Prostate Cancer: Dissecting Novel Immunosuppressive Mechanisms Through Context-Specific Transcriptomic Programs and MDSC Cells
Abstract
1. Introduction
2. Results
2.1. Divergent Systemic and Tumor-Intrinsic Transcriptional Programs Reveal Inflammation, Immune Suppression, and Relapse-Associated lncRNA Signatures in Prostate Cancer
2.2. Systemic Inflammatory Rewiring in PBMCs Reveals IL-1/TNF/IL-17-Driven Immune Activation in Prostate Cancer
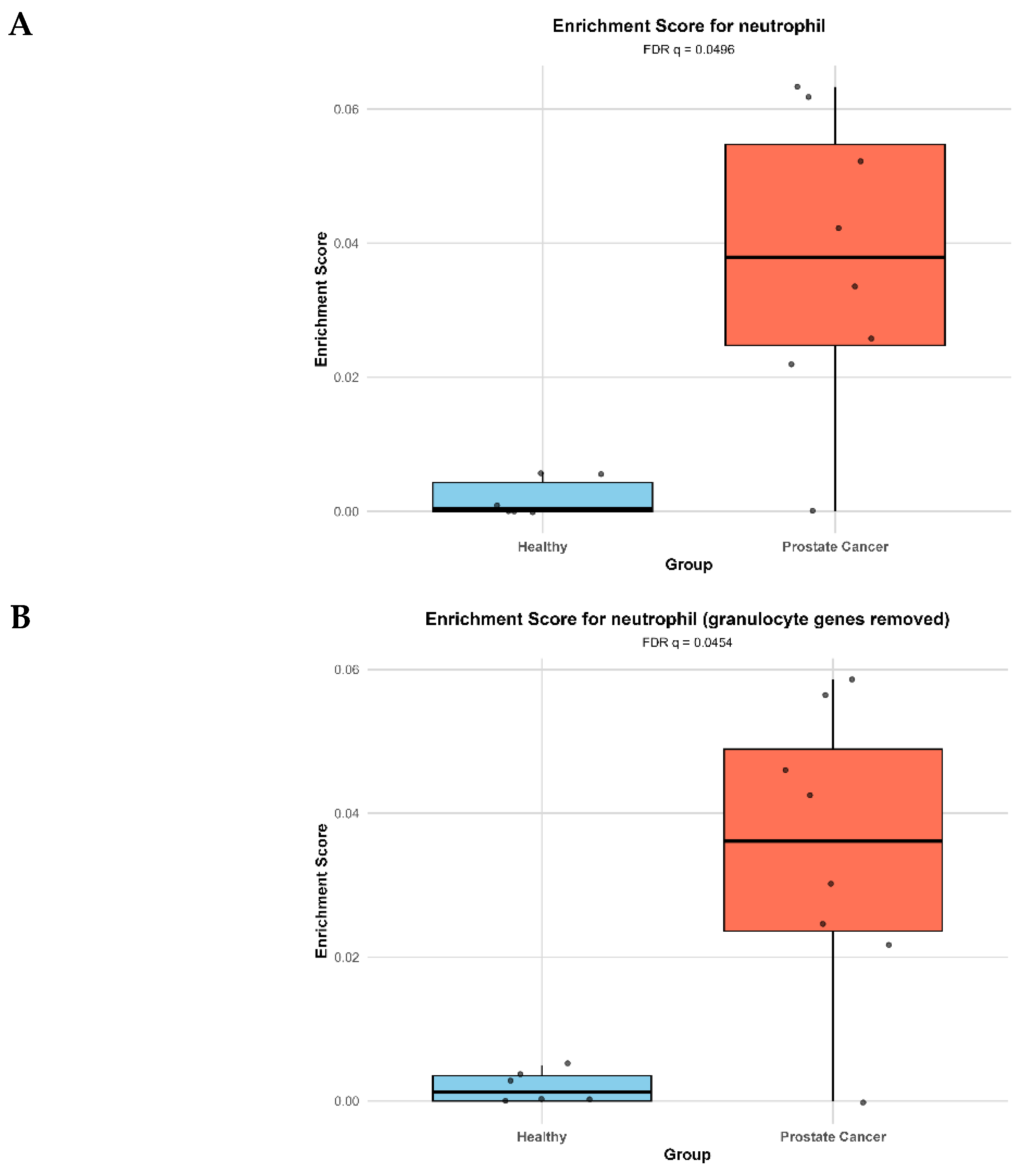
2.3. Systemic Myeloid Activation Revealed by Aberrant Neutrophil Signatures in PBMCs of Prostate Cancer Patients
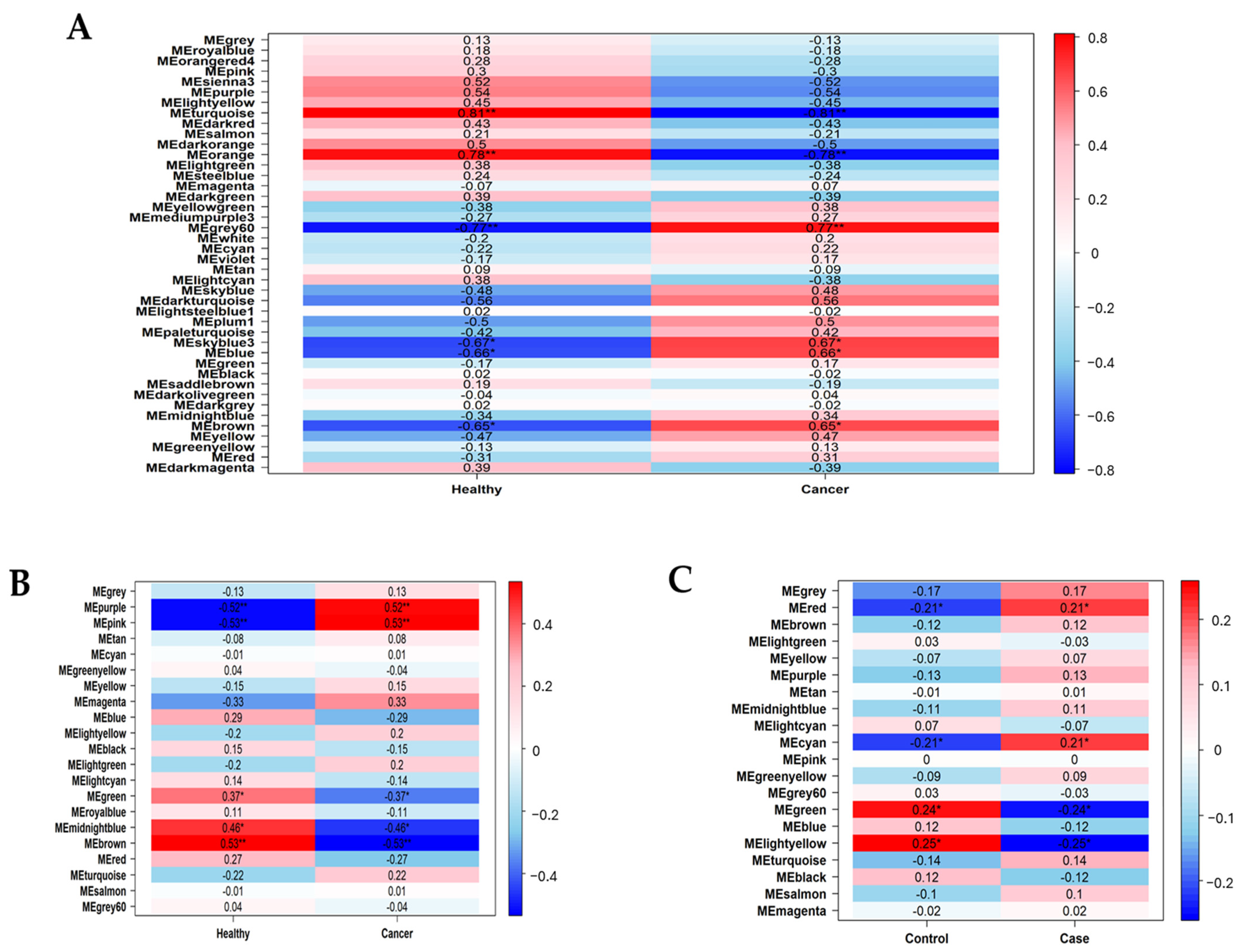
2.4. Gene Co-Expression Network Analysis Across PBMC, Tumor, and Relapse Cohorts
2.4.1. Inflammatory and Chemotactic Co-Expression Programs Dominate PBMCs in Prostate Cancer
2.4.2. Epithelial and Cytoskeletal Co-Expression Programs Are Suppressed in Prostate Cancer Tissue
2.4.3. Epigenetic and Metabolic Co-Expression Programs Distinguish Recurrent from Non-Recurrent Tumors
2.5. Discovery and Contextual Characterization of Cohort-Specific lncRNAs in Prostate Cancer
2.6. Structural Modeling of TCONS_00371831 Reveals Conserved lncRNA Tertiary Motifs
2.7. Unsupervised High-Dimensional Mapping Reveals Expanded Immunosuppressive Myeloid Populations in Prostate Cancer
2.8. Assessment of Total MDSCs and Their Subsets in PBMCs from Healthy Individuals and Prostate Cancer Patients
2.9. UMAP-Based High-Dimensional Profiling of Non-Lymphoid Myeloid Subsets Reveals Cancer-Enriched Immunosuppressive Populations
2.10. Expression of Immunosuppressive Checkpoints Across Circulating MDSC Subsets
3. Discussion
4. Materials and Methods
4.1. Patients and Sample Collection
4.2. Antibodies
4.3. PBMC Isolation
4.4. RNA Extraction and Sequencing
4.5. Data Sources and Cohorts
4.6. Transcriptomic Processing, Differential Expression, and System-Level Analyses
4.7. Discovery and Functional Characterization of Long Non-Coding RNAs (lncRNAs)
4.8. Flow Cytometry
4.9. Statistical Analysis
Supplementary Materials
Author Contributions
Funding
Institutional Review Board Statement
Informed Consent Statement
Data Availability Statement
Acknowledgments
Conflicts of Interest
Abbreviations
| MDSC | Myeloid-derived suppressor cells |
| PMN-MDSC | Polymorphonuclear MDSC |
| e-MDSC | Early-stage MDSC |
| M-MDSC | Monocytic MDSC |
| FMO | Fluorescence minus one |
| MFI | Mean fluorescence intensity |
| DAMP | Damage-associated molecular pattern |
| EMT | Epithelial–mesenchymal transition |
| COX-2 | Cyclooxygenase 2 |
| lncRNAs | Long non-coding ribonucleic acids |
| 3WJ | Three-way junction |
| HC | Healthy subjects (controls) |
| PC | Prostate cancer patients |
| ME | Module |
| GO | Gene Ontology |
| PBS | Phosphate-buffered solution |
| BH | Benjamini–Hochberg method |
| GEO | Gene Expression Omnibus |
Appendix A

Appendix B
| Specificity | Clone | Fluorochrome | Purpose | Cat | Dilution |
|---|---|---|---|---|---|
| CD3, CD19, CD20, CD56 (Lineage) | UCHT1, HIB19, 2H7, 5.1H11 | APC | Lymphocyte exclusion | 363601 (BioLegend) | 1:16 |
| CD33 | P67.6 | PE | Myeloid cells | 366608 (BioLegend) | 1:16 |
| HLA-DR | L243 | PerCP | Exclusion of APCs | 307628 (BioLegend) | 1:8 |
| CD14 | HCD14 | FITC | Monocytes | 325604 (BioLegend) | 1:16 |
| CD15 | HI98 | PE-Cy7 | Granulocytes | 301924 (BioLegend) | 1:16 |
| CD11b | ICRF44 | BV650 | e-MDSCs | 301336 (BioLegend) | 1:4 |
| PD-L1 | 29E.2A3 | BV785 | Immunoregulation | 329736 (BioLegend) | 1:4 |
| CD73 | AD2 | APCFire750 | Immunoregulation | 344036 (BioLegend) | 1:4 |
| Galectin-9 | 9M1-3 | BV421 | Immunoregulation | 348920 (BioLegend) | 1:2 |
| SIRPα | SE5A5 | Alexa Fluor700 | Immunoregulation | 323816 (BioLegend) | 1:16 |
| CD47 | CC2C6 | BV605 | Immunoregulation | 323120 (BioLegend) | 1:32 |
Appendix C

Appendix D
| Cohort | PBMC (this study) | Tissue (public) | Relapse (public) |
| Data source | This study | GSE22260 | GSE120741 |
| Sample type | PBMCs | Prostate tissue | Prostate tissue |
| Original cohort size | 14 | 30 | 101 |
| Prostate cancer samples | 8 | 20 | 47 |
