Subtype-Consistent Upregulation of Ferroptosis-Associated Pathways in Breast Cancer with Heterogeneous Prognostic Implications and Systemic Response to Cryoablation
Abstract
1. Introduction
2. Results
2.1. Differential Expression of Ferroptosis-Related Genes in Breast Cancer Subtypes
2.2. Validation of Ferroptosis-Related Gene Expression by RT-qPCR
2.3. Differential Expression of miRNAs Associated with Ferroptosis-Related mRNAs Across Breast Cancer Subtypes
2.4. Enzyme-Linked Immunosorbent Assay (ELISA)-Based Quantification of Ferroptosis-Related Proteins Across Breast Cancer Subtype
2.5. Temporal Changes in mRNA and Protein Expression Following Cryoablation in Women with Fibroadenoma
2.6. Functional Enrichment and PPI Analysis of Core Ferroptosis-Related Genes
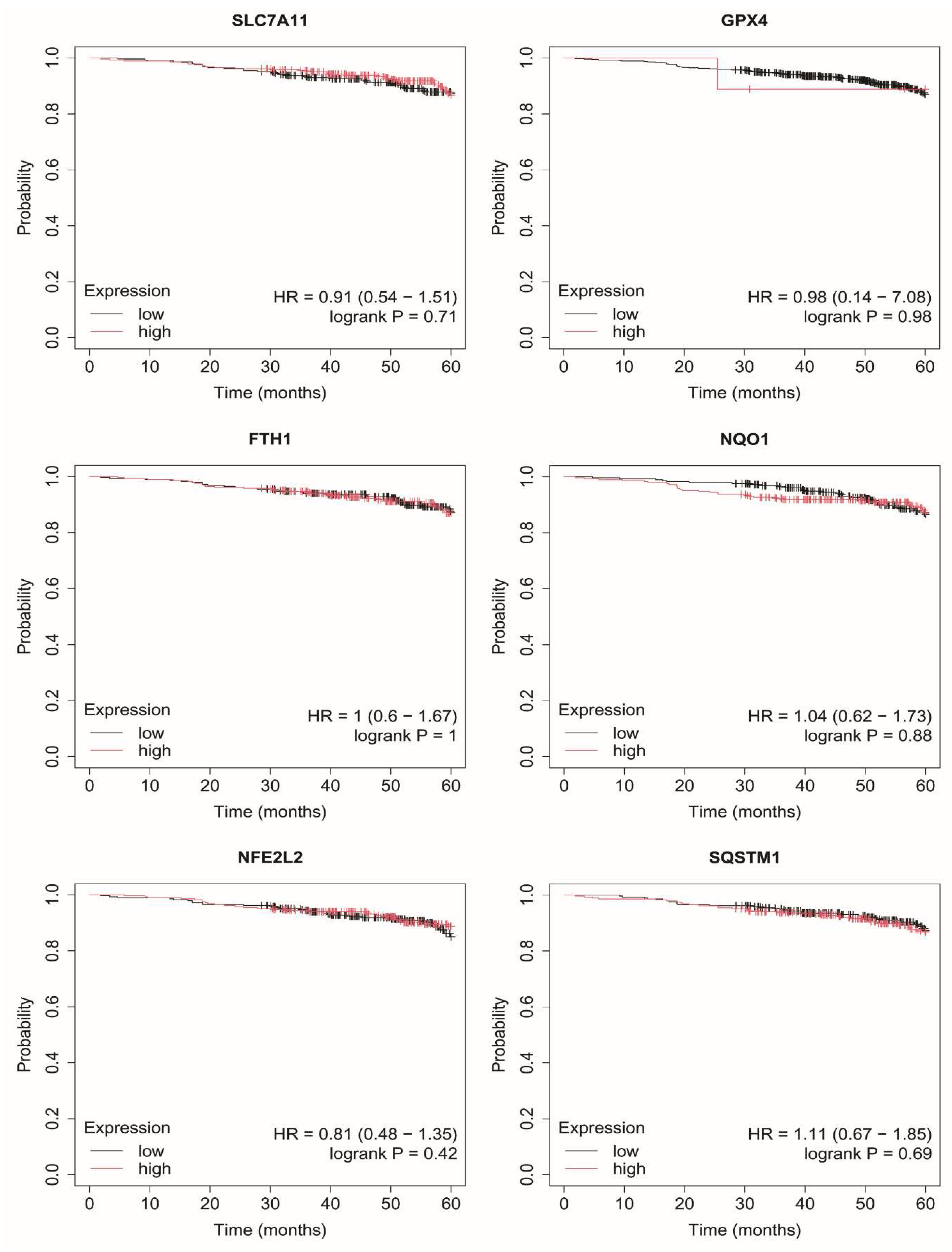
2.7. Overall Survival of Breast Cancer Patients
3. Discussion
4. Materials and Methods
4.1. Study Design
4.2. Patients with Breast Cancer
4.3. Patients with Fibroadenoma
4.4. Total RNA Extraction from Tissue
4.5. Microarray Profiling of Ferroptosis-Related Genes
4.6. Global Profiling of Ferroptosis-Related miRNAs and Target Prediction
4.7. qRT-PCR Validation
4.8. Protein Quantification by ELISA
4.9. Statistical Analysis
Sample Size Determination
5. Conclusions
Author Contributions
Funding
Institutional Review Board Statement
Informed Consent Statement
Data Availability Statement
Conflicts of Interest
Abbreviations
| ACLY | ATP citrate lyase |
| ADGRG1 | Adhesion G protein-coupled receptor G1 |
| AIFM2 (FSP1) | Apoptosis-inducing factor mitochondria-associated 2 (ferroptosis suppressor protein 1) |
| ANOVA | Analysis of variance |
| BMI | Body mass index |
| cDNA | Complementary DNA |
| Ct | Cycle threshold |
| ELISA | Enzyme-linked immunosorbent assay |
| FDR | False discovery rate |
| FC | Fold change |
| FTH1 | Ferritin heavy chain 1 |
| GPX4 | Glutathione peroxidase 4 |
| HDAC3 | Histone deacetylase 3 |
| HER2 | Human epidermal growth factor receptor 2 |
| HMOX1 | Heme oxygenase 1 |
| IHC | Immunohistochemistry |
| miRNA | MicroRNA |
| mRNA | Messenger RNA |
| MSigDB | Molecular Signatures Database |
| NFE2L2 (NRF2) | Nuclear factor erythroid 2-related factor 2 |
| NINJ1 | Ninjurin 1 |
| NQO1 | NAD(P)H quinone dehydrogenase 1 |
| PPI | Protein–protein interaction |
| qRT-PCR | Quantitative reverse transcription polymerase chain reaction |
| RNA | Ribonucleic acid |
| RT | Reverse transcription |
| SC5D | Sterol-C5-desaturase |
| SD | Standard deviation |
| SLC25A1 | Solute carrier family 25 member 1 |
| SLC39A7 | Solute carrier family 39 member 7 |
| SLC7A11 | Solute carrier family 7 member 11 (cystine/glutamate antiporter, system Xc− light chain) |
| SQSTM1 | Sequestosome 1 |
| STRING | Search Tool for the Retrieval of Interacting Genes/Proteins |
| TNBC | Triple-negative breast cancer |
| TMEM164 | Transmembrane protein 164 |
| TNM | Tumor–Node–Metastasis classification |
References
- Caswell-Jin, J.L.; Sun, L.P.; Munoz, D.; Lu, Y.; Li, Y.; Huang, H.; Hampton, J.M.; Song, J.; Jayasekera, J.; Schechter, C.; et al. Analysis of Breast Cancer Mortality in the US—1975 to 2019. JAMA 2024, 331, 233–241. [Google Scholar] [CrossRef]
- Giaquinto, A.N.; Sung, H.; Newman, L.A.; Freedman, R.A.; Smith, R.A.; Star, J.; Jemal, A.; Siegel, R.L. Breast Cancer Statistics 2024. CA Cancer J. Clin. 2024, 74, 477–495. [Google Scholar] [CrossRef] [PubMed]
- Kang, B.; Lee, J.; Jung, J.H.; Kim, W.W.; Keum, H.; Park, H.Y. Differences in Clinical Outcomes between HER2-Negative and HER2-Positive Luminal B Breast Cancer. Medicine 2023, 102, e34772. [Google Scholar] [CrossRef] [PubMed]
- Devaux, A.; Beniuga, G.; Delrée, P.; Quaghebeur, C.; Henry, S.; Van Bockstal, M.; Galant, C.; Lefevre, S.; Korman, D.; Verschaeve, V.; et al. Evaluation of Short-Course Durvalumab Combined with Dose-Dense EC in the Neoadjuvant Setting for Locally Advanced Luminal B/HER2(-) or Triple-Negative Breast Cancer. Breast Cancer Res. 2025, 27, 212. [Google Scholar] [CrossRef] [PubMed]
- Castellarnau-Visús, M.; Soveral, I.; Regueiro Espín, P.; Pineros Manzano, J.; Del Río Holgado, M. Prognostic Factors in Luminal B-like HER2-Negative Breast Cancer Tumors. Surg. Oncol. 2023, 49, 101968. [Google Scholar] [CrossRef]
- Wang, J.; Wu, S.-G. Breast Cancer: An Overview of Current Therapeutic Strategies, Challenge, and Perspectives. Breast Cancer Targets Ther. 2023, 15, 721–730. [Google Scholar] [CrossRef]
- Saha, T.; Lukong, K.E. Breast Cancer Stem-Like Cells in Drug Resistance: A Review of Mechanisms and Novel Therapeutic Strategies to Overcome Drug Resistance. Front. Oncol. 2022, 12, 856974. [Google Scholar] [CrossRef]
