Diagnostic Value of miR-21, miR-122, miR-145, and miR-146a in Acute Pancreatitis: Findings from the PASEVO Cohort in Southeastern Romania
Abstract
1. Introduction
2. Results
2.1. The Demographic and Clinical Characteristics of Participants
2.2. Expression Levels of the Selected miRNAs in AP Patients
2.3. Correlations Between miRNA Levels and Clinical Variables
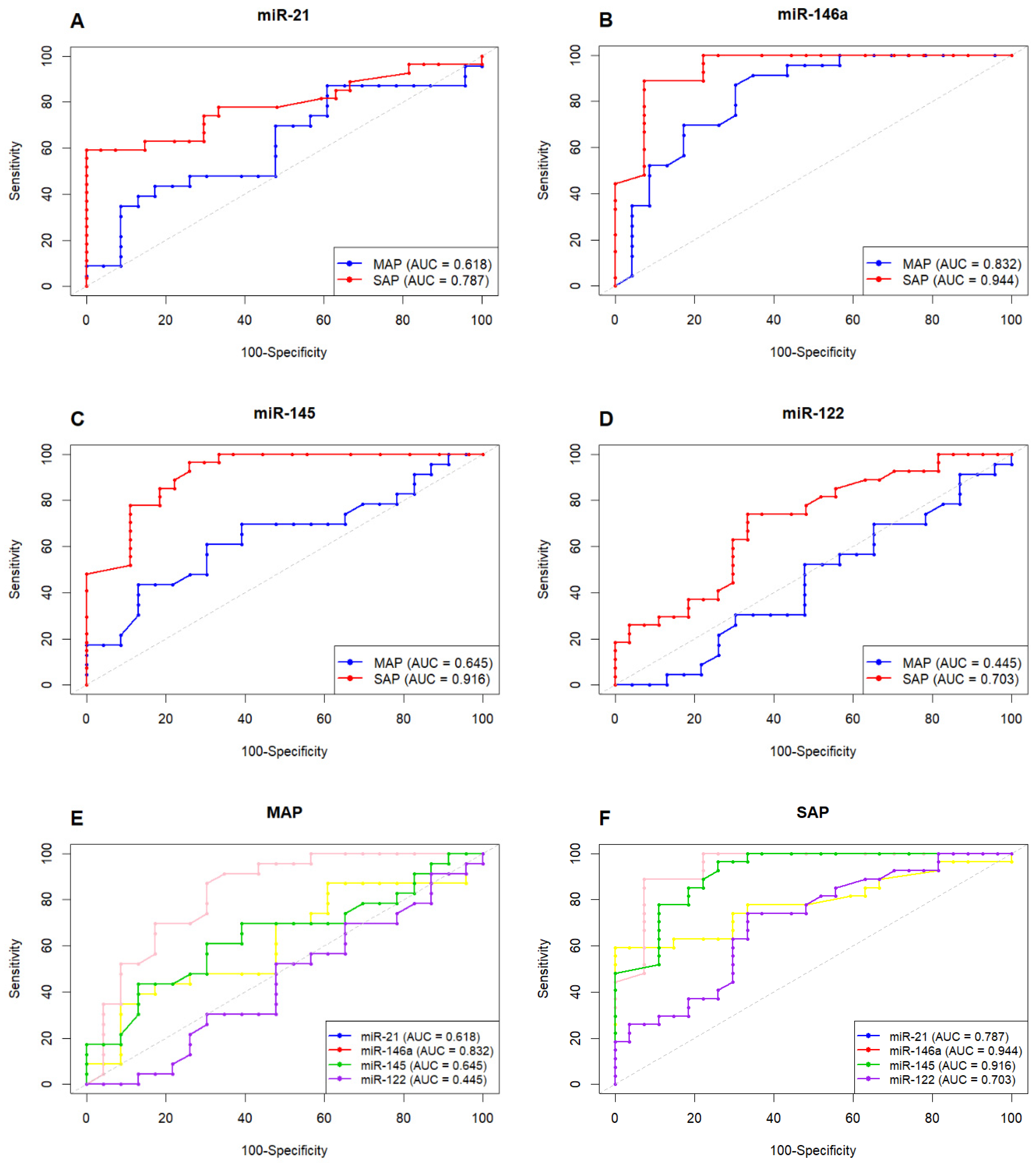
2.4. ROC Analysis of the Selected Serum miRNAs in AP Patients
3. Discussion
4. Materials and Methods
4.1. Study Design
4.2. Preparation of Blood Samples
4.3. MicroRNA Isolation from Serum Samples
4.4. Reverse Transcription of miRNA to Complementary cDNA
4.5. Measurement of miRNA Levels Using Real-Time Quantitative PCR
4.6. Statistical Analysis
5. Conclusions
Author Contributions
Funding
Institutional Review Board Statement
Informed Consent Statement
Data Availability Statement
Acknowledgments
Conflicts of Interest
Abbreviations
| AP | Acute pancreatitis |
| MAP | Mild acute pancreatitis |
| SAP | Severe acute pancreatitis |
| CT | Computed tomography |
| APACHE II | Acute Physiology and Chronic Health Evaluation |
| mi RNA | MicroRNA |
| ESR | Erythrocyte Sedimentation Rate |
| PCR | Polymerase chain reaction |
| ROC | Receiver operating characteristic |
| AUC | Area under the curve |
| ERCP | Endoscopic retrograde cholangiopancreatography |
| SIRS | Systemic inflammatory response syndrome |
| MODS | Multiple organ dysfunction syndrome |
| mRNA | Messenger RNA |
| RT | Room temperature |
| cDNA | Complementary DNA |
| RT | Reverse transcription |
| Ct | Cycle threshold |
| Sn | Sensitivity |
| Sp | specificity |
| CRP | C-reactive protein |
References
- Szatmary, P.; Grammatikopoulos, T.; Cai, W.; Huang, W.; Mukherjee, R.; Halloran, C.; Beyer, G.; Sutton, R. Acute pancreatitis: Diagnosis and treatment. Drugs 2022, 82, 1251–1276. [Google Scholar] [CrossRef]
- Petrov, M.S.; Yadav, D. Global epidemiology and holistic prevention of pancreatitis. Nat. Rev. Gastroenterol. Hepatol. 2019, 16, 175–184. [Google Scholar] [CrossRef]
- Brinzan, C.S.; Aschie, M.; Cozaru, G.C.; Deacu, M.; Dumitru, E.; Burlacu, I.; Mitroi, A. KRAS, NRAS, BRAF, PIK3CA, and AKT1 signatures in colorectal cancer patients in south-eastern Romania. Medicine 2022, 101, e30979. [Google Scholar] [CrossRef]
- Popescu, R.C.; Leopa, N.; Dumitru, E.; Mitroi, A.F.; Tocia, C.; Dumitru, A.; Enache, M.; Botea, F. Influence of type II diabetes mellitus on postoperative complications following colorectal cancer surgery. Exp. Ther. Med. 2022, 24, 611. [Google Scholar] [CrossRef]
