Biological Evaluation of a Novel Compound with Predicted EZH2 and EED Binding Against Human Malignant Melanoma Cells
Abstract
1. Introduction
2. Results
2.1. In Silico Analyses of Various EZH2i Molecules Under Study
| Target | Quantity | Unit | PF-06726304 | TDI-6118 | SG-8 |
|---|---|---|---|---|---|
| EZH2 | Calculated ΔG° | kcal/mol | −11.77 | −10.22 | −11.36 |
| Calculated * Ki | nM | 2.38 | 32.20 | 4.69 | |
| Adjusted Ki | nM | 0.7 | 9.5 | 1.4 | |
| Experimental Ki | nM | 0.7 [18] | 10 ** | – | |
| Experimental IC50 | nM | 1.0 ± 0.2 [43] | 14 ± 3 [43] | – | |
| EED | Calculated ΔG° | kcal/mol | −11.10 | −10.20 | −10.88 |
| Calculated * Kd | nM | 7.34 | 33.32 | 10.64 | |
| SUZ12 | Calculated ΔG° | kcal/mol | −5.84 | −5.94 | −6.01 |
| Calculated * Kd | nM | 5.24 × 104 | 4.44 × 104 | 3.93 × 104 |

2.2. In Vitro Assessment of Passive Blood–Brain Barrier Permeability of SG-8
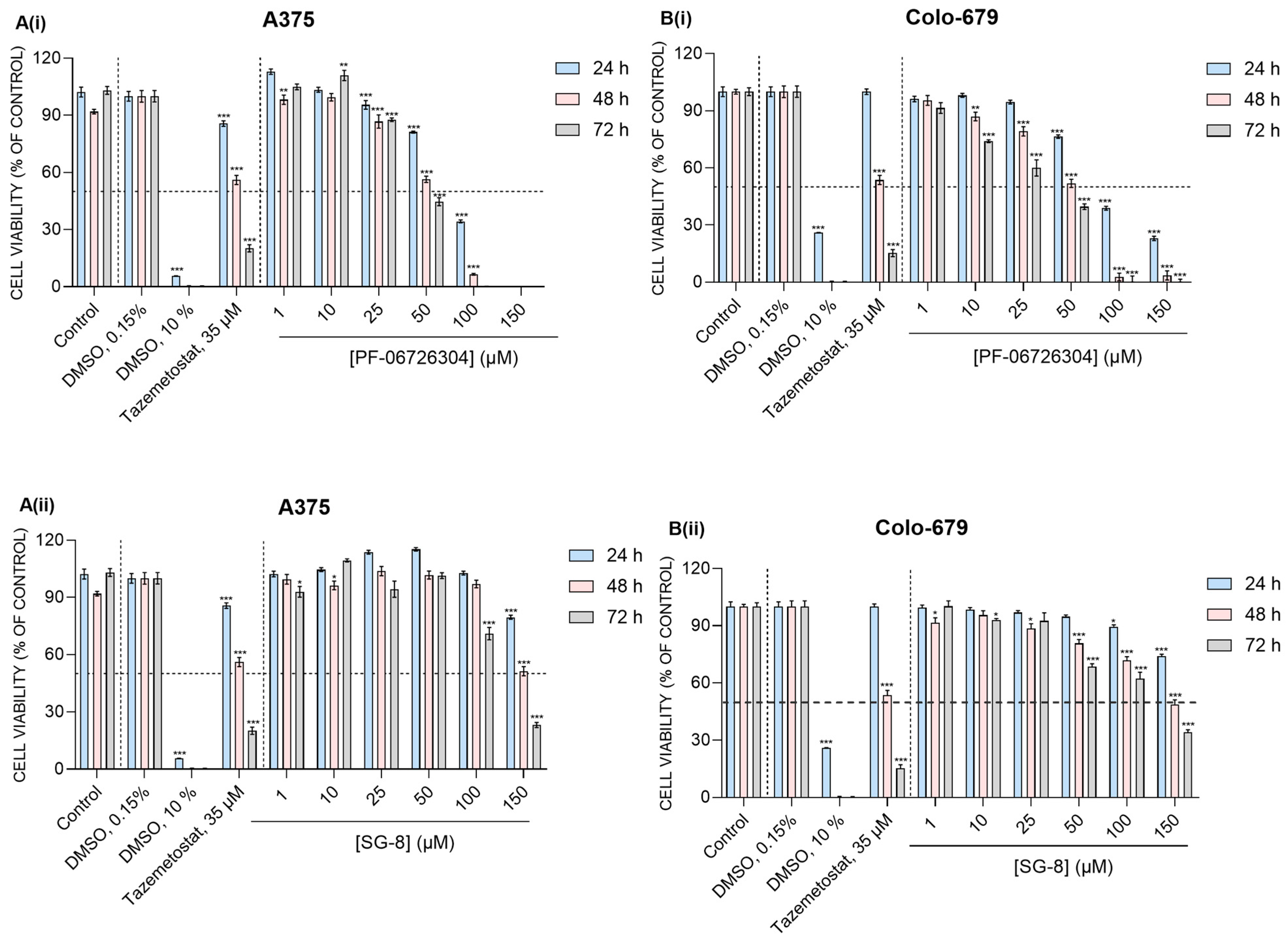
2.3. Differential Cytotoxic Response Induced by SG-8 and PF-06726304
2.4. Alterations in Protein Expression Levels of PRC2 Complex Members, H3K27me3 Marks, and EZH2 Phosphorylation Induced by SG-8 and PF-06726304
2.5. Impact of PF-06726304 and SG-8 on Cell Cycle Progression
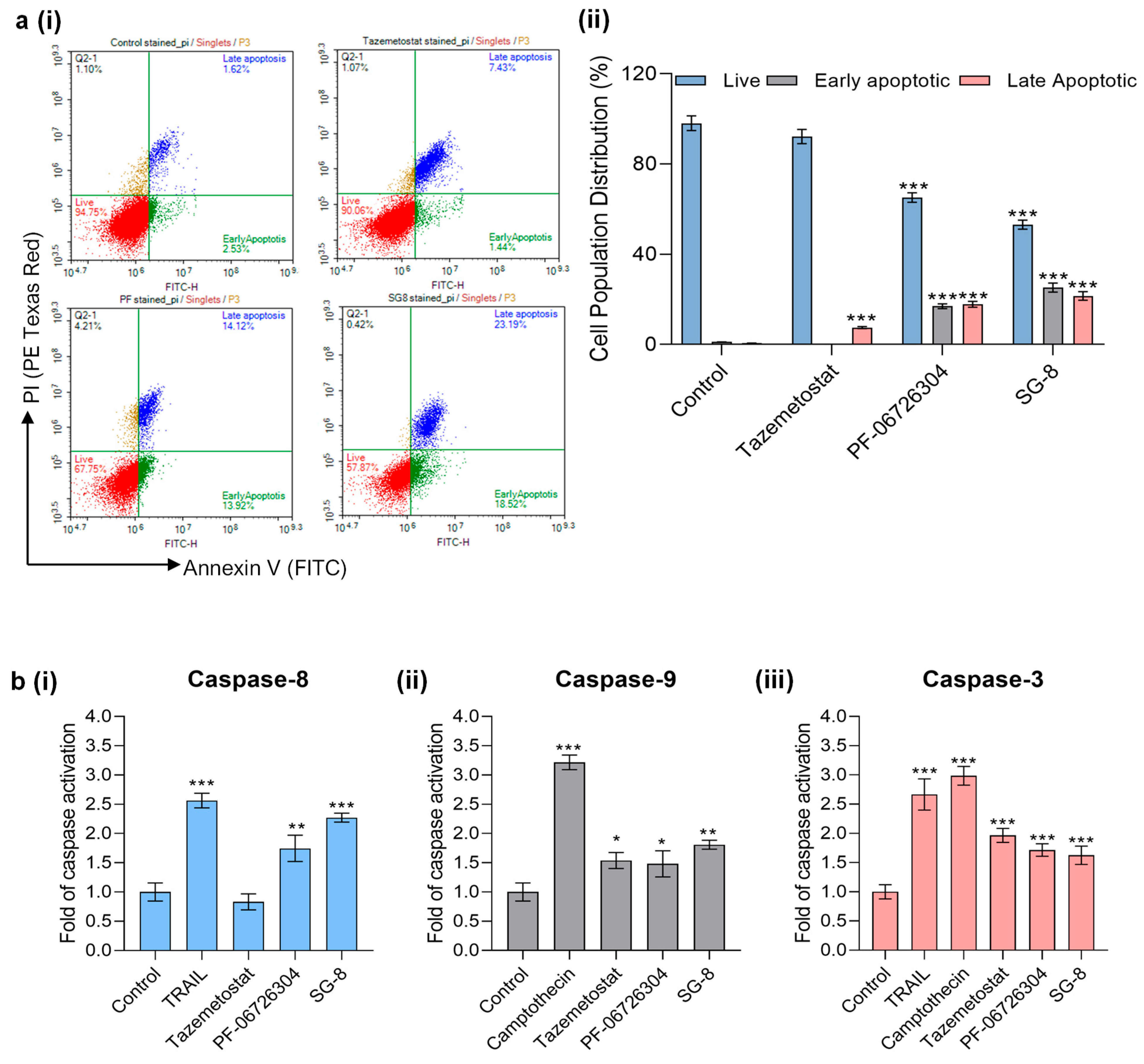
2.6. Impact of PF-06726304 and SG-8 on Apoptosis Induction
3. Discussion
4. Materials and Methods
4.1. Molecular Docking
4.2. Physicochemical and Pharmacokinetic Analyses
4.3. Materials and Equipment for Organic Synthesis
4.4. Synthetic Procedures
4.4.1. Synthesis of Methyl (2,5-Dichlorophenethyl)carbamate (1)
4.4.2. Synthesis of 5,8-Dichloro-3,4-dihydroisoquinolin-1(2H)-one (2)
4.4.3. Synthesis of 7-Bromo-5,8-dichloro-3,4-dihydroisoquinolin-1(2H)-one (3)
4.4.4. Synthesis of 7-Bromo-5,8-dichloro-2-((3,5-dimethylpyridin-2-yl)methyl)-3,4-dihydroisoquinolin-1(2H)-one (4)
4.4.5. Synthesis of 5,8-Dichloro-2-((3,5-dimethylpyridin-2-yl)methyl)-7-(3,5-dimethyl isoxazol-4-yl)-3,4-dihydroisoquinolin-1(2H)-one (5)
4.4.6. Synthesis of 5,8-Dichloro-2-[(3,5-dimethyl-1-oxo-1λ5-pyridin-2-yl)methyl]-7-(3,5-dimethyl isoxazol-4-yl)-3,4-dihydroisoquinolin-1(2H)-one (6, SG-8)
4.5. Materials for Biological Characterization
4.6. In Vitro Determination of Blood–Brain Barrier Membrane Permeability
4.7. Cell Lines and Culture Conditions
4.8. Determination of Cell Viability
4.9. Western Immunoblotting
4.10. Flow Cytometry-Based Cell Cycle Analysis
4.11. Flow Cytometry-Based Determination of Apoptosis Activation
4.12. Determination of Caspases-3, -8, and -9 Enzymatic Activity Levels
4.13. Statistical Analyses
Supplementary Materials
Author Contributions
Funding
Institutional Review Board Statement
Informed Consent Statement
Data Availability Statement
Conflicts of Interest
Abbreviations
| ABCB1 | ATP-binding cassette sub-family B member 1 (ABCB1); P-glycoprotein |
| ABCG2 | ATP-binding cassette super-family G member 2 |
| ADP | Adenosine diphosphate |
| Akt | Protein kinase B |
| Ar | Aryl |
| BBB | Blood–brain barrier |
| BCRP | Breast Cancer Resistance Protein; ABCG2 |
| BCA | Bicinchoninic acid |
| BRAF | Proto-oncogene B-Raf |
| brs | Broad singlet (NMR) |
| brt | Broad triplet (NMR) |
| BSA | Bovine serum albumin |
| CAS | Chemical Abstracts Service |
| Caspase | Cysteine-aspartic protease |
| CTLA-4 | Cytotoxic T-lymphocyte associated protein 4 |
| d | Doublet (NMR) |