- D’Amico, M.; De Amicis, F. Challenges of Regulated Cell Death: Implications for Therapy Resistance in Cancer. Cells 2024, 13, 1083. [Google Scholar] [CrossRef]
- Li, Y.; Du, Y.; Zhou, Y.; Chen, Q.; Luo, Z.; Ren, Y.; Chen, X.; Chen, G. Iron and Copper: Critical Executioners of Ferroptosis, Cuproptosis and Other Forms of Cell Death. Cell Commun. Signal. 2023, 21, 327. [Google Scholar] [CrossRef]
- Zhang, S.; Xin, W.; Anderson, G.J.; Li, R.; Gao, L.; Chen, S.; Zhao, J.; Liu, S. Double-Edge Sword Roles of Iron in Driving Energy Production versus Instigating Ferroptosis. Cell Death Dis. 2022, 13, 40. [Google Scholar] [CrossRef]
- Mortensen, M.S.; Ruiz, J.; Watts, J.L. Polyunsaturated Fatty Acids Drive Lipid Peroxidation during Ferroptosis. Cells 2023, 12, 804. [Google Scholar] [CrossRef] [PubMed]
- Naowarojna, N.; Wu, T.W.; Pan, Z.; Li, M.; Han, J.R.; Zou, Y. Dynamic Regulation of Ferroptosis by Lipid Metabolism. Antioxid. Redox Signal. 2023, 39, 59–78. [Google Scholar] [CrossRef] [PubMed]
- Fujii, J.; Yamada, K. Defense Systems to Avoid Ferroptosis Caused by Lipid Peroxidation-Mediated Membrane Damage. Free Radic. Res. 2023, 57, 353–372. [Google Scholar] [CrossRef] [PubMed]
- Lu, D.; Xia, B.; Feng, T.; Qi, G.; Ma, Z. The Role of Cancer Organoids in Ferroptosis, Pyroptosis, and Necroptosis: Functions and Clinical Implications. Biomolecules 2025, 15, 659. [Google Scholar] [CrossRef]
- Shan, Z.; Liu, F. Targeting Ferroptosis, Pyroptosis and Necroptosis for Cancer Immunotherapy in Melanoma: Mechanistic Insights and Clinical Perspectives. Front. Immunol. 2025, 16, 1629620. [Google Scholar] [CrossRef]
- Glibetic, N.; Weichhaus, M. Metabolic Regulation of Ferroptosis in Breast Cancer. Int. J. Mol. Sci. 2025, 26, 9686. [Google Scholar] [CrossRef]
- Li, S.; Yuan, H.; Li, L.; Li, Q.; Lin, P.; Li, K. Oxidative Stress and Reprogramming of Lipid Metabolism in Cancers. Antioxidants 2025, 14, 201. [Google Scholar] [CrossRef]
- Zhang, C.; Liu, X.; Jin, S.; Chen, Y.; Guo, R. Ferroptosis in Cancer Therapy: A Novel Approach to Reversing Drug Resistance. Mol. Cancer 2022, 21, 47. [Google Scholar] [CrossRef]
- Koeberle, S.C.; Kipp, A.P.; Stuppner, H.; Koeberle, A. Ferroptosis-Modulating Small Molecules for Targeting Drug-Resistant Cancer: Challenges and Opportunities in Manipulating Redox Signaling. Med. Res. Rev. 2023, 43, 614–682. [Google Scholar] [CrossRef]
- Zhao, H.; Zhang, M.; Zhang, J.; Sun, Z.; Zhang, W.; Dong, W.; Cheng, C.; Yao, Y.; Li, K. Hinokitiol-Iron Complex Is a Ferroptosis Inducer to Inhibit Triple-Negative Breast Tumor Growth. Cell Biosci. 2023, 13, 87. [Google Scholar] [CrossRef]
- Riaz, T.; Saleem, M.A.; Khan, M.U.M.; Rashid, M.A.R.; Zubair, M. Ferroptosis as a Therapeutic Avenue in Triple-Negative Breast Cancer: Mechanistic Insights and Prognostic Potential. Biomedicines 2025, 13, 2037. [Google Scholar] [CrossRef] [PubMed]
- Nie, Z.; Chen, M.; Gao, Y.; Huang, D.; Cao, H.; Peng, Y.; Guo, N.; Wang, F.; Zhang, S. Ferroptosis and Tumor Drug Resistance: Current Status and Major Challenges. Front. Pharmacol. 2022, 13, 879317. [Google Scholar] [CrossRef] [PubMed]
- Wu, Z.-H.; Tang, Y.; Yu, H.; Li, H.-D. The Role of Ferroptosis in Breast Cancer Patients: A Comprehensive Analysis. Cell Death Discov. 2021, 7, 93. [Google Scholar] [CrossRef]
- Wang, D.; Wei, G.; Ma, J.; Cheng, S.; Jia, L.; Song, X.; Zhang, M.; Ju, M.; Wang, L.; Zhao, L.; et al. Identification of the Prognostic Value of Ferroptosis-Related Gene Signature in Breast Cancer Patients. BMC Cancer 2021, 21, 645. [Google Scholar] [CrossRef] [PubMed]
- Dexheimer, P.J.; Cochella, L. MicroRNAs: From Mechanism to Organism. Front. Cell Dev. Biol. 2020, 8, 409. [Google Scholar] [CrossRef]
- Saha, S. Role of microRNA in Oxidative Stress. Stresses 2024, 4, 269–281. [Google Scholar] [CrossRef]
- Ebrahimi, S.O.; Reiisi, S.; Shareef, S. miRNAs, Oxidative Stress, and Cancer: A Comprehensive and Updated Review. J. Cell. Physiol. 2020, 235, 8812–8825. [Google Scholar] [CrossRef]
- Søkilde, R.; Persson, H.; Ehinger, A.; Pirona, A.C.; Fernö, M.; Hegardt, C.; Larsson, C.; Loman, N.; Malmberg, M.; Rydén, L.; et al. Refinement of Breast Cancer Molecular Classification by miRNA Expression Profiles. BMC Genom. 2019, 20, 503. [Google Scholar] [CrossRef]
- Kolesnikov, N.N.; Veryaskina, Y.A.; Titov, S.E.; Rodionov, V.V.; Gening, T.P.; Abakumova, T.V.; Kometova, V.V.; Torosyan, M.K.; Zhimulev, I.F. Expression of Micrornas in Molecular Genetic Breast Cancer Subtypes. Cancer Treat. Res. Commun. 2019, 20, 100026. [Google Scholar] [CrossRef]
- Keum, H.; Cevik, E.; Kim, J.; Demirlenk, Y.M.; Atar, D.; Saini, G.; Sheth, R.A.; Deipolyi, A.R.; Oklu, R. Tissue Ablation: Applications and Perspectives. Adv. Mater. 2024, 36, 2310856. [Google Scholar] [CrossRef]