- Lu, P.; Wang, F.; Wu, J.; Wang, C.; Yan, J.; Li, Z.L.; Wang, C.Y.; Wang, J.J. Elevated serum miR-7, miR-9, miR-122, and miR-141 are noninvasive biomarkers of acute pancreatitis. Dis. Markers 2017, 2017, 7293459. [Google Scholar] [CrossRef] [PubMed]
- Singh, P.; Garg, P.K. Pathophysiological mechanisms in acute pancreatitis: Current understanding. Indian J. Gastroenterol. 2016, 35, 153–166. [Google Scholar] [CrossRef]
- Sharma, M.; Banerjee, D.; Garg, P.K. Characterization of newer subgroups of fulminant and subfulminant pancreatitis associated with a high early mortality. Off. J. Am. Coll. Gastroenterol. ACG 2007, 102, 2688–2695. [Google Scholar] [CrossRef] [PubMed]
- Gourd, N.M.; Nikitas, N. Multiple organ dysfunction syndrome. J. Intensive Care Med. 2020, 35, 1564–1575. [Google Scholar] [CrossRef]
- Hombach, S.; Kretz, M. Non-coding RNAs: Classification, biology and functioning. In Non-Coding RNAs in Colorectal Cancer; Springer: Cham, Switzerland, 2016; pp. 3–17. [Google Scholar]
- Rolle, K.; Piwecka, M.; Belter, A.; Wawrzyniak, D.; Jeleniewicz, J.; Barciszewska, M.Z.; Barciszewski, J. The sequence and structure determine the function of mature human miRNAs. PLoS ONE 2016, 11, e0151246. [Google Scholar] [CrossRef] [PubMed]
- Starega-Roslan, J.; Krol, J.; Koscianska, E.; Kozlowski, P.; Szlachcic, W.J.; Sobczak, K.; Krzyzosiak, W.J. Structural basis of microRNA length variety. Nucleic Acids Res. 2011, 39, 257–268. [Google Scholar]
- O’connell, R.M.; Rao, D.S.; Chaudhuri, A.A.; Baltimore, D. Physiological and pathological roles for microRNAs in the immune system. Nat. Rev. Immunol. 2010, 10, 111–122. [Google Scholar] [CrossRef] [PubMed]
- Shenoy, A.; Blelloch, R.H. Regulation of microRNA function in somatic stem cell proliferation and differentiation. Nat. Rev. Mol. Cell Biol. 2014, 15, 565–576. [Google Scholar] [CrossRef]
- Huang, Y.; Shen, X.J.; Zou, Q.; Wang, S.P.; Tang, S.M.; Zhang, G.Z. Biological functions of microRNAs: A review. J. Physiol. Biochem. 2011, 67, 129–139. [Google Scholar] [CrossRef]
- Lynam-Lennon, N.; Maher, S.G.; Reynolds, J.V. The roles of microRNA in cancer and apoptosis. Biol. Rev. 2009, 84, 55–71. [Google Scholar] [CrossRef]
- Hashimoto, Y.; Akiyama, Y.; Yuasa, Y. Multiple-to-multiple relationships between microRNAs and target genes in gastric cancer. PLoS ONE 2013, 8, e62589. [Google Scholar] [CrossRef]
