Lipophagy Dynamics in Hyperlipidemia Model ICR Mice Across Different High-Fat-Diet Feeding Durations
Abstract
1. Introduction
2. Results
2.1. Overall Morphological Changes in Mice During High-Fat-Diet Feeding
2.2. Body Weight Changes in Mice During High-Fat-Diet Feeding
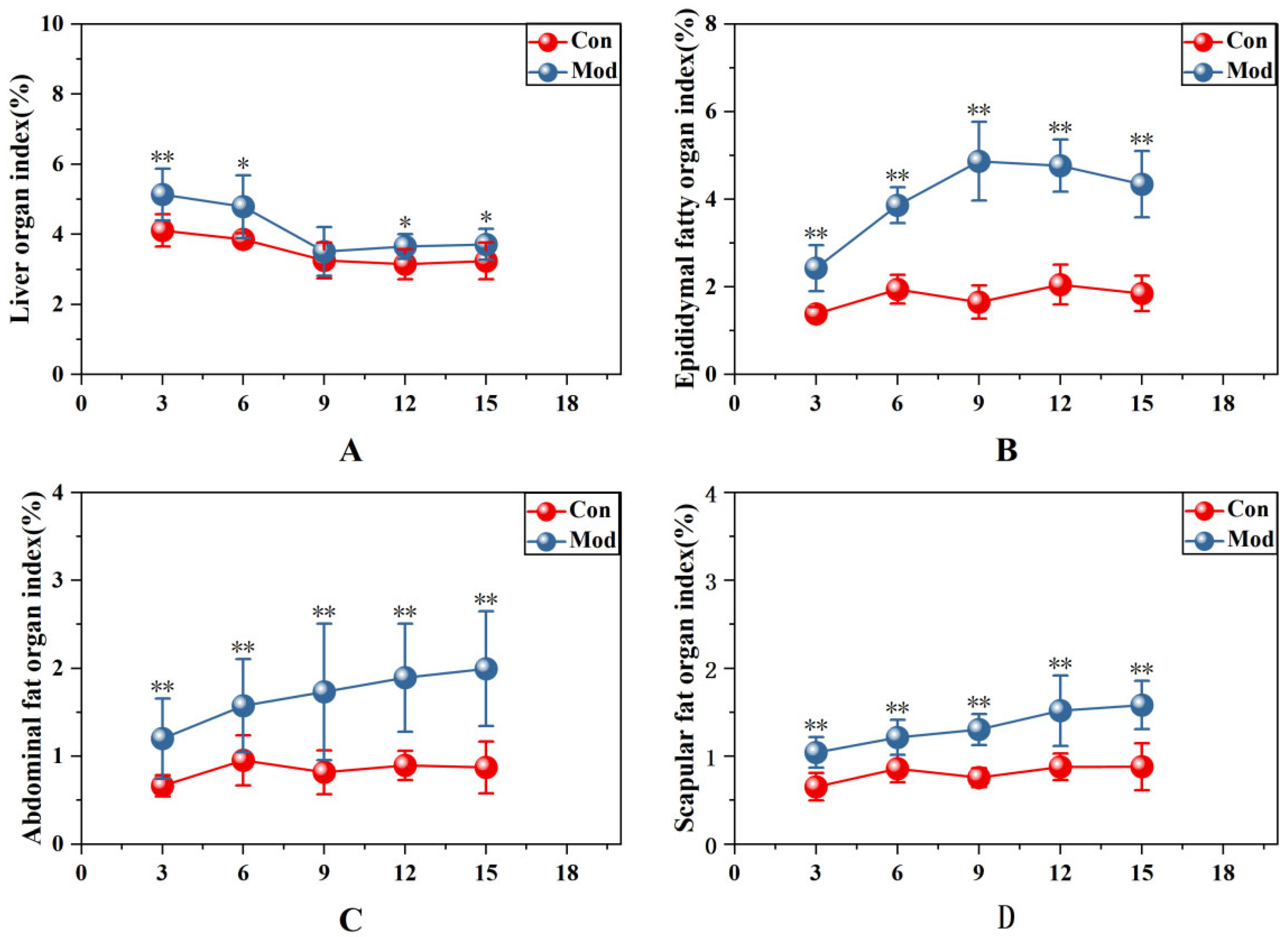
2.3. Comparison of Mouse Organ Indices During High-Fat-Diet Feeding
2.4. Assessment of Circulating Biochemical Markers in Experimental Mice During High-Fat-Diet Feeding
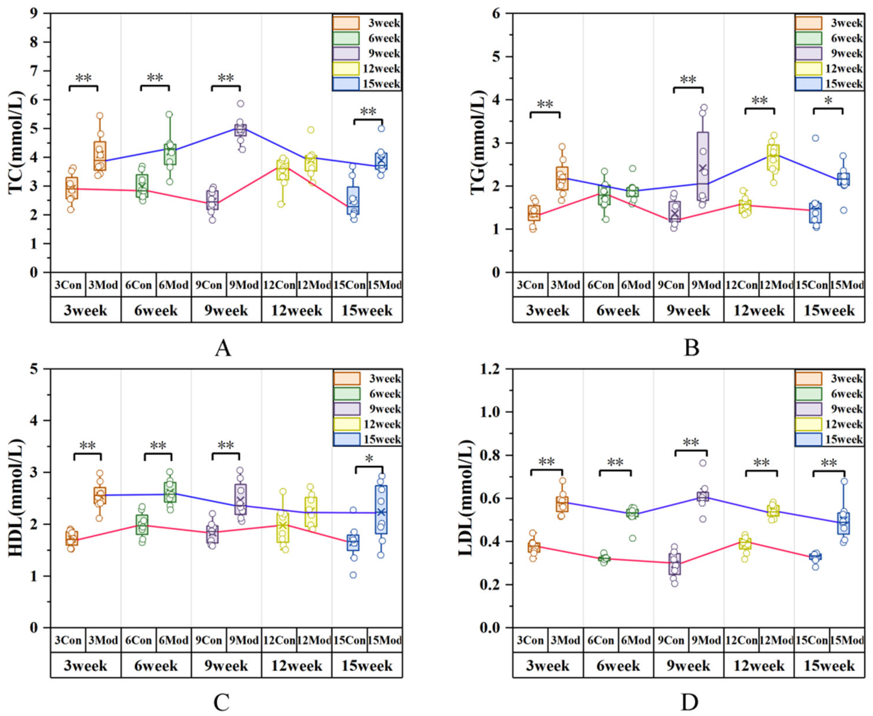
2.5. Comparison of Total Cholesterol (TC) and Triglyceride (TG) Contents in Mice During High-Fat-Diet Feeding
2.6. Comparison of Oil Red O Staining of the Liver and H&E Staining of Adipose Tissues in Mice During High-Fat-Diet Feeding
2.7. Comparison of Immunofluorescence of P-AMPK, P-ULK1, and Beclin-1 Proteins in Mouse Abdominal Adipose Tissue During High-Fat-Diet Feeding
2.8. Western Blot Assay of AMPK/mTOR Signaling Pathway Proteins in Mouse Abdominal Adipose Tissue During High-Fat-Diet Feeding
3. Discussion
4. Materials and Methods
4.1. Chemicals and Instruments
4.2. Laboratory Animals
4.3. Feed Preparation
4.4. Establishment of Hyperlipidaemic Murine Model
4.5. Observation of General Conditions of Mice
4.6. Mouse Body Weight
4.7. Determination of Organ Indices
4.8. Quantification of Serum Biochemical Indices in Mice
4.9. Quantification of TC and TG Levels Within Hepatic Tissue
4.10. Oil Red O Lipid Stain and Hematoxylin–Eosin (H&E) Morphological Staining
4.11. Immunofluorescence Staining of P-AMPK, P-ULK1, and Beclin-1 in Mouse Abdominal Adipose Tissue
4.12. Western Blotting Analysis of AMPK/mTOR Signaling Pathway-Related Proteins in Mouse Abdominal Adipose Tissue
4.13. Quantitative Data Statistical Evaluation
5. Conclusions
Supplementary Materials
Author Contributions
Funding
Institutional Review Board Statement
Informed Consent Statement
Data Availability Statement
Acknowledgments
Conflicts of Interest
References
- Cheng, D.; Zhang, M.; Zheng, Y.; Wang, M.; Gao, Y.; Wang, X.; Liu, X.; Lv, W.; Zeng, X.; Belosludtsev, K.N.; et al. α-Ketoglutarate prevents hyperlipidemia-induced fatty liver mitochondrial dysfunction and oxidative stress by activating the AMPK-pgc-1α/Nrf2 pathway. Redox Biol. 2024, 74, 103230. [Google Scholar] [CrossRef] [PubMed]
