Parabacteroides vesiculifaciens sp. nov., a Novel Immunomodulatory, Vesicle-Producing Gut Commensal Isolated from the Human Gut
Abstract
1. Introduction
2. Results
2.1. Phenotypic Features
2.2. General Genome Characterization
- ACPYIV_02650–ACPYIV_02905: encodes a dihydrofolate reductase (ACPYIV_02845), possibly involved in trimethoprim resistance.
- ACPYIV_04610–ACPYIV_04905: encodes a dihydrofolate reductase (ACPYIV_04680) and a ribosomal protection protein TetQ (ACPYIV_04665) participating in resistance to tetracyclines.
- ACPYIV_07150–ACPYIV_07330: encodes a dihydrofolate reductase (ACPYIV_07195).
- ACPYIV_18210–ACPYIV_18590: encodes ErmF protein (ACPYIV_18520), which confers resistance to macrolides, lincosamides, and streptogramins via 23S rRNA methylation.
2.3. Phylogenomic Inference
2.4. Glycan Degradation Proteins
2.5. Prevalence in Metagenomes and Host Association
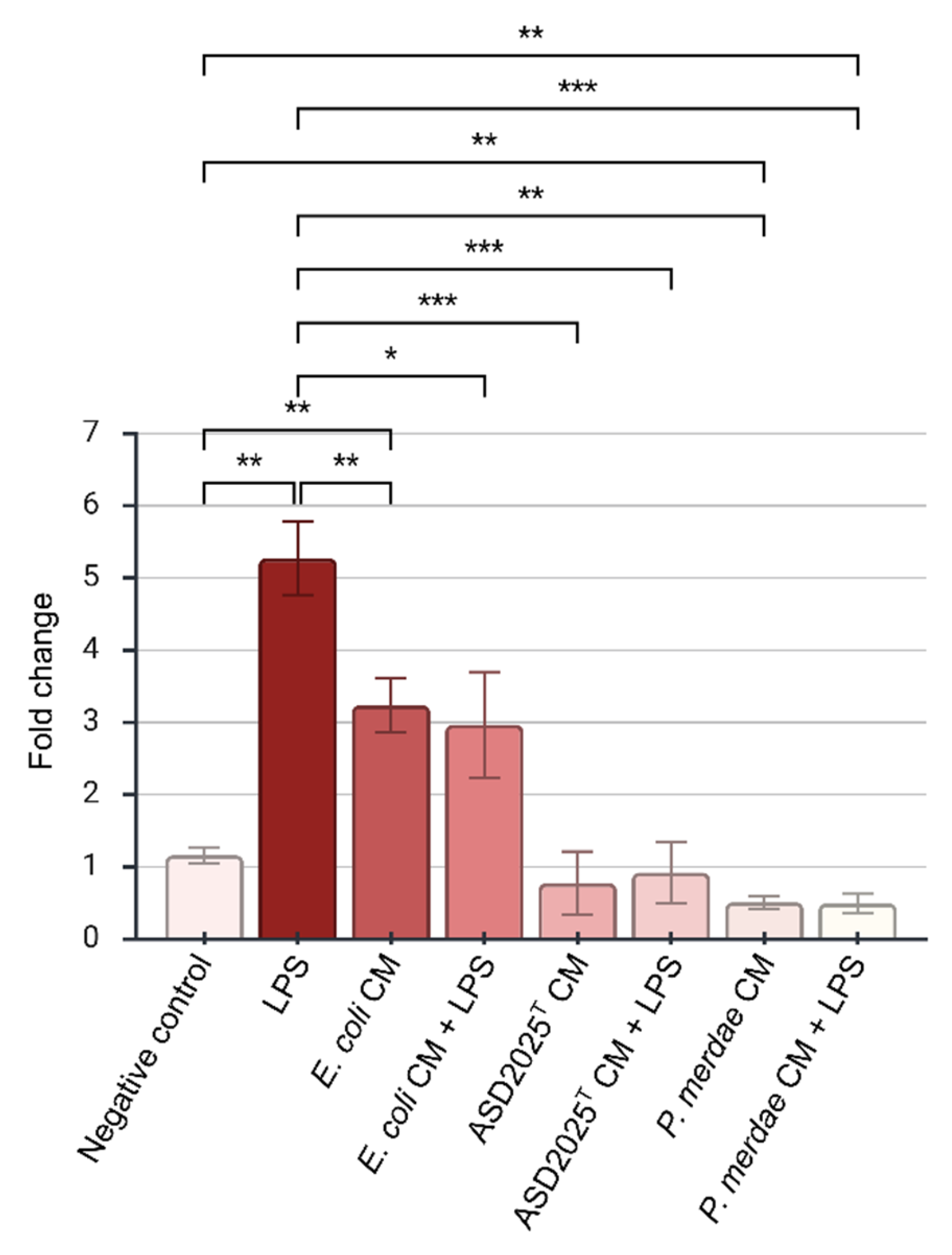
2.6. Inflammatory Response to the Conditioned Medium
3. Discussion
4. Materials and Methods
4.1. Isolation and Preservation
4.2. Phenotypical and Chemotaxonomic Characterizations
4.3. Genome Sequencing and Analysis
4.4. Modulating Effect of Conditioned Medium on Human Cells
5. Conclusions
Description of Parabacteroides vesiculifaciens sp. nov.
