Rapid GC-MS Characterization of Oleoresin, Turpentine and Rosin Using Tailored Chromatographic Programs
Abstract
1. Introduction

2. Results and Discussion
2.1. Qualitative Analysis of Main Compounds in Oleoresin
2.2. Quantitative Analysis of Main Compounds in Oleoresin
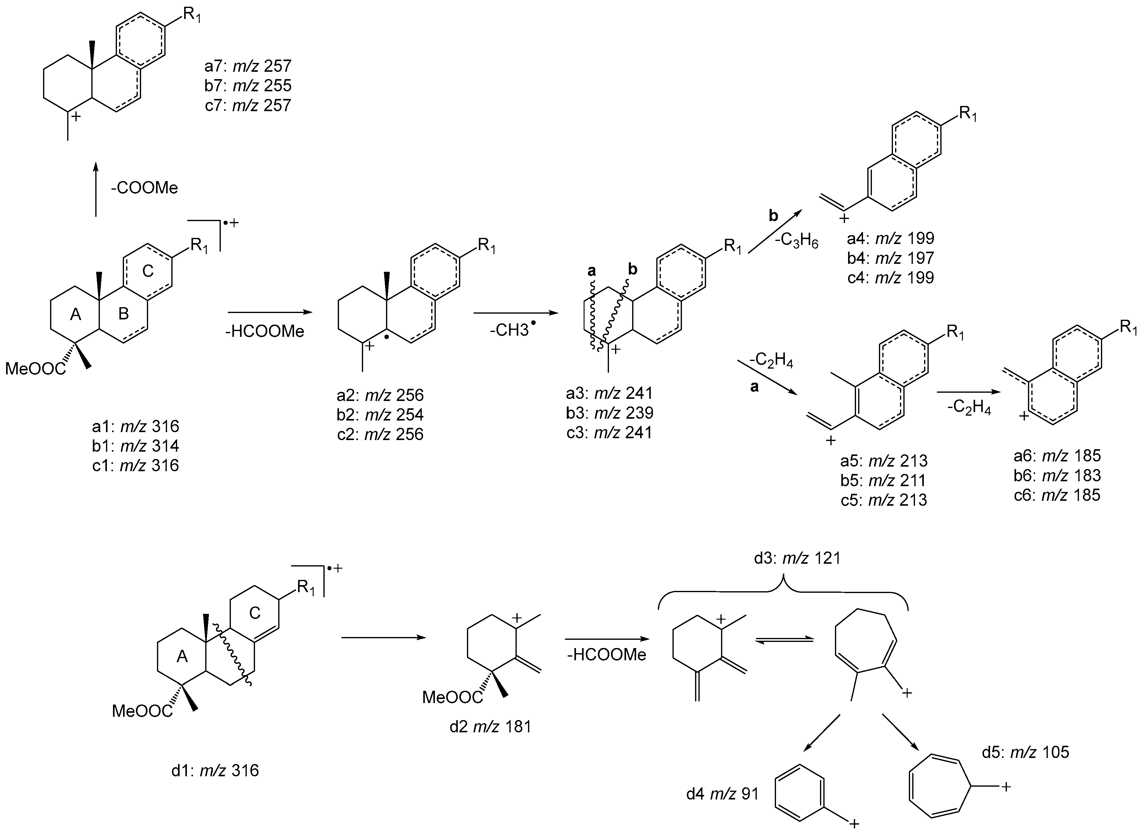
2.3. Qualitative Analysis of Main Resin Acids in Rosin
2.4. Quantitative Analysis of Main Resin Acids in Rosin
2.5. Qualitative Analysis of Main Terpenic Compounds in Turpentine
2.6. Quantitative Analysis of Main Terpenic Compounds in Turpentine
3. Materials and Methods
3.1. Materials
3.2. Gas Chromatography Coupled with Mass Spectrometry Analysis
3.2.1. Derivatization by Methylation with Diazomethane
3.2.2. GC-MS Equipment
3.2.3. GC-MS Temperature Programs
3.2.4. Qualitative Analysis
3.2.5. Quantitative Analysis
3.3. Statistical Analysis
4. Conclusions
Supplementary Materials
Author Contributions
Funding
Institutional Review Board Statement
Informed Consent Statement
Data Availability Statement
Conflicts of Interest
Abbreviations
| EI-MS | Electron ionization mass spectrometry |
| GC-MS | Gas chromatography coupled with mass spectrometry |
| GC-FID | Gas chromatography coupled with flame ionization detector |
| IS | Internal standard |
| RT | Retention time |
| SD | Standard deviation |
| TMAH | Tetramethylammonium hydroxide |
References
- Silvestre, A.J.D.; Gandini, A. Rosin: Major Sources, Properties and Applications. In Monomers, Polymers and Composites from Renewable Resources; Elsevier: Amsterdam, The Netherlands, 2008; pp. 67–88. [Google Scholar] [CrossRef]
- Zinkel, D.F.; Russell, J. Naval Stores: Production, Chemistry, Utilization; Zinkel, D.F., Russell, J., Eds.; Pulp Chemical Assn: New York, NY, USA, 1989; ISBN 9999817734. [Google Scholar]
- Rubini, M.; Clopeau, A.; Sandak, J.; Dumarcay, S.; Sandak, A.; Gerardin, P.; Charrier, B. Characterization and Classification of Pinus Oleoresin Samples According to Pinus Species, Tapping Method, and Geographical Origin Based on Chemical Composition and Chemometrics. Biocatal. Agric. Biotechnol. 2022, 42, 102340. [Google Scholar] [CrossRef]
- Kopaczyk, J.M.; Warguła, J.; Jelonek, T. The Variability of Terpenes in Conifers under Developmental and Environmental Stimuli. Environ. Exp. Bot. 2020, 180, 104197. [Google Scholar] [CrossRef]
- Keeling, C.I.; Bohlmann, J. Diterpene Resin Acids in Conifers. Phytochemistry 2006, 67, 2415–2423. [Google Scholar] [CrossRef] [PubMed]
- Seixas, N.; Serrano, J.; Pinto, S.; Araújo, B.; Viola, B.; Vilela, C.; Santos, S.A.O.; Freire, C.S.R.; Silvestre, A.J.D. A Sustainable Approach to Produce Light-Colored Rosin and Rosin Esters during Processing Using Natural Antioxidants. Ind. Crops Prod. 2025, 238, 122345. [Google Scholar] [CrossRef]