- Yan, S.; Luo, W.; Lei, L.; Zhang, Q.; Xiu, J. Association between serum Klotho concentration and hyperlipidemia in adults: A cross-sectional study from NHANES 2007-2016. Front. Endocrinol. 2023, 14, 1280873. [Google Scholar] [CrossRef] [PubMed]
- Zhao, H.; Wang, Y.; Li, Y.; Cheng, R.; Chen, W. Research advances in current drugs targeting hyperlipidemia (Review). Mol. Med. Rep. 2025, 32, 258. [Google Scholar] [CrossRef] [PubMed]
- Ji, C.; Zhang, Z.; Xu, X.; Song, D.; Zhang, D. Hyperlipidemia impacts osteogenesis via lipophagy. Bone 2023, 167, 116643. [Google Scholar] [CrossRef]
- Haidar, M.; Loix, M.; Bogie, J.F.J.; Hendriks, J.J.A. Lipophagy: A new player in CNS disorders. Trends Endocrinol. Metab. 2021, 32, 941–951. [Google Scholar] [CrossRef]
- Zhou, Y.; Manghwar, H.; Hu, W.; Liu, F. Degradation Mechanism of Autophagy-Related Proteins and Research Progress. Int. J. Mol. Sci. 2022, 23, 7301. [Google Scholar] [CrossRef]
- Wang, H.; Liu, Y.; Wang, D.; Xu, Y.; Dong, R.; Yang, Y.; Lv, Q.; Chen, X.; Zhang, Z. The Upstream Pathway of mTOR-Mediated Autophagy in Liver Diseases. Cells 2019, 8, 1597. [Google Scholar] [CrossRef]
- de la Ballina, L.R.; Munson, M.J.; Simonsen, A. Lipids and Lipid-Binding Proteins in Selective Autophagy. J. Mol. Biol. 2020, 432, 135–159. [Google Scholar] [CrossRef]
- Chandra, A.; Rick, J.; Yagnik, G.; Aghi, M.K. Autophagy as a mechanism for anti-angiogenic therapy resistance. Semin. Cancer Biol. 2020, 66, 75–88. [Google Scholar] [CrossRef]
- Debnath, J.; Gammoh, N.; Ryan, K.M. Autophagy and autophagy-related pathways in cancer. Nat. Rev. Mol. Cell Biol. 2023, 24, 560–575. [Google Scholar] [CrossRef]
- Mahapatra, K.K.; Mishra, S.R.; Behera, B.P.; Patil, S.; Gewirtz, D.A.; Bhutia, S.K. The lysosome as an imperative regulator of autophagy and cell death. Cell. Mol. Life Sci. 2021, 78, 7435–7449. [Google Scholar] [CrossRef] [PubMed]
- Jiang, S.; Li, H.; Zhang, L.; Mu, W.; Zhang, Y.; Chen, T.; Wu, J.; Tang, H.; Zheng, S.; Liu, Y.; et al. Generic Diagramming Platform(GDP): A comprehensive database of high-quality biomedical graphics. Nucleic Acids Res. 2025, 53, D1670–D1676. [Google Scholar] [CrossRef] [PubMed]
- La, R.; Yin, Y.; Ding, W.; He, Z.; Lu, L.; Xu, B.; Jiang, D.; Huang, L.; Jiang, J.; Zhou, L.; et al. Is inflammation a missing link between relative handgrip strength with hyperlipidemia? Evidence from a large population-based study. Lipids Health Dis. 2024, 23, 159. [Google Scholar] [CrossRef] [PubMed]