| Number of healthy controls | 6 | 10 | 43 |
| Age at diagnosis, years | 67.5 (51–71) | 60 (39–73) | 64 (47–73) * |
| Gleason score distribution | 6–7 | 6–9 | 6–9 * |
| Tumor stage (TNM) | T1–T2, N0 | T2–T3, N0–N1 | T2–T4, N0 * |
| Biochemical recurrence status | NA | NA | PSA-defined * |
| Time to recurrence (months) | NA | NA | 41 (14–74) * |
| Follow-up duration (months) | NA | NA | 150 (70–191) * |
Appendix E

Appendix F
| Module | mean_cor | sd_cor | min_cor | max_cor | prop_same_sign_vs_full |
|---|---|---|---|---|---|
| MEturquoise | −0.77285 | 0.049878 | −0.83329 | −0.65944 | 1 |
| MEblue | 0.627098 | 0.086398 | 0.508458 | 0.743487 | 1 |
| MEorange | 0.194098 | 0.383003 | −0.43644 | 0.898417 | 0.272727 |
| MEskyblue3 | 0.079957 | 0.388913 | −0.72051 | 0.516068 | 0.727273 |
| MEgrey60 | 0.025156 | 0.493752 | −0.72446 | 0.641504 | 0.636364 |
Appendix G
| ref_module | median_jaccard | min_jaccard | max_jaccard |
|---|---|---|---|
| turquoise | 0.462885 | 0.252719 | 0.533985 |
| blue | 0.345064 | 0.26286 | 0.412484 |
| grey60 | 0.132353 | 0.04902 | 0.250847 |
| orange | 0.128889 | 0.071713 | 0.198758 |
| skyblue3 | 0.038889 | 0.010256 | 0.22807 |
Appendix H

References
- Bergengren, O.; Pekala, K.R.; Matsoukas, K.; Fainberg, J.; Mungovan, S.F.; Bratt, O.; Bray, F.; Brawley, O.; Luckenbaugh, A.N.; Mucci, L.; et al. 2022 Update on Prostate Cancer Epidemiology and Risk Factors—A Systematic Review. Eur. Urol. 2023, 84, 191–206. [Google Scholar] [CrossRef] [PubMed]
- Sung, H.; Ferlay, J.; Siegel, R.L.; Laversanne, M.; Soerjomataram, I.; Jemal, A.; Bray, F. Global Cancer Statistics 2020: GLOBOCAN Estimates of Incidence and Mortality Worldwide for 36 Cancers in 185 Countries. CA Cancer J. Clin. 2021, 71, 209–249. [Google Scholar] [CrossRef] [PubMed]
- Cui, H.; Zhang, W.; Zhang, L.; Qu, Y.; Xu, Z.; Tan, Z.; Yan, P.; Tang, M.; Yang, C.; Wang, Y.; et al. Risk factors for prostate cancer: An umbrella review of prospective observational studies and mendelian randomization analyses. PLoS Med. 2024, 21, e1004362. [Google Scholar] [CrossRef]
- Murray, T.B.J. The Pathogenesis of Prostate Cancer. In Prostate Cancer; Bott, S.R.J., Ng, K.L., Eds.; Exon Publications: Brisbane, Australia, 2021. [Google Scholar]
- Kulac, I.; Roudier, M.P.; Haffner, M.C. Molecular Pathology of Prostate Cancer. Clin. Lab. Med. 2024, 44, 161–180. [Google Scholar] [CrossRef] [PubMed]
- Hanahan, D. Hallmarks of Cancer: New Dimensions. Cancer Discov. 2022, 12, 31–46. [Google Scholar] [CrossRef]
- Dunn, G.P.; Bruce, A.T.; Ikeda, H.; Old, L.J.; Schreiber, R.D. Cancer immunoediting: From immunosurveillance to tumor escape. Nat. Immunol. 2002, 3, 991–998. [Google Scholar] [CrossRef] [PubMed]
- Roerden, M.; Spranger, S. Cancer immune evasion, immunoediting and intratumour heterogeneity. Nat. Rev. Immunol. 2025, 25, 353–369. [Google Scholar] [CrossRef]
- Schreiber, R.D.; Old, L.J.; Smyth, M.J. Cancer immunoediting: Integrating immunity’s roles in cancer suppression and promotion. Science 2011, 331, 1565–1570. [Google Scholar] [CrossRef]
- Tie, Y.; Tang, F.; Wei, Y.Q.; Wei, X.W. Immunosuppressive cells in cancer: Mechanisms and potential therapeutic targets. J. Hematol. Oncol. 2022, 15, 61. [Google Scholar] [CrossRef] [PubMed]
- Apolloni, E.; Bronte, V.; Mazzoni, A.; Serafini, P.; Cabrelle, A.; Segal, D.M.; Young, H.A.; Zanovello, P. Immortalized myeloid suppressor cells trigger apoptosis in antigen-activated T lymphocytes. J. Immunol. 2000, 165, 6723–6730. [Google Scholar] [CrossRef]
- Sinha, P.; Clements, V.K.; Ostrand-Rosenberg, S. Reduction of myeloid-derived suppressor cells and induction of M1 macrophages facilitate the rejection of established metastatic disease. J. Immunol. 2005, 174, 636–645. [Google Scholar] [CrossRef] [PubMed]
- Salemizadeh Parizi, M.; Salemizadeh Parizi, F.; Abdolhosseini, S.; Vanaei, S.; Manzouri, A.; Ebrahimzadeh, F. Myeloid-derived suppressor cells (MDSCs) in brain cancer: Challenges and therapeutic strategies. Inflammopharmacology 2021, 29, 1613–1624. [Google Scholar] [CrossRef]