- Ryan, P.; Atreya, C. Blood cell microRNAs: What are they and what future do they hold? Transfus. Med. Rev. 2011, 25, 247–251. [Google Scholar] [CrossRef]
- Pritchard, C.C.; Kroh, E.; Wood, B.; Arroyo, J.D.; Dougherty, K.J.; Miyaji, M.M.; Nelson, P.S.; Tewari, M. Blood cell origin of circulating microRNAs: A cautionary note for cancer biomarker studies. Cancer Prev. Res. 2012, 5, 492–497. [Google Scholar] [CrossRef]
- Sourvinou, I.S.; Markou, A.; Lianidou, E.S. Quantification of circulating miRNAs in plasma: Effect of preanalytical and analytical parameters on their isolation and stability. J. Mol. Diagn. 2013, 15, 827–834. [Google Scholar] [CrossRef] [PubMed]
- Tocia, C.; Dumitru, A.; Mateescu, B.; Negreanu, L.; Cozaru, G.C.; Mitroi, A.F.; Popescu, R.C.; Alexandrescu, L. Tissue and Circulating MicroRNA-31, MicroRNA-200b, and MicroRNA-200c Reflects Disease Activity in Crohn’s Disease Patients: Results from the BIOMIR Study. J. Gastrointest. Liver Dis. 2023, 32, 30–38. [Google Scholar] [CrossRef] [PubMed]
- Zhou, W.; Dong, S.; Chen, Z.; Li, X.; Jiang, W. New challenges for microRNAs in acute pancreatitis: Progress and treatment. J. Transl. Med. 2022, 20, 192. [Google Scholar] [CrossRef]
- Xiang, H.; Tao, X.; Xia, S.; Qu, J.; Song, H.; Liu, J.; Shang, D. Targeting microRNA function in acute pancreatitis. Front. Physiol. 2017, 8, 726. [Google Scholar] [CrossRef] [PubMed]
- Liu, P.; Xia, L.; Zhang, W.L.; Ke, H.J.; Su, T.; Deng, L.B.; Li, J.; Lv, N.H. Identification of serum microRNAs as diagnostic and prognostic biomarkers for acute pancreatitis. Pancreatology 2014, 14, 159–166. [Google Scholar] [CrossRef] [PubMed]
- Yang, X.; Ren, Y.; Li, X.; Xia, L.; Wan, J. MiR-146a Reduces Inflammation in Experimental Pancreatitis via the TRAF6-NF-κB Signaling Pathway in Mice. Immun. Inflamm. Dis. 2025, 13, e70163. [Google Scholar] [CrossRef] [PubMed] [PubMed Central]
- Tanoglu, E.G. Differential expressions of miR-223, miR-424, miR-145, miR-200c, miR-139 in experimental rat chronic pancreatitis model and their relationship between oxidative stress, endoplasmic reticulum stress, and apoptosis. Iran. J. Basic Med. Sci. 2021, 24, 1301–1306. [Google Scholar] [CrossRef] [PubMed] [PubMed Central]
- Zhang, S.; Liang, Z.; Xiang, X.; Liu, L.; Yang, H.; Tang, G. Identification and Validation of Hub Genes in Acute Pancreatitis and Hypertriglyceridemia. Diabetes Metab. Syndr. Obes. 2022, 15, 559–577. [Google Scholar] [CrossRef] [PubMed] [PubMed Central]