- Zhang, W.; Wang, X.-P.; Yu, Z.-W.; Wang, L.-S.; Zhu, Y.; Yu, X.-F.; Wu, K.; Zeng, Y.; Xu, M.-Y. Hyperlipidemic versus healthy pancreases: A proteomic analysis using an animal model. IUBMB Life 2010, 62, 781–789. [Google Scholar] [CrossRef]
- Liu, M.; Wang, D.Q.; Black, D.D.; Tso, P. Differential Effect of Four-Week Feeding of Different Dietary Fats on the Accumulation of Fat and the Cholesterol and Triglyceride Contents in the Different Fat Depots. Nutrients 2020, 12, 3241. [Google Scholar] [CrossRef]
- Yu, C.; Wan, X.; Li, D.; Guo, X. Reduction of obesity and hepatic adiposity in high-fat diet-induced rats by besunyen slimming tea. Heliyon 2023, 9, e17383. [Google Scholar] [CrossRef]
- Wang, K.; Xu, W.; He, W.; Ding, M.; Xia, T.; Tan, X. Simiao Wan attenuates high-fat diet-induced hyperlipidemia in mice by modulating the gut microbiota-bile acid axis. J. Ethnopharmacol. 2025, 337, 118868. [Google Scholar] [CrossRef]
- Afonso, A.; Dicroce, J.; Teixido, S.; Porrini, E.; Pérez, J.A.; García, S.; Luis, S.; Abrante, B.; Hernández, A.; Acosta, N.G.; et al. Role of obesity and estrogen deficiency in non-alcoholic fatty liver disease: Insights from a mouse model. Mol. Med. Rep. 2025, 32, 264. [Google Scholar] [CrossRef]
- Chen, M.J.; Xu, Y.T.; Sun, L.; Wang, Z.H.; Little, P.J.; Wang, L.; Xian, X.D.; Weng, J.P.; Xu, S.W. A novel mouse model of familial combined hyperlipidemia and atherosclerosis. Acta Pharmacol. Sin. 2024, 45, 1316–1320. [Google Scholar] [CrossRef]
- Lin, L.; Zhang, M.X.; Zhang, L.; Zhang, D.; Li, C.; Li, Y.L. Autophagy, Pyroptosis, and Ferroptosis: New Regulatory Mechanisms for Atherosclerosis. Front. Cell Dev. Biol. 2022, 9, 809955. [Google Scholar] [CrossRef]
- Su, X.Z.; Zhang, L.F.; Hu, K.; An, Y.; Zhang, Q.P.; Tang, J.W.; Yan, B.C.; Li, X.R.; Cai, J.; Li, X.N.; et al. Discovery of Natural Potent HMG-CoA Reductase Degraders for Lowering Cholesterol. Angew. Chem. Int. Ed. Engl. 2024, 63, e202313859. [Google Scholar] [CrossRef]
- Borén, J.; Taskinen, M.R.; Packard, C.J. Biosynthesis and Metabolism of ApoB-Containing Lipoproteins. Annu. Rev. Nutr. 2024, 44, 179–204. [Google Scholar] [CrossRef] [PubMed]
- Laval, T.; Ouimet, M. A role for lipophagy in atherosclerosis. Nat. Rev. Cardiol. 2023, 20, 431–432. [Google Scholar] [CrossRef] [PubMed]