- Kugler, S.; Ossowicz, P.; Malarczyk-Matusiak, K.; Wierzbicka, E. Advances in Rosin-Based Chemicals: The Latest Recipes, Applications and Future Trends. Molecules 2019, 24, 1651. [Google Scholar] [CrossRef]
- Li, X.Q.; Chen, Y. Rosin: A Comprehensive Review on Traditional Uses, Phytochemistry, and Pharmacology. Fitoterapia 2024, 177, 106068. [Google Scholar] [CrossRef]
- Yadav, B.K.; Gidwani, B.; Vyas, A. Rosin: Recent Advances and Potential Applications in Novel Drug Delivery System. J. Bioact. Compat. Polym. 2016, 31, 111–126. [Google Scholar] [CrossRef]
- Mandaogade, P.M.; Satturwar, P.M.; Fulzele, S.V.; Gogte, B.B.; Dorle, A.K. Rosin Derivatives: Novel Film Forming Materials for Controlled Drug Delivery. React. Funct. Polym. 2002, 50, 233–242. [Google Scholar] [CrossRef]
- López-Álvarez, Ó.; Zas, R.; Marey-Perez, M. Resin Tapping: A Review of the Main Factors Modulating Pine Resin Yield. Ind. Crops Prod. 2023, 202, 117105. [Google Scholar] [CrossRef]
- Nerg, A.; Kainulainen, P.; Vuorinen, M.; Hanso, M.; Holopainen, J.K.; Kurkela, T. Seasonal and Geographical Variation of Terpenes, Resin Acids and Total Phenolics in Nursery Grown Seedlings of Scots Pine (Pinus sylvestris L.). New Phytol. 1994, 128, 703–713. [Google Scholar] [CrossRef]
- Velasco-García, M.V.; Hernández-Hernández, A. Geographic and Climatic Variation in Resin Components and Quality of Pinus Oocarpa in Southern Mexico Provenances. Plants 2024, 13, 1755. [Google Scholar] [CrossRef]
- Salomé-Abarca, L.F.; van der Pas, J.; Kim, H.K.; van Uffelen, G.A.; Klinkhamer, P.G.L.; Choi, Y.H. Metabolic Discrimination of Pine Resins Using Multiple Analytical Platforms. Phytochemistry 2018, 155, 37–44. [Google Scholar] [CrossRef] [PubMed]
- Medeiros, P.M. Gas Chromatography–Mass Spectrometry (GC–MS); Springer International Publishing: Berlin/Heidelberg, Germany, 2018; pp. 530–535. [Google Scholar]
- Zinkel, D.F.; Engler, C.C. Gas-Liquid Chromatography of Resin Acid Esters. J. Chromatogr. A 1977, 136, 245–252. [Google Scholar] [CrossRef]
- Joye, N.M.; Lawrence, R.V. Resin Acid Composition of Pine Oleoresins. J. Chem. Eng. Data 1967, 12, 279–282. [Google Scholar] [CrossRef]
- Hudy, J.A. Resin Acids. Gas Chromatography of Their Methyl Esters. Anal. Chem. 1959, 31, 1754–1756. [Google Scholar] [CrossRef]
- Azemard, C.; Menager, M.; Vieillescazes, C. Analysis of Diterpenic Compounds by GC-MS/MS: Contribution to the Identification of Main Conifer Resins. Anal. Bioanal. Chem. 2016, 408, 6599–6612. [Google Scholar] [CrossRef]
- Kononenko, I.; de Viguerie, L.; Rochut, S.; Walter, P. Qualitative and Quantitative Studies of Chemical Composition of Sandarac Resin by GC-MS. Environ. Sci. Pollut. Res. 2017, 24, 2160–2165. [Google Scholar] [CrossRef]
- Wang, S. Synthesis of Light-Colored Rosin Glycerol Ester. Holzforschung 2007, 61, 499–503. [Google Scholar] [CrossRef]
