Urinary Chemokines in the Diagnosis and Monitoring of Immune Checkpoint Inhibitor-Associated Nephritis
Abstract
1. Introduction
2. Results
2.1. Baseline Characteristics of the Cohort
2.2. Checkpoint Pathway Molecules as Diagnostic Biomarkers
2.3. Chemokines and Inflammation-Related Molecules as Diagnostic Biomarkers
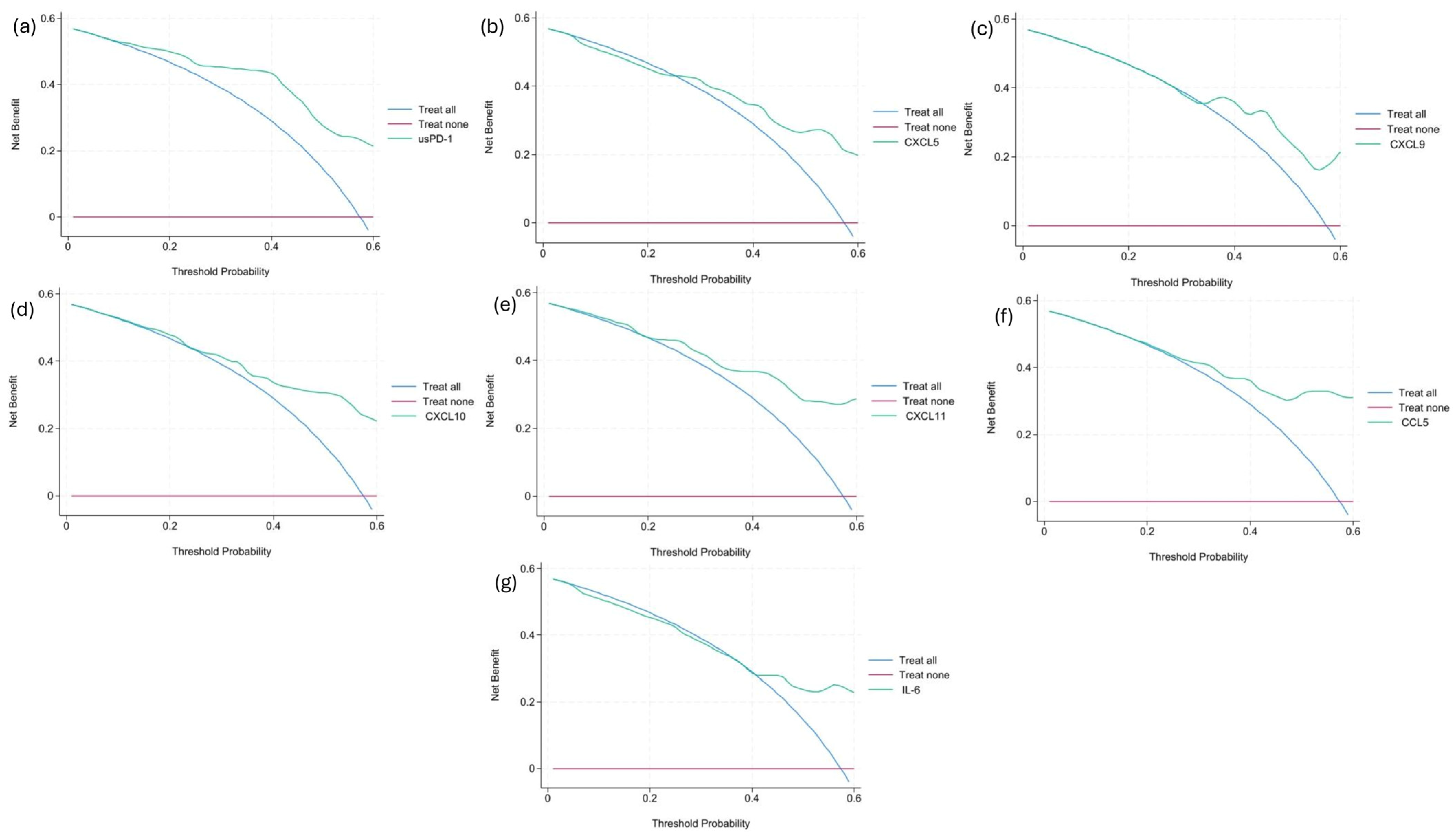
2.4. Biomarker Models
2.5. Clinical Model and Combined Model
2.6. Longitudinal Assessment of Urinary Biomarkers in ICI-AIN
2.7. Urinary Biomarkers as Predictors of Renal Outcomes in ICI-AIN
3. Discussion
4. Materials and Methods
4.1. Study Design and Population
4.2. Biomarker Assays
4.3. Clinical Data Collection
4.4. Statistical Methods
Supplementary Materials
Author Contributions
Funding
Institutional Review Board Statement
Informed Consent Statement
Data Availability Statement
Acknowledgments
Conflicts of Interest
Abbreviations
| ICIs | Immune Checkpoint Inhibitors |
| TCR | T Cell Receptor |
| MHC | Major Histocompatibility Complex |
| APCs | Antigen-Presenting Cells |
| PD-L1 | Programmed Cell Death Ligand 1 |
| PD-L2 | Programmed Cell Death Ligand 2 |
| PD-1 | Programmed Death 1 |
| NK | Natural Killer (cells) |
| irAEs | Immune-Related Adverse Events |
| ICI-AKI | ICI-associated Acute Kidney Injury |
| ICI-AIN | ICI-associated Acute Interstitial Nephritis |
| AIN | Acute Interstitial Nephritis |
| C-X-C/C-C | Chemokine subfamilies (based on cysteine residues) |
| TLS | Tertiary Lymphoid Structures |
| AKI | Acute Kidney Injury |
| ATN | Acute Tubular Necrosis |
| eGFR | Estimated Glomerular Filtration Rates |
| usPD-1 | Urinary Soluble Programmed Death 1 |
| usPD-L1 | Urinary Soluble Programmed Cell Death Ligand 1 |
| usPD-L2 | Urinary Soluble Programmed Cell Death Ligand 2 |
| ROC | Receiver Operating Characteristic |
| AUC | Area Under the Curve |
| CI | Confidence Interval |
| PLR | Positive Likelihood Ratio |
| CXCL | C-X-C Motif Chemokine Ligand |
| CCL | C-C Motif Chemokine Ligand |
| IL-6 | Interleukin-6 |
| IL-12p70 | Interleukin 12p70 |
| DCA | Decision Curve Analysis |
| OR | Odds Ratio |
| AIC | Akaike Information Criterion |
| BIC | Bayesian Information Criterion |
| IQR | Interquartile Range |
| CRP | C-Reactive Protein |
| IFN-gamma | Interferon-gamma |
| NF-κB | Nuclear Factor kappa-light-chain-enhancer of activated B cells |
| ANCA | Anti-Neutrophil Cytoplasmic Antibody |
| TNF-alpha | Tumor Necrosis Factor-alpha |
| IL-2R | Interleukin-2 Receptor |
| MICE | Multiple Imputation by Chained Equations |
| BH | Benjamini and Hochberg (method) |
| FDR | False Discovery Rate |
| PR3 | Proteinase 3 |
| MPO | Myeloperoxidase |
| ENA-78 | Epithelial Neutrophil-Activating Protein 78 |