- Pu, M.; Zheng, W.; Zhang, H.; Wan, W.; Peng, C.; Chen, X.; Liu, X.; Xu, Z.; Zhou, T.; Sun, Q.; et al. ORP8 acts as a lipophagy receptor to mediate lipid droplet turnover. Protein Cell 2023, 14, 653–667. [Google Scholar] [CrossRef] [PubMed]
- Dong, H.; Qin, M.; Wang, P.; Li, S.; Wang, X. Regulatory effects and mechanisms of exercise on activation of brown adipose tissue (BAT) and browning of white adipose tissue (WAT). Adipocyte 2023, 12, 2266147. [Google Scholar] [CrossRef]
- Keles, U.; Kalem-Yapar, N.E.; Hultén, H.; Zhao, L.N.; Kaldis, P. Impact of Short-Term Lipid Overload on Whole-Body Physiology. Mol. Cell. Biol. 2025, 45, 47–58. [Google Scholar] [CrossRef]
- Cani, P.D.; Van Hul, M. Gut microbiota in overweight and obesity: Crosstalk with adipose tissue. Nat. Rev. Gastroenterol. Hepatol. 2024, 21, 164–183. [Google Scholar] [CrossRef]
- Ganapathy, T.; Yuan, J.; Ho, M.Y.; Wu, K.K.; Hoque, M.M.; Wang, B.; Li, X.; Wang, K.; Wabitsch, M.; Feng, X.; et al. Adipocyte FMO3-derived TMAO induces WAT dysfunction and metabolic disorders by promoting inflammasome activation in ageing. Nat. Commun. 2025, 16, 8873. [Google Scholar] [CrossRef]
- Della Guardia, L.; Shin, A.C. Obesity-induced tissue alterations resist weight loss: A mechanistic review. Diabetes Obes. Metab. 2024, 26, 3045–3057. [Google Scholar] [CrossRef]
- Frisardi, V.; Matrone, C.; Street, M.E. Metabolic Syndrome and Autophagy: Focus on HMGB1 Protein. Front. Cell Dev. Biol. 2021, 9, 654913. [Google Scholar] [CrossRef]
- Zhu, L.; Liu, L. New Insights Into the Interplay Among Autophagy, the NLRP3 Inflammasome and Inflammation in Adipose Tissue. Front. Endocrinol. 2022, 13, 739882. [Google Scholar] [CrossRef] [PubMed]
- Ro, S.H.; Jang, Y.; Bae, J.; Kim, I.M.; Schaecher, C.; Shomo, Z.D. Autophagy in Adipocyte Browning: Emerging Drug Target for Intervention in Obesity. Front. Physiol. 2019, 10, 22. [Google Scholar] [CrossRef] [PubMed]
- Sakane, S.; Hikita, H.; Shirai, K.; Myojin, Y.; Sasaki, Y.; Kudo, S.; Fukumoto, K.; Mizutani, N.; Tahata, Y.; Makino, Y.; et al. White Adipose Tissue Autophagy and Adipose-Liver Crosstalk Exacerbate Nonalcoholic Fatty Liver Disease in Mice. Cell. Mol. Gastroenterol. Hepatol. 2021, 12, 1683–1699. [Google Scholar] [CrossRef] [PubMed]
- Feng, Y.; Chen, Y.; Wu, X.; Chen, J.; Zhou, Q.; Liu, B.; Zhang, L.; Yi, C. Interplay of energy metabolism and autophagy. Autophagy 2024, 20, 4–14. [Google Scholar] [CrossRef]