- Pinheiro, Â.; Martins, I.; Bento, A.; Escórcio, R.; Nunes, C.; Varela, A.; Nunes, J.; Afonso, C.A.M.; Silva Pereira, C. Rosin from Pinus Pinaster Portuguese Forests Shows a Regular Profile of Resin Acids. Front. Plant Sci. 2023, 14, 1268887. [Google Scholar] [CrossRef]
- João Serralheiro Rosa, M. Caracterização de Amostras de Resina por GC-MS, RMN E Análise Quimiométrica. Master’s Thesis, University of Coimbra, Coimbra, Portugal, 2014. [Google Scholar]
- Osete-Cortina, L.; Doménech-Carbó, M.T.; Mateo-Castro, R.; Gimeno-Adelantado, J.V.; Bosch-Reig, F. Identification of Diterpenes in Canvas Painting Varnishes by Gas Chromatography–Mass Spectrometry with Combined Derivatisation. J. Chromatogr. A 2004, 1024, 187–194. [Google Scholar] [CrossRef]
- Joye, N.M.; Lawrence, R.V.; Gough, L.J. Presence of Sandaracopimaric and Δ8(9)-Isopimaric Acids in Pine Oleoresin. J. Org. Chem. 1966, 31, 320–321. [Google Scholar] [CrossRef]
- Holmbom, B.; Avela, E.; Pekkala, S. Capillary Gas Chromatography-mass Spectrometry of Resin Acids in Tall Oil Rosin. J. Am. Oil Chem. Soc. 1974, 51, 397. [Google Scholar] [CrossRef]
- Pavon, C.; Aldas, M.; Hernández-Fernández, J.; López-Martínez, J. Comparative Characterization of Gum Rosins for Their Use as Sustainable Additives in Polymeric Matrices. J. Appl. Polym. Sci. 2022, 139, 51734. [Google Scholar] [CrossRef]
- Watts, S.; de la Rie, E.R. GCMS Analysis of Triterpenoid Resins: In Situ Derivatization Procedures Using Quaternary Ammonium Hydroxides. Stud. Conserv. 2002, 47, 257–272. [Google Scholar] [CrossRef]
- Lai, M.; Zhang, L.; Lei, L.; Liu, S.; Jia, T.; Yi, M. Inheritance of Resin Yield and Main Resin Components in Pinus Elliottii Engelm. at Three Locations in Southern China. Ind. Crops Prod. 2020, 144, 112065. [Google Scholar] [CrossRef]
- Arrabal, C.; Cortijo, M.; de Simón, B.F.; García Vallejo, M.C.; Cadahía, E. Differentiation among Five Spanish Pinus Pinaster Provenances Based on Its Oleoresin Terpenic Composition. Biochem. Syst. Ecol. 2005, 33, 1007–1016. [Google Scholar] [CrossRef]
- Ding, X.; Li, Y.; Zhang, Y.; Diao, S.; Luan, Q.; Jiang, J. Genetic Analysis and Elite Tree Selection of the Main Resin Components of Slash Pine. Front. Plant Sci. 2023, 14, 1079952. [Google Scholar] [CrossRef]
- Cohen, J.D. Convenient Apparatus for the Generation of Small Amounts of Diazomethane. J. Chromatogr. A 1984, 303, 193–196. [Google Scholar] [CrossRef]
- Barkawi, L.S.; Cohen, J.D. A Method for Concurrent Diazomethane Synthesis and Substrate Methylation in a 96-Sample Format. Nat. Protoc. 2010, 5, 1619–1626. [Google Scholar] [CrossRef]
- Osete-Cortina, L.; Doménech-Carbó, M.T. Analytical Characterization of Diterpenoid Resins Present in Pictorial Varnishes Using Pyrolysis–Gas Chromatography–Mass Spectrometry with on Line Trimethylsilylation. J. Chromatogr. A 2005, 1065, 265–278. [Google Scholar] [CrossRef] [PubMed]
