Influence of Donor Age, Donor Body Mass Index, and Harvesting Site on Cell Preparations from Human Adipose Tissue
Abstract
1. Introduction
2. Results
2.1. Characterization of the Donor Cohort
2.2. Determination of Cell Yield, Cell Viability, and Cell Size of the SVF and SVF-Derived Cells
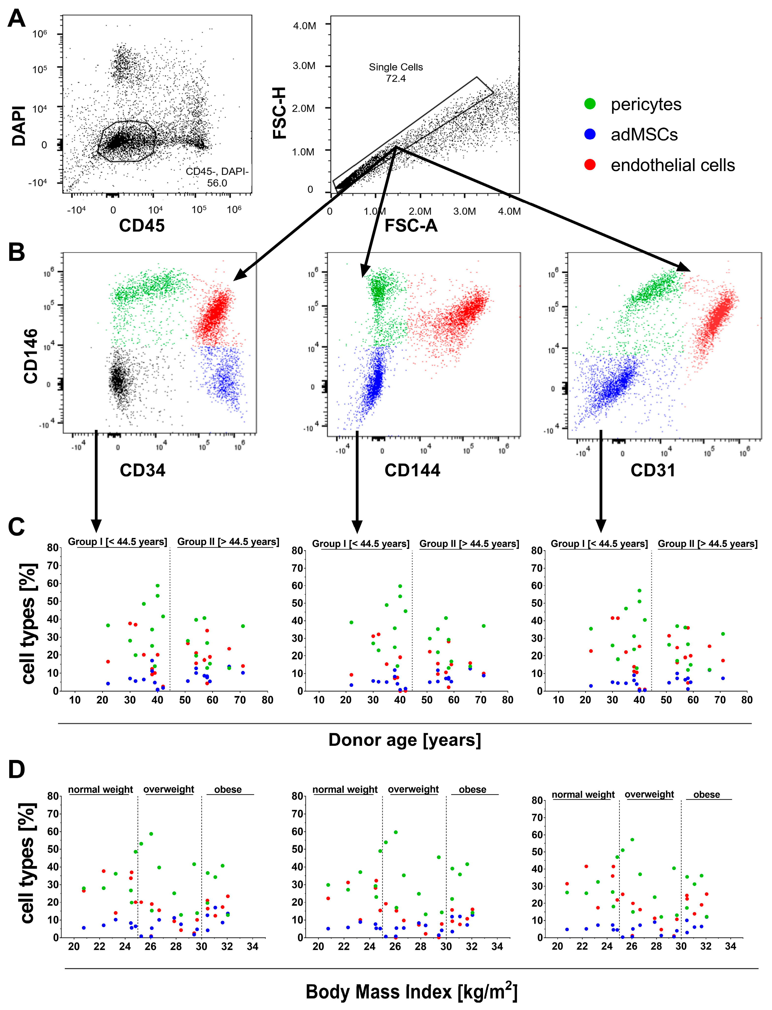
2.3. Impact of Donor Age
2.4. Effects of Donor BMI
2.5. Cell Characteristics in Relationship to the Harvesting Site
2.6. Flow Cytometric Characterization of Cell Populations Within the SVF
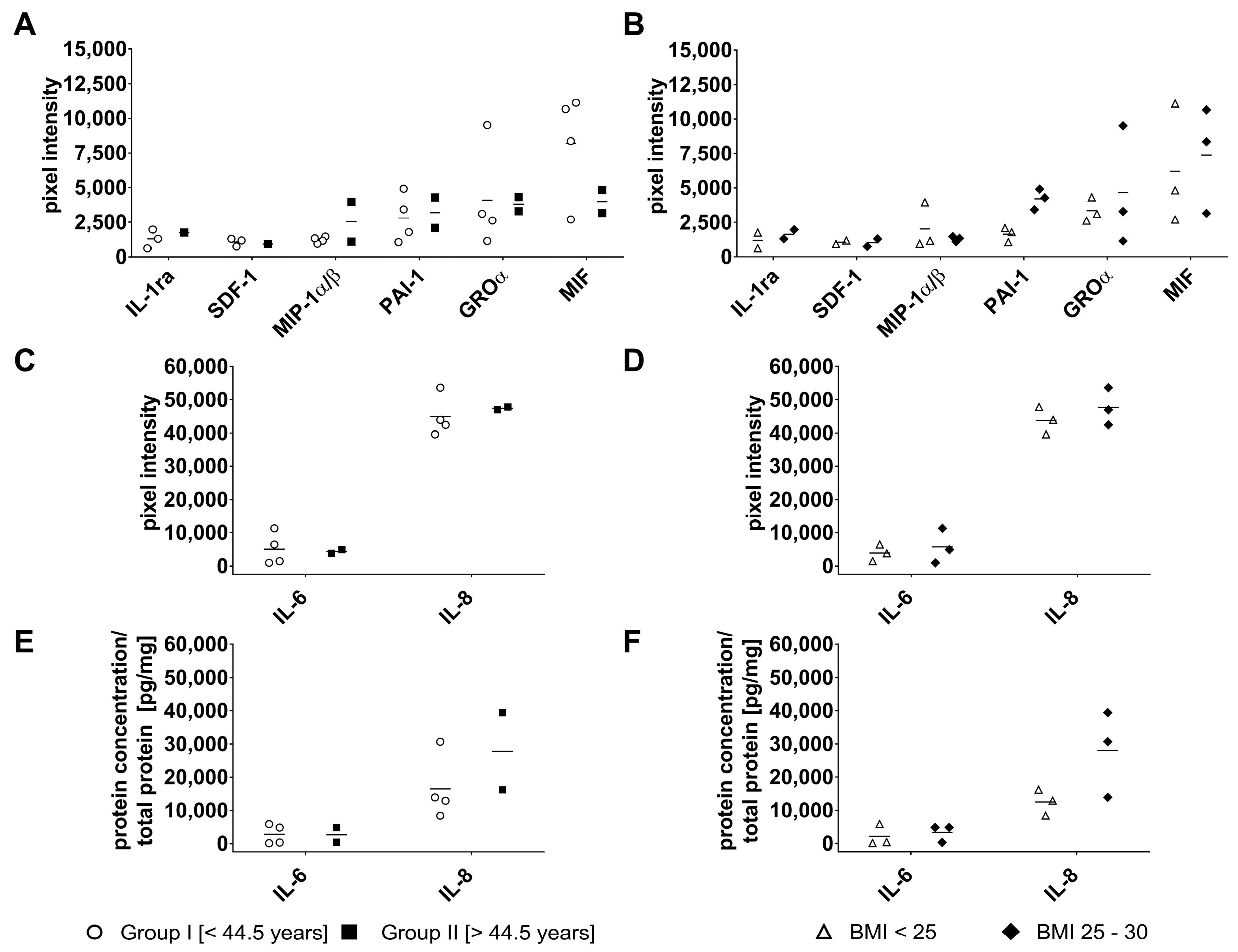
2.7. Quantification of Cytokines in the Cell Culture Supernatant
3. Discussion
3.1. Donor Cohort
3.2. Correlation Between Donor Age, Donor BMI, Harvesting Site, and the Characteristics of Freshly Isolated SVF and SVF-Derived Cells
3.3. Immunophenotype of SVF Cell Populations
3.4. Cytokine Secretion Profile
3.5. Study Limitations
4. Materials and Methods
4.1. Isolation of the SVF
4.2. Determination of Cell Yield, Cell Viability, and Cell Size
4.3. Separation of Adherent and Adherent CD34-Positive Cells from the SVF
4.4. Analysis of Surface Marker Expression of the SVF
4.5. Measurement of Cytokine, Chemokine, and Acute Phase Protein Levels Within SVF Cells
4.6. Measurement of the Total Protein Amount
4.7. Quantification of IL-6 and IL-8 by ELISA
4.8. Data Processing
4.9. Statistical Analysis
5. Conclusions
- (I)
- Donor age slightly increased cell viability (+2.74% in adherent cells, +1.33% in CD34-positive cells for the >44.5 years cohort) without affecting cell yield or size.