- Thyagarajan, A.; Alshehri, M.S.A.; Miller, K.L.R.; Sherwin, C.M.; Travers, J.B.; Sahu, R.P. Myeloid-Derived Suppressor Cells and Pancreatic Cancer: Implications in Novel Therapeutic Approaches. Cancers 2019, 11, 1627. [Google Scholar] [CrossRef]
- Chivite-Lacaba, M.; Justo, I.; Utrero-Rico, A.; Caso, O.; Gonzalez-Cuadrado, C.; Del Rey, M.J.; Laguna-Goya, R.; Arroyo-Rodenas, J.; Alfocea-Molina, A.; Ruigomez-Martin, C.C.; et al. Delineation of monocytic and early-stage myeloid-derived suppressor cells in the peripheral blood of patients with hepatocarcinoma. Int. J. Cancer 2025, 156, 2416–2428. [Google Scholar] [CrossRef]
- Zahran, A.M.; Shibl, A.; Rayan, A.; Mohamed, M.; Osman, A.M.M.; Saad, K.; Mahmoud, K.H.; Ghandour, A.M.A.; Elsayh, K.I.; El-Badawy, O. Increase in polymorphonuclear myeloid-derived suppressor cells and regulatory T-cells in children with B-cell acute lymphoblastic leukemia. Sci. Rep. 2021, 11, 15039. [Google Scholar] [CrossRef]
- Najjar, Y.G.; Rayman, P.; Jia, X.; Pavicic, P.G., Jr.; Rini, B.I.; Tannenbaum, C.; Ko, J.; Haywood, S.; Cohen, P.; Hamilton, T.; et al. Myeloid-Derived Suppressor Cell Subset Accumulation in Renal Cell Carcinoma Parenchyma Is Associated with Intratumoral Expression of IL1beta, IL8, CXCL5, and Mip-1alpha. Clin. Cancer Res. 2017, 23, 2346–2355. [Google Scholar] [CrossRef] [PubMed]
- Wang, Z.; Hu, Y.; Song, J.; Ma, P.; Xia, H. Polymorphonuclear myeloid-derived suppressor cells regulates immune recovery during HIV infection through PD-L1 and TGF-beta pathways. Front. Cell Infect. Microbiol. 2024, 14, 1516421. [Google Scholar] [CrossRef] [PubMed]
- Schrijver, I.T.; Karakike, E.; Theroude, C.; Baumgartner, P.; Harari, A.; Giamarellos-Bourboulis, E.J.; Calandra, T.; Roger, T. High levels of monocytic myeloid-derived suppressor cells are associated with favorable outcome in patients with pneumonia and sepsis with multi-organ failure. Intensive Care Med. Exp. 2022, 10, 5. [Google Scholar] [CrossRef]
- Goutakoli, P.; Papadaki, G.; Repa, A.; Avgoustidis, N.; Kalogiannaki, E.; Flouri, I.; Bertsias, A.; Zoidakis, J.; Samiotaki, M.; Bertsias, G.; et al. A Peripheral Blood Signature of Increased Th1 and Myeloid Cells Combined with Serum Inflammatory Mediators Is Associated with Response to Abatacept in Rheumatoid Arthritis Patients. Cells 2023, 12, 2808. [Google Scholar] [CrossRef] [PubMed]
- Li, K.; Shi, H.; Zhang, B.; Ou, X.; Ma, Q.; Chen, Y.; Shu, P.; Li, D.; Wang, Y. Myeloid-derived suppressor cells as immunosuppressive regulators and therapeutic targets in cancer. Signal Transduct. Target. Ther. 2021, 6, 362. [Google Scholar] [CrossRef]
- Lasser, S.A.; Ozbay Kurt, F.G.; Arkhypov, I.; Utikal, J.; Umansky, V. Myeloid-derived suppressor cells in cancer and cancer therapy. Nat. Rev. Clin. Oncol. 2024, 21, 147–164. [Google Scholar] [CrossRef]
- Siemińska, I.; Rychlicka-Buniowska, E.; Jaszczyński, J.; Palaczyński, M.; Bukowska-Strakova, K.; Ryś, J.; Dumański, J.; Siedlar, M.; Baran, J. The level of myeloid derived-suppressor cells in peripheral blood of patients with prostate cancerafter various types of therapy. Pol. J. Pathol. 2020, 71, 46–54. [Google Scholar] [CrossRef]
- Sanaei, M.J.; Taheri, F.; Heshmati, M.; Bashash, D.; Nazmabadi, R.; Mohammad-Alibeigi, F.; Nahid-Samiei, M.; Shirzad, H.; Bagheri, N. Comparing the frequency of CD33(+) pSTAT3(+) myeloid-derived suppressor cells and IL-17(+) lymphocytes in patients with prostate cancer and benign prostatic hyperplasia. Cell Biol. Int. 2021, 45, 2086–2095. [Google Scholar] [CrossRef]
- Bronte, G.; Conteduca, V.; Landriscina, M.; Procopio, A.D. Circulating myeloid-derived suppressor cells and survival in prostate cancer patients: Systematic review and meta-analysis. Prostate Cancer Prostatic Dis. 2023, 26, 41–46. [Google Scholar] [CrossRef]
- Wen, J.; Huang, G.; Liu, S.; Wan, J.; Wang, X.; Zhu, Y.; Kaliney, W.; Zhang, C.; Cheng, L.; Wen, X.; et al. Polymorphonuclear MDSCs are enriched in the stroma and expanded in metastases of prostate cancer. J. Pathol. Clin. Res. 2020, 6, 171–177. [Google Scholar] [CrossRef] [PubMed]