Supplementary Materials
Author Contributions
Funding
Institutional Review Board Statement
Informed Consent Statement
Data Availability Statement
Acknowledgments
Conflicts of Interest
References
- Ormerod, K.L.; Wood, D.L.A.; Lachner, N.; Gellatly, S.L.; Daly, J.N.; Parsons, J.D.; Dal’Molin, C.G.O.; Palfreyman, R.W.; Nielsen, L.K.; Cooper, M.A.; et al. Genomic Characterization of the Uncultured Bacteroidales Family S24-7 Inhabiting the Guts of Homeothermic Animals. Microbiome 2016, 4, 36. [Google Scholar] [CrossRef] [PubMed]
- Sakamoto, M.; Benno, Y. Reclassification of Bacteroides distasonis, Bacteroides goldsteinii and Bacteroides merdae as Parabacteroides distasonis gen. nov., comb. nov., Parabacteroides goldsteinii comb. nov. and Parabacteroides merdae comb. nov. Int. J. Syst. Evol. Microbiol. 2006, 56, 1599–1605. [Google Scholar] [CrossRef] [PubMed]
- Falony, G.; Joossens, M.; Vieira-Silva, S.; Wang, J.; Darzi, Y.; Faust, K.; Kurilshikov, A.; Bonder, M.J.; Valles-Colomer, M.; Vandeputte, D.; et al. Population-Level Analysis of Gut Microbiome Variation. Science 2016, 352, 560–564. [Google Scholar] [CrossRef]
- Nishijima, S.; Suda, W.; Oshima, K.; Kim, S.-W.; Hirose, Y.; Morita, H.; Hattori, M. The Gut Microbiome of Healthy Japanese and Its Microbial and Functional Uniqueness. DNA Res. 2016, 23, 125–133. [Google Scholar] [CrossRef] [PubMed]
- Cui, Y.; Zhang, L.; Wang, X.; Yi, Y.; Shan, Y.; Liu, B.; Zhou, Y.; Lü, X. Roles of Intestinal Parabacteroides in Human Health and Diseases. FEMS Microbiol. Lett. 2022, 369, fnac072. [Google Scholar] [CrossRef]
- Chaplin, A.V.; Pikina, A.P.; Shcherbakova, V.A.; Sokolova, S.R.; Podoprigora, I.V.; Das, M.S.; Koshkin, F.A.; Ilyina, G.A.; Vasiliadis, I.A.; Efimov, B.A. Parabacteroides Absconsus sp. nov., Isolated from Feces of a Child with Atopic Dermatitis. Arch. Microbiol. 2025, 207, 25. [Google Scholar] [CrossRef]
- Qu, Z.; Liu, H.; Yang, J.; Zheng, L.; Huang, J.; Wang, Z.; Xie, C.; Zuo, W.; Xia, X.; Sun, L.; et al. Selective Utilization of Medicinal Polysaccharides by Human Gut Bacteroides and Parabacteroides Species. Nat. Commun. 2025, 16, 638. [Google Scholar] [CrossRef]
- Feng, X.; Liu, Y.; Xu, S.; Ma, J.; Yuan, H.; Wang, H.; Hu, J.; Jin, S.; Liu, S.; Zhong, J.; et al. Functional Analysis of Parabacteroides distasonis F4: A Novel Probiotic Strain Linked to Calf Growth and Rumen Fermentation. J. Anim. Sci. Biotechnol. 2025, 16, 50. [Google Scholar] [CrossRef]
- Bak, J.E.; Oh, B.S.; Ryu, S.W.; Yu, S.Y.; Choi, W.J.; Kim, J.-S.; Lee, J.-S.; Park, S.-H.; Kang, S.W.; Lee, J.; et al. Parabacteroides faecalis sp. nov. Isolated from Swine Faeces. Curr. Microbiol. 2023, 80, 91. [Google Scholar] [CrossRef]
- Wu, Z.; Zhang, L.; Li, H.; Li, J.; Zhang, Z.; Tan, B.; Wang, J. Ningxiang Pig-Derived Parabacteroides distasonis HNAU0205 Alleviates ETEC-Induced Intestinal Apoptosis, Oxidative Damage, and Inflammation in Piglets. Animals 2024, 14, 2156. [Google Scholar] [CrossRef]
- Kitahara, M.; Sakamoto, M.; Tsuchida, S.; Kawasumi, K.; Amao, H.; Benno, Y.; Ohkuma, M. Parabacteroides chinchillae sp. nov., Isolated from Chinchilla (Chincilla lanigera) Faeces. Int. J. Syst. Evol. Microbiol. 2013, 63, 3470–3474. [Google Scholar] [CrossRef] [PubMed]
- Gilroy, R.; Ravi, A.; Getino, M.; Pursley, I.; Horton, D.L.; Alikhan, N.-F.; Baker, D.; Gharbi, K.; Hall, N.; Watson, M.; et al. Extensive Microbial Diversity within the Chicken Gut Microbiome Revealed by Metagenomics and Culture. PeerJ 2021, 9, e10941. [Google Scholar] [CrossRef] [PubMed]