- (II)
- BMI (body weight/height2) significantly increased both cell yield and size in overweight/obese donors, while viability remained unaffected.
- (III)
- Harvesting site influenced cell size, with thighs/legs yielding the largest cells, but showed no effects on cell yield or viability.
- (IV)
- Flow cytometry revealed high interindividual variation in SVF composition.
- (V)
- Cytokine secretion exhibited a tissue-specific profile (8/36 analytes detectable), with PAI-1 responding primarily to BMI and IL-8 increasing with both age and BMI.
Supplementary Materials
Author Contributions
Funding
Institutional Review Board Statement
Informed Consent Statement
Data Availability Statement
Acknowledgments
Conflicts of Interest
Appendix A
| Coordinate | Analyte/Control | Coordinate | Analyte/Control |
|---|---|---|---|
| A1, A2 | Reference Spots | C7, C8 | IL-4 |
| A3, A4 | CCL1/I-309 | C9, C10 | IL-5 |
| A5, A6 | CCL2/MCP-1 | C11, C12 | IL-6 |
| A7, A8 | MIP-1α | C13, C14 | IL-8 |
| A9, A10 | CCL5/Rantes | C15, C16 | IL-10 |
| A11, A12 | CD40 Ligand/TNFSF5 | C17, C18 | IL-12p70 |
| A13, A14 | Complement Component C/Ca | D3, D4 | IL-13 |
| A15, A16 | CXCL/GROα | D5, D6 | IL-16 |
| A17, A18 | CXCL/IP-10 | D7, D8 | IL-17A |
| A19, A20 | Reference Spots | D9, D10 | IL-17E |
| B3, B4 | CXCL11/I-TAC | D11, D12 | IL-18/IL-1F4 |
| B5, B6 | CXCL12/SDF-1 | D13, D14 | IL-21 |
| B7, B8 | G-CSF | D15, D16 | IL-27 |
| B9, B10 | GM-CSF | D17, D18 | IL-32α |
| B11, B12 | ICAM-1/CD54 | E1, E2 | Reference Spots |
| B13, B14 | IFN-gamma | E3, E4 | MIF |
| B15, B16 | IL-1α/IL-1F1 | E5, E6 | Serpin/PAI-1 |
| B17, B18 | IL-1β/IL-1F2 | E7, E8 | TNF-α |
| C3, C4 | IL-1ra/IL-1F3 | E9, E10 | TREM-1 |
| C5, C6 | IL-2 | E19, E20 | Negative Control |

References
- Wrba, L.; Halbgebauer, R.; Roos, J.; Huber-Lang, M.; Fischer-Posovszky, P. Adipose tissue: A neglected organ in the response to severe trauma? Cell. Mol. Life Sci. 2022, 79, 207. [Google Scholar] [CrossRef]
- Choe, S.S.; Huh, J.Y.; Hwang, I.J.; Kim, J.I.; Kim, J.B. Adipose Tissue Remodeling: Its Role in Energy Metabolism and Metabolic Disorders. Front. Endocrinol. 2016, 7, 30. [Google Scholar] [CrossRef]
- Zuk, P.A.; Zhu, M.; Mizuno, H.; Huang, J.; Futrell, J.W.; Katz, A.J.; Benhaim, P.; Lorenz, H.P.; Hedrick, M.H. Multilineage cells from human adipose tissue: Implications for cell-based therapies. Tissue Eng. 2001, 7, 211–228. [Google Scholar] [CrossRef]
- Biehl, J.K.; Russell, B. Introduction to stem cell therapy. J. Cardiovasc. Nurs. 2009, 24, 98–103. [Google Scholar] [CrossRef]
- Freitag, J.; Bates, D.; Wickham, J.; Shah, K.; Huguenin, L.; Tenen, A.; Paterson, K.; Boyd, R. Adipose-Derived Mesenchymal Stem Cell Therapy in the Treatment of Knee Osteoarthritis: A Randomized Controlled Trial. Regen. Med. 2019, 14, 213–230. [Google Scholar] [CrossRef]
- Lee, S.; Janssen, I.; Ross, R. Interindividual variation in abdominal subcutaneous and visceral adipose tissue: Influence of measurement site. J. Appl. Physiol. 2004, 97, 948–954. [Google Scholar] [CrossRef] [PubMed]
- Lin, C.-S.; Lue, T.F. Adipose-Derived Stem Cells: Therapy Through Paracrine Actions. In Stem Cells and Cancer Stem Cells; Hayat, M.A., Ed.; Springer: Dordrecht, The Netherlands, 2012; Volume 4, pp. 203–216. [Google Scholar]
- Senesi, L.; Francesco, F.d.; Farinelli, L.; Manzotti, S.; Gagliardi, G.; Papalia, G.F.; Riccio, M.; Gigante, A. Mechanical and Enzymatic Procedures to Isolate the Stromal Vascular Fraction from Adipose Tissue: Preliminary Results. Front. Cell Dev. Biol. 2019, 7, 88. [Google Scholar] [CrossRef]
- Laloze, J.; Fiévet, L.; Desmoulière, A. Adipose-Derived Mesenchymal Stromal Cells in Regenerative Medicine: State of Play, Current Clinical Trials, and Future Prospects. Adv. Wound Care 2021, 10, 24–48. [Google Scholar] [CrossRef]
- Alstrup, T.; Eijken, M.; Brunbjerg, M.E.; Hammer-Hansen, N.; Møller, B.K.; Damsgaard, T.E. Measured Levels of Human Adipose Tissue-Derived Stem Cells in Adipose Tissue Is Strongly Dependent on Harvesting Method and Stem Cell Isolation Technique. Plast. Reconstr. Surg. 2020, 145, 142–150. [Google Scholar] [CrossRef] [PubMed]