- Mueller, L.E.; Issa, P.P.; Hussein, M.H.; Elshazli, R.M.; Haidari, M.; Errami, Y.; Shama, M.; Fawzy, M.S.; Kandil, E.; Toraih, E. Clinical Outcomes and Tumor Microenvironment Response to Radiofrequency Ablation Therapy: A Systematic Review and Meta-Analysis. Gland. Surg. 2024, 13, 4–18. [Google Scholar] [CrossRef]
- Graña-López, L.; Pérez-Ramos, T.; Villares, A.; Vázquez-Caruncho, M. Cryoablation of Breast Lesions: Our Experience. Radiología (Engl. Ed.) 2022, 64, 49–53. [Google Scholar] [CrossRef] [PubMed]
- Ramgopal, Y.; Dodelzon, K.; Coffey, K.; Lamparello, N.A. Breast Cryoablation for Management of Benign Fibroadenomas: A Systematic Review of the Literature. Clin. Imaging 2025, 127, 110632. [Google Scholar] [CrossRef] [PubMed]
- Song, X.; Wang, Z.; Tian, Z.; Wu, M.; Zhou, Y.; Zhang, J. Identification of Key Ferroptosis-Related Genes in the Peripheral Blood of Patients with Relapsing-Remitting Multiple Sclerosis and Its Diagnostic Value. Int. J. Mol. Sci. 2023, 24, 6399. [Google Scholar] [CrossRef]
- Baust, J.G.; Snyder, K.K.; Santucci, K.L.; Robilotto, A.T.; Van Buskirk, R.G.; Baust, J.M. Cryoablation: Physical and Molecular Basis with Putative Immunological Consequences. Int. J. Hyperth. 2019, 36, 10–16. [Google Scholar] [CrossRef] [PubMed]
- Zheng, J.; Conrad, M. Ferroptosis: When Metabolism Meets Cell Death. Physiol. Rev. 2025, 105, 651–706. [Google Scholar] [CrossRef]
- Jiang, X.; Stockwell, B.R.; Conrad, M. Ferroptosis: Mechanisms, Biology and Role in Disease. Nat. Rev. Mol. Cell Biol. 2021, 22, 266–282. [Google Scholar] [CrossRef]
- Li, H.; Li, L.; Xue, C.; Huang, R.; Hu, A.; An, X.; Shi, Y. A Novel Ferroptosis-Related Gene Signature Predicts Overall Survival of Breast Cancer Patients. Biology 2021, 10, 151. [Google Scholar] [CrossRef]
- Peng, Y.; Yu, H.; Zhang, Y.; Qu, F.; Tang, Z.; Qu, C.; Tian, J.; Zong, B.; Wang, Y.; Ren, H.; et al. A Ferroptosis-Associated Gene Signature for the Prediction of Prognosis and Therapeutic Response in Luminal-Type Breast Carcinoma. Sci. Rep. 2021, 11, 17610. [Google Scholar] [CrossRef]
- Choi, M.; Shin, J.; Lee, C.-E.; Chung, J.-Y.; Kim, M.; Yan, X.; Yang, W.-H.; Cha, J.-H. Immunogenic Cell Death in Cancer Immunotherapy. BMB Rep. 2023, 56, 275–286. [Google Scholar] [CrossRef]
- Zhang, S.; Guo, L.; Tao, R.; Liu, S. Ferroptosis-Targeting Drugs in Breast Cancer. J. Drug Target. 2025, 33, 42–59. [Google Scholar] [CrossRef]
- Ge, A.; Xiang, W.; Li, Y.; Zhao, D.; Chen, J.; Daga, P.; Dai, C.C.; Yang, K.; Yan, Y.; Hao, M.; et al. Broadening Horizons: The Multifaceted Role of Ferroptosis in Breast Cancer. Front. Immunol. 2024, 15, 1455741. [Google Scholar] [CrossRef]
- Jyotsana, N.; Ta, K.T.; DelGiorno, K.E. The Role of Cystine/Glutamate Antiporter SLC7A11/xCT in the Pathophysiology of Cancer. Front. Oncol. 2022, 12, 858462. [Google Scholar] [CrossRef]
- Lee, J.; Roh, J.-L. SLC7A11 as a Gateway of Metabolic Perturbation and Ferroptosis Vulnerability in Cancer. Antioxidants 2022, 11, 2444. [Google Scholar] [CrossRef] [PubMed]
- Yan, Y.; Teng, H.; Hang, Q.; Kondiparthi, L.; Lei, G.; Horbath, A.; Liu, X.; Mao, C.; Wu, S.; Zhuang, L.; et al. SLC7A11 Expression Level Dictates Differential Responses to Oxidative Stress in Cancer Cells. Nat. Commun. 2023, 14, 3673. [Google Scholar] [CrossRef] [PubMed]
- Su, Z.; Liu, Y.; Wang, L.; Gu, W. Regulation of SLC7A11 as an Unconventional Checkpoint in Tumorigenesis through Ferroptosis. Genes Dis. 2025, 12, 101254. [Google Scholar] [CrossRef] [PubMed]
- Li, S.; Lu, Z.; Sun, R.; Guo, S.; Gao, F.; Cao, B.; Aa, J. The Role of SLC7A11 in Cancer: Friend or Foe? Cancers 2022, 14, 3059. [Google Scholar] [CrossRef]
- Wu, X.; Shen, S.; Qin, J.; Fei, W.; Fan, F.; Gu, J.; Shen, T.; Zhang, T.; Cheng, X. High Co-Expression of SLC7A11 and GPX4 as a Predictor of Platinum Resistance and Poor Prognosis in Patients with Epithelial Ovarian Cancer. BJOG Int. J. Obstet. Gynaecol. 2022, 129, 40–49. [Google Scholar] [CrossRef]
- Xie, Y.; Kang, R.; Klionsky, D.J.; Tang, D. GPX4 in Cell Death, Autophagy, and Disease. Autophagy 2023, 19, 2621–2638. [Google Scholar] [CrossRef]
- Forcina, G.C.; Dixon, S.J. GPX4 at the Crossroads of Lipid Homeostasis and Ferroptosis. Proteomics 2019, 19, 1800311. [Google Scholar] [CrossRef]
- Zhang, X.; Sui, S.; Wang, L.; Li, H.; Zhang, L.; Xu, S.; Zheng, X. Inhibition of Tumor Propellant Glutathione Peroxidase 4 Induces Ferroptosis in Cancer Cells and Enhances Anticancer Effect of Cisplatin. J. Cell. Physiol. 2020, 235, 3425–3437. [Google Scholar] [CrossRef]