| dd | Doublet of doublets (NMR) |
| DMEM | Dulbecco’s Modified Eagle Medium |
| DMF | Dimethylformamide |
| DMSO | Dimethyl sulfoxide |
| DMSO-d6 | Deuterated DMSO |
| DNA | Deoxyribonucleic acid |
| DNMTi | DNA methyltransferase inhibitor |
| EC50 | Half maximal effective concentration |
| EDTA | Ethylenediaminetetraacetic acid |
| EED | Embryonic Ectoderm Development |
| ERK | Extracellular signal-regulated kinase |
| EZH1 | Enhancer of Zeste Homolog 1 |
| EZH2 | Enhancer of Zeste Homolog 2 |
| EZH2i | EZH2 inhibitor |
| ESI | Electrospray ionization |
| FBS | Fetal bovine serum |
| FDA | The United States Food and Drug Administration |
| FWHM | Full width at half maximum |
| GA | Genetic algorithm |
| GI | Gastrointestinal |
| H3 | Histone 3 |
| H3K27me3 | Trimethylated lysine 27 in H3 |
| HDACi | Histone deacetylase inhibitor |
| HMTi | Histone methyltransferase inhibitor |
| HRMS | High-resolution mass spectrometry |
| IC50 | Half maximal inhibitory concentration |
| J | J-coupling; spin-spin coupling (NMR) |
| LGA | Lamarckian genetic algorithm |
| MAPK | Mitogen-activated protein kinase |
| mCPBA | meta-Chloroperoxybenzoic acid |
| MDR1 | Multidrug resistance protein 1; P-glycoprotein |
| MEK | Mitogen-activated protein kinase kinase; MAPKK |
| m/z | Mass-to-charge ratio |
| NBS | N-Bromosuccinimide |
| NMR | Nuclear Magnetic Resonance |
| OD | Optical density |
| PAGE | Polyacrylamide gel electrophoresis |
| p-Akt | Phosphorylated Akt |
| PAMPA | Parallel artificial membrane permeability assay |
| PARP | Poly (ADP-ribose) polymerase |
| PBS | Phosphate-buffered saline |
| PD-1 | Programmed cell death protein 1 |
| PDB | The Protein Data Bank |
| p-EZH2 | Phosphorylated EZH2 |
| P-gp | P-glycoprotein |
| PI | Propidium iodide |
| PI3K | Phosphoinositide 3-kinase |
| PPI | Protein–protein interaction |
| ppm | Parts per million |
| PRC2 | Polycomb Repressive Complex 2 |
| PS | Phosphatidylserine |
| PVDF | Polyvinylidene fluoride |
| Py | Pyridine/pyridyl |
| q | Quartet (NMR) |
| Q-TOF | Quadrupole Time-of-Flight |
| RFU | Relative fluorescence units |
| RIPA | Radio-Immunoprecipitation Assay |
| RNA | Ribonucleic acid |
| RPMI | Roswell Park Memorial Institute |
| RT | Room temperature |
| s | Singlet (NMR) |
| SAM | S-Adenosyl methionine |
| SEM | Standard error of the mean |
| SET | Su(var)3-9, Enhancer-of-zeste, and Trithorax domain |
| SDS | Sodium dodecyl sulfate |
| Skp | Seventeen kilodalton protein |
| STAT3 | Signal transducer and activator of transcription 3 |
| SUZ12 | Suppressor of Zeste 12 |
| t | Triplet (NMR) |
| TaxR | Docetaxel resistant |
| TBST | Tris-Buffered Saline with Tween 20 |
| td | Triplet of doublets (NMR) |
| Tf | Triflic/Triflate; Trifluoromethanesulfonic/Trifluoromethanesulfonate |
| TLC | Thin layer chromatography |
| TMS | Tetramethylsilane |
| TNF | Tumor Necrosis Factor |
| TPSA | Topological polar surface area |
| TRAIL | TNF-related apoptosis-inducing ligand |
References
- Egger, G.; Liang, G.; Aparicio, A.; Jones, P.A. Epigenetics in human disease and prospects for epigenetic therapy. Nature 2004, 429, 457–463. [Google Scholar] [CrossRef] [PubMed]
- Portela, A.; Esteller, M. Epigenetic modifications and human disease. Nat. Biotechnol. 2010, 28, 1057–1068. [Google Scholar] [CrossRef] [PubMed]