- Wang, Y.F.; Ma, R.X.; Zou, B.; Li, J.; Yao, Y.; Li, J. Endoplasmic reticulum stress regulates autophagic response that is involved in Saikosaponin a-induced liver cell damage. Toxicol. Vitr. 2023, 88, 105534. [Google Scholar] [CrossRef]
- Xu, L.; Zhao, Y.; Yang, Y.; Qi, E.; Liu, B.; Zhuang, P.; Song, S.; Chang, T.; Chen, Z.; Kang, X.; et al. Constitutive Hepatic mTORC1 Activation Aggravates Alcohol-Induced Liver Injury via Endoplasmic Reticulum Stress-Mediated Ferroptosis. Am. J. Pathol. 2025, 195, 1209–1222. [Google Scholar] [CrossRef]
- Li, Y.Y.; Qin, Z.H.; Sheng, R. The Multiple Roles of Autophagy in Neural Function and Diseases. Neurosci. Bull. 2024, 40, 363–382. [Google Scholar] [CrossRef]
- You, L.; Wang, T.; Li, W.; Zhang, J.; Zheng, C.; Zheng, Y.; Li, S.; Shang, Z.; Lin, J.; Wang, F.; et al. Xiaozhi formula attenuates non-alcoholic fatty liver disease by regulating lipid metabolism via activation of AMPK and PPAR pathways. J. Ethnopharmacol. 2024, 329, 118165. [Google Scholar] [CrossRef]
- Caceres, C.; Kim, M.B.; Bae, M.; Pham, T.X.; Lee, Y.; Hu, S.; O’Neill, E.N.; Kim, B.; Park, Y.K.; Lee, J.Y. The effect of cranberry consumption on lipid metabolism and inflammation in human apo A-I transgenic mice fed a high-fat and high-cholesterol diet. Br. J. Nutr. 2021, 126, 183–190. [Google Scholar] [CrossRef]
- Stachowicz, A.; Czepiel, K.; Wiśniewska, A.; Stachyra, K.; Ulatowska-Białas, M.; Kuśnierz-Cabala, B.; Surmiak, M.; Majka, G.; Kuś, K.; Wood, M.E.; et al. Mitochondria-targeted hydrogen sulfide donor reduces fatty liver and obesity in mice fed a high fat diet by inhibiting de novo lipogenesis and inflammation via mTOR/SREBP-1 and NF-κB signaling pathways. Pharmacol. Res. 2024, 209, 107428. [Google Scholar] [CrossRef]
- Son, Y.L.; Hou, J.; Kato-Suzuki, M.; Okamatsu-Ogura, Y.; Watase, M.; Kiyonari, H.; Kondo, T. Eva1 deficiency prevents obesity-induced metabolic disorders by reducing visceral adipose dysfunction. Metabolism 2025, 168, 156235, Erratum in Metabolism 2025, 170, 156299. [Google Scholar] [CrossRef] [PubMed]
- Seitz, H.K.; Moreira, B.; Neuman, M.G. Pathogenesis of Alcoholic Fatty Liver a Narrative Review. Life 2023, 13, 1662. [Google Scholar] [CrossRef] [PubMed]