- Parks, D.H.; Chuvochina, M.; Rinke, C.; Mussig, A.J.; Chaumeil, P.-A.; Hugenholtz, P. GTDB: An Ongoing Census of Bacterial and Archaeal Diversity through a Phylogenetically Consistent, Rank Normalized and Complete Genome-Based Taxonomy. Nucleic Acids Res. 2021, 50, D785–D794. [Google Scholar] [CrossRef] [PubMed]
- Pudlo, N.A.; Urs, K.; Crawford, R.; Pirani, A.; Atherly, T.; Jimenez, R.; Terrapon, N.; Henrissat, B.; Peterson, D.; Ziemer, C.; et al. Phenotypic and Genomic Diversification in Complex Carbohydrate-Degrading Human Gut Bacteria. mSystems 2022, 7, e0094721. [Google Scholar] [CrossRef]
- Pereira, F.C.; Berry, D. Microbial Nutrient Niches in the Gut. Environ. Microbiol. 2017, 19, 1366–1378. [Google Scholar] [CrossRef]
- Jacobson, A.N.; Choudhury, B.P.; Fischbach, M.A. The Biosynthesis of Lipooligosaccharide from Bacteroides thetaiotaomicron. mBio 2018, 9, e02289-17. [Google Scholar] [CrossRef]
- Lin, T.-L.; Chen, W.-J.; Hung, C.-M.; Wong, Y.-L.; Lu, C.-C.; Lai, H.-C. Characterization and Safety Evaluation of Autoclaved Gut Commensal Parabacteroides goldsteinii RV-01. Int. J. Mol. Sci. 2024, 25, 12660. [Google Scholar] [CrossRef]
- Lin, T.-L.; Shu, C.-C.; Chen, Y.-M.; Lu, J.-J.; Wu, T.-S.; Lai, W.-F.; Tzeng, C.-M.; Lai, H.-C.; Lu, C.-C. Like Cures Like: Pharmacological Activity of Anti-Inflammatory Lipopolysaccharides from Gut Microbiome. Front. Pharmacol. 2020, 11, 554. [Google Scholar] [CrossRef]
- Lai, H.-C.; Lin, T.-L.; Chen, T.-W.; Kuo, Y.-L.; Chang, C.-J.; Wu, T.-R.; Shu, C.-C.; Tsai, Y.-H.; Swift, S.; Lu, C.-C. Gut Microbiota Modulates COPD Pathogenesis: Role of Anti-Inflammatory Parabacteroides goldsteinii Lipopolysaccharide. Gut 2022, 71, 309–321. [Google Scholar] [CrossRef]
- Wang, K.; Liao, M.; Zhou, N.; Bao, L.; Ma, K.; Zheng, Z.; Wang, Y.; Liu, C.; Wang, W.; Wang, J.; et al. Parabacteroides distasonis Alleviates Obesity and Metabolic Dysfunctions via Production of Succinate and Secondary Bile Acids. Cell Rep. 2019, 26, 222–235.e5. [Google Scholar] [CrossRef]
- Sun, H.; Guo, Y.; Wang, H.; Yin, A.; Hu, J.; Yuan, T.; Zhou, S.; Xu, W.; Wei, P.; Yin, S.; et al. Gut Commensal Parabacteroides distasonis Alleviates Inflammatory Arthritis. Gut 2023, 72, 1664–1677. [Google Scholar] [CrossRef] [PubMed]
- Qiao, S.; Liu, C.; Sun, L.; Wang, T.; Dai, H.; Wang, K.; Bao, L.; Li, H.; Wang, W.; Liu, S.-J.; et al. Gut Parabacteroides merdae Protects against Cardiovascular Damage by Enhancing Branched-Chain Amino Acid Catabolism. Nat. Metab. 2022, 4, 1271–1286, Correction in Nat Metab, 2023, 5, 184. https://doi.org/10.1038/s42255-023-00740-y. [Google Scholar] [CrossRef] [PubMed]
- Chen, Y.; Jiang, S.; Wang, H.; Si, M.; Wu, H.; Liang, X.; Yao, S.; Zhang, Y.; Wen, X.; Yang, J. The Probiotic Parabacteroides johnsonii Ameliorates Metabolic Disorders Through Promoting BCAAs to BSCFAs Conversion. Adv. Sci. 2025, 12, e02624. [Google Scholar] [CrossRef] [PubMed]
- Toyofuku, M.; Schild, S.; Kaparakis-Liaskos, M.; Eberl, L. Composition and Functions of Bacterial Membrane Vesicles. Nat. Rev. Microbiol. 2023, 21, 415–430. [Google Scholar] [CrossRef]
- Liang, R.; Li, P.; Yang, N.; Xiao, X.; Gong, J.; Zhang, X.; Bai, Y.; Chen, Y.; Xie, Z.; Liao, Q. Parabacteroides distasonis-Derived Outer Membrane Vesicles Enhance Antitumor Immunity Against Colon Tumors by Modulating CXCL10 and CD8+ T Cells. Drug Des. Dev. Ther. 2024, 18, 1833–1853. [Google Scholar] [CrossRef]
- Du, A.; Chen, J.; Xie, Z.; Yang, Y.; Chen, C.-B.; Lu, C.-W.; Liu, C.-C.; Chen, M.; Chung, W.-H.; Lin, C.; et al. Multi-Omics Analysis of Outer Membrane Vesicles from P. Goldsteinii in a Psoriasis Mouse Model. Life Sci. 2025, 377, 123776. [Google Scholar] [CrossRef]