- Esteller, M.; Herman, J.G. Cancer as an epigenetic disease: DNA methylation and chromatin alterations in human tumours. J. Pathol. 2002, 196, 1–7. [Google Scholar] [CrossRef] [PubMed]
- Yang, Y.; Zhang, M.; Wang, Y. The roles of histone modifications in tumorigenesis and associated inhibitors in cancer therapy. J. Natl. Cancer Cent. 2022, 2, 277–290. [Google Scholar] [CrossRef]
- Ghasemi, S. Cancer’s epigenetic drugs: Where are they in the cancer medicines? Pharmacogenomics J. 2020, 20, 367–379. [Google Scholar] [CrossRef]
- Mondal, P.; Natesh, J.; Penta, D.; Meeran, S.M. Progress and promises of epigenetic drugs and epigenetic diets in cancer prevention and therapy: A clinical update. Semin. Cancer Biol. 2022, 83, 503–522. [Google Scholar] [CrossRef]
- Liu, Z.; Gao, Y.; Li, X. Cancer epigenetics and the potential of epigenetic drugs for treating solid tumors. Expert Rev. Anticancer Ther. 2019, 19, 139–149. [Google Scholar] [CrossRef]
- Ho, T.C.S.; Chan, A.H.Y.; Ganesan, A. Thirty Years of HDAC Inhibitors: 2020 Insight and Hindsight. J. Med. Chem. 2020, 63, 12460–12484. [Google Scholar] [CrossRef]
- Hoy, S.M. Tazemetostat: First Approval. Drugs 2020, 80, 513–521. [Google Scholar] [CrossRef]
- Knutson, S.K.; Warholic, N.M.; Wigle, T.J.; Klaus, C.R.; Allain, C.J.; Raimondi, A.; Scott, M.P.; Chesworth, R.; Moyer, M.P.; Copeland, R.A.; et al. Durable tumor regression in genetically altered malignant rhabdoid tumors by inhibition of methyltransferase EZH2. Proc. Natl. Acad. Sci. USA 2013, 110, 7922–7927. [Google Scholar] [CrossRef]
- Chammas, P.; Mocavini, I.; Di Croce, L. Engaging chromatin: PRC2 structure meets function. Br. J. Cancer 2020, 122, 315–328. [Google Scholar] [CrossRef]
- Laugesen, A.; Højfeldt, J.W.; Helin, K. Molecular Mechanisms Directing PRC2 Recruitment and H3K27 Methylation. Mol. Cell 2019, 74, 8–18. [Google Scholar] [CrossRef] [PubMed]
- Knutson, S.K.; Wigle, T.J.; Warholic, N.M.; Sneeringer, C.J.; Allain, C.J.; Klaus, C.R.; Sacks, J.D.; Raimondi, A.; Majer, C.R.; Song, J.; et al. A selective inhibitor of EZH2 blocks H3K27 methylation and kills mutant lymphoma cells. Nat. Chem. Biol. 2012, 8, 890–896. [Google Scholar] [CrossRef] [PubMed]
- Fioravanti, R.; Stazi, G.; Zwergel, C.; Valente, S.; Mai, A. Six Years (2012–2018) of Researches on Catalytic EZH2 Inhibitors: The Boom of the 2-Pyridone Compounds. Chem. Rec. 2018, 18, 1818–1832. [Google Scholar] [CrossRef] [PubMed]
- Liu, Y.; Yang, Q. The roles of EZH2 in cancer and its inhibitors. Med. Oncol. 2023, 40, 167. [Google Scholar] [CrossRef]
- Brooun, A.; Gajiwala, K.S.; Deng, Y.-L.; Liu, W.; Bolaños, B.; Bingham, P.; He, Y.-A.; Diehl, W.; Grable, N.; Kung, P.-P.; et al. Polycomb repressive complex 2 structure with inhibitor reveals a mechanism of activation and drug resistance. Nat. Commun. 2016, 7, 11384. [Google Scholar] [CrossRef]
- Vaswani, R.G.; Gehling, V.S.; Dakin, L.A.; Cook, A.S.; Nasveschuk, C.G.; Duplessis, M.; Iyer, P.; Balasubramanian, S.; Zhao, F.; Good, A.C.; et al. Identification of (R)-N-((4-Methoxy-6-methyl-2-oxo-1,2-dihydropyridin- 3-yl)methyl)-2-methyl-1-(1-(1-(2,2,2-trifluoroethyl)piperidin-4-yl)ethyl)-1H-indole-3-carboxamide (CPI-1205), a Potent and Selective Inhibitor of Histone Methyltransferase EZH2, Suitable for Phase I Clinical Trials for B-Cell Lymphomas. J. Med. Chem. 2016, 59, 9928–9941. [Google Scholar]