- Boyd, L.K.; Mao, X.; Lu, Y.J. The complexity of prostate cancer: Genomic alterations and heterogeneity. Nat. Rev. Urol. 2012, 9, 652–664. [Google Scholar] [CrossRef] [PubMed]
- Bou-Dargham, M.J.; Sha, L.; Sang, Q.A.; Zhang, J. Immune landscape of human prostate cancer: Immune evasion mechanisms and biomarkers for personalized immunotherapy. BMC Cancer 2020, 20, 572. [Google Scholar] [CrossRef] [PubMed]
- Leimkuhler, N.B.; Schneider, R.K. Inflammatory bone marrow microenvironment. Hematol. Am. Soc. Hematol. Educ. Program 2019, 2019, 294–302. [Google Scholar] [CrossRef] [PubMed]
- Meyer, C.; Sevko, A.; Ramacher, M.; Bazhin, A.V.; Falk, C.S.; Osen, W.; Borrello, I.; Kato, M.; Schadendorf, D.; Baniyash, M.; et al. Chronic inflammation promotes myeloid-derived suppressor cell activation blocking antitumor immunity in transgenic mouse melanoma model. Proc. Natl. Acad. Sci. USA 2011, 108, 17111–17116. [Google Scholar] [CrossRef]
- You, Z.; Liu, C.; Wang, C.; Ling, Z.; Wang, Y.; Wang, Y.; Zhang, M.; Chen, S.; Xu, B.; Guan, H.; et al. LncRNA CCAT1 Promotes Prostate Cancer Cell Proliferation by Interacting with DDX5 and MIR-28-5P. Mol. Cancer Ther. 2019, 18, 2469–2479. [Google Scholar] [CrossRef]
- Wu, X.; Xiao, Y.; Zhou, Y.; Zhou, Z.; Yan, W. lncRNA SNHG20 promotes prostate cancer migration and invasion via targeting the miR-6516-5p/SCGB2A1 axis. Am. J. Transl. Res. 2019, 11, 5162–5169. [Google Scholar]
- Eke, I.; Bylicky, M.A.; Sandfort, V.; Chopra, S.; Martello, S.; Graves, E.E.; Coleman, C.N.; Aryankalayil, M.J. The lncRNAs LINC00261 and LINC00665 are upregulated in long-term prostate cancer adaptation after radiotherapy. Mol. Ther. Nucleic Acids 2021, 24, 175–187. [Google Scholar] [CrossRef] [PubMed]
- Wang, Z.Y.; Duan, Y.; Wang, P. SP1-mediated upregulation of lncRNA SNHG4 functions as a ceRNA for miR-377 to facilitate prostate cancer progression through regulation of ZIC5. J. Cell Physiol. 2020, 235, 3916–3927. [Google Scholar] [CrossRef] [PubMed]
- Qi, W.; Zhou, Y.; Liu, Z.; Wang, J.; Lv, G.; Zhong, M.; Wang, W.; Li, R.; Chen, S.; Shi, B.; et al. Revealing the prognostic and clinicopathological significance of systemic immune-inflammation index in patients with different stage prostate cancer: A systematic review and meta-analysis. Front. Med. 2022, 9, 1052943. [Google Scholar] [CrossRef]
- Fong, L.; Kwek, S.S.; O’Brien, S.; Kavanagh, B.; McNeel, D.G.; Weinberg, V.; Lin, A.M.; Rosenberg, J.; Ryan, C.J.; Rini, B.I.; et al. Potentiating endogenous antitumor immunity to prostate cancer through combination immunotherapy with CTLA4 blockade and GM-CSF. Cancer Res. 2009, 69, 609–615. [Google Scholar] [CrossRef]
- Pettinella, F.; Mariotti, B.; Lattanzi, C.; Bruderek, K.; Donini, M.; Costa, S.; Marini, O.; Iannoto, G.; Gasperini, S.; Caveggion, E.; et al. Surface CD52, CD84, and PTGER2 mark mature PMN-MDSCs from cancer patients and G-CSF-treated donors. Cell Rep. Med. 2024, 5, 101380. [Google Scholar] [CrossRef] [PubMed]
- Lattanzi, C.; Bianchetto-Aguilera, F.; Donini, M.; Pettinella, F.; Caveggion, E.; Castellucci, M.; Gasperini, S.; Mariotti, B.; Signoretto, I.; Cantini, M.; et al. Uncovering common transcriptional features shared by mature peripheral blood PMN-MDSCs and tumor-infiltrating neutrophils in humans. Oncoimmunology 2025, 14, 2521396. [Google Scholar] [CrossRef]
- Kobayashi, T.; Nagata, M.; Hachiya, T.; Wakita, H.; Ikehata, Y.; Takahashi, K.; China, T.; Shimizu, F.; Lu, J.; Jin, Y.; et al. Increased circulating polymorphonuclear myeloid-derived suppressor cells are associated with prognosis of metastatic castration-resistant prostate cancer. Front. Immunol. 2024, 15, 1372771. [Google Scholar] [CrossRef] [PubMed]
- Richart, L.; Carrillo-de Santa Pau, E.; Rio-Machin, A.; de Andres, M.P.; Cigudosa, J.C.; Lobo, V.J.S.; Real, F.X. BPTF is required for c-MYC transcriptional activity and in vivo tumorigenesis. Nat. Commun. 2016, 7, 10153. [Google Scholar] [CrossRef] [PubMed]
- Qi, J. AR RIME in Human Prostate Cancer Cells. PRIDE PRoteomics IDEntifications (PRIDE). 2025. Available online: https://www.ebi.ac.uk/pride/archive/projects/PXD031273 (accessed on 27 January 2026).