- Sartorio, M.G.; Pardue, E.J.; Scott, N.E.; Feldman, M.F. Human Gut Bacteria Tailor Extracellular Vesicle Cargo for the Breakdown of Diet- and Host-Derived Glycans. Proc. Natl. Acad. Sci. USA 2023, 120, e2306314120. [Google Scholar] [CrossRef]
- Shagaleeva, O.Y.; Kashatnikova, D.A.; Kardonsky, D.A.; Konanov, D.N.; Efimov, B.A.; Bagrov, D.V.; Evtushenko, E.G.; Chaplin, A.V.; Silantiev, A.S.; Filatova, J.V.; et al. Investigating Volatile Compounds in the Bacteroides Secretome. Front. Microbiol. 2023, 14, 1164877. [Google Scholar] [CrossRef]
- Zakharzhevskaya, N.B.; Vanyushkina, A.A.; Altukhov, I.A.; Shavarda, A.L.; Butenko, I.O.; Rakitina, D.V.; Nikitina, A.S.; Manolov, A.I.; Egorova, A.N.; Kulikov, E.E.; et al. Outer Membrane Vesicles Secreted by Pathogenic and Nonpathogenic Bacteroides fragilis Represent Different Metabolic Activities. Sci. Rep. 2017, 7, 5008. [Google Scholar] [CrossRef]
- Stentz, R.; Jones, E.; Juodeikis, R.; Wegmann, U.; Guirro, M.; Goldson, A.J.; Brion, A.; Booth, C.; Sudhakar, P.; Brown, I.R.; et al. The Proteome of Extracellular Vesicles Produced by the Human Gut Bacteria Bacteroides thetaiotaomicron In Vivo Is Influenced by Environmental and Host-Derived Factors. Appl. Environ. Microbiol. 2022, 88, e00533-22. [Google Scholar] [CrossRef]
- Fonseca, S.; Carvalho, A.L.; Miquel-Clopés, A.; Jones, E.J.; Juodeikis, R.; Stentz, R.; Carding, S.R. Extracellular Vesicles Produced by the Human Gut Commensal Bacterium Bacteroides thetaiotaomicron Elicit Anti-Inflammatory Responses from Innate Immune Cells. Front. Microbiol. 2022, 13, 1050271, Erratum in Front. Microbiol. 2024, 14, 1353539. https://doi.org/10.3389/fmicb.2023.1353539. [Google Scholar] [CrossRef] [PubMed]
- Shagaleeva, O.Y.; Kashatnikova, D.A.; Kardonsky, D.A.; Efimov, B.A.; Ivanov, V.A.; Smirnova, S.V.; Evsiev, S.S.; Zubkov, E.A.; Abramova, O.V.; Zorkina, Y.A.; et al. Bacteroides Vesicles Promote Functional Alterations in the Gut Microbiota Composition. Microbiol. Spectr. 2024, 12, e0063624. [Google Scholar] [CrossRef] [PubMed]
- Jones, E.J.; Booth, C.; Fonseca, S.; Parker, A.; Cross, K.; Miquel-Clopés, A.; Hautefort, I.; Mayer, U.; Wileman, T.; Stentz, R.; et al. The Uptake, Trafficking, and Biodistribution of Bacteroides thetaiotaomicron Generated Outer Membrane Vesicles. Front. Microbiol. 2020, 11, 57. [Google Scholar] [CrossRef]
- Su, D.; Li, M.; Xie, Y.; Xu, Z.; Lv, G.; Jiu, Y.; Lin, J.; Chang, C.-J.; Chen, H.; Cheng, F. Gut Commensal Bacteria Parabacteroides goldsteinii-Derived Outer Membrane Vesicles Suppress Skin Inflammation in Psoriasis. J. Control. Release 2025, 377, 127–145. [Google Scholar] [CrossRef] [PubMed]
- Efimov, B.A.; Chaplin, A.V.; Sokolova, S.R.; Chernaia, Z.A.; Pikina, A.P.; Savilova, A.M.; Kafarskaya, L.I. Application of Culture-Based, Mass Spectrometry and Molecular Methods to the Study of Gut Microbiota in Children. Bull. Russ. State Med. Univ. 2019, 54–65. [Google Scholar] [CrossRef]
- Shkoporov, A.N.; Hill, C. A Hypermobile Prophage in the Genome of a Key Human Gut Bacterium. PLoS Biol. 2025, 23, e3003071. [Google Scholar] [CrossRef]
- Vendrell-Fernández, S.; Beamud, B.; Abou Haydar, Y.; Am de Sousa, J.; Burlaud-Gaillard, J.; Kornobis, E.; Raynal, B.; Vinh, J.; Bikard, D.; Ghigo, J.-M. Incomplete Lytic Cycle of a Widespread Bacteroides Bacteriophage Leads to the Formation of Defective Viral Particles. PLoS Biol. 2025, 23, e3002787. [Google Scholar] [CrossRef]
- Benler, S.; Cobián-Güemes, A.G.; McNair, K.; Hung, S.-H.; Levi, K.; Edwards, R.; Rohwer, F. A Diversity-Generating Retroelement Encoded by a Globally Ubiquitous Bacteroides Phage. Microbiome 2018, 6, 191. [Google Scholar] [CrossRef]