- Nguyen, A.; Guo, J.; Banyard, D.A.; Fadavi, D.; Toranto, J.D.; Wirth, G.A.; Paydar, K.Z.; Evans, G.R.D.; Widgerow, A.D. Stromal vascular fraction: A regenerative reality? Part 1: Current concepts and review of the literature. J. Plast. Reconstr. Aesthet. Surg. 2016, 69, 170–179. [Google Scholar] [CrossRef] [PubMed]
- Doi, K.; Tanaka, S.; Iida, H.; Eto, H.; Kato, H.; Aoi, N.; Kuno, S.; Hirohi, T.; Yoshimura, K. Stromal vascular fraction isolated from lipo-aspirates using an automated processing system: Bench and bed analysis. J. Tissue Eng. Regen. Med. 2013, 7, 864–870. [Google Scholar] [CrossRef]
- Bourin, P.; Bunnell, B.A.; Casteilla, L.; Dominici, M.; Katz, A.J.; March, K.L.; Redl, H.; Rubin, J.P.; Yoshimura, K.; Gimble, J.M. Stromal cells from the adipose tissue-derived stromal vascular fraction and culture expanded adipose tissue-derived stromal/stem cells: A joint statement of the International Federation for Adipose Therapeutics and Science (IFATS) and the International Society for Cellular Therapy (ISCT). Cytotherapy 2013, 15, 641–648. [Google Scholar] [CrossRef]
- Kanthilal, M.; Darling, E.M. Characterization of Mechanical and Regenerative Properties of Human, Adipose Stromal Cells. Cell. Mol. Bioeng. 2014, 7, 585–597. [Google Scholar] [CrossRef]
- Bora, P.; Majumdar, A.S. Adipose tissue-derived stromal vascular fraction in regenerative medicine: A brief review on biology and translation. Stem Cell Res. Ther. 2017, 8, 145. [Google Scholar] [CrossRef]
- Vakhshiteh, F.; Atyabi, F.; Ostad, S.N. Mesenchymal stem cell exosomes: A two-edged sword in cancer therapy. Int. J. Nanomed. 2019, 14, 2847–2859. [Google Scholar] [CrossRef]
- Zocchi, M.L.; Prantl, L.; Oliinyk, D.; Knoedler, L.; Siegmund, A.; Ahmad, N.; Duscher, D.; Larcher, L.; Raposio, E.; Pagani, A. Potential benefits of adipose–derived SVF and MSCs to regenerate damaged tissues from alloplastic synthetic materials. Eur. J. Plast. Surg. 2024, 47, 48. [Google Scholar] [CrossRef]
- Ceccarelli, S.; Pontecorvi, P.; Anastasiadou, E.; Napoli, C.; Marchese, C. Immunomodulatory Effect of Adipose-Derived Stem Cells: The Cutting Edge of Clinical Application. Front. Cell Dev. Biol. 2020, 8, 236. [Google Scholar] [CrossRef]
- Alaaeddine, N.; El Atat, O.; Saliba, N.; Feghali, Z.; Nasr, M.; Tarabey, B.; Hilal, G.; Hashim, H. Effect of age and body mass index on the yield of stromal vascular fraction. J. Cosmet. Dermatol. 2018, 17, 1233–1239. [Google Scholar] [CrossRef] [PubMed]
- Liu, M.; Lei, H.; Dong, P.; Fu, X.; Yang, Z.; Yang, Y.; Ma, J.; Liu, X.; Cao, Y.; Xiao, R. Adipose-Derived Mesenchymal Stem Cells from the Elderly Exhibit Decreased Migration and Differentiation Abilities with Senescent Properties. Cell Transplant. 2017, 26, 1505–1519. [Google Scholar] [CrossRef] [PubMed]
- Jurgens, W.J.F.M.; Oedayrajsingh-Varma, M.J.; Helder, M.N.; Zandiehdoulabi, B.; Schouten, T.E.; Kuik, D.J.; Ritt, M.J.P.F.; van Milligen, F.J. Effect of tissue-harvesting site on yield of stem cells derived from adipose tissue: Implications for cell-based therapies. Cell Tissue Res. 2008, 332, 415–426. [Google Scholar] [CrossRef]
- Hendawy, H.; Uemura, A.; Ma, D.; Namiki, R.; Samir, H.; Ahmed, M.F.; Elfadadny, A.; El-Husseiny, H.M.; Chieh-Jen, C.; Tanaka, R. Tissue Harvesting Site Effect on the Canine Adipose Stromal Vascular Fraction Quantity and Quality. Animals 2021, 11, 460. [Google Scholar] [CrossRef]
- Volat, F.; Bouloumié, A. Steroid hormones and the stroma-vascular cells of the adipose tissue. Horm. Mol. Biol. Clin. Investig. 2013, 15, 5–10. [Google Scholar] [CrossRef]
- Karadağ Sarı, E.Ç.; Ovalı, E. Factors Affecting the Population of Mesenchymal Stem Cells in Adipose-Derived Stromal Vascular Fraction. Balkan Med. J. 2022, 39, 386–392. [Google Scholar] [CrossRef]
- Jovic, D.; Preradovic, L.; Kremenovic, M.; Jovic, F.; Antonic, M.; Aleksic, Z.; Ljubojevic, V. Effect of Donor Site Selection for Fat Grafting on the Yield and Viability of the Stromal Vascular Fraction. Aesthet. Surg. J. 2023, 43, NP704–NP712. [Google Scholar] [CrossRef]
- Li, K.; Gao, J.; Zhang, Z.; Li, J.; Cha, P.; Liao, Y.; Wang, G.; Lu, F. Selection of Donor Site for Fat Grafting and Cell Isolation. Aesth. Plast. Surg. 2013, 37, 153–158. [Google Scholar] [CrossRef]