- Yao, G.; Li, X.; Yu, D.; Li, S.; Chen, X.; Liang, J.; Wang, L. Comprehensive Insights into Color, Oil Content, and Chemical Component Variations and Mediated Browning Mechanistic DFT Study in Crude Pine Oleoresin (Pinus massoniana) Melt Processing. Ind. Crops Prod. 2025, 225, 120502. [Google Scholar] [CrossRef]
- Dethlefs, F.; Gerhardt, K.O.; Stan, H.-J. Gas Chromatography/Mass Spectrometry of 13 Resin Acids as Their PFB Esters. J. Mass Spectrom. 1996, 31, 1163–1168. [Google Scholar] [CrossRef]
- Fan, S.; Chang, J.; Zong, Y.; Hu, G.; Jia, J. GC-MS Analysis of the Composition of the Essential Oil from Dendranthema Indicum Var. Aromaticum Using Three Extraction Methods and Two Columns. Molecules 2018, 23, 576. [Google Scholar] [CrossRef]
- Kubala, D.; Drage, E.A.; Al-Faydhi, A.M.E.; Kočíšek, J.; Papp, P.; Matejčík, V.; Mach, P.; Urban, J.; Limão-Vieira, P.; Hoffmann, S.V.; et al. Electron Impact Ionisation and UV Absorption Study of α- and β-Pinene. Int. J. Mass Spectrom. 2009, 280, 169–173. [Google Scholar] [CrossRef]
- Khalilov, L.M.; Khalilova, A.Z.; Odinokov, V.N.; Baltaev, U.A.; Paramonov, E.A.; Dzhemilev, U.M. Identification and Biological Activity of the Volatile Organic Substances Emitted by Plants and Insects II. Sesquiterpene Composition of the Native Scent of Leaves of the PotatoSolanum Tuberosum. Chem. Nat. Compd. 1999, 35, 422–426. [Google Scholar] [CrossRef]
- Sadeghi, H.; Tahery, Y.; Moradi, S. Intra- and Inter-Specific Variation of Turpentine Composition in Eldar Pine (Pinus Eldarica Medw.) and Black Pine (Pinus Nigra Arnold). Biochem. Syst. Ecol. 2013, 48, 189–193. [Google Scholar] [CrossRef]
- Russo, M.V.; Avino, P. Characterization and Identification of Natural Terpenic Resins Employed in “Madonna Con Bambino e Angeli” by Antonello Da Messina Using Gas Chromatography–Mass Spectrometry. Chem. Cent. J. 2012, 6, 59. [Google Scholar] [CrossRef]
- Szmigielski, R.; Cieslak, M.; Rudziński, K.J.; Maciejewska, B. Identification of Volatiles from Pinus Silvestris Attractive for Monochamus Galloprovincialis Using a SPME-GC/MS Platform. Environ. Sci. Pollut. Res. 2012, 19, 2860–2869. [Google Scholar] [CrossRef]
- Arrabal, C.; Cortijo, M.; de Simón, B.F.; García-Vallejo, M.C.; Cadahía, E. Pinus Pinaster Oleoresin in Plus Trees. Holzforschung 2002, 56, 261–266. [Google Scholar] [CrossRef]
- Adams, R.P.; Beauchamp, P.S.; Dev, V.; Bathala, R.M. The Leaf Essential Oils of Juniperus Communis L. Varieties in North America and the NMR and MS Data for Isoabienol. J. Essent. Oil Res. 2010, 22, 23–28. [Google Scholar] [CrossRef]
- Rodrigues, K.C.d.S.; Apel, M.A.; Henriques, A.T.; Fett-Neto, A.G. Efficient Oleoresin Biomass Production in Pines Using Low Cost Metal Containing Stimulant Paste. Biomass Bioenergy 2011, 35, 4442–4448. [Google Scholar] [CrossRef]