- Riesco, R.; Trujillo, M.E. Update on the Proposed Minimal Standards for the Use of Genome Data for the Taxonomy of Prokaryotes. Int. J. Syst. Evol. Microbiol. 2024, 74, 006300. [Google Scholar] [CrossRef]
- Richter, M.; Rosselló-Móra, R. Shifting the Genomic Gold Standard for the Prokaryotic Species Definition. Proc. Natl. Acad. Sci. USA 2009, 106, 19126–19131. [Google Scholar] [CrossRef]
- Qin, Q.-L.; Xie, B.-B.; Zhang, X.-Y.; Chen, X.-L.; Zhou, B.-C.; Zhou, J.; Oren, A.; Zhang, Y.-Z. A Proposed Genus Boundary for the Prokaryotes Based on Genomic Insights. J. Bacteriol. 2014, 196, 2210. [Google Scholar] [CrossRef]
- Shkoporov, A.N.; Khokhlova, E.V.; Kulagina, E.V.; Smeianov, V.V.; Kafarskaia, L.I.; Efimov, B.A. Application of Several Molecular Techniques to Study Numerically Predominant Bifidobacterium spp. and Bacteroidales Order Strains in the Feces of Healthy Children. Biosci. Biotechnol. Biochem. 2008, 72, 742–748. [Google Scholar] [CrossRef] [PubMed]
- Chun, J.; Oren, A.; Ventosa, A.; Christensen, H.; Arahal, D.R.; da Costa, M.S.; Rooney, A.P.; Yi, H.; Xu, X.-W.; De Meyer, S.; et al. Proposed Minimal Standards for the Use of Genome Data for the Taxonomy of Prokaryotes. Int. J. Syst. Evol. Microbiol. 2018, 68, 461–466. [Google Scholar] [CrossRef] [PubMed]
- Jabari, L.; Gannoun, H.; Cayol, J.-L.; Hedi, A.; Sakamoto, M.; Falsen, E.; Ohkuma, M.; Hamdi, M.; Fauque, G.; Ollivier, B.; et al. Macellibacteroides fermentans gen. nov., sp. nov., a Member of the Family Porphyromonadaceae Isolated from an Upflow Anaerobic Filter Treating Abattoir Wastewaters. Int. J. Syst. Evol. Microbiol. 2012, 62, 2522–2527. [Google Scholar] [CrossRef] [PubMed]
- Tan, H.-Q.; Li, T.-T.; Zhu, C.; Zhang, X.-Q.; Wu, M.; Zhu, X.-F. Parabacteroides chartae sp. nov., an Obligately Anaerobic Species from Wastewater of a Paper Mill. Int. J. Syst. Evol. Microbiol. 2012, 62, 2613–2617. [Google Scholar] [CrossRef]
- Miller, S.L.; Youssef, N.H.; Elshahed, M.S. Genome-Based Reclassification of Parabacteroides chartae as a Later Heterotypic Synonym of Macellibacteroides fermentans. Int. J. Syst. Evol. Microbiol. 2025, 75, 006927. [Google Scholar] [CrossRef]
- Wang, Y.-J.; Xu, X.-J.; Zhou, N.; Sun, Y.; Liu, C.; Liu, S.-J.; You, X. Parabacteroides acidifaciens sp. nov., Isolated from Human Faeces. Int. J. Syst. Evol. Microbiol. 2019, 69, 761–766. [Google Scholar] [CrossRef]
- Sakamoto, M.; Kitahara, M.; Benno, Y. Parabacteroides johnsonii sp. nov., Isolated from Human Faeces. Int. J. Syst. Evol. Microbiol. 2007, 57, 293–296. [Google Scholar] [CrossRef]
- Liu, J.; Qiu, H.; Zhao, J.; Shao, N.; Chen, C.; He, Z.; Zhao, X.; Zhao, J.; Zhou, Y.; Xu, L. Parabacteroides as a Promising Target for Disease Intervention: Current Stage and Pending Issues. npj Biofilms Microbiomes 2025, 11, 137. [Google Scholar] [CrossRef]
- Reissier, S.; Penven, M.; Guérin, F.; Cattoir, V. Recent Trends in Antimicrobial Resistance among Anaerobic Clinical Isolates. Microorganisms 2023, 11, 1474. [Google Scholar] [CrossRef]
- Koh, G.Y.; Kane, A.; Lee, K.; Xu, Q.; Wu, X.; Roper, J.; Mason, J.B.; Crott, J.W. Parabacteroides Distasonis Attenuates Toll-like Receptor 4 Signaling and Akt Activation and Blocks Colon Tumor Formation in High-Fat Diet-Fed Azoxymethane-Treated Mice. Int. J. Cancer 2018, 143, 1797–1805. [Google Scholar] [CrossRef] [PubMed]
- Clinical Breakpoint Tables. Available online: https://www.eucast.org/bacteria/clinical-breakpoints-and-interpretation/clinical-breakpoint-tables/ (accessed on 10 March 2026).