- Di Taranto, G.; Cicione, C.; Visconti, G.; Isgrò, M.A.; Barba, M.; Di Stasio, E.; Stigliano, E.; Bernardini, C.; Michetti, F.; Salgarello, M.; et al. Qualitative and quantitative differences of adipose-derived stromal cells from superficial and deep subcutaneous lipoaspirates: A matter of fat. Cytotherapy 2015, 17, 1076–1089. [Google Scholar] [CrossRef]
- Monteiro, R.; Azevedo, I. Chronic Inflammation in Obesity and the Metabolic Syndrome. Mediat. Inflamm. 2010, 2010, 289645. [Google Scholar] [CrossRef] [PubMed]
- Zhu, X.-Y.; Ma, S.; Eirin, A.; Woollard, J.R.; Hickson, L.J.; Sun, D.; Lerman, A.; Lerman, L.O. Functional Plasticity of Adipose-Derived Stromal Cells During Development of Obesity. Stem Cells Transl. Med. 2016, 5, 893–900. [Google Scholar] [CrossRef] [PubMed]
- Balko, S.; Kerr, E.; Buchel, E.; Logsetty, S.; Raouf, A. Paracrine signalling between keratinocytes and SVF cells results in a new secreted cytokine profile during wound closure. Stem Cell Res. Ther. 2023, 14, 258. [Google Scholar] [CrossRef]
- Rowe, G.; Heng, D.S.; Beare, J.E.; Hodges, N.A.; Tracy, E.P.; Murfee, W.L.; LeBlanc, A.J. Stromal Vascular Fraction Reverses the Age-Related Impairment in Revascularization following Injury. J. Vasc. Res. 2022, 59, 343–357. [Google Scholar] [CrossRef] [PubMed]
- Aird, A.L.; Nevitt, C.D.; Christian, K.; Williams, S.K.; Hoying, J.B.; LeBlanc, A.J. Adipose-derived stromal vascular fraction cells isolated from old animals exhibit reduced capacity to support the formation of microvascular networks. Exp. Gerontol. 2015, 63, 18–26. [Google Scholar] [CrossRef] [PubMed]
- Immunology Guidebook; Cruse, J.M., Lewis, R.E., Wang, H., Eds.; Elsevier: Amsterdam, The Netherlands, 2004. [Google Scholar]
- Astori, G.; Vignati, F.; Bardelli, S.; Tubio, M.; Gola, M.; Albertini, V.; Bambi, F.; Scali, G.; Castelli, D.; Rasini, V.; et al. "In vitro" and multicolor phenotypic characterization of cell subpopulations identified in fresh human adipose tissue stromal vascular fraction and in the derived mesenchymal stem cells. J. Transl. Med. 2007, 5, 55. [Google Scholar] [CrossRef]
- Zinger, G.; Gronovich, Y.; Lotan, A.M.; Sharon-Gabbay, R. Pilot Study for Isolation of Stromal Vascular Fraction with Collagenase Using an Automated Processing System. Int. J. Mol. Sci. 2024, 25, 7148. [Google Scholar] [CrossRef]
- Tremp, M.; Menzi, N.; Tchang, L.; Di Summa, P.G.; Schaefer, D.J.; Kalbermatten, D.F. Adipose-Derived Stromal Cells from Lipomas: Isolation, Characterisation and Review of the Literature. Pathobiology 2016, 83, 258–266. [Google Scholar] [CrossRef]
- Hanke, A.; Prantl, L.; Wenzel, C.; Nerlich, M.; Brockhoff, G.; Loibl, M.; Gehmert, S. Semi-automated extraction and characterization of Stromal Vascular Fraction using a new medical device. Clin. Hemorheol. Microcirc. 2016, 64, 403–412. [Google Scholar] [CrossRef] [PubMed]
- Hager, G.; Holnthoner, W.; Wolbank, S.; Husa, A.-M.; Godthardt, K.; Redl, H.; Gabriel, C. Three specific antigens to isolate endothelial progenitor cells from human liposuction material. Cytotherapy 2013, 15, 1426–1435. [Google Scholar] [CrossRef]
- Gimble, J.M.; Katz, A.J.; Bunnell, B.A. Adipose-derived stem cells for regenerative medicine. Circ. Res. 2007, 100, 1249–1260. [Google Scholar] [CrossRef] [PubMed]
- Frazier, T.; Lee, S.; Bowles, A.; Semon, J.; Bunnell, B.; Wu, X.; Gimble, J. Gender and age-related cell compositional differences in C57BL/6 murine adipose tissue stromal vascular fraction. Adipocyte 2018, 7, 183–189. [Google Scholar] [CrossRef]
- Choi, J.-W.; Shin, S.; Lee, C.Y.; Lee, J.; Seo, H.-H.; Lim, S.; Lee, S.; Kim, I.-K.; Lee, H.-B.; Kim, S.W.; et al. Rapid Induction of Osteogenic Markers in Mesenchymal Stem Cells by Adipose-Derived Stromal Vascular Fraction Cells. Cell. Physiol. Biochem. 2017, 44, 53–65. [Google Scholar] [CrossRef]
- Yang, J. Most Common Surgical Cosmetic Procedures Worldwide in 2023. Available online: https://www.statista.com/statistics/293437/leading-surgical-cosmetic-procedures/ (accessed on 6 November 2024).
- International Society of Aesthetic Plastic Surgery. ISAPS International Survey on Aesthetic/Cosmetic Procedures Performed in 2023. Available online: https://www.isaps.org/media/rxnfqibn/isaps-global-survey_2023.pdf (accessed on 28 October 2024).
