRef]
- Zhu, H.; Ng, S.-C.; Segrè, A.V.; Shinoda, G.; Shah, S.P.; Einhorn, W.S.; Takeuchi, A.; Engreitz, J.M.; Hagan, J.P.; Kharas, M.G.; et al. The Lin28/let-7 axis regulates glucose metabolism. Cell 2011, 147, 81–94. [Google Scholar] [CrossRef]
- Polikepahad, S.; Knight, J.M.; Naghavi, A.O.; Oplt, T.; Creighton, C.J.; Shaw, C.; Benham, A.L.; Kim, J.; Soibam, B.; Harris, R.A.; et al. Proinflammatory role for let-7 microRNAs in experimental asthma. J. Biol. Chem. 2010, 285, 30139–30149. [Google Scholar] [CrossRef]
- Chen, P.-Y.; Qin, L.; Barnes, C.; Charisse, K.; Yi, T.; Zhang, X.; Ali, R.; Medina, P.P.; Yu, J.; Slack, F.J.; et al. FGF regulates TGF-beta signaling and endothelial-to-mesenchymal transition via control of let-7 miRNA expression. Cell Rep. 2012, 2, 1684–1696. [Google Scholar] [CrossRef]
- Lin, Z.; Ge, J.; Wang, Z.; Ren, J.; Wang, X.; Xiong, H.; Gao, J.; Zhang, Y.; Zhang, Q. Let-7e modulates the inflammatory response in vascular endothelial cells through ceRNA crosstalk. Sci. Rep. 2017, 14, 42498. [Google Scholar] [CrossRef] [PubMed]
- Han, S.; Li, Z.; Master, L.M.; Master, Z.W.; Wu, A. Exogenous IGFBP-2 promotes proliferation, invasion, and chemoresistance to temozolomide in glioma cells via the integrin β1-ERK pathway. Br. J. Cancer 2014, 111, 1400–1409. [Google Scholar] [CrossRef] [PubMed]
- Lee, J.; Ozcan, U. Unfolded protein response signaling and metabolic diseases. J. Biol. Chem. 2014, 289, 1203–1211. [Google Scholar] [CrossRef] [PubMed]
- Syapin, P.J. Regulation of haeme oxygenase-1 for treatment of neuroinflammation and brain disorders. Br. J. Pharmacol. 2008, 155, 623–640. [Google Scholar] [CrossRef]
- Poss, K.D.; Tonegawa, S. Reduced stress defense in heme oxygenase 1-deficient cells. Proc. Natl. Acad. Sci. USA 1997, 94, 10925–10930. [Google Scholar] [CrossRef]
- Huang, N.; Li, W.; Wang, X.; Qi, S. MicroRNA-17-5p aggravates lipopolysaccharide-induced injury in nasal epithelial cells by targeting Smad7. BMC Cell Biol. 2018, 19, 1. [Google Scholar] [CrossRef] [PubMed]
- Estfanous, S.; Daily, K.P.; Eltobgy, M.; Deems, N.P.; Anne, M.N.K.; Krause, K.; Badr, A.; Hamilton, K.; Carafice, C.; Hegazi, A.; et al. Elevated Expression of MiR-17 in Microglia of Alzheimer’s Disease Patients Abrogates Autophagy-Mediated Amyloid-beta Degradation. Front. Immunol. 2021, 12, 705581. [Google Scholar]
- Hu, C.-H.; Sui, B.-D.; Du, F.-Y.; Shuai, Y.; Zheng, C.-X.; Zhao, P.; Yu, X.-R.; Jin, Y. MiR-17-5p modulates osteoblastic differentiation and cell proliferation by targeting SMAD7 in non-traumatic osteonecrosis. Exp. Mol. Med. 2014, 46, e107. [Google Scholar]
- Liu, S.; Tang, G.; Duan, F.; Zeng, C.; Gong, J.; Chen, Y.; Tan, H. MiR-17-5p Inhibits TXNIP/NLRP3 Inflammasome Pathway and Suppresses Pancreatic beta-Cell Pyroptosis in Diabetic Mice. Front. Cardiovasc. Med. 2021, 8, 768029. [Google Scholar] [CrossRef]