- Yang, W.; Xu, H.W.; Lu, X.R.; Xu, Q.F.; Tao, M.H.; Dai, Y.M. Overexpression of miR-122 Impairs Intestinal Barrier Function and Aggravates Acute Pancreatitis by Downregulating Occludin Expression. Biochem. Genet. 2022, 60, 382–394. [Google Scholar] [CrossRef] [PubMed]
- Hu, L.; Han, D.; Yu, D.; Ao, D.; Yang, Z. Circulating Blood miR-155 and miR-21 Promote the Development of Acute Pancreatitis and Can Be Used to Assess the Risk Stratification of Pancreatitis. J. Healthc. Eng. 2021, 2021, 2064162. [Google Scholar] [CrossRef] [PubMed] [PubMed Central]
- Mederos, M.A.; Reber, H.A.; Girgis, M.D. Acute pancreatitis: A review. JAMA 2021, 325, 382–390. [Google Scholar] [CrossRef]
- Caserta, S.; Mengozzi, M.; Kern, F.; Newbury, S.F.; Ghezzi, P.; Llewelyn, M.J. Severity of systemic inflammatory response syndrome affects the blood levels of circulating inflammatory-relevant MicroRNAs. Front. Immunol. 2018, 8, 1977. [Google Scholar] [CrossRef]
- Blenkiron, C.; Askelund, K.J.; Shanbhag, S.T.; Chakraborty, M.; Petrov, M.S.; Delahunt, B.; Halloran, C.; Phillips, A.R. MicroRNAs in mesenteric lymph and plasma during acute pancreatitis. Ann. Surg. 2014, 260, 341–347. [Google Scholar] [CrossRef]
- Li, Y.; VandenBoom, T.G.; Wang, Z.; Kong, D.; Ali, S.; Philip, P.A.; Sarkar, F.H. miR-146a suppresses invasion of pancreatic cancer cells. Cancer Res. 2010, 70, 1486–1495. [Google Scholar] [CrossRef]
- Wen, J.; Friedman, J.R. miR-122 regulates hepatic lipid metabolism and tumor suppression. J. Clin. Investig. 2012, 122, 2773–2776. [Google Scholar] [CrossRef] [PubMed]
- Wang, H.; Li, X.; Li, T.; Wang, L.; Wu, X.; Liu, J.; Zhou, Y.; Wei, W. Multiple roles of microRNA-146a in immune responses and hepatocellular carcinoma. Oncol. Lett. 2019, 18, 5033–5042. [Google Scholar] [CrossRef] [PubMed]
- Yu, X.; Li, Z. MicroRNAs regulate vascular smooth muscle cell functions in atherosclerosis. Int. J. Mol. Med. 2014, 34, 923–933. [Google Scholar] [CrossRef]
- Brinzan, C.; Aşchie, M.; Matei, E.; Mitroi, A.; Cozaru, G. Molecular expression profiles of selected microRNAs in colorectal adenocarcinoma in patients from south-eastern part of Romania. Medicine 2019, 98, e18122. [Google Scholar]
- Brînzan, C.; Aşchie, M.; Cozaru, G.; Dumitru, E.; Mitroi, A. The diagnostic value of miR-92a,-143, and-145 expression levels in patients with colorectal adenocarcinoma from Romania. Medicine 2020, 99, e21895. [Google Scholar] [CrossRef]
- Kadkhoda, S.; Ghafouri-Fard, S. Function of miRNA-145–5p in the pathogenesis of human disorders. Pathol. Res. Pract. 2022, 231, 153780. [Google Scholar] [CrossRef]