- Gladyshev, V.N.; Kritchevsky, S.B.; Clarke, S.G.; Cuervo, A.M.; Fiehn, O.; Magalhães, J.P.d.; Mau, T.; Maes, M.; Moritz, R.; Niedernhofer, L.J.; et al. Molecular Damage in Aging. Nat. Aging 2021, 1, 1096–1106. [Google Scholar] [CrossRef]
- Suda, K.; Moriyama, Y.; Razali, N.; Chiu, Y.; Masukagami, Y.; Nishimura, K.; Barbee, H.; Takase, H.; Sugiyama, S.; Yamazaki, Y.; et al. Plasma membrane damage limits replicative lifespan in yeast and induces premature senescence in human fibroblasts. Nat. Aging 2024, 4, 319–335. [Google Scholar] [CrossRef]
- Buschmann, J.; Gao, S.; Härter, L.; Hemmi, S.; Welti, M.; Werner, C.M.L.; Calcagni, M.; Cinelli, P.; Wanner, G.A. Yield and proliferation rate of adipose-derived stromal cells as a function of age, body mass index and harvest site-increasing the yield by use of adherent and supernatant fractions? Cytotherapy 2013, 15, 1098–1105. [Google Scholar] [CrossRef]
- Dos-Anjos Vilaboa, S.; Navarro-Palou, M.; Llull, R. Age influence on stromal vascular fraction cell yield obtained from human lipoaspirates. Cytotherapy 2014, 16, 1092–1097. [Google Scholar] [CrossRef]
- Doornaert, M.; Maere, E.d.; Colle, J.; Declercq, H.; Taminau, J.; Lemeire, K.; Berx, G.; Blondeel, P. Xenogen-free isolation and culture of human adipose mesenchymal stem cells. Stem Cell Res. 2019, 40, 101532. [Google Scholar] [CrossRef]
- Aronowitz, J.A.; Lockhart, R.A.; Hakakian, C.S.; Birnbaum, Z.E. Adipose Stromal Vascular Fraction Isolation: A Head-to-Head Comparison of 4 Cell Separation Systems #2. Ann. Plast. Surg. 2016, 77, 354–362. [Google Scholar] [CrossRef] [PubMed]
- Tsekouras, A.; Mantas, D.; Tsilimigras, D.I.; Moris, D.; Kontos, M.; Zografos, G.C. Comparison of the Viability and Yield of Adipose-Derived Stem Cells (ASCs) from Different Donor Areas. In Vivo 2017, 31, 1229–1234. [Google Scholar] [CrossRef] [PubMed]
- Choudhery, M.S.; Badowski, M.; Muise, A.; Pierce, J.; Harris, D.T. Donor age negatively impacts adipose tissue-derived mesenchymal stem cell expansion and differentiation. J. Transl. Med. 2014, 12, 8. [Google Scholar] [CrossRef] [PubMed]
- West, C.C.; Hardy, W.R.; Murray, I.R.; James, A.W.; Corselli, M.; Pang, S.; Black, C.; Lobo, S.E.; Sukhija, K.; Liang, P.; et al. Prospective purification of perivascular presumptive mesenchymal stem cells from human adipose tissue: Process optimization and cell population metrics across a large cohort of diverse demographics. Stem Cell Res. Ther. 2016, 7, 47. [Google Scholar] [CrossRef]
- Gustafson, B.; Nerstedt, A.; Smith, U. Reduced subcutaneous adipogenesis in human hypertrophic obesity is linked to senescent precursor cells. Nat. Commun. 2019, 10, 2757. [Google Scholar] [CrossRef]
- Shantaram, D.; Hoyd, R.; Blaszczak, A.M.; Antwi, L.; Jalilvand, A.; Wright, V.P.; Liu, J.; Smith, A.J.; Bradley, D.; Lafuse, W.; et al. Obesity-associated microbiomes instigate visceral adipose tissue inflammation by recruitment of distinct neutrophils. Nat. Commun. 2024, 15, 5434. [Google Scholar] [CrossRef]
- Bertola, A.; Ciucci, T.; Rousseau, D.; Bourlier, V.; Duffaut, C.; Bonnafous, S.; Blin-Wakkach, C.; Anty, R.; Iannelli, A.; Gugenheim, J.; et al. Identification of adipose tissue dendritic cells correlated with obesity-associated insulin-resistance and inducing Th17 responses in mice and patients. Diabetes 2012, 61, 2238–2247. [Google Scholar] [CrossRef]
- Siklova-Vitkova, M.; Klimcakova, E.; Polak, J.; Kovacova, Z.; Tencerova, M.; Rossmeislova, L.; Bajzova, M.; Langin, D.; Stich, V. Adipose tissue secretion and expression of adipocyte-produced and stromavascular fraction-produced adipokines vary during multiple phases of weight-reducing dietary intervention in obese women. J. Clin. Endocrinol. Metab. 2012, 97, E1176-81. [Google Scholar] [CrossRef]
- Martyniak, K.; Masternak, M.M. Changes in adipose tissue cellular composition during obesity and aging as a cause of metabolic dysregulation. Exp. Gerontol. 2017, 94, 59–63. [Google Scholar] [CrossRef]
- Liu, F.; He, J.; Wang, H.; Zhu, D.; Bi, Y. Adipose Morphology: A Critical Factor in Regulation of Human Metabolic Diseases and Adipose Tissue Dysfunction. Obes. Surg. 2020, 30, 5086–5100. [Google Scholar] [CrossRef]
- Farnier, C.; Krief, S.; Blache, M.; Diot-Dupuy, F.; Mory, G.; Ferre, P.; Bazin, R. Adipocyte functions are modulated by cell size change: Potential involvement of an integrin/ERK signalling pathway. Int. J. Obes. Relat. Metab. Disord. 2003, 27, 1178–1186. [Google Scholar] [CrossRef]
- Henninger, A.M.J.; Eliasson, B.; Jenndahl, L.E.; Hammarstedt, A. Adipocyte hypertrophy, inflammation and fibrosis characterize subcutaneous adipose tissue of healthy, non-obese subjects predisposed to type 2 diabetes. PLoS ONE 2014, 9, e105262. [Google Scholar] [CrossRef]
- Díaz-Flores, L.; Gutiérrez, R.; Lizartza, K.; Goméz, M.G.; Del García, M.P.; Sáez, F.J.; Madrid, J.F. Behavior of in situ human native adipose tissue CD34+ stromal/progenitor cells during different stages of repair. Tissue-resident CD34+ stromal cells as a source of myofibroblasts. Anat. Rec. 2015, 298, 917–930. [Google Scholar] [CrossRef] [PubMed]
- Boland, L.; Bitterlich, L.M.; Hogan, A.E.; Ankrum, J.A.; English, K. Translating MSC Therapy in the Age of Obesity. Front. Immunol. 2022, 13, 943333. [Google Scholar] [CrossRef]