- Kung, P.-P.; Rui, E.; Bergqvist, S.; Bingham, P.; Braganza, J.; Collins, M.; Cui, M.; Diehl, W.; Dinh, D.; Fan, C.; et al. Design and Synthesis of Pyridone-Containing 3,4-Dihydroisoquinoline-1(2H)-ones as a Novel Class of Enhancer of Zeste Homolog 2 (EZH2) Inhibitors. J. Med. Chem. 2016, 59, 8306–8325, Correction in J. Med. Chem. 2016, 59, 11196. [Google Scholar] [CrossRef]
- Edwards, M.P.; Kumpf, R.A.; Kung, P.-P.; McAlpine, I.J.; Ninkovic, S.; Rui, E.Y.; Sutton, S.C.; Tatlock, J.H.; Wythes, M.J.; Zehnder, L.R. Aryl and heteroaryl fused lactams. Patent WO 2014/097041 A1, 26 June 2014. [Google Scholar]
- Kung, P.-P.; Bingham, P.; Brooun, A.; Collins, M.; Deng, Y.-L.; Dinh, D.; Fan, C.; Gajiwala, K.S.; Grantner, R.; Gukasyan, H.J.; et al. Optimization of Orally Bioavailable Enhancer of Zeste Homolog 2(EZH2) Inhibitors Using Ligand and Property-Based Design Strategies: Identification of Development Candidate (R)-5,8-Dichloro-7-(methoxy(oxetan-3-yl)methyl)-2-((4-methoxy-6-methyl-2-oxo-1,2-dihydropyridin-3-yl)methyl)-3,4-dihydro-isoquinolin-1(2H)-one (PF-06821497). J. Med. Chem. 2018, 61, 650–665. [Google Scholar]
- Baker, T.; Nerle, S.; Pritchard, J.; Zhao, B.; Rivera, V.M.; Garner, A.; Gonzalvez, F. Acquisition of a single EZH2 D1 domain mutation confers acquired resistance to EZH2-targeted inhibitors. Oncotarget 2015, 6, 32646–32655. [Google Scholar] [CrossRef]
- Gibaja, V.; Shen, F.; Harari, J.; Korn, J.; Ruddy, D.; Saenz-Vash, V.; Zhai, H.; Rejtar, T.; Paris, C.G.; Yu, Z.; et al. Development of secondary mutations in wild-type and mutant EZH2 alleles cooperates to confer resistance to EZH2 inhibitors. Oncogene 2016, 35, 558–566. [Google Scholar] [CrossRef] [PubMed]
- Bisserier, M.; Wajapeyee, N. Mechanisms of resistance to EZH2 inhibitors in diffuse large B-cell lymphomas. Blood 2018, 131, 2125–2137. [Google Scholar] [CrossRef] [PubMed]
- Xu, B.; On, D.M.; Ma, A.; Parton, T.; Konze, K.D.; Pattenden, S.G.; Allison, D.F.; Cai, L.; Rockowitz, S.; Liu, S.; et al. Selective inhibition of EZH2 and EZH1 enzymatic activity by a small molecule suppresses MLL-rearranged leukemia. Blood 2015, 125, 346–357. [Google Scholar] [CrossRef] [PubMed]
- Keam, S.J. Valemetostat Tosilate: First Approval. Drugs 2022, 82, 1621–1627, Correction in Drugs 2022, 82, 1689. [Google Scholar] [CrossRef]
- Tomassi, S.; Romanelli, A.; Zwergel, C.; Valente, S.; Mai, A. Polycomb Repressive Complex 2 Modulation through the Development of EZH2–EED Interaction Inhibitors and EED Binders. J. Med. Chem. 2021, 64, 11774–11797. [Google Scholar] [CrossRef]
- Liu, K.-L.; Zhu, K.; Zhang, H. An overview of the development of EED inhibitors to disable the PRC2 function. RSC Med. Chem. 2022, 13, 39–53. [Google Scholar] [CrossRef]
- Eggermont, A.M.; Spatz, A.; Robert, C. Cutaneous melanoma. Lancet 2014, 383, 816–827. [Google Scholar] [CrossRef]
- National Cancer Institute: Melanoma of the Skin-Cancer Stat Facts. Available online: https://seer.cancer.gov/statfacts/ (accessed on 23 September 2025).
- Guo, W.; Wang, H.; Li, C. Signal pathways of melanoma and targeted therapy. Signal Transduct. Target. Ther. 2021, 6, 424. [Google Scholar] [CrossRef]