- Song, X.; Wang, X.; Liu, Z.; Yu, Z. Role of GPX4-Mediated Ferroptosis in the Sensitivity of Triple Negative Breast Cancer Cells to Gefitinib. Front. Oncol. 2020, 10, 597434. [Google Scholar] [CrossRef] [PubMed]
- Shin, D.; Kim, E.H.; Lee, J.; Roh, J.-L. Nrf2 Inhibition Reverses Resistance to GPX4 Inhibitor-Induced Ferroptosis in Head and Neck Cancer. Free Radic. Biol. Med. 2018, 129, 454–462. [Google Scholar] [CrossRef] [PubMed]
- Yang, L.; Zhang, M.; Liu, M.; Yu, Y.; Zhang, Y.; Yang, J.; Xing, L.; Shao, Z.; Wang, H. Loss of FTH1 Induces Ferritinophagy-Mediated Ferroptosis in Anaemia of Myelodysplastic Syndromes. J. Cell. Mol. Med. 2025, 29, e70350. [Google Scholar] [CrossRef] [PubMed]
- Islam, S.; Hoque, N.; Nasrin, N.; Hossain, M.; Rizwan, F.; Biswas, K.; Asaduzzaman, M.; Rahman, S.; Hoskin, D.W.; Sultana, S.; et al. Iron Overload and Breast Cancer: Iron Chelation as a Potential Therapeutic Approach. Life 2022, 12, 963. [Google Scholar] [CrossRef]
- Ma, S.; Fu, X.; Liu, L.; Liu, Y.; Feng, H.; Jiang, H.; Liu, X.; Liu, R.; Liang, Z.; Li, M.; et al. Iron-Dependent Autophagic Cell Death Induced by Radiation in MDA-MB-231 Breast Cancer Cells. Front. Cell Dev. Biol. 2021, 9, 723801. [Google Scholar] [CrossRef]
- George, A.; Bobby, Z.; Dubashi, B. Utility of Ferritin and Inflammatory Biomarkers in the Diagnosis of Different Stages of Breast Cancer. Saudi Med. J. 2021, 42, 825–831. [Google Scholar] [CrossRef]
- Chang, V.C.; Cotterchio, M.; Khoo, E. Iron Intake, Body Iron Status, and Risk of Breast Cancer: A Systematic Review and Meta-Analysis. BMC Cancer 2019, 19, 543. [Google Scholar] [CrossRef]
- Yu, J.; Zhong, B.; Zhao, L.; Hou, Y.; Ai, N.; Lu, J.-J.; Ge, W.; Chen, X. Fighting Drug-Resistant Lung Cancer by Induction of NAD(P)H:Quinone Oxidoreductase 1 (NQO1)-Mediated Ferroptosis. Drug Resist. Updates 2023, 70, 100977. [Google Scholar] [CrossRef]
- Verma, H.; Singh Bahia, M.; Choudhary, S.; Kumar Singh, P.; Silakari, O. Drug Metabolizing Enzymes-Associated Chemo Resistance and Strategies to Overcome It. Drug Metab. Rev. 2019, 51, 196–223. [Google Scholar] [CrossRef]
- Kuang, F.; Liu, J.; Tang, D.; Kang, R. Oxidative Damage and Antioxidant Defense in Ferroptosis. Front. Cell Dev. Biol. 2020, 8, 586578. [Google Scholar] [CrossRef]
- Ross, D.; Siegel, D. The Diverse Functionality of NQO1 and Its Roles in Redox Control. Redox Biol. 2021, 41, 101950. [Google Scholar] [CrossRef] [PubMed]
- Starcher, C.L.; Pay, S.L.; Singh, N.; Yeh, I.-J.; Bhandare, S.B.; Su, X.; Huang, X.; Bey, E.A.; Motea, E.A.; Boothman, D.A. Targeting Base Excision Repair in Cancer: NQO1-Bioactivatable Drugs Improve Tumor Selectivity and Reduce Treatment Toxicity Through Radiosensitization of Human Cancer. Front. Oncol. 2020, 10, 1575. [Google Scholar] [CrossRef] [PubMed]
- He, F.; Ru, X.; Wen, T. NRF2, a Transcription Factor for Stress Response and Beyond. Int. J. Mol. Sci. 2020, 21, 4777. [Google Scholar] [CrossRef] [PubMed]
- Kitamura, H.; Motohashi, H. NRF2 Addiction in Cancer Cells. Cancer Sci. 2018, 109, 900–911. [Google Scholar] [CrossRef]
- Verza, F.A.; Da Silva, G.C.; Nishimura, F.G. The Impact of Oxidative Stress and the NRF2-KEAP1-ARE Signaling Pathway on Anticancer Drug Resistance. Oncol. Res. 2025, 33, 1819–1834. [Google Scholar] [CrossRef]
- Hallis, S.P.; Kim, J.M.; Kwak, M.-K. Emerging Role of NRF2 Signaling in Cancer Stem Cell Phenotype. Mol. Cells 2023, 46, 153–164. [Google Scholar] [CrossRef]
- Morgenstern, C.; Lastres-Becker, I.; Demirdöğen, B.C.; Costa, V.M.; Daiber, A.; Foresti, R.; Motterlini, R.; Kalyoncu, S.; Arioz, B.I.; Genc, S.; et al. Biomarkers of NRF2 Signalling: Current Status and Future Challenges. Redox Biol. 2024, 72, 103134. [Google Scholar] [CrossRef]
- Sajadimajd, S.; Khazaei, M. Oxidative Stress and Cancer: The Role of Nrf2. Curr. Cancer Drug Targets 2018, 18, 538–557. [Google Scholar] [CrossRef]
- Zhu, D.; Li, Y.; Zhao, L.; Pei, D.; Guo, Y.; Liu, L. SQSTM1/P62 Post-Translational Modifications and Reverse Processes Modulate Disease Pathogenesis via KEAP1-NRF2 Signaling and Selective Autophagy. Antioxid. Redox Signal. 2025, 43, 745–764. [Google Scholar] [CrossRef]
- Lee, D.H.; Park, J.S.; Lee, Y.S.; Han, J.; Lee, D.-K.; Kwon, S.W.; Han, D.H.; Lee, Y.-H.; Bae, S.H. SQSTM1/P62 Activates NFE2L2/NRF2 via ULK1-Mediated Autophagic KEAP1 Degradation and Protects Mouse Liver from Lipotoxicity. Autophagy 2020, 16, 1949–1973. [Google Scholar] [CrossRef]
- Jia, H.; Wei, J.; Zheng, W.; Li, Z. The Dual Role of Autophagy in Cancer Stem Cells: Implications for Tumor Progression and Therapy Resistance. J. Transl. Med. 2025, 23, 583. [Google Scholar] [CrossRef] [PubMed]