- Li, Z.; Zhang, B.; Shang, J.; Wang, Y.; Jia, L.; She, X.; Xu, X.; Zhang, D.; Guo, J.; Zhang, F. Diabetic and nondiabetic BMSC–derived exosomes affect bone regeneration via regulating miR-17-5p/SMAD7 axis. Int. Immunopharmacol. 2023, 125, 111190. [Google Scholar] [CrossRef]
- Pan, K.; Chen, Y.; Roth, M.; Wang, W.; Wang, S.; Yee, A.S.; Zhang, X. HBP1-mediated transcriptional regulation of DNA methyltransferase 1 and its impact on cell senescence. Mol. Cell Biol. 2013, 33, 887–903. [Google Scholar] [CrossRef] [PubMed]
- Yang, K.; Hitomi, M.; Stacey, D.W. Variations in cyclin D1 levels through the cell cycle determine the proliferative fate of a cell. Cell Div. 2006, 1, 32. [Google Scholar] [CrossRef]
- Huesca-Gomez, C.; Torres-Paz, Y.E.; Martinez-Alvarado, R.; Fuentevilla-Alvarez, G.; Del Valle-Mondragon, L.; Torres-Tamayo, M.; Soto, M.E.; Gamboa, R. Association between the transporters ABCA1/G1 and the expresión of miR-33a/144 and the carotid intima media thickness in patients with arterial hypertension. Mol. Biol. Rep. 2019, 47, 1321–1329. [Google Scholar] [CrossRef]
- Xie, Q.; Peng, J.; Guo, Y.; Li, F. MicroRNA-33-5p inhibits cholesterol efflux in vascular endothelial cells by regulating citrate synthase and ATP-binding cassette transporter A1. BMC Cardiovasc. Disord. 2021, 21, 433. [Google Scholar] [CrossRef] [PubMed]
- Nagpal, N.; Kulshreshtha, R. miR-191: An emerging player in disease biology. Front. Genet. 2014, 5, 99. [Google Scholar] [CrossRef]
- Gu, Y.; Ampofo, E.; Menger, M.D.; Laschke, M.W. miR-191 suppresses angiogenesis by activation of NF-kB signaling. FASEB J. 2017, 31, 3321–3333. [Google Scholar] [CrossRef]
- Dangwal, S.; Stratmann, B.; Bang, C.; Lorenzen, J.M.; Kumarswamy, R.; Fiedler, J.; Falk, C.S.; Scholz, C.J.; Thum, T.; Tschoepe, D. Impairment of Wound Healing in Patients With Type 2 Diabetes Mellitus Influences Circulating MicroRNA Patterns via Inflammatory Cytokines. Arterioscler. Thromb. Vasc. Biol. 2015, 35, 1480–1488. [Google Scholar] [CrossRef] [PubMed]
- Korrodi-Gregório, L.; Silva, J.V.; Santos-Sousa, L.; Freitas, M.J.; Felgueiras, J.; Fardilha, M. TGF-β cascade regulation by PPP1 and its interactors -impact on prostate cancer development and therapy. J. Cell. Mol. Med. 2014, 18, 555–567. [Google Scholar] [CrossRef] [PubMed]
- Yu, J.; Pan, L.; Qin, X.; Chen, H.; Xu, Y.; Chen, Y.; Tang, H. MTMR4 attenuates transforming growth factor beta (TGFbeta) signaling by dephosphorylating R-Smads in endosomes. J. Biol. Chem. 2020, 285, 8454–8462. [Google Scholar] [CrossRef]
- Jones, J.A.; Spinale, F.G.; Ikonomidis, J.S. Transforming growth factor-beta signaling in thoracic aortic aneurysm development: A paradox in pathogenesis. J. Vasc. Res. 2009, 46, 119–137. [Google Scholar] [CrossRef] [PubMed]