- Gao, Y.; Wang, T.; Li, Y.; Zhang, Y.; Yang, R. Lnc-chop Promotes Immunosuppressive Function of Myeloid-Derived Suppressor Cells in Tumor and Inflammatory Environments. J. Immunol. 2018, 200, 2603–2614. [Google Scholar] [CrossRef]
- Shang, W.; Tang, Z.; Gao, Y.; Qi, H.; Su, X.; Zhang, Y.; Yang, R. LncRNA RNCR3 promotes Chop expression by sponging miR-185-5p during MDSC differentiation. Oncotarget 2017, 8, 111754–111769. [Google Scholar] [CrossRef] [PubMed]
- Shang, W.; Gao, Y.; Tang, Z.; Zhang, Y.; Yang, R. The Pseudogene Olfr29-ps1 Promotes the Suppressive Function and Differentiation of Monocytic MDSCs. Cancer Immunol. Res. 2019, 7, 813–827. [Google Scholar] [CrossRef] [PubMed]
- Zhou, Q.; Tang, X.; Tian, X.; Tian, J.; Zhang, Y.; Ma, J.; Xu, H.; Wang, S. LncRNA MALAT1 negatively regulates MDSCs in patients with lung cancer. J. Cancer 2018, 9, 2436–2442. [Google Scholar] [CrossRef]
- Prensner, J.R.; Chen, W.; Han, S.; Iyer, M.K.; Cao, Q.; Kothari, V.; Evans, J.R.; Knudsen, K.E.; Paulsen, M.T.; Ljungman, M.; et al. The long non-coding RNA PCAT-1 promotes prostate cancer cell proliferation through cMyc. Neoplasia 2014, 16, 900–908. [Google Scholar] [CrossRef]
- Zhang, Y.; Pitchiaya, S.; Cieslik, M.; Niknafs, Y.S.; Tien, J.C.; Hosono, Y.; Iyer, M.K.; Yazdani, S.; Subramaniam, S.; Shukla, S.K.; et al. Analysis of the androgen receptor-regulated lncRNA landscape identifies a role for ARLNC1 in prostate cancer progression. Nat. Genet. 2018, 50, 814–824. [Google Scholar] [CrossRef] [PubMed]
- Dong, Q.; Qiu, H.; Piao, C.; Li, Z.; Cui, X. LncRNA SNHG4 promotes prostate cancer cell survival and resistance to enzalutamide through a let-7a/RREB1 positive feedback loop and a ceRNA network. J. Exp. Clin. Cancer Res. 2023, 42, 209. [Google Scholar] [CrossRef] [PubMed]
- Zhou, T.; Nguyen, S.; Wu, J.; He, B.; Feng, Q. LncRNA LOC730101 Promotes Darolutamide Resistance in Prostate Cancer by Suppressing miR-1-3p. Cancers 2024, 16, 2594. [Google Scholar] [CrossRef]
- Brown, J.A.; Bulkley, D.; Wang, J.; Valenstein, M.L.; Yario, T.A.; Steitz, T.A.; Steitz, J.A. Structural insights into the stabilization of MALAT1 noncoding RNA by a bipartite triple helix. Nat. Struct. Mol. Biol. 2014, 21, 633–640. [Google Scholar] [CrossRef] [PubMed]
- Wilusz, J.E.; JnBaptiste, C.K.; Lu, L.Y.; Kuhn, C.D.; Joshua-Tor, L.; Sharp, P.A. A triple helix stabilizes the 3′ ends of long noncoding RNAs that lack poly(A) tails. Genes. Dev. 2012, 26, 2392–2407. [Google Scholar] [CrossRef]
- Zheng, Y.; Tian, X.; Wang, T.; Xia, X.; Cao, F.; Tian, J.; Xu, P.; Ma, J.; Xu, H.; Wang, S. Long noncoding RNA Pvt1 regulates the immunosuppression activity of granulocytic myeloid-derived suppressor cells in tumor-bearing mice. Mol. Cancer 2019, 18, 61. [Google Scholar] [CrossRef]
- Hao, Z.; Li, R.; Wang, Y.; Li, S.; Hong, Z.; Han, Z. Landscape of Myeloid-derived Suppressor Cell in Tumor Immunotherapy. Biomark. Res. 2021, 9, 77, Correction in Biomark. Res. 2022, 10, 7. [Google Scholar] [CrossRef] [PubMed]
- Law, A.M.K.; Valdes-Mora, F.; Gallego-Ortega, D. Myeloid-Derived Suppressor Cells as a Therapeutic Target for Cancer. Cells 2020, 9, 561. [Google Scholar] [CrossRef]
- Movahedi, K.; Guilliams, M.; Van den Bossche, J.; Van den Bergh, R.; Gysemans, C.; Beschin, A.; De Baetselier, P.; Van Ginderachter, J.A. Identification of discrete tumor-induced myeloid-derived suppressor cell subpopulations with distinct T cell-suppressive activity. Blood 2008, 111, 4233–4244. [Google Scholar] [CrossRef] [PubMed]
- Li, L.; Chao, Z.; Peng, H.; Hu, Z.; Wang, Z.; Zeng, X. Tumor ABCC4-mediated release of PGE2 induces CD8(+) T cell dysfunction and impairs PD-1 blockade in prostate cancer. Int. J. Biol. Sci. 2024, 20, 4424–4437. [Google Scholar] [CrossRef]
- Antonarakis, E.S.; Piulats, J.M.; Gross-Goupil, M.; Goh, J.; Ojamaa, K.; Hoimes, C.J.; Vaishampayan, U.; Berger, R.; Sezer, A.; Alanko, T.; et al. Pembrolizumab for Treatment-Refractory Metastatic Castration-Resistant Prostate Cancer: Multicohort, Open-Label Phase II KEYNOTE-199 Study. J. Clin. Oncol. 2020, 38, 395–405. [Google Scholar] [CrossRef]
- Zimarino, C.; Moody, W.; Davidson, S.E.; Munir, H.; Shields, J.D. Disruption of CD47-SIRPalpha signaling restores inflammatory function in tumor-associated myeloid-derived suppressor cells. iScience 2024, 27, 109546. [Google Scholar] [CrossRef] [PubMed]
- Zheng, W.; Zhu, Y.; Chen, X.; Zhao, J. CD73 expression in myeloid-derived suppressor cells is correlated with clinical stages in head and neck squamous cell carcinomas. Ann. Transl. Med. 2021, 9, 1148. [Google Scholar] [CrossRef] [PubMed]