- Liu, Y.; He, J.; Chen, J.; Chen, T.; Li, W.; Yang, Z.; Zeng, F. Programmed Cell Death in Triple-Negative Breast Cancer. Cell. Mol. Biol. Lett. 2025, 30, 111. [Google Scholar] [CrossRef] [PubMed]
- Sun, Y.; Xue, Z.; Huang, T.; Che, X.; Wu, G. Lipid Metabolism in Ferroptosis and Ferroptosis-Based Cancer Therapy. Front. Oncol. 2022, 12, 941618. [Google Scholar] [CrossRef] [PubMed]
- Li, Y.; Ran, Q.; Duan, Q.; Jin, J.; Wang, Y.; Yu, L.; Wang, C.; Zhu, Z.; Chen, X.; Weng, L.; et al. 7-Dehydrocholesterol Dictates Ferroptosis Sensitivity. Nature 2024, 626, 411–418. [Google Scholar] [CrossRef]
- Szulc, A.; Woźniak, M. Targeting Ferroptosis as the Achilles’ Heel of Breast Cancer: Mechanisms and Therapeutic Opportunities from a Comprehensive Systematic Review. Int. J. Mol. Sci. 2025, 26, 9902. [Google Scholar] [CrossRef]
- Cai, X.; Zhang, Z.; Yang, X.; Shen, W.; Yuan, L.; Ding, X.; Yu, Y.; Cai, W. Unveiling the Impact of Lipid Metabolism on Triple-Negative Breast Cancer Growth and Treatment Options. Front. Oncol. 2025, 15, 1579423. [Google Scholar] [CrossRef]
- Tufail, M.; Jiang, C.-H.; Li, N. Altered Metabolism in Cancer: Insights into Energy Pathways and Therapeutic Targets. Mol. Cancer 2024, 23, 203. [Google Scholar] [CrossRef]
- Stockwell, B.R.; Jiang, X. The Chemistry and Biology of Ferroptosis. Cell Chem. Biol. 2020, 27, 365–375. [Google Scholar] [CrossRef]
- Liang, B.; Wu, Y. Hsa-miR-26a-5p Improves OSCC Sensitivity to Ferroptosis by Inhibiting SLC7A11. Arch. Oral Biol. 2023, 156, 105807. [Google Scholar] [CrossRef]
- Fazio, S.; Berti, G.; Russo, F.; Evangelista, M.; D’Aurizio, R.; Mercatanti, A.; Pellegrini, M.; Rizzo, M. The miR-28-5p Targetome Discovery Identified SREBF2 as One of the Mediators of the miR-28-5p Tumor Suppressor Activity in Prostate Cancer Cells. Cells 2020, 9, 354. [Google Scholar] [CrossRef] [PubMed]
- Yang, X.; Jin, Y.; Ning, R.; Mao, Q.; Zhang, P.; Zhou, L.; Zhang, C.; Peng, Y.; Chen, N. Electroacupuncture Attenuates Ferroptosis by Promoting Nrf2 Nuclear Translocation and Activating Nrf2/SLC7A11/GPX4 Pathway in Ischemic Stroke. Chin. Med. 2025, 20, 4. [Google Scholar] [CrossRef] [PubMed]
- Tahsin, T.; McPhail, D.K.; Champion, J.D.; Alzahrani, M.A.M.; Hilditch, M.L.; Faris-Orr, A.; Calver, B.L.; Cronin, J.G.; Mareque-Rivas, J.C.; Sexton, D.W.; et al. Targeting NRF2 and FSP1 to Overcome Ferroptosis Resistance in TSC2-Deficient and Cancer Cells. Cancers 2025, 17, 2714. [Google Scholar] [CrossRef] [PubMed]
- Dai, Z.; Liu, J.; Zeng, L.; Shi, K.; Peng, X.; Jin, Z.; Zheng, R.; Zeng, C. Targeting Ferroptosis in Cancer Therapy: Mechanisms, Strategies, and Clinical Applications. Cell Investig. 2025, 1, 100049. [Google Scholar] [CrossRef]
- Ru, Q.; Li, Y.; Chen, L.; Wu, Y.; Min, J.; Wang, F. Iron Homeostasis and Ferroptosis in Human Diseases: Mechanisms and Therapeutic Prospects. Signal Transduct. Target. Ther. 2024, 9, 271. [Google Scholar] [CrossRef]
- Yu, C.; Zhang, T.; Yuan, J.; Su, Y.; Zhang, H.; Xu, L.; Li, X.; Cui, J.; Xu, R.; Zhou, Y.; et al. Methotrexate-Triggered Ferroptosis Suppresses Oral Cancer Progression by Phosphorylated KEAP1-Mediated NRF2 Degradation to Inhibit SLC7A11/GPX4 Signaling Pathway. Cancer Cell Int. 2026, 26, 64. [Google Scholar] [CrossRef]
- Long, Z.; Luo, Y.; Yu, M.; Wang, X.; Zeng, L.; Yang, K. Targeting Ferroptosis: A New Therapeutic Opportunity for Kidney Diseases. Front. Immunol. 2024, 15, 1435139. [Google Scholar] [CrossRef]
- Din, M.A.U.; Lin, Y.; Wang, N.; Wang, B.; Mao, F. Ferroptosis and the Ubiquitin-Proteasome System: Exploring Treatment Targets in Cancer. Front. Pharmacol. 2024, 15, 1383203. [Google Scholar] [CrossRef]
- Dai, S.-M.; Li, F.-J.; Long, H.-Z.; Zhou, Z.-W.; Luo, H.-Y.; Xu, S.-G.; Gao, L.-C. Relationship between miRNA and Ferroptosis in Tumors. Front. Pharmacol. 2022, 13, 977062. [Google Scholar] [CrossRef]
- Saadh, M.J.; Bishoyi, A.K.; Ballal, S.; Singh, A.; Devi, A.; Sharma, G.C.; Valiev, A.; Naidu, K.S.; Bhakuni, P.N.; Sead, F.F. Ferroptosis and Non-Coding RNAs in Breast Cancer: Insights into CAF and TAM Interactions. Discov. Oncol. 2025, 16, 1658. [Google Scholar] [CrossRef]
- Zhang, Q.; Fan, X.; Zhang, X.; Ju, S. Ferroptosis in Tumors and Its Relationship to Other Programmed Cell Death: Role of Non-Coding RNAs. J. Transl. Med. 2023, 21, 514. [Google Scholar] [CrossRef]
- Mahmoudi-Lamouki, R.; Kadkhoda, S.; Hussen, B.M.; Ghafouri-Fard, S. Emerging Role of miRNAs in the Regulation of Ferroptosis. Front. Mol. Biosci. 2023, 10, 1115996. [Google Scholar] [CrossRef]
- Lin, Z.; Feng, Z. MicroRNAs at the Crossroads of Exercise and Ferroptosis: A Regulatory Bridge. Clin. Exp. Med. 2025, 25, 234. [Google Scholar] [CrossRef]