- Qian, M.; Xueqin, Y.; Lina, Z.; Liuxuan, A.; Shulan, Z.; Lin, N.; Chong, G. miR-191-5p inhibits angiogenesis in diabetic foot ulcers wound healing via regulating VEGF. Eur. J. Med. Res. 2025, 30, 1055. [Google Scholar]
- Ramanjaneya, M.; Bettahi, I.; Pawar, K.; Halabi, N.M.; Moin, A.S.M.; Sathyapalan, T.; Abou-Samra, A.B.; Atkin, S.L.; Butler, A.E. Microrna changes up to 24 h following induced hypoglycemia in type 2 diabetes. Int. J. Mol. Sci. 2022, 23, 14696. [Google Scholar] [CrossRef] [PubMed]
- Iacomino, G.; Lauria, F.; Russo, P.; Venezia, A.; Iannaccone, N.; Marena, P.; Ahrens, W.; De Henauw, S.; Molnár, D.; Eiben, G.; et al. The association of circulating miR-191 and miR-375 expression levels with markers of insulin resistance in overweight children: An exploratory analysis of the I.family study. Genes Nutr. 2021, 16, 10. [Google Scholar] [CrossRef] [PubMed]
- Krause, B.J.; Carrasco-Wong, I.; Dominguez, A.; Arnaiz, P.; Farías, M.; Barja, S.; Mardones, F.; Casanello, P. Micro-RNAs Let7e and 126 in Plasma as Markers of Metabolic Dysfunction in 10 to 12-year-old Children. PLoS ONE 2015, 10, e0128140. [Google Scholar] [CrossRef] [PubMed]
- Baca, P.; Barrera, E.; Kuri, P.A.; Torres, J.; González-Carballo, C.; Zarza, A.; Rivas, F.; Vecchyo, G.D.; Pérez-Flores, O.; Pantoja, C.A.; et al. Complex relationship between Amerindian ancestry obesity in the Mexican population. Gac. Med. México 2025, 161, 41–47. [Google Scholar] [CrossRef]
- Kuri-Morales, P.; Ortiz-Lopez, R.; Gonzalez-Castillo, E.C.; Rubio-Infante, N.; Ramirez-Vega, J.; Chavez-Santoscoy, R.A.; Torre-Amione, G. OriGen cohort: A Mexican population-based epidemiological and genomic research platform. J. Epidemiol. Community Health. 2026, 80, 97–104. [Google Scholar] [CrossRef] [PubMed]
- Fuentevilla-Alvarez, G.; Soto, M.E.; Robles-Herrera, G.J.; Vargas-Alarcón, G.; Sámano, R.; Meza-Toledo, S.E.; Huesca-Gómez, C.; Gamboa, R. Analysis of Circulating miRNA Expression Profiles in Type 2 Diabetes Patients with Diabetic Foot Complications. Int. J. Mol. Sci. 2024, 25, 7078. [Google Scholar] [CrossRef]
- Friedewald, W.T.; Levi, R.I.; Fredrickson, D.S. Estimation of concentration of low-density lipoproteins cholesterol in plasma without use of the preparative ultracentrifuge. Clin. Chem. 1972, 18, 499–502. [Google Scholar] [CrossRef] [PubMed]
- De Long, D.A.; De Long, E.R.; Weed, P.D. The comparation of methods for the estimation of plasma low and very low density lipoproteins cholesterol. J. Am. Med. Assoc. 1986, 286, 2372–2377. [Google Scholar] [CrossRef]
- NOM-037-SSA2-2012; Mexican Official Norm NOM-037-SSA2-2012. For the Prevention, Treatment and Control of Dyslipidemias. Secretaría de Salud: Mexico City, Mexico, 2012.