- van ’t Erve, T.J.; Rautiainen, R.H.; Robertson, L.W.; Luthe, G. Trimethylsilyldiazomethane: A Safe Non-Explosive, Cost Effective and Less-Toxic Reagent for Phenol Derivatization in GC Applications. Environ. Int. 2010, 36, 835–842. [Google Scholar] [CrossRef] [PubMed]
- Proctor, L.D.; Warr, A.J. Development of a Continuous Process for the Industrial Generation of Diazomethane. Org. Process Res. Dev. 2002, 6, 884–892. [Google Scholar] [CrossRef]







| Compound | Mass Percentage (w/w%) | |
|---|---|---|
| External Calibration | Peak Area Percentage | |
| Mono- and sesquiterpenic compounds | ||
| α-Pinene (1) | 6.67 ± 1.08 | 10.90 ± 2.60 |
| β-Pinene (3) | 1.40 ± 0.30 | 1.70 ± 0.65 |
| Longifolene (10) | 2.45 ± 0.20 | 4.00 ± 1.34 |
| β-Caryophyllene (11) | 1.71 ± 0.15 | 2.80 ± 0.84 |
| Total mono- and sesquiterpenic compounds * | 14.98 ± 2.10 | 27.64 ± 3.20 |
| Resin Acids | ||
| Isopimaric + Palustric + Levopimaric acids (22, 23, 24) | 33.75 ± 2.73 | 24.69 ± 3.10 |
| Dehydroabietic acid (25) | 5.45 ± 1.01 | 3.86 ± 0.80 |
| Abietic acid (26) | 12.60 ± 2.93 | 8.88 ± 1.33 |
| Neoabietic acid (29) | 13.97 ± 1.70 | 9.93 ± 1.10 |
| Total resin acids * | 82.80 ± 6.20 | 64.69 ± 4.57 |
| Total * | 97.28 ± 6.57 | 92.33 ± 7.20 |
Disclaimer/Publisher’s Note: The statements, opinions and data contained in all publications are solely those of the individual author(s) and contributor(s) and not of MDPI and/or the editor(s). MDPI and/or the editor(s) disclaim responsibility for any injury to people or property resulting from any ideas, methods, instructions or products referred to in the content. |
© 2026 by the authors. Licensee MDPI, Basel, Switzerland. This article is an open access article distributed under the terms and conditions of the Creative Commons Attribution (CC BY) license.
Share and Cite
Seixas, N.; Santos, S.A.O.; Silvestre, A.J.D. Rapid GC-MS Characterization of Oleoresin, Turpentine and Rosin Using Tailored Chromatographic Programs. Int. J. Mol. Sci. 2026, 27, 1690. https://doi.org/10.3390/ijms27041690
Seixas N, Santos SAO, Silvestre AJD. Rapid GC-MS Characterization of Oleoresin, Turpentine and Rosin Using Tailored Chromatographic Programs. International Journal of Molecular Sciences. 2026; 27(4):1690. https://doi.org/10.3390/ijms27041690
Chicago/Turabian StyleSeixas, Nalin, Sónia A. O. Santos, and Armando J. D. Silvestre. 2026. "Rapid GC-MS Characterization of Oleoresin, Turpentine and Rosin Using Tailored Chromatographic Programs" International Journal of Molecular Sciences 27, no. 4: 1690. https://doi.org/10.3390/ijms27041690
APA StyleSeixas, N., Santos, S. A. O., & Silvestre, A. J. D. (2026). Rapid GC-MS Characterization of Oleoresin, Turpentine and Rosin Using Tailored Chromatographic Programs. International Journal of Molecular Sciences, 27(4), 1690. https://doi.org/10.3390/ijms27041690