- Chang, E.; Varghese, M.; Singer, K. Gender and Sex Differences in Adipose Tissue. Curr. Diab. Rep. 2018, 18, 69. [Google Scholar] [CrossRef] [PubMed]
- Juntunen, M.; Heinonen, S.; Huhtala, H.; Rissanen, A.; Kaprio, J.; Kuismanen, K.; Pietiläinen, K.H.; Miettinen, S.; Patrikoski, M. Evaluation of the effect of donor weight on adipose stromal/stem cell characteristics by using weight-discordant monozygotic twin pairs. Stem Cell Res. Ther. 2021, 12, 516. [Google Scholar] [CrossRef] [PubMed]
- Braun, J.; Kurtz, A.; Barutcu, N.; Bodo, J.; Thiel, A.; Dong, J. Concerted regulation of CD34 and CD105 accompanies mesenchymal stromal cell derivation from human adventitial stromal cell. Stem Cells Dev. 2013, 22, 815–827. [Google Scholar] [CrossRef]
- Zimmerlin, L.; Donnenberg, V.S.; Pfeifer, M.E.; Meyer, E.M.; Péault, B.; Rubin, J.P.; Donnenberg, A.D. Stromal vascular progenitors in adult human adipose tissue. Cytometry A 2010, 77, 22–30. [Google Scholar] [CrossRef] [PubMed]
- Baer, P.C. Adipose-derived mesenchymal stromal/stem cells: An update on their phenotype in vivo and in vitro. World J. Stem Cells 2014, 6, 256–265. [Google Scholar] [CrossRef]
- Block, T.J.; Marinkovic, M.; Tran, O.N.; Gonzalez, A.O.; Marshall, A.; Dean, D.D.; Chen, X.-D. Restoring the quantity and quality of elderly human mesenchymal stem cells for autologous cell-based therapies. Stem Cell Res. Ther. 2017, 8, 239. [Google Scholar] [CrossRef] [PubMed]
- Marędziak, M.; Marycz, K.; Tomaszewski, K.A.; Kornicka, K.; Henry, B.M. The Influence of Aging on the Regenerative Potential of Human Adipose Derived Mesenchymal Stem Cells. Stem Cells Int. 2016, 2016, 2152435. [Google Scholar] [CrossRef] [PubMed]
- Silva, K.R.; Côrtes, I.; Liechocki, S.; Carneiro, J.R.I.; Souza, A.A.P.; Borojevic, R.; Maya-Monteiro, C.M.; Baptista, L.S. Characterization of stromal vascular fraction and adipose stem cells from subcutaneous, preperitoneal and visceral morbidly obese human adipose tissue depots. PLoS ONE 2017, 12, e0174115. [Google Scholar] [CrossRef]
- Lihn, A.S.; Bruun, J.M.; He, G.; Pedersen, S.B.; Jensen, P.F.; Richelsen, B. Lower expression of adiponectin mRNA in visceral adipose tissue in lean and obese subjects. Mol. Cell. Endocrinol. 2004, 219, 9–15. [Google Scholar] [CrossRef]
- Fried, S.K.; Bunkin, D.A.; Greenberg, A.S. Omental and subcutaneous adipose tissues of obese subjects release interleukin-6: Depot difference and regulation by glucocorticoid. J. Clin. Endocrinol. Metab. 1998, 83, 847–850. [Google Scholar] [CrossRef]
- Bruun, J.M.; Lihn, A.S.; Madan, A.K.; Pedersen, S.B.; Schiøtt, K.M.; Fain, J.N.; Richelsen, B. Higher production of IL-8 in visceral vs. subcutaneous adipose tissue. Implication of nonadipose cells in adipose tissue. Am. J. Physiol. Endocrinol. Metab. 2004, 286, E8–E13. [Google Scholar] [CrossRef]
- Wolf, S.; Deuel, J.W.; Hollmén, M.; Felmerer, G.; Kim, B.-S.; Vasella, M.; Grünherz, L.; Giovanoli, P.; Lindenblatt, N.; Gousopoulos, E. A Distinct Cytokine Profile and Stromal Vascular Fraction Metabolic Status without Significant Changes in the Lipid Composition Characterizes Lipedema. Int. J. Mol. Sci. 2021, 22, 3313. [Google Scholar] [CrossRef]
- Mavri, A.; Stegnar, M.; Krebs, M.; Sentocnik, J.T.; Geiger, M.; Binder, B.R. Impact of adipose tissue on plasma plasminogen activator inhibitor-1 in dieting obese women. Arterioscler. Thromb. Vasc. Biol. 1999, 19, 1582–1587. [Google Scholar] [CrossRef]
- Dietrich, K.; Ball, G.D.C.; Mitchell, L.G. Increased plasminogen activator inhibitor results in a hypofibrinolytic state in adolescents with obesity: In vivo and ex vivo evidence. Br. J. Haematol. 2016, 175, 300–307. [Google Scholar] [CrossRef]
- Fu, X.; Wang, Y.; Zhao, F.; Cui, R.; Xie, W.; Liu, Q.; Yang, W. Shared biological mechanisms of depression and obesity: Focus on adipokines and lipokines. Aging 2023, 15, 5917–5950. [Google Scholar] [CrossRef]
- Alessi, M.-C.; Poggi, M.; Juhan-Vague, I. Plasminogen activator inhibitor-1, adipose tissue and insulin resistance. Curr. Opin. Lipidol. 2007, 18, 240–245. [Google Scholar] [CrossRef] [PubMed]
- Juhan-Vague, I.; Alessi, M.-C.; Mavri, A.; Morange, P.E. Plasminogen activator inhibitor-1, inflammation, obesity, insulin resistance and vascular risk. J. Thromb. Haemost. 2003, 1, 1575–1579. [Google Scholar] [CrossRef] [PubMed]
- Ren, Y.; Zhao, H.; Yin, C.; Lan, X.; Wu, L.; Du, X.; Griffiths, H.R.; Gao, D. Adipokines, Hepatokines and Myokines: Focus on Their Role and Molecular Mechanisms in Adipose Tissue Inflammation. Front. Endocrinol. 2022, 13, 873699. [Google Scholar] [CrossRef]
- Wang, L.; Chen, L.; Liu, Z.; Liu, Y.; Luo, M.; Chen, N.; Deng, X.; Luo, Y.; He, J.; Zhang, L.; et al. PAI-1 Exacerbates White Adipose Tissue Dysfunction and Metabolic Dysregulation in High Fat Diet-Induced Obesity. Front. Pharmacol. 2018, 9, 1087. [Google Scholar] [CrossRef]
- Bastelica, D.; Morange, P.; Berthet, B.; Borghi, H.; Lacroix, O.; Grino, M.; Juhan-Vague, I.; Alessi, M.-C. Stromal cells are the main plasminogen activator inhibitor-1-producing cells in human fat: Evidence of differences between visceral and subcutaneous deposits. Arterioscler. Thromb. Vasc. Biol. 2002, 22, 173–178. [Google Scholar] [CrossRef]
- Hotamisligil, G.S.; Arner, P.; Caro, J.F.; Atkinson, R.L.; Spiegelman, B.M. Increased adipose tissue expression of tumor necrosis factor-alpha in human obesity and insulin resistance. J. Clin. Investig. 1995, 95, 2409–2415. [Google Scholar] [CrossRef]