- Livak, K.J.; Schmittgen, T.D. Analysis of Relative Gene Expression Data Using Real-Time Quantitative PCR and the 2−ΔΔCT Method. Methods 2001, 25, 402–408. [Google Scholar] [CrossRef] [PubMed]




| Variable | Controls n = 50 | Foot Ulcers n= 31 | Lower Limb Amputation n = 20 | P1 | P2 | P3 |
|---|---|---|---|---|---|---|
| Age (years) | 47.8 ± 5.1 | 53.2 ± 13.3 | 62.5 ± 11.7 | 0.052 | 0.000 | 0.004 |
| Sex (M/F) | 30/20 | 0.573 | 0.071 | 0.911 | ||
| Weight (Kg) | 69.9 ± 11.5 | 73.8 ± 16.7 | 78.8 ± 14.5 | 0.694 | 0.051 | 0.670 |
| BMI (Kg/m2) | 25.1 ± 2.9 | 28.3 ± 5.7 | 29.3 ± 6.0 | 0.010 | 0.002 | 1.000 |
| TC (mg/dL) | 186.22 ± 37.5 | 223.6 ± 47.9 | 243.9 ± 33.0 | 0.000 | 0.000 | 0.257 |
| HDL-C (mg/dL) | 46.4 ± 12.6 | 34.4 ± 2.9 | 35.2 ± 3.1 | 0.000 | 0.000 | 1.000 |
| LDL-C (mg/dL) | 113.47 ± 32.2 | 130.4 ± 18.3 | 139.7 ± 39.4 | 0.139 | 0.025 | 1.000 |
| Tryglicerides (mg/dL) | 137.2 ± 77.9 | 136.4 ± 18.3 | 134.7 ± 19.3 | 1.000 | 1.000 | 1.000 |
| Glucose (mg/dL) | 92.6 ± 8.8 | 129.2 ± 16.2 | 152.0 ± 61.5 | 0.001 | 0.000 | 0.180 |
| SBP (mmHg) | 127.3 ± 20.2 | 124.2 ± 16.2 | 125.0 ± 12.7 | 1.000 | 1.000 | 1.000 |
| DBP (mmHg) | 86.4 ± 20.4 | 79.9 ± 9.0 | 73.3 ± 11.4 | 0.005 | 0.013 | 1.000 |
| CFx (bm) | 77.0 ± 12.1 | 101.7 ± 32.2 | 115.2 ± 21.0 | 0.000 | 0.000 | 0.102 |
| Amputation Group | |
|---|---|
| Sex Women/Men % | 30/70 |
| Supracondylar/Infracondylar % | 20/80 |
| Evolution Years medium (Supracondylar/Infracondylar) | 9.5/6.3 |
| Wagner Grade | Grade V |
| (SAH) % | 90 |
| Smoking % | 20 |
| Medication | Insulin, Metformin, Irbesartan, Hydrochlorothiazide, atorvastatin, ACEI, beta blockers |
| Controls | ||||||||||
| Age | Sex | BMI | TC | HDL-C | LDL-C | TG | Glucose | SBP | DBP | |
| miR-17 | 0.080 (0.580) | 0.145 (0.316) | −0.047 (0.744) | 0.050 (0.729) | 0.001 (0.995) | −0.014 (0.923) | 0.113 (0.436) | −0.086 (0.554) | 0.012 (0.934) | −0.052 (0.718) |
| miR-19 | −0.105 (0.469) | 0.055 (0.705) | −0.101 (0.487) | −0.098 (0.496) | 0.107 (0.460) | −0.267 (0.150) | 0.044 (0.763) | −0.163 (0.269) | 0.086 (0.553) | 0.054 (0.709) |
| miR-7e | −0.008 (0.957) | −0.027 (0.853) | −0.127 (0.381) | −0.215 (0.134) | 0.058 (0.687) | 0.243 (0.089) | −0.129 (0.371) | −0.203 (0.157) | 0.019 (0.897) | −0.002 (0.989) |
| miR-33 | 0.256 (0.673) | 0.333 (0.019) | 0.034 (0.814) | 0.171 (0.235) | 0.083 (0.567) | 0.163 (0.259) | 0.044 (0.764) | −0.033 (0.822) | −0.491 (0.000) | −0.115 (0.430) |