- Díaz de Bustamante Durbán, T.; Roca Navarro, M.J.; Navarro Monforte, Y.; Garrido Alonso, D.; García Martínez, F.; Córdoba Chicote, M.V.; Oliver Goldaracena, J.M. Ultrasound-Guided Cryoablation: Our Experience in Percutaneous Treatment as an Alternative to Surgery for Fibroadenomas of the Breast Lesions. Radiología (Engl. Ed.) 2024, 66, 228–235. [Google Scholar] [CrossRef]
- Zeng, F.; Nijiati, S.; Tang, L.; Ye, J.; Zhou, Z.; Chen, X. Ferroptosis Detection: From Approaches to Applications. Angew. Chem. 2023, 135, e202300379. [Google Scholar] [CrossRef]
- Chen, Z.; Jiang, J.; Fu, N.; Chen, L. Targetting Ferroptosis for Blood Cell-Related Diseases. J. Drug Target. 2022, 30, 244–258. [Google Scholar] [CrossRef] [PubMed]
- Chen, X.; Tsvetkov, A.S.; Shen, H.-M.; Isidoro, C.; Ktistakis, N.T.; Linkermann, A.; Koopman, W.J.H.; Simon, H.-U.; Galluzzi, L.; Luo, S.; et al. International Consensus Guidelines for the Definition, Detection, and Interpretation of Autophagy-Dependent Ferroptosis. Autophagy 2024, 20, 1213–1246. [Google Scholar] [CrossRef] [PubMed]
- Chen, Y.; Fang, Z.-M.; Yi, X.; Wei, X.; Jiang, D.-S. The Interaction between Ferroptosis and Inflammatory Signaling Pathways. Cell Death Dis. 2023, 14, 205. [Google Scholar] [CrossRef]
- Zhang, H.; Chen, N.; Ding, C.; Zhang, H.; Liu, D.; Liu, S. Ferroptosis and EMT Resistance in Cancer: A Comprehensive Review of the Interplay. Front. Oncol. 2024, 14, 1344290. [Google Scholar] [CrossRef]
- Shi, T.-M.; Chen, X.-F.; Ti, H. Ferroptosis-Based Therapeutic Strategies toward Precision Medicine for Cancer. J. Med. Chem. 2024, 67, 2238–2263. [Google Scholar] [CrossRef]
- Panfil, A.; Sirek, T.; Sirek, A.; Zmarzły, N.; Wróbel, M.; Wróbel, Z.; Boroń, K.; Boroń, D.; Ossowski, P.; Stefaniak, M.; et al. Integrated Transcriptomic, Protein, and MicroRNA Profiling Reveals a Conserved Pyroptosis-Related Molecular Signature across Breast Cancer Subtypes. Front. Mol. Biosci. 2026, 13, 1759944. [Google Scholar] [CrossRef]
- Sirek, T.; Sirek, A.; Borawski, P.; Zmarzły, N.; Sułkowska, J.; Król-Jatręga, K.; Opławski, M.; Boroń, D.; Chalcarz, M.; Ossowski, P.; et al. miRNAs in Signal Transduction of SMAD Proteins in Breast Cancer. Int. J. Mol. Sci. 2024, 25, 10088. [Google Scholar] [CrossRef] [PubMed]
- Sirek, T.; Sirek, A.; Opławski, M.; Boroń, D.; Chalcarz, M.; Ossowski, P.; Dziobek, K.; Zmarzły, N.; Strojny, D.; Grabarek, B.O. Expression Profile of Messenger and Micro RNAs Related to the Histaminergic System in Patients with Five Subtypes of Breast Cancer. Front. Oncol. 2024, 14, 1407538. [Google Scholar] [CrossRef] [PubMed]
- Sirek, T.; Sirek, A.; Borawski, P.; Ryguła, I.; Król-Jatręga, K.; Opławski, M.; Boroń, D.; Chalcarz, M.; Ossowski, P.; Dziobek, K.; et al. Expression Profiles of Dopamine-Related Genes and miRNAs Regulating Their Expression in Breast Cancer. Int. J. Mol. Sci. 2024, 25, 6546. [Google Scholar] [CrossRef] [PubMed]
- O’Sullivan, B.; Brierley, J.; Byrd, D.; Bosman, F.; Kehoe, S.; Kossary, C.; Piñeros, M.; Van Eycken, E.; Weir, H.K.; Gospodarowicz, M. The TNM Classification of Malignant Tumours—Towards Common Understanding and Reasonable Expectations. Lancet Oncol. 2017, 18, 849–851. [Google Scholar] [CrossRef]
- Agarwal, V.; Bell, G.W.; Nam, J.-W.; Bartel, D.P. Predicting Effective microRNA Target Sites in Mammalian mRNAs. eLife 2015, 4, e05005. [Google Scholar] [CrossRef]
- Chen, Y.; Wang, X. miRDB: An Online Database for Prediction of Functional microRNA Targets. Nucleic Acids Res. 2020, 48, D127–D131. [Google Scholar] [CrossRef]
- Liu, W.; Wang, X. Prediction of Functional microRNA Targets by Integrative Modeling of microRNA Binding and Target Expression Data. Genome Biol. 2019, 20, 18. [Google Scholar] [CrossRef]
- Győrffy, B. Integrated Analysis of Public Datasets for the Discovery and Validation of Survival-Associated Genes in Solid Tumors. Innovation 2024, 5, 100625. [Google Scholar] [CrossRef]
- Győrffy, B. Transcriptome-Level Discovery of Survival-Associated Biomarkers and Therapy Targets in Non-Small-Cell Lung Cancer. Br. J. Pharmacol. 2024, 181, 362–374. [Google Scholar] [CrossRef]
- Szklarczyk, D.; Kirsch, R.; Koutrouli, M.; Nastou, K.; Mehryary, F.; Hachilif, R.; Gable, A.L.; Fang, T.; Doncheva, N.T.; Pyysalo, S.; et al. The STRING Database in 2023: Protein–Protein Association Networks and Functional Enrichment Analyses for Any Sequenced Genome of Interest. Nucleic Acids Res. 2023, 51, D638–D646. [Google Scholar] [CrossRef]
- Kalkulator Doboru Próby. Available online: https://www.naukowiec.org/dobor.html (accessed on 19 April 2022).
- Krajowy Rejestr Nowotworów. Nowotwór Piersi-2019. Available online: https://onkologia.org.pl/sites/default/files/Pier%C5%9B.pdf (accessed on 1 February 2024).