| MIG | Monokine Induced by Gamma interferon |
| IP-10 | Interferon gamma-induced Protein 10 |
| I-TAC | IFN-inducible T cell Alpha Chemoattractant |
| MCP-1 | Monocyte Chemoattractant Protein-1 |
| MIP-1α | Macrophage Inflammatory Protein-1 Alpha |
| RANTES | Regulated on Activation, Normal T-cell Expressed and Secreted |
| UAB | Universal Assay Buffer |
| LLOQ | Lower Limit of Quantification |
| LOD | Limit of Detection |
| CV | Coefficient of Variation |
| H&E | Hematoxylin and Eosin |
| PAS | Periodic Acid-Schiff |
References
- Hossain, M.A. A Comprehensive Review of Immune Checkpoint Inhibitors for Cancer Treatment. Int. Immunopharmacol. 2024, 143, 113365. [Google Scholar] [CrossRef] [PubMed]
- Hwang, J.-R.; Byeon, Y.; Kim, D.; Park, S.-G. Recent Insights of T Cell Receptor-Mediated Signaling Pathways for T Cell Activation and Development. Exp. Mol. Med. 2020, 52, 750–761. [Google Scholar] [CrossRef] [PubMed]
- Shah, K.; Al-Haidari, A.; Sun, J.; Kazi, J.U. T Cell Receptor (TCR) Signaling in Health and Disease. Signal Transduct. Target. Ther. 2021, 6, 412. [Google Scholar] [CrossRef]
- Postow, M.A.; Sidlow, R.; Hellmann, M.D. Immune-Related Adverse Events Associated with Immune Checkpoint Blockade. N. Engl. J. Med. 2018, 378, 158–168. [Google Scholar] [CrossRef]
- Sprangers, B.; Leaf, D.E.; Porta, C.; Soler, M.J.; Perazella, M.A. Diagnosis and Management of Immune Checkpoint Inhibitor-Associated Acute Kidney Injury. Nat. Rev. Nephrol. 2022, 18, 794–805. [Google Scholar] [CrossRef]
- Cortazar, F.B.; Marrone, K.A.; Troxell, M.L.; Ralto, K.M.; Hoenig, M.P.; Brahmer, J.R.; Le, D.T.; Lipson, E.J.; Glezerman, I.G.; Wolchok, J.; et al. Clinicopathological Features of Acute Kidney Injury Associated with Immune Checkpoint Inhibitors. Kidney Int. 2016, 90, 638–647. [Google Scholar] [CrossRef]
- Rastegar, A.; Kashgarian, M. The Clinical Spectrum of Tubulointerstitial Nephritis. Kidney Int. 1998, 54, 313–327. [Google Scholar] [CrossRef]
- Hakroush, S.; Kopp, S.B.; Tampe, D.; Gersmann, A.-K.; Korsten, P.; Zeisberg, M.; Tampe, B. Variable Expression of Programmed Cell Death Protein 1-Ligand 1 in Kidneys Independent of Immune Checkpoint Inhibition. Front. Immunol. 2021, 11, 624547. [Google Scholar] [CrossRef]
- Long, J.P.; Singh, S.; Dong, Y.; Yee, C.; Lin, J.S. Urine Proteomics Defines an Immune Checkpoint-Associated Nephritis Signature. J. Immunother. Cancer 2025, 13, e010680. [Google Scholar] [CrossRef] [PubMed]
- Singh, S.; Long, J.P.; Tchakarov, A.; Dong, Y.; Yee, C.; Lin, J.S. Tertiary Lymphoid Structure Signatures Are Associated with Immune Checkpoint Inhibitor Related Acute Interstitial Nephritis. JCI Insight 2022, in press. [Google Scholar] [CrossRef]