- Zingg, D.; Debbache, J.; Schaefer, S.M.; Tuncer, E.; Frommel, S.C.; Cheng, P.; Arenas-Ramirez, N.; Haeusel, J.; Zhang, Y.; Bonalli, M.; et al. The epigenetic modifier EZH2 controls melanoma growth and metastasis through silencing of distinct tumour suppressors. Nat. Commun. 2015, 6, 6051. [Google Scholar] [CrossRef]
- Zingg, D.; Arenas-Ramirez, N.; Sahin, D.; Rosalia, R.A.; Antunes, A.T.; Haeusel, J.; Sommer, L.; Boyman, O. The Histone Methyltransferase Ezh2 Controls Mechanisms of Adaptive Resistance to Tumor Immunotherapy. Cell Rep. 2017, 20, 854–867. [Google Scholar] [CrossRef]
- Tiffen, J.C.; Gunatilake, D.; Gallagher, S.J.; Gowrishankar, K.; Heinemann, A.; Cullinane, C.; Dutton-Regester, K.; Pupo, G.M.; Strbenac, D.; Yang, J.Y.; et al. Targeting activating mutations of EZH2 leads to potent cell growth inhibition in human melanoma by derepression of tumor suppressor genes. Oncotarget 2015, 6, 27023–27036. [Google Scholar] [CrossRef] [PubMed]
- Zhu, Y.; Zhang, L.; Song, X.; Zhang, Q.; Wang, T.; Xiao, H.; Yu, L. Pharmacological inhibition of EZH2 by ZLD1039 suppresses tumor growth and pulmonary metastasis in melanoma cells in vitro and in vivo. Biochem. Pharmacol. 2023, 210, 115493. [Google Scholar] [CrossRef] [PubMed]
- Anestopoulos, I.; Paraskevaidis, I.; Kyriakou, S.; Giova, L.E.; Trafalis, D.T.; Botaitis, S.; Franco, R.; Pappa, A.; Panayiotidis, M.I. Isothiocyanates Potentiate Tazemetostat-Induced Apoptosis by Modulating the Expression of Apoptotic Genes, Members of Polycomb Repressive Complex 2, and Levels of Tri-Methylating Lysine 27 at Histone 3 in Human Malignant Melanoma Cells. Int. J. Mol. Sci. 2024, 25, 2745. [Google Scholar] [CrossRef] [PubMed]
- Tabouret, E.; Chinot, O.; Metellus, P.; Tallet, A.; Viens, P.; Gonçalves, A. Recent Trends in Epidemiology of Brain Metastases: An Overview. Anticancer Res. 2012, 32, 4655–4662. [Google Scholar]
- Mohammad, F.; Weissmann, S.; Leblanc, B.; Pandey, D.P.; Højfeldt, J.W.; Comet, I.; Zheng, C.; Johansen, J.V.; Rapin, N.; Porse, B.T.; et al. EZH2 is a potential therapeutic target for H3K27M-mutant pediatric gliomas. Nat. Med. 2017, 23, 483–492. [Google Scholar] [CrossRef]
- Piunti, A.; Hashizume, R.; Morgan, M.A.; Bartom, E.T.; Horbinski, C.M.; Marshall, S.A.; Rendleman, E.J.; Ma, Q.; Takahashi, Y.-H.; Woodfin, A.R.; et al. Therapeutic targeting of polycomb and BET bromodomain proteins in diffuse intrinsic pontine gliomas. Nat. Med. 2017, 23, 493–500. [Google Scholar] [CrossRef]
- Michealraj, K.A.; Kumar, S.A.; Kim, L.J.Y.; Cavalli, F.M.G.; Przelicki, D.; Wojcik, J.B.; Delaidelli, A.; Bajic, A.; Saulnier, O.; MacLeod, G.; et al. Metabolic Regulation of the Epigenome Drives Lethal Infantile Ependymoma. Cell 2020, 181, 1329–1345. [Google Scholar] [CrossRef]
- Lindsay, H.; Kogiso, M.; Qi, L.; Murray, J.; Perlaky, L.; Su, J.; Baxter, P.; Adesina, A.; Parsons, D.; Chintagumpala, M.; et al. AT-01. Therapeutic targeting of INI1 deficiency in pediatric ATRT: A pre-clinical study utilizing patient derived orthotopic xenograft (PDOX) models. Neuro-Oncology 2015, 17, iii1. [Google Scholar] [CrossRef]
- Li, X.-N.; Qi, L.; Kogiso, M.; Lindsay, H.B.; Erickson, S.W.; Guo, Y.; Smith, M.A.; Freeman, B.B. Pediatric preclinical testing consortium evaluation of the EZH2 inhibitor tazemetostat in orthotopic PDX models of pediatric brain tumors. J. Clin. Oncol. 2018, 36, 10551. [Google Scholar] [CrossRef]