- Stubhaug, T.T.; Giske, C.G.; Justesen, U.S.; Kahlmeter, G.; Matuschek, E.; Sundsfjord, A.; Skaare, D.; Nordic Bacteroides AST Study Group. Antimicrobial Susceptibility Testing of Bacteroides Species by Disk Diffusion: The NordicAST Bacteroides Study. Anaerobe 2023, 81, 102743. [Google Scholar] [CrossRef] [PubMed]
- Kolmogorov, M.; Yuan, J.; Lin, Y.; Pevzner, P.A. Assembly of Long, Error-Prone Reads Using Repeat Graphs. Nat. Biotechnol. 2019, 37, 540–546. [Google Scholar] [CrossRef] [PubMed]
- Wick, R.R.; Holt, K.E. Polypolish: Short-Read Polishing of Long-Read Bacterial Genome Assemblies. PLoS Comput. Biol. 2022, 18, e1009802. [Google Scholar] [CrossRef]
- Bouras, G.; Judd, L.M.; Edwards, R.A.; Vreugde, S.; Stinear, T.P.; Wick, R.R. How Low Can You Go? Short-Read Polishing of Oxford Nanopore Bacterial Genome Assemblies. Microb. Genom. 2024, 10, 001254. [Google Scholar] [CrossRef]
- Tatusova, T.; DiCuccio, M.; Badretdin, A.; Chetvernin, V.; Nawrocki, E.P.; Zaslavsky, L.; Lomsadze, A.; Pruitt, K.D.; Borodovsky, M.; Ostell, J. NCBI Prokaryotic Genome Annotation Pipeline. Nucleic Acids Res. 2016, 44, 6614–6624. [Google Scholar] [CrossRef]
- Parks, D.H.; Imelfort, M.; Skennerton, C.T.; Hugenholtz, P.; Tyson, G.W. CheckM: Assessing the Quality of Microbial Genomes Recovered from Isolates, Single Cells, and Metagenomes. Genome Res. 2015, 25, 1043–1055. [Google Scholar] [CrossRef]
- Pritchard, L.; Glover, R.H.; Humphris, S.; Elphinstone, J.G.; Toth, I.K. Genomics and Taxonomy in Diagnostics for Food Security: Soft-Rotting Enterobacterial Plant Pathogens. Anal. Methods 2015, 8, 12–24. [Google Scholar] [CrossRef]
- Zimmermann, L.; Stephens, A.; Nam, S.-Z.; Rau, D.; Kübler, J.; Lozajic, M.; Gabler, F.; Söding, J.; Lupas, A.N.; Alva, V. A Completely Reimplemented MPI Bioinformatics Toolkit with a New HHpred Server at Its Core. J. Mol. Biol. 2018, 430, 2237–2243. [Google Scholar] [CrossRef]
- van Kempen, M.; Kim, S.S.; Tumescheit, C.; Mirdita, M.; Lee, J.; Gilchrist, C.L.M.; Söding, J.; Steinegger, M. Fast and Accurate Protein Structure Search with Foldseek. Nat. Biotechnol. 2024, 42, 243–246. [Google Scholar] [CrossRef]
- Abramson, J.; Adler, J.; Dunger, J.; Evans, R.; Green, T.; Pritzel, A.; Ronneberger, O.; Willmore, L.; Ballard, A.J.; Bambrick, J.; et al. Accurate Structure Prediction of Biomolecular Interactions with AlphaFold 3. Nature 2024, 630, 493–500. [Google Scholar] [CrossRef]
- Grant, J.R.; Enns, E.; Marinier, E.; Mandal, A.; Herman, E.K.; Chen, C.-Y.; Graham, M.; Van Domselaar, G.; Stothard, P. Proksee: In-Depth Characterization and Visualization of Bacterial Genomes. Nucleic Acids Res. 2023, 51, W484–W492. [Google Scholar] [CrossRef] [PubMed]
- Alcock, B.P.; Huynh, W.; Chalil, R.; Smith, K.W.; Raphenya, A.R.; Wlodarski, M.A.; Edalatmand, A.; Petkau, A.; Syed, S.A.; Tsang, K.K.; et al. CARD 2023: Expanded Curation, Support for Machine Learning, and Resistome Prediction at the Comprehensive Antibiotic Resistance Database. Nucleic Acids Res 2023, 51, D690–D699. [Google Scholar] [CrossRef] [PubMed]
- Feldgarden, M.; Brover, V.; Gonzalez-Escalona, N.; Frye, J.G.; Haendiges, J.; Haft, D.H.; Hoffmann, M.; Pettengill, J.B.; Prasad, A.B.; Tillman, G.E.; et al. AMRFinderPlus and the Reference Gene Catalog Facilitate Examination of the Genomic Links among Antimicrobial Resistance, Stress Response, and Virulence. Sci. Rep. 2021, 11, 12728. [Google Scholar] [CrossRef] [PubMed]