- Teillaud, J.-L.; Houel, A.; Panouillot, M.; Riffard, C.; Dieu-Nosjean, M.-C. Tertiary Lymphoid Structures in Anticancer Immunity. Nat. Rev. Cancer 2024, 24, 629–646. [Google Scholar] [CrossRef]
- Tortonese, S.; Isnard, P.; Anglicheau, D.; Lebraud, E.; Rabant, M. Phenotypic and Molecular Signatures in Acute Interstitial Nephritis: FR-OR057. J. Am. Soc. Nephrol. 2025, 36. [Google Scholar] [CrossRef]
- Malyszko, J.; Tesarova, P.; Capasso, G.; Capasso, A. The Link between Kidney Disease and Cancer: Complications and Treatment. Lancet 2020, 396, 277–287. [Google Scholar] [CrossRef]
- Xu, L.-Y.; Zhao, H.-Y.; Yu, X.-J.; Wang, J.-W.; Zheng, X.-Z.; Jiang, L.; Wang, S.-X.; Liu, G.; Yang, L. Clinicopathological Features of Kidney Injury Related to Immune Checkpoint Inhibitors: A Systematic Review. J. Clin. Med. 2023, 12, 1349. [Google Scholar] [CrossRef] [PubMed]
- Péron, J.; Neven, A.; Collette, L.; Launay-Vacher, V.; Sprangers, B.; Marreaud, S. Impact of Acute Kidney Injury on Anticancer Treatment Dosage and Long-Term Outcomes: A Pooled Analysis of European Organisation for Research and Treatment of Cancer Trials. Nephrol. Dial. Transplant. 2021, 36, 1263–1271. [Google Scholar] [CrossRef] [PubMed]
- Awiwi, M.O.; Abudayyeh, A.; Abdel-Wahab, N.; Diab, A.; Gjoni, M.; Xu, G.; Vikram, R.; Elsayes, K. Imaging Features of Immune Checkpoint Inhibitor-Related Nephritis with Clinical Correlation: A Retrospective Series of Biopsy-Proven Cases. Eur. Radiol. 2022, 33, 2227–2238. [Google Scholar] [CrossRef]
- Isik, B.; Alexander, M.P.; Manohar, S.; Vaughan, L.; Kottschade, L.; Markovic, S.; Lieske, J.; Kukla, A.; Leung, N.; Herrmann, S.M. Biomarkers, Clinical Features, and Rechallenge for Immune Checkpoint Inhibitor Renal Immune-Related Adverse Events. Kidney Int. Rep. 2021, 6, 1022–1031. [Google Scholar] [CrossRef]
- Farooqui, N.; Zaidi, M.; Vaughan, L.; McKee, T.D.; Ahsan, E.; Pavelko, K.D.; Villasboas, J.C.; Markovic, S.; Taner, T.; Leung, N.; et al. Cytokines and Immune Cell Phenotype in Acute Kidney Injury Associated With Immune Checkpoint Inhibitors. Kidney Int. Rep. 2023, 8, 628–641. [Google Scholar] [CrossRef]
- Sise, M.E.; Wang, Q.; Seethapathy, H.; Moreno, D.; Harden, D.; Smith, R.N.; Rosales, I.A.; Colvin, R.B.; Chute, S.; Cornell, L.D.; et al. Soluble and Cell-Based Markers of Immune Checkpoint Inhibitor-Associated Nephritis. J. Immunother. Cancer 2023, 11, e006222. [Google Scholar] [CrossRef] [PubMed]
- Martinez Valenzuela, L.; Draibe, J.; Bestard, O.; Fulladosa, X.; Gómez-Preciado, F.; Antón, P.; Nadal, E.; Jové, M.; Cruzado, J.M.; Torras, J. Urinary Cytokines Reflect Renal Inflammation in Acute Tubulointerstitial Nephritis: A Multiplex Bead-Based Assay Assessment. J. Clin. Med. 2021, 10, 2986. [Google Scholar] [CrossRef]