- Zhang, P.; de Gooijer, M.C.; Buil, L.C.M.; Beijnen, J.H.; Li, G.; van Tellingen, O. ABCB1 and ABCG2 restrict the brain penetration of a panel of novel EZH2-Inhibitors. Int. J. Cancer 2015, 137, 2007–2018. [Google Scholar] [CrossRef]
- Liang, R.; Tomita, D.; Sasaki, Y.; Ginn, J.; Michino, M.; Huggins, D.J.; Baxt, L.; Kargman, S.; Shahid, M.; Aso, K.; et al. A Chemical Strategy toward Novel Brain-Penetrant EZH2 Inhibitors. ACS Med. Chem. Lett. 2022, 13, 377–387. [Google Scholar] [CrossRef] [PubMed]
- Sadybekov, A.V.; Katritch, V. Computational approaches streamlining drug discovery. Nature 2023, 616, 673–685. [Google Scholar] [CrossRef] [PubMed]
- Sessions, Z.; Sánchez-Cruz, N.; Prieto-Martínez, F.D.; Alves, V.M.; Santos, H.P., Jr.; Muratov, E.; Tropsha, A.; Medina-Franco, J.L. Recent progress on cheminformatics approaches to epigenetic drug discovery. Drug Discov. Today 2020, 25, 2268–2276. [Google Scholar] [CrossRef] [PubMed]
- Prado-Romero, D.L.; Gómez-García, A.; Cedillo-González, R.; Villegas-Quintero, H.; Avellaneda-Tamayo, J.F.; López-López, E.; Saldívar-González, F.I.; Chávez-Hernández, A.L.; Medina-Franco, J.L. Consensus docking aid to model the activity of an inhibitor of DNA methyltransferase 1 inspired by de novo design. Front. Drug Discov. 2023, 3, 1261094. [Google Scholar] [CrossRef]
- Dai, W.; Qiao, X.; Fang, Y.; Guo, R.; Bai, P.; Liu, S.; Li, T.; Jiang, Y.; Wei, S.; Na, Z.; et al. Epigenetics-targeted drugs: Current paradigms and future challenges. Signal Transduct. Target. Ther. 2024, 9, 332. [Google Scholar] [CrossRef]
- Daina, A.; Zoete, V. A BOILED-Egg to Predict Gastrointestinal Absorption and Brain Penetration of Small Molecules. Chem. Med. Chem. 2016, 11, 1117–1121. [Google Scholar] [CrossRef]
- Daina, A.; Michielin, O.; Zoete, V. Swiss ADME: A free web tool to evaluate pharmacokinetics, drug-likeness and medicinal chemistry friendliness of small molecules. Sci. Rep. 2017, 7, 42717. [Google Scholar] [CrossRef]
- Cheng, Y.-C.; Prusoff, W.H. Relationship between the inhibition constant (Ki) and the concentration of inhibitor which causes 50 per cent inhibition (I50) of an enzymatic reaction. Biochem. Pharmacol. 1973, 22, 3099–3108. [Google Scholar] [CrossRef]
- Kitchen, D.B.; Decornez, H.; Furr, J.R.; Bajorath, J. Docking and scoring in virtual screening for drug discovery: Methods and applications. Nat. Rev. Drug Discov. 2004, 3, 935–949. [Google Scholar] [CrossRef]
- McGann, M. FRED Pose Prediction and Virtual Screening Accuracy. J. Chem. Inf. Model. 2011, 51, 578–596. [Google Scholar] [CrossRef]
- Wildman, S.A.; Crippen, G.M. Prediction of physicochemical parameters by atomic contributions. J. Chem. Inf. Comput. Sci. 1999, 39, 868–873. [Google Scholar] [CrossRef]
- Ertl, P.; Rohde, B.; Selzer, P. Fast calculation of molecular polar surface area as a sum of fragment-based contributions and its application to the prediction of drug transport properties. J. Med. Chem. 2000, 43, 3714–3717. [Google Scholar] [CrossRef] [PubMed]
- Wohnsland, F.; Faller, B. High-throughput permeability pH profile and high-throughput alkane/water log P with artificial membranes. J. Med. Chem. 2001, 44, 923–930. [Google Scholar] [CrossRef] [PubMed]
- Di, L.; Kerns, E.H.; Fan, K.; McConnell, O.J.; Carter, G.T. High throughput artificial membrane permeability assay for blood–brain barrier. Eur. J. Med. Chem. 2003, 38, 223–232. [Google Scholar] [CrossRef]