- Ding, B.; Zhou, S.; Wang, Z.; Liu, W.; Gao, L.; Ding, Y.; Huang, H.; Zhu, Q.; Zhang, J. Macrophage autophagy contributes to immune liver injury in trichloroethylene sensitized mice: Critical role of TNF-αmediating mTOR pathway. J. Cell. Physiol. 2023, 238, 2267–2281. [Google Scholar] [CrossRef] [PubMed]
- Xu, Q.; Wu, H.; Zhu, H.; Lu, C.; Tao, J.; Zhou, Z.; Zhang, J. Grain-sized moxibustion at Zusanli (ST36) promotes hepatic autophagy in rats with hyperlipidemia by regulating the ULK1 and TFEB expression through the AMPK/mTOR signaling pathway. Heliyon 2023, 9, e15316. [Google Scholar] [CrossRef]
- Gao, G.; Zhao, J.; Ding, J.; Liu, S.; Shen, Y.; Liu, C.; Ma, H.; Fu, Y.; Xu, J.; Sun, Y.; et al. Alisol B regulates AMPK/mTOR/SREBPs via directly targeting VDAC1 to alleviate hyperlipidemia. Phytomedicine 2024, 128, 155313. [Google Scholar] [CrossRef]
- Zhang, S.; Peng, X.; Yang, S.; Li, X.; Huang, M.; Wei, S.; Liu, J.; He, G.; Zheng, H.; Yang, L.; et al. The regulation, function, and role of lipophagy, a form of selective autophagy, in metabolic disorders. Cell Death Dis. 2022, 13, 132. [Google Scholar] [CrossRef]
- Yoneda, M.; Guo, Y.; Ono, H.; Nakatsu, Y.; Zhang, J.; Cui, X.; Iwashita, M.; Kumamoto, S.; Tsuchiya, Y.; Sakoda, H.; et al. Decreased SIRT1 expression and LKB1 phosphorylation occur with long-term high-fat diet feeding, in addition to AMPK phosphorylation impairment in the early phase. Obes. Res. Clin. Pract. 2010, 4, e201–e207. [Google Scholar] [CrossRef]
- Trefts, E.; Shaw, R.J. AMPK: Restoring metabolic homeostasis over space and time. Mol. Cell 2021, 81, 3677–3690. [Google Scholar] [CrossRef]
- Carling, D. AMPK signalling in health and disease. Curr. Opin. Cell Biol. 2017, 45, 31–37. [Google Scholar] [CrossRef]
- Tamargo-Gómez, I.; Mariño, G. AMPK: Regulation of Metabolic Dynamics in the Context of Autophagy. Int. J. Mol. Sci. 2018, 19, 3812. [Google Scholar] [CrossRef]
- Kazyken, D.; Dame, S.G.; Wang, C.; Wadley, M.; Fingar, D.C. Unexpected roles for AMPK in the suppression of autophagy and the reactivation of MTORC1 signaling during prolonged amino acid deprivation. Autophagy 2024, 20, 2017–2040. [Google Scholar] [CrossRef] [PubMed]
- Longo, M.; Bishnu, A.; Risiglione, P.; Montava-Garriga, L.; Cuenco, J.; Sakamoto, K.; MacKintosh, C.; Ganley, I.G. Opposing roles for AMPK in regulating distinct mitophagy pathways. Mol. Cell 2024, 84, 4350–4367.e9. [Google Scholar] [CrossRef] [PubMed]