- Moledina, D.G.; Obeid, W.; Smith, R.N.; Rosales, I.; Sise, M.E.; Moeckel, G.; Kashgarian, M.; Kuperman, M.; Campbell, K.N.; Lefferts, S.; et al. Identification and Validation of Urinary CXCL9 as a Biomarker for Diagnosis of Acute Interstitial Nephritis. J. Clin. Investig. 2023, 133, e168950, Correction in J. Clin. Investig. 2024, 134, e180583. [Google Scholar] [CrossRef]
- Nuñez, N.G.; Berner, F.; Friebel, E.; Unger, S.; Wyss, N.; Gomez, J.M.; Purde, M.-T.; Niederer, R.; Porsch, M.; Lichtensteiger, C.; et al. Immune Signatures Predict Development of Autoimmune Toxicity in Patients with Cancer Treated with Immune Checkpoint Inhibitors. Med 2023, 4, 113–129.e7. [Google Scholar] [CrossRef]
- Gomez-Preciado, F.; Martinez-Valenzuela, L.; Anton-Pampols, P.; Fulladosa, X.; Tena, M.G.; Gomà, M.; Jove, M.; Nadal, E.; Merino-Ribas, A.; Martin-Alemany, N.; et al. Urinary Soluble PD-1 as a Biomarker of Checkpoint Inhibitor-Induced Acute Tubulointerstitial Nephritis. Clin. Kidney J. 2024, 17, sfae200. [Google Scholar] [CrossRef]
- Kanbay, M.; Copur, S.; Siriopol, D.; Yildiz, A.B.; Berkkan, M.; Popa, R.; Hasbal, N.B.; Ortiz, A.; Perazella, M.A. The Association between Acute Kidney Injury and Outcomes in Cancer Patients Receiving Immune Checkpoint Inhibitor Therapy: A Systematic Review and Meta-Analysis. Clin. Kidney J. 2022, 16, 817–826. [Google Scholar] [CrossRef]
- Schadendorf, D.; Wolchok, J.D.; Hodi, F.S.; Chiarion-Sileni, V.; Gonzalez, R.; Rutkowski, P.; Grob, J.-J.; Cowey, C.L.; Lao, C.D.; Chesney, J.; et al. Efficacy and Safety Outcomes in Patients With Advanced Melanoma Who Discontinued Treatment With Nivolumab and Ipilimumab Because of Adverse Events: A Pooled Analysis of Randomized Phase II and III Trials. J. Clin. Oncol. 2017, 35, 3807–3814. [Google Scholar] [CrossRef]
- Draibe, J.B.; García-Carro, C.; Martinez-Valenzuela, L.; Agraz, I.; Fulladosa, X.; Bolufer, M.; Tango, A.; Torras, J.; Soler, M.J. Acute Tubulointerstitial Nephritis Induced by Checkpoint Inhibitors versus Classical Acute Tubulointerstitial Nephritis: Are They the Same Disease? Clin. Kidney J. 2021, 14, 884–890. [Google Scholar] [CrossRef]
- Herrmann, S.M.; Abudayyeh, A.; Gupta, S.; Gudsoorkar, P.; Klomjit, N.; Motwani, S.S.; Karam, S.; Silva, V.T.C.E.; Khalid, S.B.; Anand, S.; et al. Diagnosis and Management of Immune Checkpoint Inhibitor–Associated Nephrotoxicity: A Position Statement from the American Society of Onco-Nephrology. Kidney Int. 2025, 107, 21–32. [Google Scholar] [CrossRef]