- Kyriakou, S.; Mitsiogianni, M.; Mantso, T.; Cheung, W.; Todryk, S.; Veuger, S.; Pappa, A.; Tetard, D.; Panayiotidis, M.I. Anticancer activity of a novel methylated analogue of L-mimosine against an in vitro model of human malignant melanoma. Investig. New Drugs 2020, 38, 621–633. [Google Scholar] [CrossRef]
- Mitsiogianni, M.; Anestopoulos, I.; Kyriakou, S.; Trafalis, D.T.; Franco, R.; Pappa, A.; Panayiotidis, M.I. Benzyl and phenethyl isothiocyanates as promising epigenetic drug compounds by modulating histone acetylation and methylation marks in malignant melanoma. Investig. New Drugs 2021, 39, 1460–1468. [Google Scholar] [CrossRef]
- Cha, T.-L.; Zhou, B.P.; Xia, W.; Wu, Y.; Yang, C.-C.; Chen, C.-T.; Ping, B.; Otte, A.P.; Hung, M.-C. Akt-Mediated Phosphorylation of EZH2 Suppresses Methylation of Lysine 27 in Histone H3. Science 2005, 310, 306–310. [Google Scholar] [CrossRef]
- Du, D.; Xu, D.; Zhu, L.; Stazi, G.; Zwergel, C.; Liu, Y.; Luo, Z.; Li, Y.; Zhang, Y.; Zhu, K.; et al. Structure-Guided Development of Small-Molecule PRC2 Inhibitors Targeting EZH2-EED Interaction. J. Med. Chem. 2021, 64, 8194–8207. [Google Scholar] [CrossRef]
- Kong, X.; Chen, L.; Jiao, L.; Jiang, X.; Lian, F.; Lu, J.; Zhu, K.; Du, D.; Liu, J.; Ding, H.; et al. Astemizole arrests the proliferation of cancer cells by disrupting the EZH2-EED interaction of polycomb repressive complex 2. J. Med. Chem. 2014, 57, 9512–9521. [Google Scholar] [CrossRef]
- Chen, H.; Gao, S.; Li, J.; Liu, D.; Sheng, C.; Yao, C.; Jiang, W.; Wu, J.; Chen, S.; Huang, W. Wedelolactone disrupts the interaction of EZH2-EED complex and inhibits PRC2-dependent cancer. Oncotarget 2015, 6, 13049–13059. [Google Scholar] [CrossRef]
- Anestopoulos, I.; Sfakianos, A.P.; Franco, R.; Chlichlia, K.; Panayiotidis, M.I.; Kroll, D.J.; Pappa, A. A novel role of silibinin as a putative epigenetic modulator in human prostate carcinoma. Molecules 2017, 22, 62. [Google Scholar] [CrossRef] [PubMed]
- Li, X.; Gera, L.; Zhang, S.; Chen, Y.; Lou, L.; Wilson, L.M.; Xie, Z.-R.; Sautto, G.; Liu, D.; Danaher, A.; et al. Pharmacological inhibition of noncanonical EED-EZH2 signaling overcomes chemoresistance in prostate cancer. Theranostics 2021, 11, 6873–6890. [Google Scholar] [CrossRef] [PubMed]
- Li, X.; Chen, Y.; Bai, L.; Zhao, R.; Wu, Y.; Xie, Z.-R.; Wu, J.M.; Bowen, N.J.; Danaher, A.; Cook, N.; et al. Nicardipine is a putative EED inhibitor and has high selectivity and potency against chemoresistant prostate cancer in preclinical models. Br. J. Cancer 2023, 129, 884–894. [Google Scholar] [CrossRef] [PubMed]
- Huang, J.; Gou, H.; Yao, J.; Yi, K.; Jin, Z.; Matsuoka, M.; Zhao, T. The non-canonical role of EZH2 in cancer. Cancer Sci. 2021, 112, 1376–1382. [Google Scholar] [CrossRef]
- Zimmerman, S.M.; Lin, P.N.; Souroullas, G.P. Non-canonical functions of EZH2 in cancer. Front. Oncol. 2023, 13, 1233953. [Google Scholar] [CrossRef]
- Kim, E.; Kim, M.; Woo, D.-H.; Shin, Y.; Shin, J.; Chang, N.; Oh, Y.T.; Kim, H.; Rheey, J.; Nakano, I.; et al. Phosphorylation of EZH2 activates STAT3 signaling via STAT3 methylation and promotes tumorigenicity of glioblastoma stem-like cells. Cancer Cell 2013, 23, 839–852. [Google Scholar] [CrossRef]
- Berman, H.M.; Westbrook, J.; Feng, Z.; Gilliland, G.; Bhat, T.N.; Weissig, H.; Shindyalov, I.N.; Bourne, P.E. The Protein Data Bank. Nucleic Acids Res. 2000, 28, 235–242. [Google Scholar] [CrossRef]