- Shivakumar, K.M.; Mahendran, G.; Brown, J.A. Locked Nucleic Acid Oligonucleotides Facilitate RNA*LNA-RNA Triple-Helix Formation and Reduce MALAT1 Levels. Int. J. Mol. Sci. 2024, 25, 1630. [Google Scholar] [CrossRef]
- Cole, K.; Al-Kadhimi, Z.; Talmadge, J.E. Role of myeloid-derived suppressor cells in tumor recurrence. Cancer Metastasis Rev. 2023, 42, 113–142. [Google Scholar] [CrossRef] [PubMed]
- Liao, Y.; Smyth, G.K.; Shi, W. featureCounts: An efficient general purpose program for assigning sequence reads to genomic features. Bioinformatics 2014, 30, 923–930. [Google Scholar] [CrossRef] [PubMed]
- Love, M.I.; Huber, W.; Anders, S. Moderated estimation of fold change and dispersion for RNA-seq data with DESeq2. Genome Biol. 2014, 15, 550. [Google Scholar] [CrossRef]
- Zhu, A.; Ibrahim, J.G.; Love, M.I. Heavy-tailed prior distributions for sequence count data: Removing the noise and preserving large differences. Bioinformatics 2019, 35, 2084–2092. [Google Scholar] [CrossRef] [PubMed]
- Stephens, M. False discovery rates: A new deal. Biostatistics 2017, 18, 275–294. [Google Scholar] [CrossRef]
- Durinck, S.; Moreau, Y.; Kasprzyk, A.; Davis, S.; De Moor, B.; Brazma, A.; Huber, W. BioMart and Bioconductor: A powerful link between biological databases and microarray data analysis. Bioinformatics 2005, 21, 3439–3440. [Google Scholar] [CrossRef] [PubMed]
- Langfelder, P.; Horvath, S. WGCNA: An R package for weighted correlation network analysis. BMC Bioinform. 2008, 9, 559. [Google Scholar] [CrossRef] [PubMed]
- Shannon, P.; Markiel, A.; Ozier, O.; Baliga, N.S.; Wang, J.T.; Ramage, D.; Amin, N.; Schwikowski, B.; Ideker, T. Cytoscape: A software environment for integrated models of biomolecular interaction networks. Genome Res. 2003, 13, 2498–2504. [Google Scholar] [CrossRef] [PubMed]
- Ulgen, E.; Ozisik, O.; Sezerman, O.U. pathfindR: An R Package for Comprehensive Identification of Enriched Pathways in Omics Data Through Active Subnetworks. Front. Genet. 2019, 10, 858. [Google Scholar] [CrossRef]
- Angel, A.; Naom, L.; Nabet-Levy, S.; Aran, D. xCell 2.0: Robust algorithm for cell type proportion estimation predicts response to immune checkpoint blockade. Genome Biol. 2025, 26, 335. [Google Scholar] [CrossRef] [PubMed]
- Newman, A.M.; Liu, C.L.; Green, M.R.; Gentles, A.J.; Feng, W.; Xu, Y.; Hoang, C.D.; Diehn, M.; Alizadeh, A.A. Robust enumeration of cell subsets from tissue expression profiles. Nat. Methods 2015, 12, 453–457. [Google Scholar] [CrossRef]
- Li, M.; Liang, C. LncDC: A machine learning-based tool for long non-coding RNA detection from RNA-Seq data. Sci. Rep. 2022, 12, 19083. [Google Scholar] [CrossRef] [PubMed]
- Krueger, F. Trim Galore! version 0.6.5; Babraham Bioinformatics: Babraham, UK, 2014.
- Martin, M. Cutadapt removes adapter sequences from high-throughput sequencing reads. EMBnet J. 2011, 17, 10–12. [Google Scholar] [CrossRef]
- Andrews, S. FastQC, version 0.12.0; Babraham Bioinformatics: Babraham, UK, 2010.
- Dobin, A.; Davis, C.A.; Schlesinger, F.; Drenkow, J.; Zaleski, C.; Jha, S.; Batut, P.; Chaisson, M.; Gingeras, T.R. STAR: Ultrafast universal RNA-seq aligner. Bioinformatics 2013, 29, 15–21. [Google Scholar] [CrossRef]
- Kim, D.; Paggi, J.M.; Park, C.; Bennett, C.; Salzberg, S.L. Graph-based genome alignment and genotyping with HISAT2 and HISAT-genotype. Nat. Biotechnol. 2019, 37, 907–915. [Google Scholar] [CrossRef]
- Trapnell, C.; Williams, B.A.; Pertea, G.; Mortazavi, A.; Kwan, G.; van Baren, M.J.; Salzberg, S.L.; Wold, B.J.; Pachter, L. Transcript assembly and quantification by RNA-Seq reveals unannotated transcripts and isoform switching during cell differentiation. Nat. Biotechnol. 2010, 28, 511–515. [Google Scholar] [CrossRef] [PubMed]
- Pertea, M.; Pertea, G.M.; Antonescu, C.M.; Chang, T.C.; Mendell, J.T.; Salzberg, S.L. StringTie enables improved reconstruction of a transcriptome from RNA-seq reads. Nat. Biotechnol. 2015, 33, 290–295. [Google Scholar] [CrossRef]
- Pertea, G.; Pertea, M. GFF Utilities: GffRead and GffCompare. F1000Res 2020, 9, 304. [Google Scholar] [CrossRef]
- Li, H. Minimap2: Pairwise alignment for nucleotide sequences. Bioinformatics 2018, 34, 3094–3100. [Google Scholar] [CrossRef] [PubMed]
- Quinlan, A.R.; Hall, I.M. BEDTools: A flexible suite of utilities for comparing genomic features. Bioinformatics 2010, 26, 841–842. [Google Scholar] [CrossRef] [PubMed]
- Das, G.; Das, T.; Parida, S.; Ghosh, Z. LncRTPred: Predicting RNA-RNA mode of interaction mediated by lncRNA. IUBMB Life 2024, 76, 53–68. [Google Scholar] [CrossRef] [PubMed]
- Mann, M.; Wright, P.R.; Backofen, R. IntaRNA 2.0: Enhanced and customizable prediction of RNA-RNA interactions. Nucleic Acids Res. 2017, 45, W435–W439. [Google Scholar] [CrossRef]