| Probe Set ID | mRNA | Luminal A vs. Control | Luminal B HER2− vs. Control | Luminal B HER2+ vs. Control | Non-Luminal HER2+ vs. Control | TNBC vs. Control |
|---|---|---|---|---|---|---|
| 207528_s_at | SLC7A11 | +3.42 * | +3.80 * | +4.13 * | +4.43 * | +4.76 * |
| 209921_at | +3.22 * | +3.63 * | +3.93 * | +4.12 * | +4.53 * | |
| 217678_at | +3.34 * | +3.72 * | +4.04 * | +4.34 * | +4.62 * | |
| 201106_at | GPX4 | +3.18 * | +3.41 * | +3.65 * | +3.91 * | +4.21 * |
| 200748_s_at | FTH1 | +3.21 * | +3.52 * | +3.78 * | +4.04 * | +4.39 * |
| 200748_x_at | +3.19 * | +3.43 * | +3.64 * | +3.95 * | +4.14 * | |
| 201467_s_at | NQO1 | +3.32 * | +3.65 * | +3.91 * | +4.22 * | +4.51 * |
| 201468_s_at | +3.24 * | +3.52 * | +3.83 * | +4.11 * | +4.44 * | |
| 210519_s_at | +3.46 * | +3.74 * | +4.03 * | +4.34 * | +4.66 * | |
| 201146_at | NFE2L2 | +3.02 * | +3.35 * | +3.63 * | +3.91 * | +4.11 * |
| 1567013_at | +2.94 * | +3.28 * | +3.55 * | +3.87 * | +4.04 * | |
| 1567015_at | +3.17 * | +3.41 * | +3.77 * | +4.04 * | +4.28 * | |
| 201471_s_at | SQSTM1 | +3.21 * | +3.56 * | +3.71 * | +4.14 * | +4.43 * |
| 213112_s_at | +3.17 * | +3.43 * | +3.68 * | +4.06 * | +4.32 * | |
| 235530_at | +3.32 * | +3.62 * | +3.82 * | +4.22 * | +4.52 * | |
| 239004_at | +3.02 * | +3.36 * | +3.65 * | +3.96 * | +4.17 * | |
| 242568_s_at | +3.14 * | +3.43 * | +3.74 * | +4.03 * | +4.28 * | |
| 244804_at | +3.21 * | +3.56 * | +3.83 * | +4.12 * | +4.33 * | |
| 203665_at | HMOX1 | +1.98 (ns) | +3.22 * | +3.52 * | +3.85 * | +4.02 * |
| 224461_s_at | AIFM2 (FSP1) | +1.63 (ns) | +2.11 (ns) | +3.38 * | +3.65 * | +3.92 * |
| 228445_at | +1.7 2(ns) | +2.05 (ns) | +3.21 * | +3.52 * | +3.88 * | |
| 201790_s_at | DHCR7 | −3.12 * | −1.64 (ns) | −1.81 (ns) | −1.52 (ns) | −3.64 * |
| 201791_s_at | −3.01 * | −1.55 (ns) | −1.75 (ns) | −1.46 (ns) | −3.52 * | |
| 211423_s_at | SC5D | −3.33 * | −1.71 (ns) | −1.93 (ns) | −1.67 (ns) | −3.82 * |
| 215064_at | −3.14 * | −1.65 (ns) | −1.83 (ns) | −1.52 (ns) | −3.68 * | |
| 201127_s_at | ACLY | +2.01 (ns) | +3.11 * | +2.21 (ns) | +2.09 (ns) | +3.72 * |
| 201128_s_at | +2.11 (ns) | +3.03 * | +2.35 (ns) | +2.12 (ns) | +3.61 * | |
| 210337_s_at | +1.91 (ns) | +3.26 * | +2.15 (ns) | +2.04 (ns) | +3.88 * | |
| 210010_s_at | SLC25A1 | +1.85 (ns) | +3.03 * | +2.14 (ns) | +1.95 (ns) | +3.53 * |
| 216326_s_at | HDAC3 | +1.55 (ns) | +3.02 * | +1.70 (ns) | +1.61 (ns) | +1.93 (ns) |
| 203845_at | KAT2B | −3.04 * | −1.54 (ns) | −1.44 (ns) | −1.64 (ns) | −1.84 (ns) |
| 220486_x_at | TMEM164 | +1.72 (ns) | +1.94 (ns) | +3.14 * | +2.16 (ns) | +2.02 (ns) |
| 223201_s_at | +1.62 (ns) | +1.85 (ns) | +3.02 * | +2.02 (ns) | +1.92 (ns) | |
| 223202_s_at | +1.83 (ns) | +2.09 (ns) | +3.22 * | +2.25 (ns) | +2.16 (ns) | |
| 202667_s_at | SLC39A7 | +1.64 (ns) | +1.84 (ns) | +3.24 * | +2.06 (ns) | +2.10 (ns) |
| 206582_s_at | ADGRG1 | +1.43 (ns) | +1.67 (ns) | +1.82 (ns) | +3.12 * | +1.93 (ns) |
| 212070_at | +1.51 (ns) | +1.75 (ns) | +1.96 (ns) | +3.22 * | +2.01 (ns) | |
| 203045_at | NINJ1 | +1.52 (ns) | +1.73 (ns) | +1.91 (ns) | +3.37 * | +2.06 (ns) |
| mRNA | miRNA | Target Score | Luminal A vs. Control (log2FC) | Luminal B HER2− vs. Control (log2FC) | Luminal B HER2+ vs. Control (log2FC) | Non-luminal Her2+ vs. Control (log2FC) | TNBC vs. Control (log2FC) |
|---|---|---|---|---|---|---|---|
| SLC7A11 | hsa-miR-1297 | 100 | −1.69 ± 0.13 * | −1.89 ± 0.43 * | −1.34 ± 0.12 * | −1.19 ± 0.22 * | −1.78 ± 0.19 * |
| hsa-miR-26a-5p | 100 | −2.34 ± 0.12 * | −2.78 ± 0.76 * | −3.33 ± 0.34 * | −3.51 ± 0.21 * | −3.67 ± 0.26 * | |
| NQO1 | hsa-miR-18b-3p | 82 | −2.11 ± 0.81 * | −2.34 ± 0.18 * | −2.34 ± 019 * | −3.87 ± 0.19 * | −3.45 ± 0.55 * |
| NFE2L2 | hsa-miR-28-5p | 82 | −3.23 ± 0.87 * | −3.21 ± 0.13 * | −2.34 ± 0.65 * | −3.87 ± 0.17 * | −3.81 ± 0.41 * |
| Protein | Control Tissue | Luminal A | Luminal B HER2− | Luminal B HER2+ | Non-Luminal HER2+ | TNBC |
|---|---|---|---|---|---|---|
| SLC7A11(ng/mL) | 0.84 ± 0.12 | 2.31 ± 0.38 * | 2.78 ± 0.44 * | 3.35 ± 0.51 * | 3.92 ± 0.63 * | 4.48 ± 0.71 * |
| GPX4 (ng/mL) | 28.6 ± 4.9 | 61.40 ± 9.70 * | 72.3 ± 11.21 * | 86.72 ± 13.40 * | 102.93± 15.62 * | 118.4 ± 18.1 * |
| FTH1 (ng/mL) | 214.87 ± 36.12 | 398.98 ± 64.53 * | 472.12 ± 71.98 * | 556.09 ± 83.76 * | 648.12 ± 97.09 * | 742.12 ± 11.22 * |
| NQO1 (pg/mL) | 182.91 ± 29.12 | 396.01 ± 61.98 * | 468.54 ± 73.91 * | 554.12 ± 86.91 * | 639.11 ± 94.90 * | 731.91 ± 108.12 * |
| NFE2L2(ng/mL) * | 12.8 ± 2.10 | 24.62 ± 3.90 * | 29.30 ± 4.71 * | 34.81 ± 5.63 * | 40.94 ± 6.34 * | 46.70 ± 7.25 * |