| miR-144 | 0.128 (0.374) | −0.009 (0.374) | 0.253 (0.076) | −0.096 (0.509) | −0.280 (0.049) | −0.059 (0.049) | 0.128 (0.377) | 0.021 (0.885) | −0.192 (0.182) | 0.235 (0.105) |
| Foot ulcers | ||||||||||
| Age | Sex | BMI | TC | HDL-C | LDL-C | TG | Glucose | SBP | DBP | |
| miR-17 | −0.064 (0.745) | −0.094 (0.629) | −0.083 (0.679) | 0.138 (0.457) | 0.076 (0.683) | 0.149 (0.423) | −0.360 (0.047) | −0.094 (0.616) | −0.073 (0.713) | 0.049 (0.803) |
| miR-191 | −0.034 (0.864) | 0.223 (0.346) | 0.218 (0.275) | 0.088 (0.637) | 0.0105 (0.575) | −0.091 (0.624) | −0.361 (0.046) | −0.280 (0.128) | −0047 (0.698) | −0.010 (0.961) |
| miR-7e | −0.004 (0.485) | −0.266 (0.163) | −0.308 (0.118) | 0.110 (0.566) | 0.078 (0.676) | −0.044 (0.812) | 0.342 (0.060) | −0.181 (0.331) | −0.125 (0.528) | −0.081 (0.683) |
| miR-33 | 0.308 (0.110) | −0.284 (0.135) | −0.201 (0.316) | −0.196 (0.292) | 0.224 (0.228) | −0.345 (0.057) | −0.034 (0.855) | 0.041 (0.826) | −0.143 (0.469) | −0.377 (0.048) |
| miR-144 | −0.013 (0.375) | −0.068 (0.727) | −0.191 (0.340) | 0.123 (0.510) | 0.069 (0.711) | 0.105 (0.573) | −0.409 (0.022) | −0.136 (0.466) | −0.024 (0.905) | −0.001 (0.998) |
| Lower limb amputation | ||||||||||
| Age | Sex | BMI | TC | HDL-C | LDL-C | TG | Glucose | SBP | DBP | |
| miR-17 | −0.087 (0.716) | −0.006 (0.981) | 0.311 (0.182) | 0.584 (0.007) | −0.129 (0.588) | 0.495 (0.026) | −0.315 (0.176) | 0.123 (0.604) | 0.337 (0.171) | 0.163 (0.517) |
| miR-191 | 0.236 (0.333) | 0.317 (0.173) | −0.195 (0.410) | 0.183 (0.440) | −0.476 (0.034) | 0.052 (0.827) | −0.192 (0.418) | 0.682 (0.001) | −0.155 (0.539) | 0.327 (0.186) |
| miR-7e | 0.231 (0.327) | 0.280 (0.232) | −0.168 (0.480) | 0.239 (0.309) | −0.491 (0.028) | −0.053 (0.824) | −0.100 (0.676) | 0.543 (0.013) | −0.097 (0.703) | −0.356 (0.147) |
| miR-33 | 0.085 (0.721) | 0.309 (0.185) | 0.039 (0.870) | 0.094 (0.694) | −0.681 (0.001) | −0.380 (0.098) | 0.062 (0.796) | 0.372 (0.107) | −0.194 (0.441) | −0.212 (0.399) |
| miR-144 | 0.158 (0.505) | 0.397 (0.083) | −0.333 (0.156) | −0.133 (0.635) | −0.527 (0.017) | −0.344 (0.134) | −0.143 (0.547) | 0.733 (0.000) | −0.085 (0.737 | −0.262 (0.294) |
| Without Obesity | Controls Median (Min–Max) Q1, Q2, Q3 | Foot Ulcers Median (Min–Max) Q1, Q2, Q3 | Lower Limb Amputation Median (Min–Max) Q1, Q2, Q3 | P1 | P2 | P3 |
| miR-17 | 1.07 (0.36–2.32) 0.48–1.07–1.95 | 2.32 (1.19–3.38) 1.51–2.32–2.88 | 2.24 (1.36–2.95) 1.65–2.24–2.70 | 0.002 | 0.053 | 1.000 |