- Kilroy, G.E.; Foster, S.J.; Wu, X.; Ruiz, J.; Sherwood, S.; Heifetz, A.; Ludlow, J.W.; Stricker, D.M.; Potiny, S.; Green, P.; et al. Cytokine profile of human adipose-derived stem cells: Expression of angiogenic, hematopoietic, and pro-inflammatory factors. J. Cell. Physiol. 2007, 212, 702–709. [Google Scholar] [CrossRef] [PubMed]
- Bruun, J.M.; Pedersen, S.B.; Richelsen, B. Regulation of interleukin 8 production and gene expression in human adipose tissue in vitro. J. Clin. Endocrinol. Metab. 2001, 86, 1267–1273. [Google Scholar] [CrossRef] [PubMed]
- Popko, K.; Gorska, E.; Stelmaszczyk-Emmel, A.; Plywaczewski, R.; Stoklosa, A.; Gorecka, D.; Pyrzak, B.; Demkow, U. Proinflammatory cytokines Il-6 and TNF-α and the development of inflammation in obese subjects. Eur. J. Med. Res. 2010, 15 (Suppl. 2), 120–122. [Google Scholar] [CrossRef]
- Fain, J.N. Release of interleukins and other inflammatory cytokines by human adipose tissue is enhanced in obesity and primarily due to the nonfat cells. Vitam. Horm. 2006, 74, 443–477. [Google Scholar] [CrossRef] [PubMed]
- Eljaafari, A.; Robert, M.; Chehimi, M.; Chanon, S.; Durand, C.; Vial, G.; Bendridi, N.; Madec, A.-M.; Disse, E.; Laville, M.; et al. Adipose Tissue-Derived Stem Cells From Obese Subjects Contribute to Inflammation and Reduced Insulin Response in Adipocytes Through Differential Regulation of the Th1/Th17 Balance and Monocyte Activation. Diabetes 2015, 64, 2477–2488. [Google Scholar] [CrossRef] [PubMed]
- Tam, C.S.; Garnett, S.P.; Cowell, C.T.; Heilbronn, L.K.; Lee, J.W.; Wong, M.; Baur, L.A. IL-6, IL-8 and IL-10 levels in healthy weight and overweight children. Horm. Res. Paediatr. 2010, 73, 128–134. [Google Scholar] [CrossRef]
- Makki, K.; Froguel, P.; Wolowczuk, I. Adipose tissue in obesity-related inflammation and insulin resistance: Cells, cytokines, and chemokines. ISRN Inflamm. 2013, 2013, 139239. [Google Scholar] [CrossRef]
- Palmer, A.K.; Xu, M.; Zhu, Y.; Pirtskhalava, T.; Weivoda, M.M.; Hachfeld, C.M.; Prata, L.G.; van Dijk, T.H.; Verkade, E.; Casaclang-Verzosa, G.; et al. Targeting senescent cells alleviates obesity-induced metabolic dysfunction. Aging Cell 2019, 18, e12950. [Google Scholar] [CrossRef]
- Espinosa De Ycaza, A.E.; Søndergaard, E.; Morgan-Bathke, M.; Carranza Leon, B.G.; Lytle, K.A.; Ramos, P.; Kirkland, J.L.; Tchkonia, T.; Jensen, M.D. Senescent cells in human adipose tissue: A cross-sectional study. Obesity 2021, 29, 1320–1327. [Google Scholar] [CrossRef]
- Dykstra, J.A.; Facile, T.; Patrick, R.J.; Francis, K.R.; Milanovich, S.; Weimer, J.M.; Kota, D.J. Concise Review: Fat and Furious: Harnessing the Full Potential of Adipose-Derived Stromal Vascular Fraction. Stem Cells Transl. Med. 2017, 6, 1096–1108. [Google Scholar] [CrossRef]
- Ejaz, A.; Mattesich, M.; Zwerschke, W. Silencing of the small GTPase DIRAS3 induces cellular senescence in human white adipose stromal/progenitor cells. Aging 2017, 9, 860–879. [Google Scholar] [CrossRef]
- Zhang, Y.-X.; Ou, M.-Y.; Yang, Z.-H.; Sun, Y.; Li, Q.-F.; Zhou, S.-B. Adipose tissue aging is regulated by an altered immune system. Front. Immunol. 2023, 14, 1125395. [Google Scholar] [CrossRef]
- Fain, J.N. Release of inflammatory mediators by human adipose tissue is enhanced in obesity and primarily by the nonfat cells: A review. Mediat. Inflamm. 2010, 2010, 513948. [Google Scholar] [CrossRef]
- van Harmelen, V.; Skurk, T.; Hauner, H. Primary culture and differentiation of human adipocyte precursor cells. Methods Mol. Med. 2005, 107, 125–135. [Google Scholar] [CrossRef] [PubMed]
- Beylerli, O.; Gareev, I.; Zhao, B.; Musaev, E. Donor variability in adipose tissue-derived stem cells: Implications for the clinical efficacy of autologous fat grafting. Explor. Med. 2024, 5, 601–614. [Google Scholar] [CrossRef]
- Ismail, T.; Bürgin, J.; Todorov, A.; Osinga, R.; Menzi, N.; Largo, R.D.; Haug, M.; Martin, I.; Scherberich, A.; Schaefer, D.J. Low osmolality and shear stress during liposuction impair cell viability in autologous fat grafting. J. Plast. Reconstr. Aesthet. Surg. 2017, 70, 596–605. [Google Scholar] [CrossRef]
- Pavanello, S.; Campisi, M.; Rigotti, P.; Di Bello, M.; Nuzzolese, E.; Neri, F.; Furian, L. DNA Methylation- and Telomere-Based Biological Age Estimation as Markers of Biological Aging in Donors Kidneys. Front. Med. 2022, 9, 832411. [Google Scholar] [CrossRef] [PubMed]
- Jain, N.; Li, J.L.; Tong, L.; Jasmine, F.; Kibriya, M.G.; Demanelis, K.; Oliva, M.; Chen, L.S.; Pierce, B.L. DNA methylation correlates of chronological age in diverse human tissue types. Epigenetics Chromatin 2024, 17, 25. [Google Scholar] [CrossRef]
- Aronowitz, J.A.; Lockhart, R.A.; Hakakian, C.S. Mechanical versus enzymatic isolation of stromal vascular fraction cells from adipose tissue. Springerplus 2015, 4, 713. [Google Scholar] [CrossRef]
- Jeyaraman, N.; Shrivastava, S.; Rangarajan, R.V.; Nallakumarasamy, A.; Ramasubramanian, S.; Devadas, A.G.; Rupert, S.; Jeyaraman, M. Challenges in the clinical translation of stromal vascular fraction therapy in regenerative medicine. World J. Stem Cells 2025, 17, 103775. [Google Scholar] [CrossRef] [PubMed]