| SQSTM1(ng/mL) | 2.14 ± 0.41 | 4.83 ± 0.79 * | 5.71 ± 0.92 * | 6.74 ± 1.05 * | 7.92 ± 1.21 * | 9.18 ± 1.43 * |
| mRNA | T1 vs. T0 (FC) | T2 vs. T0 (FC) | T3 vs. T0 (FC) | T4 vs. T0 (FC) | T5 vs. T0 (FC) | T6 vs. T0 (FC) |
|---|---|---|---|---|---|---|
| SLC7A11 | 1.30 ± 0.18 | 1.92 ± 0.26 * | 1.54 ± 0.22 * | 1.14 ± 0.16 | 1.04 ± 0.14 | 1.01 ± 0.12 |
| GPX4 | 1.24 ± 0.17 | 1.75 ± 0.24 * | 1.46 ± 0.21 * | 1.12 ± 0.15 | 1.03 ± 0.13 | 1.01 ± 0.11 |
| FTH1 | 1.36 ± 0.20 | 2.03 ± 0.29 * | 1.63 ± 0.24 * | 1.20 ± 0.17 | 1.06 ± 0.15 | 1.02 ± 0.13 |
| NQO1 | 1.29 ± 0.18 | 1.85 ± 0.25 * | 1.52 ± 0.22 * | 1.16 ± 0.16 | 1.04 ± 0.14 | 1.01 ± 0.12 |
| NFE2L2 | 1.22 ± 0.16 | 1.66 ± 0.23 * | 1.39 ± 0.20 * | 1.10 ± 0.15 | 1.03 ± 0.13 | 1.01 ± 0.11 |
| SQSTM1 | 1.34 ± 0.19 | 1.98 ± 0.28 * | 1.59 ± 0.23 * | 1.18 ± 0.17 | 1.05 ± 0.14 | 1.02 ± 0.12 |
| Protein | T0 (Baseline) | T1 (30–60 min) | T2 (8–12 h) | T3 (48–72 h) | T4 (7 Days) | T5 (1 Month) | T6 (3 Months) |
|---|---|---|---|---|---|---|---|
| SLC7A11 (ng/mL) | 0.92 ± 0.14 | 1.24 ± 0.19 * | 1.86 ± 0.27 * | 1.43 ± 0.22 * | 1.05 ± 0.16 | 0.96 ± 0.14 | 0.93 ± 0.13 |
| GPX4 (ng/mL) | 32.4 ± 5.1 | 41.7 ± 6.3 * | 58.9 ± 8.7 * | 47.2 ± 7.1 * | 36.9 ± 5.6 * | 33.8 ± 5.2 | 32.9 ± 5.0 |
| FTH1 (ng/mL) | 238 ± 39 | 312 ± 48 * | 426 ± 67 * | 351 ± 55 * | 271 ± 42 * | 246 ± 38 | 240 ± 37 |
| NQO1 (pg/mL) | 196 ± 31 | 268 ± 43 * | 382 ± 61 * | 309 ± 49 * | 231 ± 36 * | 204 ± 32 | 198 ± 30 |
| NFE2L2 (ng/mL) | 14.2 ± 2.3 | 18.9 ± 3.0 * | 26.4 ± 4.1 * | 21.7 ± 3.5 * | 16.3 ± 2.6 * | 14.8 ± 2.4 | 14.4 ± 2.3 |
| SQSTM1 (ng/mL) | 2.36 ± 0.44 | 3.12 ± 0.56 * | 4.48 ± 0.79 * | 3.71 ± 0.66 * | 2.78 ± 0.51 * | 2.44 ± 0.46 | 2.39 ± 0.45 |
| mRNA | Sequence (5′-3′) |
|---|---|
| SLC7A11 | Forward: TCCGATCTTTGTTGCCCTCT Reverse: GACTGTCGAGGTCTCCAGAG |
| GPX4 | Forward: GCCAGGGAGTAACGAAGAGA Reverse: CAGCCGTTCTTGTCGATGAG |
| FTH1 | Forward: ACTTTGACCGCGATGATGTG Reverse: GCTCTCCCAGTCATCACAGT |
| NQO1 | Forward: TCCCAGGTTCCAGCAATTCT Reverse: CACTTTGGGAGGCTGAGGTA |
| NFE2L2 | Forward: GGTTGCCCACATTCCCAAAT Reverse: AGCAATGAAGACTGGGCTCT |
| SQSTM1 | Forward: AGGACAAATTGCGCCCATTT Reverse: TCTCTTTCAGGGACAGGCTG |
| ACTB | Forward: TCACCCACACTGTGCCCATCTACGA Reverse: CAGCGGAACCGCTCATTGCCAATGG |
Disclaimer/Publisher’s Note: The statements, opinions and data contained in all publications are solely those of the individual author(s) and contributor(s) and not of MDPI and/or the editor(s). MDPI and/or the editor(s) disclaim responsibility for any injury to people or property resulting from any ideas, methods, instructions or products referred to in the content. |
© 2026 by the authors. Licensee MDPI, Basel, Switzerland. This article is an open access article distributed under the terms and conditions of the Creative Commons Attribution (CC BY) license.
Share and Cite
Boroń, K.; Panfil, A.; Sirek, T.; Sirek, A.; Zmarzły, N.; Wróbel, M.; Wróbel, Z.; Boron, D.; Ossowski, P.; Stefaniak, M.; et al. Subtype-Consistent Upregulation of Ferroptosis-Associated Pathways in Breast Cancer with Heterogeneous Prognostic Implications and Systemic Response to Cryoablation. Int. J. Mol. Sci. 2026, 27, 3446. https://doi.org/10.3390/ijms27083446
Boroń K, Panfil A, Sirek T, Sirek A, Zmarzły N, Wróbel M, Wróbel Z, Boron D, Ossowski P, Stefaniak M, et al. Subtype-Consistent Upregulation of Ferroptosis-Associated Pathways in Breast Cancer with Heterogeneous Prognostic Implications and Systemic Response to Cryoablation. International Journal of Molecular Sciences. 2026; 27(8):3446. https://doi.org/10.3390/ijms27083446
Chicago/Turabian StyleBoroń, Kacper, Agata Panfil, Tomasz Sirek, Agata Sirek, Nikola Zmarzły, Michalina Wróbel, Zbigniew Wróbel, Dariusz Boron, Piotr Ossowski, Martyna Stefaniak, and et al. 2026. "Subtype-Consistent Upregulation of Ferroptosis-Associated Pathways in Breast Cancer with Heterogeneous Prognostic Implications and Systemic Response to Cryoablation" International Journal of Molecular Sciences 27, no. 8: 3446. https://doi.org/10.3390/ijms27083446
APA StyleBoroń, K., Panfil, A., Sirek, T., Sirek, A., Zmarzły, N., Wróbel, M., Wróbel, Z., Boron, D., Ossowski, P., Stefaniak, M., Ordon, P., Wyrobiec, G., Wyrobiec, P., Kulej, W., Lekston, N., & Grabarek, B. O. (2026). Subtype-Consistent Upregulation of Ferroptosis-Associated Pathways in Breast Cancer with Heterogeneous Prognostic Implications and Systemic Response to Cryoablation. International Journal of Molecular Sciences, 27(8), 3446. https://doi.org/10.3390/ijms27083446