- Morris, G.M.; Ruth, H.; Lindstrom, W.; Sanner, M.F.; Belew, R.K.; Goodsell, D.S.; Olson, A.J. Software news and updates AutoDock4 and AutoDockTools4: Automated docking with selective receptor flexibility. J. Comput. Chem. 2009, 30, 2785–2791. [Google Scholar] [CrossRef]
- Kim, S.; Chen, J.; Cheng, T.; Gindulyte, A.; He, J.; He, S.; Li, Q.; Shoemaker, B.A.; Thiessen, P.A.; Yu, B.; et al. PubChem 2019 update: Improved access to chemical data. Nucleic Acids Res. 2019, 47, D1102–D1109. [Google Scholar] [CrossRef]
- Goddard, T.D.; Huang, C.C.; Meng, E.C.; Pettersen, E.F.; Couch, G.S.; Morris, J.H.; Ferrin, T.E. UCSF Chimera X: Meeting modern challenges in visualization and analysis. Protein Sci. 2018, 27, 14–25. [Google Scholar] [CrossRef]
- Baroroh, U.; Muscifa, Z.S.; Destiarani, W.; Rohmatullah, F.G.; Yusuf, M. Molecular interaction analysis and visualization of protein-ligand docking using Biovia Discovery Studio Visualizer. Indones. J. Comput. Biol. 2023, 2, 22–30. [Google Scholar]









| EC50 (μM) | ||||
|---|---|---|---|---|
| A375 | Colo-679 | |||
| Time (h) | PF-06726304 | SG-8 | PF-06726304 | SG-8 |
| 24 | 94.0 ± 6.0 | >150.0 | 84.0 ± 4.0 | >150.0 |
| 48 | 52.0 ± 5.0 | 150.0 ± 6.0 | 46.0 ± 5.0 | 148.0 ± 9.0 |
| 72 | 42.0 ± 3.0 | 119.0 ± 12.0 | 29.0 ± 4.0 | 122.0 ± 15.0 |
Disclaimer/Publisher’s Note: The statements, opinions and data contained in all publications are solely those of the individual author(s) and contributor(s) and not of MDPI and/or the editor(s). MDPI and/or the editor(s) disclaim responsibility for any injury to people or property resulting from any ideas, methods, instructions or products referred to in the content. |
© 2026 by the authors. Licensee MDPI, Basel, Switzerland. This article is an open access article distributed under the terms and conditions of the Creative Commons Attribution (CC BY) license.
Share and Cite
Gorbunov, S.; Kyriakou, S.; Anestopoulos, I.; Khoso, S.; Manfredi, M.; Franco, R.; Pappa, A.; Panayiotidis, M.I. Biological Evaluation of a Novel Compound with Predicted EZH2 and EED Binding Against Human Malignant Melanoma Cells. Int. J. Mol. Sci. 2026, 27, 2647. https://doi.org/10.3390/ijms27062647
Gorbunov S, Kyriakou S, Anestopoulos I, Khoso S, Manfredi M, Franco R, Pappa A, Panayiotidis MI. Biological Evaluation of a Novel Compound with Predicted EZH2 and EED Binding Against Human Malignant Melanoma Cells. International Journal of Molecular Sciences. 2026; 27(6):2647. https://doi.org/10.3390/ijms27062647
Chicago/Turabian StyleGorbunov, Sergei, Sotiris Kyriakou, Ioannis Anestopoulos, Shahzaib Khoso, Marcello Manfredi, Rodrigo Franco, Aglaia Pappa, and Mihalis I. Panayiotidis. 2026. "Biological Evaluation of a Novel Compound with Predicted EZH2 and EED Binding Against Human Malignant Melanoma Cells" International Journal of Molecular Sciences 27, no. 6: 2647. https://doi.org/10.3390/ijms27062647
APA StyleGorbunov, S., Kyriakou, S., Anestopoulos, I., Khoso, S., Manfredi, M., Franco, R., Pappa, A., & Panayiotidis, M. I. (2026). Biological Evaluation of a Novel Compound with Predicted EZH2 and EED Binding Against Human Malignant Melanoma Cells. International Journal of Molecular Sciences, 27(6), 2647. https://doi.org/10.3390/ijms27062647