- Güven, S.; Karagianni, M.; Schwalbe, M.; Schreiner, S.; Farhadi, J.; Bula, S.; Bieback, K.; Martin, I.; Scherberich, A. Validation of an automated procedure to isolate human adipose tissue-derived cells by using the Sepax® technology. Tissue Eng. Part C Methods 2012, 18, 575–582. [Google Scholar] [CrossRef]
- SundarRaj, S.; Deshmukh, A.; Priya, N.; Krishnan, V.S.; Cherat, M.; Majumdar, A.S. Development of a System and Method for Automated Isolation of Stromal Vascular Fraction from Adipose Tissue Lipoaspirate. Stem Cells Int. 2015, 2015, 109353. [Google Scholar] [CrossRef] [PubMed]
- Peters, K.; Salamon, A.; van Vlierberghe, S.; Rychly, J.; Kreutzer, M.; Neumann, H.-G.; Schacht, E.; Dubruel, P. A New Approach for Adipose Tissue Regeneration Based on Human Mesenchymal Stem Cells in Contact to Hydrogels—An In Vitro Study. Adv. Eng. Mater. 2009, 11, B155–B161. [Google Scholar] [CrossRef]
- Hahn, O.; Ingwersen, L.-C.; Soliman, A.; Hamed, M.; Fuellen, G.; Wolfien, M.; Scheel, J.; Wolkenhauer, O.; Koczan, D.; Kamp, G.; et al. TGF-ß1 Induces Changes in the Energy Metabolism of White Adipose Tissue-Derived Human Adult Mesenchymal Stem/Stromal Cells In Vitro. Metabolites 2020, 10, 59. [Google Scholar] [CrossRef] [PubMed]







| Category | BMI [kg/m2] | Absolute Frequency | Relative Frequency [%] |
|---|---|---|---|
| underweight | <16–18.5 | 0 | 0 |
| normal-weight | 18.5–25 | 33 | 27.97 |
| overweight | 25–30 | 47 | 39.83 |
| obesity | >30 | 34 | 28.81 |
| Group I [Donor Age <44.5 Years] | Group II [Donor Age >44.5 Years] | |
|---|---|---|
| Group size [n] | 58 | 59 |
| Mean age ± SD [years] | 34.95 ± 6.30 | 54.15 ± 7.89 |
| Mean BMI ± SD [kg/m2] | 28.19 ± 4.50 | 28.27 ± 4.82 |
| Normal-Weight [BMI < 25] | Overweight [25 < BMI < 30] | Obesity [BMI > 30] | |
|---|---|---|---|
| Group size [n] | 32 | 47 | 35 |
| Mean BMI ± SD [kg/m2] | 23.22 ± 1.51 | 27.55 ± 1.33 | 33.95 ± 3.16 |
| Mean age ± SD [years] | 46.40 ± 13.3 | 44.13 ± 11.1 | 43.38 ± 12.4 |
| Thighs/Legs | Abdomen | Arm | |
|---|---|---|---|
| Group size [n] | 52 | 21 | 11 |
| Mean age ± SD [years] | 43.66 ± 13.13 | 45.76 ± 8.95 | 43.18 ± 13.17 |
| Mean BMI ± SD [kg/m2] | 27.97 ± 5.09 | 27.88 ± 3.45 | 31.54 ± 4.10 |
| Group I [Donor Age < 44.5 Years] | Group II [Donor Age > 44.5 Years] | ||
|---|---|---|---|
| Group size [n] | 10 | 9 | |
| Mean age ± SD [years] | 35.60 ± 6.08 | 58.67 ± 6.25 | |
| Mean BMI ± SD [kg/m2] | 27.14 ± 2.96 | 27.08 ± 3.90 | |
| Normal-Weight [BMI < 25] | Overweight [25 < BMI < 30] | Obesity [BMI > 30] | |
| Group size [n] | 6 | 8 | 5 |
| Mean age ± SD [years] | 46.17 ± 16.53 | 46.25 ± 9.08 | 47.40 ± 17.43 |
| Mean BMI ± SD [kg/m2] | 23.35 ± 1.58 | 27.42 ± 1.64 | 31.14 ± 0.71 |
| Cell Types | Mean ± SD | Variation Coefficient | |
|---|---|---|---|
| CD34 vs. CD146 | pericytes | 25.78 ± 11.26 | 0.44 |
| adMSCs | 9.13 ± 2.86 | 0.31 | |
| endothelial cells | 19.45 ± 8.31 | 0.43 | |
| CD144 vs. CD146 | pericytes | 26.6 ±10.49 | 0.39 |
| adMSCs | 7.94 ± 2.78 | 0.35 | |
| endothelial cells | 14.47 ± 7.58 | 0.52 | |
| CD31 vs. CD146 | pericytes | 23.94 ± 9.15 | 0.42 |
| adMSCs | 6.87 ± 3.09 | 0.45 | |
| endothelial cells | 21.69 ± 9.15 | 0.42 |
| Group I [Donor Age < 44.5 Years] | Group II [Donor Age > 44.5 Years] | |
|---|---|---|
| Group size [n] | 4 | 2 |
| Mean age ± SD [years] | 35.50 ± 4.04 | 62.50 ± 12.02 |
| Mean BMI ± SD [kg/m2] | 26.16 ± 3.24 | 24.96 ± 2.42 |
| Normal-Weight [BMI < 25] | Overweight [25 < BMI < 30] | |
| Group size [n] | 3 | 3 |
| Mean age ± SD [years] | 45.33 ± 22.37 | 43.67 ± 8.96 |
| Mean BMI ± SD [kg/m2] | 23.46 ± 1.26 | 28.05 ± 1.49 |
Disclaimer/Publisher’s Note: The statements, opinions and data contained in all publications are solely those of the individual author(s) and contributor(s) and not of MDPI and/or the editor(s). MDPI and/or the editor(s) disclaim responsibility for any injury to people or property resulting from any ideas, methods, instructions or products referred to in the content. |
© 2026 by the authors. Licensee MDPI, Basel, Switzerland. This article is an open access article distributed under the terms and conditions of the Creative Commons Attribution (CC BY) license.
Share and Cite
Hahn, O.; Ficht, P.-K.; Bergmann-Ewert, W.; Meyer, J.; Wolff, A.; Peters, K. Influence of Donor Age, Donor Body Mass Index, and Harvesting Site on Cell Preparations from Human Adipose Tissue. Int. J. Mol. Sci. 2026, 27, 1351. https://doi.org/10.3390/ijms27031351
Hahn O, Ficht P-K, Bergmann-Ewert W, Meyer J, Wolff A, Peters K. Influence of Donor Age, Donor Body Mass Index, and Harvesting Site on Cell Preparations from Human Adipose Tissue. International Journal of Molecular Sciences. 2026; 27(3):1351. https://doi.org/10.3390/ijms27031351
Chicago/Turabian StyleHahn, Olga, Philipp-Kjell Ficht, Wendy Bergmann-Ewert, Juliane Meyer, Anne Wolff, and Kirsten Peters. 2026. "Influence of Donor Age, Donor Body Mass Index, and Harvesting Site on Cell Preparations from Human Adipose Tissue" International Journal of Molecular Sciences 27, no. 3: 1351. https://doi.org/10.3390/ijms27031351
APA StyleHahn, O., Ficht, P.-K., Bergmann-Ewert, W., Meyer, J., Wolff, A., & Peters, K. (2026). Influence of Donor Age, Donor Body Mass Index, and Harvesting Site on Cell Preparations from Human Adipose Tissue. International Journal of Molecular Sciences, 27(3), 1351. https://doi.org/10.3390/ijms27031351