- Liao, Z.; Zheng, R.; Shao, G. Mechanisms and application strategies of miRNA-146a regulating inflammation and fibrosis at molecular and cellular levels. Int. J. Mol. Med. 2022, 51, 7. [Google Scholar] [CrossRef]
- Saba, R.; Sorensen, D.L.; Booth, S.A. MicroRNA-146a: A dominant, negative regulator of the innate immune response. Front. Immunol. 2014, 5, 578. [Google Scholar] [CrossRef] [PubMed]
- Li, X.Y.; Wang, Y.F.; Li, N. Circulating microRNA-146a and microRNA-146b exhibit potential to serve as markers for acute pancreatitis management and prognosis. Eur. Rev. Med. Pharmacol. Sci. 2020, 24, 12770–12780. [Google Scholar]
- Hu, J.; Xu, Y.; Hao, J.; Wang, S.; Li, C.; Meng, S. MiR-122 in hepatic function and liver diseases. Protein Cell 2012, 3, 364–371. [Google Scholar] [CrossRef]
- Madhavan, B.; Yue, S.; Galli, U.; Rana, S.; Gross, W.; Müller, M.; Zerweck, J.; Zöller, M. Combined evaluation of a panel of protein and miRNA serum-exosome biomarkers for pancreatic cancer diagnosis increases sensitivity and specificity. Int. J. Cancer 2015, 136, 2616–2627. [Google Scholar] [CrossRef]
- Gallo, A.; Tandon, M.; Alevizos, I.; Illei, G.G. The majority of microRNAs detectable in serum and saliva is concentrated in exosomes. PLoS ONE 2012, 7, e30679. [Google Scholar] [CrossRef] [PubMed]
- Garg, P.K.; Singh, V.P. Organ failure due to systemic injury in acute pancreatitis. Gastroenterology 2019, 156, 2008–2023. [Google Scholar] [CrossRef]
- Wang, J.; Chen, J.; Sen, S. MicroRNA as biomarkers and diagnostics. J. Cell. Physiol. 2016, 231, 25–30. [Google Scholar] [CrossRef] [PubMed]
- Banks, P.A.; Bollen, T.L.; Dervenis, C.; Gooszen, H.G.; Johnson, C.D.; Sarr, M.G.; Tsimoyiannis, E.C.; Vege, S.S.; Reinstrup, B.; Sanchez, E.; et al. Classification of acute pancreatitis—2012: Revision of the Atlanta classification and definitions by international consensus. Gut 2013, 62, 102–111. [Google Scholar] [CrossRef]
- Livak, K.J.; Schmittgen, T.D. Analysis of relative gene expression data using real-time quantitative PCR and the 2−ΔΔCt method. Methods 2001, 25, 402–408. [Google Scholar] [CrossRef]
- Zweig, M.H.; Campbell, G. Receiver-operating characteristic (ROC) plots: A fundamental evaluation tool in clinical medicine. Clin. Chem. 1993, 39, 561–577. [Google Scholar] [CrossRef]


| Variables | MAP (n = 23) | SAP (n = 27) | Control (n = 24) | p a | p b |
|---|---|---|---|---|---|
| Age (y), mean ± SD | 56.78 ± 15.85 | 64.55 ± 16.92 | 55 ± 16.76 | 0.29 | 0.46 |
| Sex (F/M), N | 9/14, 23 | 10/17, 27 | 12/12, 24 | 0.21 | 0.98 |