| miR-191 | 1.07 (0.74–1.35) 0.55–1.07–1.23 | 2.79 (1.24–4.33) 1.88–2.79–3.63 | 1.85 (1.02–2.35) 1.66–1.85–2.05 | 0.002 | 0.024 | 1.000 |
| miR-7e | 1.13 (0.92–1.34) 0.96–1.13–1.23 | 2.32 (0.92–3.72) 1.25–2.32–3.12 | 2.16 (0.51–3.82) 1.21–2.16–3.33 | 0.016 | 0.205 | 1.000 |
| miR-33 | 0.99 (0.82–1.17) 0.85–0.99–1.05 | 1.60 (0.98–2.21) 1.23–1.60–1.88 | 1.43 (0.44–3.31) 0.78–1.43–2.78 | 0.056 | 0.615 | 1.000 |
| miR-144 | 1.05 (0.93–1.18) 0.97–1.05–1.10 | 1.21 (0.16–2.25) 0.45–1.21–1.98 | 1.22 (0.53–2.99) 0.88–1.22–2.32 | 1.000 | 1.000 | 1.000 |
| With obesity | Controls Median (min–max) Q1, Q2, Q3 | Foot ulcers Median (min–max) Q1, Q2, Q3 | Lower limb amputation Median (min–max) Q1, Q2, Q3 | P1 | P2 | P3 |
| miR-17 | 0.93 (0.72–1.13) 0.84–0.93–1.09 | 2.30 (1.63–2.48) 1.88–2.30–2.39 | 2.77 (2.32–3.01) 2.46–2.77–2.91 | 0.000 | 0.000 | 0.086 |
| miR-191 | 0.92 (0.67–1.28) 0.84–0.92–1.21 | 2.05 (1.63–2.48) 1.82–2.05–2.26 | 3.14 (2.67–3.60) 2.84–3.14–3.22 | 0.000 | 0.000 | 0.000 |
| miR-7e | 0.87 (0.65–1.09) 0.76–0.87–1.01 | 1.62 (1.17–2.06) 1.35–1.62–1.88 | 2.43 (2.04–2.83) 2.23–2.43–2.65 | 0.004 | 0.000 | 0.005 |
| miR-33 | 1.00 (0.78–1.21) 0.86–1.00–1.14 | 1.44 (0.83–2.05) 1.09–1.44–1.74 | 1.67 (1.33–2.01) 1.48–1.68–1.88 | 0.252 | 0.039 | 1.000 |
| miR-144 | 0.94 (0.75–1.13) 0.83–0.94–1.06 | 1.06 (0.79–1.32) 0.90–1.06–1.19 | 1.14 (0.73–1.56) 0.88–1.14–1.32 | 1.000 | 0.825 | 1.000 |
| Hipo-α | Controls Median (min–max) Q1, Q2, Q3 | Foot ulcers Median (min–max) Q1, Q2, Q3 | Lower limb amputation Median (min–max) Q1, Q2, Q3 | P1 | P2 | P3 |
| miR-17 | 0.91 (0.38–1.62) 0.54–0.91–1.48 | 2.25 (1.26–3.38) 1.62–2.25–3.02 | 2.66 (1.36–3.33) 1.99–2.66–3.09 | 0.000 | 0.000 | 0.063 |
| miR-191 | 0.83 (0.43–1.75) 0.63–0.83–1.56 | 2.25 (1.26–5.32) 1.65–2.25–4.78 | 3.08 (1.31–4.49) 2.37–3.08–4.10 | 0.000 | 0.000 | 0.010 |
| miR-7e | 0.90 (0.51–1.58) 0.65–0.90–1.39 | 1.80 (1.58–4.55) 1.65–1.80–3.69 | 2.38 (0.82–3.58) 1.34–2.38–3.21 | 0.009 | 0.000 | 0.028 |
| miR-33 | 1.01 (0.12–1.71) 0.39–1.01–1.56 | 1.45 (1.10–5.47) 1.30–1.45–4.86 | 1.62 (0.02–2.47) 0.88–1.62–2.13 | 0.058 | 0.006 | 0.511 |
| miR-144 | 1.14 (0.22–2.10) 0.44–1.14–1.89 | 1.10 (0.20–2.65) 0.57–1.10–2.24 | 1.16 (0.13–2.51) 0.52–1.16–2.22 | 0.884 | 0.908 | 0.806 |
| HiperTG | Controls Median (min–max) Q1, Q2, Q3 | Foot ulcers Median (min–max) Q1, Q2, Q3 | Lower limb amputation Median (min–max) Q1, Q2, Q3 | P1 | P2 | P3 |
| miR-17 | 1.03 (0.35–2.32) 1.51–1.03–2.06 | 2.02 (1.19–3.19) 1.65–2.02–2.88 | 2.34 (1.36–3.02) 1.69–2.35–2.78 | 0.000 | 0.000 | 0.206 |