- Soutschek, M.; Gross, F.; Schratt, G.; Germain, P.L. scanMiR: A biochemically based toolkit for versatile and efficient microRNA target prediction. Bioinformatics 2022, 38, 2466–2473. [Google Scholar] [CrossRef]
- Shen, T.; Hu, Z.; Sun, S.; Liu, D.; Wong, F.; Wang, J.; Chen, J.; Wang, Y.; Hong, L.; Xiao, J.; et al. Accurate RNA 3D structure prediction using a language model-based deep learning approach. Nat. Methods 2024, 21, 2287–2298. [Google Scholar] [CrossRef]
- Cassetta, L.; Bruderek, K.; Skrzeczynska-Moncznik, J.; Osiecka, O.; Hu, X.; Rundgren, I.M.; Lin, A.; Santegoets, K.; Horzum, U.; Godinho-Santos, A.; et al. Differential expansion of circulating human MDSC subsets in patients with cancer, infection and inflammation. J. Immunother. Cancer 2020, 8, e001223. [Google Scholar] [CrossRef] [PubMed]
- Emmaneel, A.; Quintelier, K.; Sichien, D.; Rybakowska, P.; Maranon, C.; Alarcon-Riquelme, M.E.; Van Isterdael, G.; Van Gassen, S.; Saeys, Y. PeacoQC: Peak-based selection of high quality cytometry data. Cytometry A 2022, 101, 325–338. [Google Scholar] [CrossRef] [PubMed]
- McInnes, L.; Healy, J.; Melville, J. UMAP: Uniform Manifold Approximation and Projection for Dimension Reduction. arXiv 2020, arXiv:1802.03426. [Google Scholar] [CrossRef]
- Levine, J.H.; Simonds, E.F.; Bendall, S.C.; Davis, K.L.; Amir, E.-A.D.; Tadmor, M.D.; Litvin, O.; Fienberg, H.G.; Jager, A.; Zunder, E.R.; et al. Data-Driven Phenotypic Dissection of AML Reveals Progenitor-like Cells that Correlate with Prognosis. Cell 2015, 162, 184–197. [Google Scholar] [CrossRef] [PubMed]
- Barone, S.M.; Paul, A.G.; Muehling, L.M.; Lannigan, J.A.; Kwok, W.W.; Turner, R.B.; Woodfolk, J.A.; Irish, J.M. Unsupervised machine learning reveals key immune cell subsets in COVID-19, rhinovirus infection, and cancer therapy. Elife 2021, 10, e64653. [Google Scholar] [CrossRef] [PubMed]














| Description | Length | Chrom | Start | End | Strand | Class | Nearest Gene | Ensembl_ID | IntaRNA Targets | Energy (kcal/mol) |
|---|---|---|---|---|---|---|---|---|---|---|
| PBMCs | ||||||||||
| TCONS_00371831 | 216 | 2 | 237,785,441 | 237,785,747 | + | intergenic | LBR,ITGB1,CAB39 | (−29)(−18)(−13) | ||
| TCONS_00541561 | 249 | 6 | 70,570,816 | 70,576,857 | + | intergenic | GALNT1,LBR,GNAI1 | (−18)(−15)(−13) | ||
| TCONS_00125660 | 309 | 11 | 67,504,521 | 67,504,860 | + | antisense | PITPNM1 | ENSG00000110697 | HABP4,PPP3CB,CD164 | (−28)(−24)(−15) |
| TCONS_00372669 | 363 | 2 | 238,269,129 | 238,269,488 | − | intergenic | RSK2,XPOT,GMCL1 | (−28)(−22)(−15) | ||
| TCONS_00651951 | 421 | Y | 13,271,267 | 13,278,359 | − | intergenic | ACSL3,ZMYND11,SNX14 | (−22)(−22)(−19) | ||
| TCONS_00277876 | 460 | 17 | 2,949,179 | 2,949,764 | − | antisense | RAP1GAP2 | ENSG00000132359 | CDC42,C9orf72,HERC4 | (−26)(−16)(−15) |
| TCONS_00542118 | 475 | 6 | 43,636,844 | 43,639,182 | − | antisense | MAD2L1BP | ENSG00000124688 | RSK2,CNOT6,LBR | (−36)(−21)(−21) |
| TCONS_00629693 | 498 | 9 | 133,057,176 | 133,057,770 | − | antisense | GTF3C5 | ENSG00000148308 | HERC4,CSNK2A1,SDE2 | (−28)(−23)(−21) |
| TCONS_00372672 | 521 | 2 | 239,124,560 | 239,125,276 | − | intergenic | CNBP,TMEM33,CALM1 | (−19)(−18)(−17) | ||
| TCONS_00194633 | 603 | 14 | 88,607,460 | 88,608,089 | − | antisense | ZC3H14 | ENSG00000100722 | RSK2,HERC4,FMR1 | (−59)(−54)(−33) |
| TCONS_00063517 | 627 | 1 | 44,802,011 | 44,802,691 | − | antisense | PLK3 | ENSG00000173846 | CSTF2T,FMR1,CEBPG | (−41)(−40)(−27) |
| TCONS_00629105 | 706 | 9 | 133,099,118 | 133,099,844 | + | antisense | ENSG00000285245 | CSTF2T,FMR1,GMCL1 | (−46)(−36)(−29) | |
| TCONS_00125288 | 765 | 11 | 14,885,967 | 14,888,699 | + | antisense | CYP2R1 | ENSG00000186104 | CSTF2T,STT3B,LIG4 | (−66)(−32)(−23) |
| TCONS_00372670 | 1281 | 2 | 239,093,715 | 239,094,741 | + | antisense | HDAC4 | ENSG00000068024 | CSTF2T,FBN1,PPP6C | (−39)(−34)(−20) |
| TCONS_00395970 | 3647 | 21 | 41,407,990 | 41,420,087 | − | antisense | MX2 | ENSG00000183486 | SIRT3,PCK2,CERS4 | (−147)(−33)(−28) |
| Tissue | ||||||||||
| TCONS_00248077 | 243 | 16 | 19,246,119 | 19,246,360 | + | sense_intronic | SYT17 | ENSG00000103528 | RSK2,PPM1A,ZMYND11 | (−172)(−20)(−14) |
| TCONS_00589880 | 267 | 7 | 6,691,215 | 6,691,482 | + | antisense | ZNF12 | ENSG00000164631 | CSTF2T,ZMYND11,LBR | (−22)(−18)(−13) |
| TCONS_00162777 | 275 | 12 | 48,971,956 | 48,972,523 | − | intergenic | SOD2,CEBPG,HERC4 | (−23)(−16)(−16) | ||
| TCONS_00590288 | 302 | 7 | 150,999,718 | 151,000,074 | + | sense_intronic | NOS3 | ENSG00000164867 | HERC4,ITGB1,FMR1 | (−72)(−59)(−50) |
| TCONS_00590074 | 369 | 7 | 76,996,891 | 76,997,307 | + | intergenic | BMI1,PPP3CB,CEBPG | (−113)(−99)(−67) | ||