| Area (Rural/Urban), N | 12/11, 23 | 8/19, 27 | 0/24, 24 | 0.83 | <0.01 |
| Balthazar (C/D/E), N | 21/0/1, 22 | 1/5/21, 27 | - | - | 0.55 |
| AMY (U/L), mean (min–max) | 722.89 (34–3280) | 1262.14 (120–3665) | - | - | <0.01 |
| LPS (U/L), mean (min–max) | 1698.33 (22.2–15,200) | 1533.07 (115–4059) | - | - | 0.18 |
| Ca (mmol/L), mean (min–max) | 1.05 (0.6–1.26) | 1.02 (0.5–1.5) | - | - | 0.29 |
| Blood sugar (mmol/L), mean (min–max) | 189.90 (63–1204) | 221.03 (62–1204) | - | - | 0.32 |
| TG (mg/dL), mean (min–max) | 421.55 (89–2821) | 354.20 (101–2500) | - | - | 0.58 |
| Ranson | 3.63 (1–7) | 5.18 (2–9) | - | - | 0.01 |
| APACHE II | 8 (0–27) | 15.33 (1–34) | - | - | <0.01 |
| CRP | 12.58 (3.46–27) | 26.41 (2.6–54.5) | - | - | <0.01 |
| Leukocytosis (Y/N), N | 14/9, 23 | 23/4, 27 | - | - | 0.29 |
| ESR | 44.35 (1–141) | 55.42 (3.9–141) | - | - | 0.44 |
| Etiology | |||||
| Biliary (Y/N), N | 8/15, 23 | 13/14, 27 | - | - | 0.24 |
| Ethanol (Y/N), N | 6/17, 23 | 7/20, 27 | - | - | 0.82 |
| Metabolic (Y/N), N | 2/21, 23 | 6/20, 26 | - | - | 0.97 |
| Post interventional (Y/N), N | 5/18, 23 | 2/25, 27 | - | - | 0.90 |
| Dysfunctions | |||||
| Neurological (Y/N), N | 20/3, 23 | 12/15, 27 | - | - | 0.93 |
| Cardiovascular (Y/N), N | 4/19, 23 | 14/13, 27 | - | - | 0.79 |
| Respiratory (Y/N), N | 4/19, 23 | 12/15, 27 | - | - | 0.64 |
| Renal (Y/N), N | 6/17, 23 | 13/14, 27 | - | - | 0.72 |
| Fluidocoagulant (Y/N), N | 7/16, 23 | 16/11, 27 | - | - | 0.95 |
| Hematological (Y/N), N | 6/17, 23 | 14/13, 27 | - | - | 0.91 |
| Variable | miR-21 (r; p) | miR-146a (r; p) | miR-145 (r; p) | miR-122 (r; p) |
|---|---|---|---|---|
| Sex | r = 0.15; p = 0.29 | r = −0.07; p =0.58 | r = 0.06; p =0.65 | r = 0.20; p =0.15 |
| Age | r = 0.07; p = 0.62 | r = 0.002; p = 0.98 | r = −0.14; p = 0.32 | r = 0.20; p = 0.14 |
| Geographical distribution | r = 0.10; p = 0.48 | r = −0.14; p = 0.32 | r = −0.29; p = 0.03 | r = 0.24; p = 0.08 |
| Balthazar | r = 0.38; p < 0.01 | r = −0.26; p =0.06 | r = −0.54; p < 0.01 | r = 0.43; p < 0.01 |
| AMY | r = 0.03; p = 0.79 | r = −0.43; p < 0.01 | r = −0.22; p = 0.11 | r = 0.009; p = 0.95 |
| LPS | r = −0.12; p = 0.39 | r = −0.11; p = 0.41 | r = 0.21; p = 0.14 | r = −0.02; p = 0.88 |
| Ca | r = −0.2; p = 0.04 | r = −0.03; P = 0.81 | r = 0.02; p = 0.88 | r = −0.20; p = 0.18 |
| Blood sugar | r = −0.14; p = 0.32 | r = 0.26; p = 0.07 | r = 0.15; p = 0.30 | r = 0.24; p = 0.08 |
| TG | r = −0.08; p = 0.66 | r = −0.11; p = 0.54 | r = −0.10; p = 0.57 | r = −0.14; p = 0.44 |