| miR-191 | 1.05 (0.43–2.19) 0.63–1.05–1.88 | 1.77 (1.26–3.01) 1.39–1.77–2.59 | 2.70 (1.31–4.49) 1.88–2.70–3.99 | 0.000 | 0.000 | 0.028 |
| miR-7e | 0.84 (0.51–2.02) 0.60–0.84–1.89 | 1.39 (0.58–2.66) 0.99–1.39–2.11 | 1.98 (0.82–3.58) 1.22–1.98–2.87 | 0.014 | 0.000 | 0.318 |
| miR-33 | 1.00 (0.12–1.71) 0.41–1.00–1.58 | 1.71 (0.46–2.70) 0.58–1.71–2.33 | 1.48 (0.96–1.83) 1.21–1.48–1.65 | 0.308 | 0.120 | 1.000 |
| miR-144 | 1.09 (0.36–1.60) 0.56–1.09–1.38 | 0.68 (0.20–1.79) 0.45–0.68–1.23 | 0.89 (0.13–2.51) 0.48–0.89–2.11 | 1.000 | 1.000 | 1.000 |
Disclaimer/Publisher’s Note: The statements, opinions and data contained in all publications are solely those of the individual author(s) and contributor(s) and not of MDPI and/or the editor(s). MDPI and/or the editor(s) disclaim responsibility for any injury to people or property resulting from any ideas, methods, instructions or products referred to in the content. |
© 2026 by the authors. Licensee MDPI, Basel, Switzerland. This article is an open access article distributed under the terms and conditions of the Creative Commons Attribution (CC BY) license.
Share and Cite
Gamboa, R.; Sámano, R.; Peña-Peña, M.; Castrejon-Téllez, V.; Chávez-Nava, A.P.; Aguilar-Martínez, G.; Huesca-Gómez, C. Analysis of Circulating MicroRNAs in Patients with Diabetic Foot Ulcers and Lower Limb Amputation. Int. J. Mol. Sci. 2026, 27, 3516. https://doi.org/10.3390/ijms27083516
Gamboa R, Sámano R, Peña-Peña M, Castrejon-Téllez V, Chávez-Nava AP, Aguilar-Martínez G, Huesca-Gómez C. Analysis of Circulating MicroRNAs in Patients with Diabetic Foot Ulcers and Lower Limb Amputation. International Journal of Molecular Sciences. 2026; 27(8):3516. https://doi.org/10.3390/ijms27083516
Chicago/Turabian StyleGamboa, Ricardo, Reyna Sámano, Mario Peña-Peña, Vicente Castrejon-Téllez, Alexa Paola Chávez-Nava, Guadalupe Aguilar-Martínez, and Claudia Huesca-Gómez. 2026. "Analysis of Circulating MicroRNAs in Patients with Diabetic Foot Ulcers and Lower Limb Amputation" International Journal of Molecular Sciences 27, no. 8: 3516. https://doi.org/10.3390/ijms27083516
APA StyleGamboa, R., Sámano, R., Peña-Peña, M., Castrejon-Téllez, V., Chávez-Nava, A. P., Aguilar-Martínez, G., & Huesca-Gómez, C. (2026). Analysis of Circulating MicroRNAs in Patients with Diabetic Foot Ulcers and Lower Limb Amputation. International Journal of Molecular Sciences, 27(8), 3516. https://doi.org/10.3390/ijms27083516