- Yang, M.; Lu, Y.; Piao, W.; Jin, H. The Translational Regulation in mTOR Pathway. Biomolecules 2022, 12, 802. [Google Scholar] [CrossRef] [PubMed]
- Jia, M.; Yue, X.; Sun, W.; Zhou, Q.; Chang, C.; Gong, W.; Feng, J.; Li, X.; Zhan, R.; Mo, K.; et al. ULK1-mediated metabolic reprogramming regulates Vps34 lipid kinase activity by its lactylation. Sci. Adv. 2023, 9, eadg4993. [Google Scholar] [CrossRef]
- Barrow, E.R.; Valionyte, E.; Baxter, C.R.; Yang, Y.; Herath, S.; O’Connell, W.A.; Lopatecka, J.; Strachan, A.; Woznica, W.; Stephenson, H.N.; et al. Discovery of SQSTM1/p62-dependent P-bodies that regulate the NLRP3 inflammasome. Cell Rep. 2024, 43, 113935. [Google Scholar] [CrossRef]
- Cheng, Y.; Mei, X.; Shao, W.; Zheng, J.; Yin, X.; Zhang, Q.; Li, J.; Zhao, P. Nobiletin alleviates macrophage M2 polarization by activating AMPK-mTOR-mediated autophagy in pulmonary fibrosis mice. Int. Immunopharmacol. 2024, 139, 112792. [Google Scholar] [CrossRef]
- Yang, M.; Zhang, J.; Xu, Z.; Yang, L.; Tang, S. YY1/INSIG1 enhances atherosclerosis progression by regulating AMPK-mTOR signaling. Mol. Immunol. 2025, 186, 26–38. [Google Scholar] [CrossRef]
- Peng, C.; Jiang, H.; Jing, L.; Yang, W.; Guan, X.; Wang, H.; Yu, S.; Cao, Y.; Wang, M.; Ma, H.; et al. Macrophage SUCLA2 coupled glutaminolysis manipulates obesity through AMPK. Nat. Commun. 2025, 16, 1738. [Google Scholar] [CrossRef]
- Malik, N.; Shaw, R.J. The AMPK Pathway: Molecular Rejuvenation of Metabolism and Mitochondria. Annu. Rev. Cell Dev. Biol. 2025, 41, 375–402. [Google Scholar] [CrossRef]
- Sankar, D.S.; Kaeser-Pebernard, S.; Vionnet, C.; Favre, S.; de Oliveira Marchioro, L.; Pillet, B.; Zhou, J.; Stumpe, M.; Kovacs, W.J.; Kressler, D.; et al. The ULK1 effector BAG2 regulates autophagy initiation by modulating AMBRA1 localization. Cell Rep. 2024, 43, 114689. [Google Scholar] [CrossRef]
- Sankar, D.S.; Kaeser-Pebernard, S.; Vionnet, C.; Favre, S.; de Oliveira Marchioro, L.; Pillet, B.; Zhou, J.; Stumpe, M.; Kovacs, W.J.; Kressler, D.; et al. Three-step docking by WIPI2,ATG16L1,and ATG3 delivers LC3 to the phagophore. Sci. Adv. 2024, 10, eadj8027. [Google Scholar]
- Teng, Q.; Lv, H.; Peng, L.; Ren, Z.; Chen, J.; Ma, L.; Wei, H.; Wan, C. Lactiplantibacillus plantarum ZDY2013 Inhibits the Development of Non-Alcoholic Fatty Liver Disease by Regulating the Intestinal Microbiota and Modulating the PI3K/Akt Pathway. Nutrients 2024, 16, 958. [Google Scholar] [CrossRef]