- Starikova, E.V.; Tikhonova, P.O.; Prianichnikov, N.A.; Rands, C.M.; Zdobnov, E.M.; Ilina, E.N.; Govorun, V.M. Phigaro: High-Throughput Prophage Sequence Annotation. Bioinformatics 2020, 36, 3882–3884. [Google Scholar] [CrossRef]
- Gilchrist, C.L.M.; Chooi, Y.-H. clinker & clustermap.js: Automatic Generation of Gene Cluster Comparison Figures. Bioinformatics 2021, 37, 2473–2475. [Google Scholar] [CrossRef]
- Bayliss, S.C.; Thorpe, H.A.; Coyle, N.M.; Sheppard, S.K.; Feil, E.J. PIRATE: A Fast and Scalable Pangenomics Toolbox for Clustering Diverged Orthologues in Bacteria. Gigascience 2019, 8, giz119. [Google Scholar] [CrossRef]
- Katoh, K.; Standley, D.M. MAFFT Multiple Sequence Alignment Software Version 7: Improvements in Performance and Usability. Mol. Biol. Evol. 2013, 30, 772–780. [Google Scholar] [CrossRef]
- Wong, T.K.F.; Ly-Trong, N.; Ren, H.; Baños, H.; Roger, A.J.; Susko, E.; Bielow, C.; Maio, N.D.; Goldman, N.; Hahn, M.W.; et al. IQ-TREE 3: Phylogenomic Inference Software Using Complex Evolutionary Models. EcoEvoRxiv 2025. [Google Scholar] [CrossRef]
- Mo, Y.K.; Lanfear, R.; Hahn, M.W.; Minh, B.Q. Updated Site Concordance Factors Minimize Effects of Homoplasy and Taxon Sampling. Bioinformatics 2023, 39, btac741. [Google Scholar] [CrossRef]
- Minh, B.Q.; Hahn, M.W.; Lanfear, R. New Methods to Calculate Concordance Factors for Phylogenomic Datasets. Mol. Biol. Evol. 2020, 37, 2727–2733. [Google Scholar] [CrossRef]
- Livak, K.J.; Schmittgen, T.D. Analysis of Relative Gene Expression Data Using Real-Time Quantitative PCR and the 2−ΔΔCT Method. Methods 2001, 25, 402–408. [Google Scholar] [CrossRef]
- Khokhlova, E.; Kim, P.; Colom, J.; Bhat, S.; Curran, A.M.; Jouini, N.; Rea, K.; Phipps, C.; Deaton, J. Assessing Hydrolyzed Gluten Content in Dietary Enzyme Supplements Following Fermentation. Fermentation 2022, 8, 203. [Google Scholar] [CrossRef]
- Shkoporov, A.N.; Khokhlova, E.V.; Savochkin, K.A.; Kafarskaia, L.I.; Efimov, B.A. Production of Biologically Active scFv and VHH Antibody Fragments in Bifidobacterium longum. FEMS Microbiol. Lett. 2015, 362, fnv083. [Google Scholar] [CrossRef]









| Strain | ANI, % | Query Coverage, % |
|---|---|---|
| P. hominis NSJ-79T | 89.9 | 66.9 |
| P. johnsonii DSM 18315T | 89.7 | 66.3 |
| P. merdae NCTC13052T | 89.0 | 67.9 |
| “P. massiliensis” SN4T | 88.4 | 54.1 |
| P. acidifaciens 426-9T | 85.5 | 49.3 |
| P. distasonis ATCC 8503T | 83.3 | 5.97 |
| Samples | Incubation for 30 min | Addition Before Incubation for 4 h |
|---|---|---|
| Negative control | DMEM high glucose with 20 mM HEPES | - |
| LPS | DMEM high glucose with 20 mM HEPES | LPS E. coli O55:B5 |
| E. coli | Conditioned medium from E. coli ATCC 8739 | - |
| E. coli + LPS | Conditioned medium from E. coli ATCC 8739 | LPS E. coli O55:B5 |
| ASD2025T | Conditioned medium from ASD2025T | - |
| ASD2025T + LPS | Conditioned medium from ASD2025T | LPS E. coli O55:B5 |
| P. merdae | Conditioned medium from P. merdae EBA4-19 | - |
| P. merdae + LPS | Conditioned medium from P. merdae EBA4-19 | LPS E. coli O55:B5 |
| Gene | Primer Sequences (5′-3′) | PCR Protocol | Reference |
|---|---|---|---|
| GAPDH | F-CTTTGACGCTGGGGCTGGCATT R-TTGTGCTCTTGCTGGGGCTGGT | ID—95 °C 5 min, D—96 °C 20 s, A 56 °C 30 s, E 72 °C 20 s, NC—40. | [74] |