| Ranson | r = 0.27; p = 0.05 | r = 0.15; p = 0.29 | r = −0.20; p = 0.16 | r = 0.40; p < 0.01 |
| Apache II | r = 0.28; p = 0.04 | r = 0.10; p = 0.47 | r = −0.19; p = 0.18 | r = 0.49; p < 0.01 |
| CRP | r = 0.18; p = 0.32 | r = −0.13; p =0.48 | r = −0.29; p = 0.11 | r = 0.25; p = 0.17 |
| Leukocytosis | r = 0.30; p = 0.03 | r = −0.24; p = 0.09 | r = −0.23; p = 0.10 | r = −0.04; p = 0.74 |
| ESR | r = 0.24; p = 0.20 | r = 0.18; p = 0.32 | r = 0.03; p = 0.87 | r = 0.34; p = 0.06 |
| Etiology | ||||
| Biliary | r = 0.12; p = 0.38 | r = 0.01; p = 0.90 | r = 0.05; p = 0.72 | r = 0.11; p = 0.42 |
| Ethanol | r = −0.04; p = 0.73 | r = 0.15; p = 0.27 | r = 0.04; p = 0.75 | r = 0.17; p = 0.21 |
| Metabolic | r = −0.04; p = 0.78 | r = −0.04; p = 0.76 | r = −0.19; p = 0.17 | r = 0.14; p = 0.30 |
| Post interventional | r = −0.11; p = 0.44 | r = −0.08; p = 0.55 | r = −0.04; p = 0.77 | r = −0.10; p = 0.44 |
| Dysfunctions | ||||
| Neurological | r = 0.23; p = 0.10 | r = 0.09; p = 0.51 | r = −0.09; p = 0.51 | r = 0.45; p < 0.01 |
| Cardiovascular | r = 0.20; p = 0.15 | r = 0.007; p = 0.95 | r = −0.14; p = 0.32 | r = 0.36; p < 0.01 |
| Respiratory | r = 0.19; p = 0.17 | r = 0.08; p = 0.55 | r = −0.03; p = 0.78 | r = 0.31; p = 0.02 |
| Renal | r = 0.08; p = 0.56 | r = 0.17; p = 0.23 | r = −0.08; p = 0.55 | r = 0.40; p < 0.01 |
| Fluidocoagulant | r = 0.12; p = 0.37 | r = −0.03; p = 0.83 | r = −0.23; p = 0.09 | r = 0.42; p < 0.01 |
| Hematological | r = 0.11; p = 0.44 | r = −0.02; p = 0.88 | r = −0.16; p = 0.24 | r = 0.40; p < 0.01 |
| miRNA | AUROC (CI; p Value) | Sensitivity | Specificity | Cut-Off |
|---|---|---|---|---|
| MAP | ||||
| miR-21 | 0.618 (0.463–0.757; p = 0.16 | 39.13% | 86.96% | 0.26 |
| miR-122 | 0.445 (0.401–0.701; p = 0.52) | 95.65% | 21.74% | 0.17 |
| miR-145 | 0.645 (0.490–0.780; p = 0.08) | 60.87% | 69.57% | 0.30 |
| miR-146a | 0.832 (0.692–0.926; p < 0.001) | 86.96% | 69.57% | 0.56 |
| SAP | ||||
| miR-21 | 0.787 (0.654–0.0886; p < 0.001) | 59.26% | 100.00% | 0.59 |
| miR-122 | 0.703 (0.563–0.820; p = 0.004) | 74.07% | 66.67% | 0.40 |
| miR-145 | 0.916 (0.808–0.974; p < 0.001) | 96.30% | 74.07% | 0.70 |
| miR-146a | 0.944 (0.845–0.988; p < 0.001) | 88.89% | 92.59% | 0.81 |
| Combinations | AUROC (CI; p Value) | Sensitivity | Specificity | Cut-Off |
|---|---|---|---|---|
| MAP | 0.858 (0.724–0.943; p < 0.001) | 86.96% | 78.26% | 0.65 |
| SAP | 0.993 (0.921–1.000; p < 0.001) | 96.30% | 100.00% | 0.96 |