- Zhang, W.; Xu, L.; Zhu, L.; Liu, Y.; Yang, S.; Zhao, M. Lipid Droplets, the Central Hub Integrating Cell Metabolism and the Immune System. Front. Physiol. 2021, 12, 746749. [Google Scholar] [CrossRef]
- Chen, X.; Zhou, Y.; Yang, J.; Yang, R.; Xue, S.; Wang, Q.; Niu, W. Animal Model Screening for Hyperlipidemic ICR Mice. Int. J. Mol. Sci. 2025, 26, 2142. [Google Scholar] [CrossRef]
- Hao, T.; Chen, H.; Wu, S.; Tian, H. LRG ameliorates steatohepatitis by activating the AMPK/mTOR/SREBP1 signaling pathway in C57BL/6J mice fed a high-fat diet. Mol. Med. Rep. 2019, 20, 701–708. [Google Scholar] [CrossRef]












Disclaimer/Publisher’s Note: The statements, opinions and data contained in all publications are solely those of the individual author(s) and contributor(s) and not of MDPI and/or the editor(s). MDPI and/or the editor(s) disclaim responsibility for any injury to people or property resulting from any ideas, methods, instructions or products referred to in the content. |
© 2026 by the authors. Licensee MDPI, Basel, Switzerland. This article is an open access article distributed under the terms and conditions of the Creative Commons Attribution (CC BY) license.
Share and Cite
Xue, S.; Guo, X.; Wang, Q.; Chen, X.; Yang, J.; Zhou, Y.; Zhang, Y.; Niu, W. Lipophagy Dynamics in Hyperlipidemia Model ICR Mice Across Different High-Fat-Diet Feeding Durations. Int. J. Mol. Sci. 2026, 27, 1573. https://doi.org/10.3390/ijms27031573
Xue S, Guo X, Wang Q, Chen X, Yang J, Zhou Y, Zhang Y, Niu W. Lipophagy Dynamics in Hyperlipidemia Model ICR Mice Across Different High-Fat-Diet Feeding Durations. International Journal of Molecular Sciences. 2026; 27(3):1573. https://doi.org/10.3390/ijms27031573
Chicago/Turabian StyleXue, Shuang, Xuan Guo, Qiao Wang, Xingtong Chen, Jinbiao Yang, Yunyue Zhou, Yukun Zhang, and Wenying Niu. 2026. "Lipophagy Dynamics in Hyperlipidemia Model ICR Mice Across Different High-Fat-Diet Feeding Durations" International Journal of Molecular Sciences 27, no. 3: 1573. https://doi.org/10.3390/ijms27031573
APA StyleXue, S., Guo, X., Wang, Q., Chen, X., Yang, J., Zhou, Y., Zhang, Y., & Niu, W. (2026). Lipophagy Dynamics in Hyperlipidemia Model ICR Mice Across Different High-Fat-Diet Feeding Durations. International Journal of Molecular Sciences, 27(3), 1573. https://doi.org/10.3390/ijms27031573