| TCONS_00092197 | 400 | 10 | 132,364,305 | 132,364,741 | − | antisense | LRRC27 | ENSG00000148814 | HERC4,XPO1,CMTM6 | (−76)(−57)(−49) |
| TCONS_00065281 | 532 | 1 | 226,978,281 | 226,979,189 | − | antisense | ENSG00000288674 | FDX1,GNG2,ANGEL2 | (−85)(−73)(−58) | |
| TCONS_00398427 | 556 | 20 | 19,924,040 | 19,924,654 | − | antisense | RIN2 | ENSG00000132669 | CNOT6,HERC4,FMR1 | (−82)(−79)(−51) |
| TCONS_00137682 | 588 | 12 | 62,958,750 | 62,959,550 | + | intergenic | CSTF2T,FMR1,RSK2 | (−44)(−30)(−23) | ||
| TCONS_00407292 | 604 | 21 | 42,439,474 | 42,440,170 | − | antisense | UBASH3A | ENSG00000160185 | IL18R1,PLCB1,HERC4 | (−76)(−68)(−63) |
| TCONS_00407190 | 763 | 21 | 41,475,060 | 41,475,926 | + | antisense | TMPRSS2 | ENSG00000184012 | PAFAH1B2,HERC4,CSTF2T | (−112)(−101)(−79) |
| TCONS_00331002 | 792 | 19 | 47,513,215 | 47,519,562 | + | antisense | NAPA | ENSG00000105402 | CSTF2T,PAFAH1B2,HERC4 | (−52)(−36)(−24) |
| TCONS_00065280 | 803 | 1 | 226,977,580 | 226,978,785 | − | antisense | ENSG00000288674 | PPP2R5E,PAFAH1B2,PHF6 | (−105)(−86)(−64) | |
| TCONS_00522040 | 1168 | 5 | 15,846,410 | 15,851,647 | − | antisense | FBXL7 | ENSG00000183580 | LBR,CSTF2T,NUDT21 | (−34)(−30)(−24) |
| TCONS_00381284 | 1471 | 2 | 238,901,950 | 238,903,658 | + | sense_intronic | TWIST2 | ENSG00000233608 | RSK2,UBE2D3,PERP | (−75)(−70)(−69) |
| TCONS_00608643 | 1628 | 8 | 53,549,960 | 53,552,709 | − | intergenic | CSTF2T,ZMYND11,ZBTB1 | (−35)(−27)(−22) | ||
| TCONS_00161804 | 2092 | 12 | 132,155,565 | 132,158,161 | − | intergenic | PERP,UBE2D3,FMR1 | (−70)(−57)(−49) | ||
| TCONS_00555128 | 2231 | 6 | 170,397,903 | 170,400,405 | + | sense_intronic | FAM120B | ENSG00000112584 | RAP1A,CSTF2T,NUDT21 | (−31)(−30)(−24) |
| TCONS_00590782 | 3299 | 7 | 158,336,126 | 158,341,789 | − | sense_intronic | PTPRN2 | ENSG00000155093 | DDAH2,RNF215,PTK6 | (−29)(−28)(−27) |
| TCONS_00554941 | 3684 | 6 | 42,887,581 | 42,889,932 | + | sense_overlapping | RPL7L1 | ENSG00000146223 | PCGF2,ZFP36,GNB2 | (−41)(−35)(−27) |
| TCONS_00129676 | 4161 | 12 | 7,115,273 | 7,119,124 | − | sense_overlapping | RBP5 | ENSG00000139194 | NOX1,TRIM27,HPN | (−32)(−32)(−24) |
| TCONS_00161805 | 4663 | 12 | 132,155,565 | 132,243,321 | − | sense_overlapping | GALNT9 | ENSG00000182870 | EREG,RB1,GNG12 | (−65)(−58)(−49) |
| TCONS_00162601 | 9091 | 12 | 123,510,233 | 123,513,312 | + | antisense | RILPL1 | ENSG00000188026 | COPA,GLDC,PIP4K2C | (−70)(−66)(−61) |
Disclaimer/Publisher’s Note: The statements, opinions and data contained in all publications are solely those of the individual author(s) and contributor(s) and not of MDPI and/or the editor(s). MDPI and/or the editor(s) disclaim responsibility for any injury to people or property resulting from any ideas, methods, instructions or products referred to in the content. |
© 2026 by the authors. Licensee MDPI, Basel, Switzerland. This article is an open access article distributed under the terms and conditions of the Creative Commons Attribution (CC BY) license.
Share and Cite
Reyes Martinez, P.; Sierra Diaz, E.; Solorzano Ibarra, F.; Vazquez Urrutia, J.R.; Guerrero García, J.d.J.; Téllez Bañuelos, M.C.; Castañeda Delgado, J.E.; Sanchez Reyes, K.; Ortiz Lazareno, P.C. Prostate Cancer: Dissecting Novel Immunosuppressive Mechanisms Through Context-Specific Transcriptomic Programs and MDSC Cells. Int. J. Mol. Sci. 2026, 27, 1511. https://doi.org/10.3390/ijms27031511
Reyes Martinez P, Sierra Diaz E, Solorzano Ibarra F, Vazquez Urrutia JR, Guerrero García JdJ, Téllez Bañuelos MC, Castañeda Delgado JE, Sanchez Reyes K, Ortiz Lazareno PC. Prostate Cancer: Dissecting Novel Immunosuppressive Mechanisms Through Context-Specific Transcriptomic Programs and MDSC Cells. International Journal of Molecular Sciences. 2026; 27(3):1511. https://doi.org/10.3390/ijms27031511
Chicago/Turabian StyleReyes Martinez, Pedro, Erick Sierra Diaz, Fabiola Solorzano Ibarra, Jorge Raul Vazquez Urrutia, José de Jesús Guerrero García, Martha Cecilia Téllez Bañuelos, Julio Enrique Castañeda Delgado, Karina Sanchez Reyes, and Pablo Cesar Ortiz Lazareno. 2026. "Prostate Cancer: Dissecting Novel Immunosuppressive Mechanisms Through Context-Specific Transcriptomic Programs and MDSC Cells" International Journal of Molecular Sciences 27, no. 3: 1511. https://doi.org/10.3390/ijms27031511
APA StyleReyes Martinez, P., Sierra Diaz, E., Solorzano Ibarra, F., Vazquez Urrutia, J. R., Guerrero García, J. d. J., Téllez Bañuelos, M. C., Castañeda Delgado, J. E., Sanchez Reyes, K., & Ortiz Lazareno, P. C. (2026). Prostate Cancer: Dissecting Novel Immunosuppressive Mechanisms Through Context-Specific Transcriptomic Programs and MDSC Cells. International Journal of Molecular Sciences, 27(3), 1511. https://doi.org/10.3390/ijms27031511