| Nr. Crt. | miRNA | Mature miRNA Sequence |
|---|---|---|
| 1. | hsa-miR-21-5p | UAGCUUAUCAGACUGAUGUUGA |
| 2. | hsa-miR-122-5p | UGGAGUGUGACAAUGGUGUUUG |
| 3. | hsa-miR-145-5p | GUCCAGUUUUCCCAGGAAUCCCU |
| 4. | hsa-miR-146a-5p | UGAGAACUGAAUUCCAUGGGUU |
| 5. | hsa-miR-16-5p | CCAAUAUUACUGUGCUGCUUUA |
Disclaimer/Publisher’s Note: The statements, opinions and data contained in all publications are solely those of the individual author(s) and contributor(s) and not of MDPI and/or the editor(s). MDPI and/or the editor(s) disclaim responsibility for any injury to people or property resulting from any ideas, methods, instructions or products referred to in the content. |
© 2026 by the authors. Licensee MDPI, Basel, Switzerland. This article is an open access article distributed under the terms and conditions of the Creative Commons Attribution (CC BY) license.
Share and Cite
Iosif, D.; Brînzan, C.S.; Suceveanu, A.I.; Cîndea, I.; Gherghina, V.; Prăzaru, M.D.; Nicoară, A.D.; Voinea, F.; Vizireanu, M.-G.; Mitroi, A.N.; et al. Diagnostic Value of miR-21, miR-122, miR-145, and miR-146a in Acute Pancreatitis: Findings from the PASEVO Cohort in Southeastern Romania. Int. J. Mol. Sci. 2026, 27, 2264. https://doi.org/10.3390/ijms27052264
Iosif D, Brînzan CS, Suceveanu AI, Cîndea I, Gherghina V, Prăzaru MD, Nicoară AD, Voinea F, Vizireanu M-G, Mitroi AN, et al. Diagnostic Value of miR-21, miR-122, miR-145, and miR-146a in Acute Pancreatitis: Findings from the PASEVO Cohort in Southeastern Romania. International Journal of Molecular Sciences. 2026; 27(5):2264. https://doi.org/10.3390/ijms27052264
Chicago/Turabian StyleIosif, Diana, Costel Stelian Brînzan, Andra Iulia Suceveanu, Iulia Cîndea, Viorel Gherghina, Marius Dragoș Prăzaru, Alina Doina Nicoară, Felix Voinea, Miruna-Gabriela Vizireanu, Adrian Neluțu Mitroi, and et al. 2026. "Diagnostic Value of miR-21, miR-122, miR-145, and miR-146a in Acute Pancreatitis: Findings from the PASEVO Cohort in Southeastern Romania" International Journal of Molecular Sciences 27, no. 5: 2264. https://doi.org/10.3390/ijms27052264
APA StyleIosif, D., Brînzan, C. S., Suceveanu, A. I., Cîndea, I., Gherghina, V., Prăzaru, M. D., Nicoară, A. D., Voinea, F., Vizireanu, M.-G., Mitroi, A. N., Mitroi, A. F., & Suceveanu, A. P. (2026). Diagnostic Value of miR-21, miR-122, miR-145, and miR-146a in Acute Pancreatitis: Findings from the PASEVO Cohort in Southeastern Romania. International Journal of Molecular Sciences, 27(5), 2264. https://doi.org/10.3390/ijms27052264