| IL-8 | F-CAAGGAAAACTGGGTGCAGA R-CCTACAACAGACCCACACAA | ID—95 °C 5 min, D—94 °C 20 s, A 60 °C 30 s, E 72 °C 20 s, NC—40. | [75] |
| Characteristic | ASD2025T | 1 | 2 | 3 | 4 |
|---|---|---|---|---|---|
| G+C content (mol%) * | 46.2 | 45.1 | 45.3 | 45.2 | 45.9 |
| Genome assembly size (Mb) * | 5.16 | 4.81 | 4.40 | 4.75 | 5.10 |
| Major cellular fatty acids (>10%) | anteiso-C15:0, iso-C17:0 3-OH, C15:0 | anteiso-C15:0, iso-C17:0 3-OH C18:1 ω9c | anteiso-C15:0, iso-C17:0 3-OH C18:1 ω9c | anteiso-C15:0, iso-C17:0 3-OH | anteiso-C15:0, iso-C17:0 3-OH |
| Catalase | - | + | - | + | - |
| β-Glucuronidase | - | - | + | + | + |
| α-Fucosidase | - | - | - | - | + |
| Glutamic acid decarboxylase | - | + | + | + | + |
| Tyrosine arylamidase | - | + | + | + | + |
| Phenylalanine arylamidase | - | + | + | + | + |
| Glycine arylamidase | - | + | + | + | + |
| Histidine arylamidase | - | + | + | + | + |
| Aesculin hydrolysis | - | + | + | + | + |
| Acid production from: | |||||
| L-arabinose | + | - | - | + | + |
| D-melezitose | - | + | - | - | - |
| Salicin | - | + | - | - | - |
| D-mannitol | - | - | - | - | + |
| Glycerol | - | - | - | - | + |
Disclaimer/Publisher’s Note: The statements, opinions and data contained in all publications are solely those of the individual author(s) and contributor(s) and not of MDPI and/or the editor(s). MDPI and/or the editor(s) disclaim responsibility for any injury to people or property resulting from any ideas, methods, instructions or products referred to in the content. |
© 2026 by the authors. Licensee MDPI, Basel, Switzerland. This article is an open access article distributed under the terms and conditions of the Creative Commons Attribution (CC BY) license.
Share and Cite
Chaplin, A.V.; Podoprigora, I.V.; Shcherbakova, V.A.; Zakharzhevskaya, N.B.; Evseev, P.V.; Vasilyeva, A.A.; Koshkin, F.A.; Kardonsky, D.A.; Vorobyeva, E.A.; Kashatnikova, D.A.; et al. Parabacteroides vesiculifaciens sp. nov., a Novel Immunomodulatory, Vesicle-Producing Gut Commensal Isolated from the Human Gut. Int. J. Mol. Sci. 2026, 27, 2763. https://doi.org/10.3390/ijms27062763
Chaplin AV, Podoprigora IV, Shcherbakova VA, Zakharzhevskaya NB, Evseev PV, Vasilyeva AA, Koshkin FA, Kardonsky DA, Vorobyeva EA, Kashatnikova DA, et al. Parabacteroides vesiculifaciens sp. nov., a Novel Immunomodulatory, Vesicle-Producing Gut Commensal Isolated from the Human Gut. International Journal of Molecular Sciences. 2026; 27(6):2763. https://doi.org/10.3390/ijms27062763
Chicago/Turabian StyleChaplin, Andrei V., Irina V. Podoprigora, Victoria A. Shcherbakova, Natalya B. Zakharzhevskaya, Peter V. Evseev, Anna A. Vasilyeva, Filipp A. Koshkin, Dmitry A. Kardonsky, Elizaveta A. Vorobyeva, Daria A. Kashatnikova, and et al. 2026. "Parabacteroides vesiculifaciens sp. nov., a Novel Immunomodulatory, Vesicle-Producing Gut Commensal Isolated from the Human Gut" International Journal of Molecular Sciences 27, no. 6: 2763. https://doi.org/10.3390/ijms27062763
APA StyleChaplin, A. V., Podoprigora, I. V., Shcherbakova, V. A., Zakharzhevskaya, N. B., Evseev, P. V., Vasilyeva, A. A., Koshkin, F. A., Kardonsky, D. A., Vorobyeva, E. A., Kashatnikova, D. A., Kazakova, V. D., & Efimov, B. A. (2026). Parabacteroides vesiculifaciens sp. nov., a Novel Immunomodulatory, Vesicle-Producing Gut Commensal Isolated from the Human Gut. International Journal of Molecular Sciences, 27(6), 2763. https://doi.org/10.3390/ijms27062763