- Cortazar, F.B.; Kibbelaar, Z.A.; Glezerman, I.G.; Abudayyeh, A.; Mamlouk, O.; Motwani, S.S.; Murakami, N.; Herrmann, S.M.; Manohar, S.; Shirali, A.C.; et al. Clinical Features and Outcomes of Immune Checkpoint Inhibitor–Associated AKI: A Multicenter Study. J. Am. Soc. Nephrol. 2020, 31, 435–446. [Google Scholar] [CrossRef]
- Gupta, S.; Garcia-Carro, C.; Prosek, J.M.; Glezerman, I.; Herrmann, S.M.; Garcia, P.; Abudayyeh, A.; Lumlertgul, N.; Malik, A.B.; Loew, S.; et al. Shorter versus Longer Corticosteroid Duration and Recurrent Immune Checkpoint Inhibitor-Associated AKI. J. Immunother. Cancer 2022, 10, e005646. [Google Scholar] [CrossRef]
- Mamlouk, O.; Danesh, F.R. Immune Checkpoint Inhibitor-Associated Nephrotoxicity. Nephron 2024, 148, 11–15. [Google Scholar] [CrossRef]
- Anton-Pampols, P.; Martinez Valenzuela, L.; Fernandez Lorente, L.; Quero Ramos, M.; Gómez Preciado, F.; Gomà, M.; Manrique, J.; Fulladosa, X.; Cruzado, J.M.; Torras, J.; et al. Immune Checkpoint Molecules Performance in ANCA Vasculitis. RMD Open 2024, 10, e004660. [Google Scholar] [CrossRef]
- Fukasawa, T.; Yoshizaki, A.; Ebata, S.; Nakamura, K.; Saigusa, R.; Miura, S.; Yamashita, T.; Hirabayashi, M.; Ichimura, Y.; Taniguchi, T.; et al. Contribution of Soluble Forms of Programmed Death 1 and Programmed Death Ligand 2 to Disease Severity and Progression in Systemic Sclerosis. Arthritis Rheumatol. 2017, 69, 1879–1890. [Google Scholar] [CrossRef]
- Tong, M.; Fang, X.; Yang, J.; Wu, P.; Guo, Y.; Sun, J. Abnormal Membrane-Bound and Soluble Programmed Death Ligand 2 (PD-L2) Expression in Systemic Lupus Erythematosus Is Associated with Disease Activity. Immunol. Lett. 2020, 227, 96–101. [Google Scholar] [CrossRef]
- Kushlinskii, N.E.; Kovaleva, O.V.; Gratchev, A.N.; Alferov, A.A.; Kuzmin, Y.B.; Sokolov, N.Y.; Tsekatunov, D.A.; Ryzhavskaya, I.B.; Kuznetsov, I.N.; Kushlinskii, D.N.; et al. Assessing the Clinical Relevance of Soluble PD-1 and PD-L1: A Multi-Cohort Study Across Diverse Tumor Types and Prognostic Implications. Biomedicines 2025, 13, 500. [Google Scholar] [CrossRef] [PubMed]
- Khan, M.; Zhao, Z.; Arooj, S.; Fu, Y.; Liao, G. Soluble PD-1: Predictive, Prognostic, and Therapeutic Value for Cancer Immunotherapy. Front. Immunol. 2020, 11, 587460. [Google Scholar] [CrossRef]
- Nerviani, A.; Pitzalis, C. Role of Chemokines in Ectopic Lymphoid Structures Formation in Autoimmunity and Cancer. J. Leukoc. Biol. 2018, 104, 333–341. [Google Scholar] [CrossRef] [PubMed]
- Tampe, D.; Kopp, S.B.; Baier, E.; Hakroush, S.; Tampe, B. Compartmentalization of Intrarenal Programmed Cell Death Protein 1-Ligand 1 and Its Receptor in Kidney Injury Related to Immune Checkpoint Inhibitor Nephrotoxicity. Front. Med. 2022, 9, 902256. [Google Scholar] [CrossRef]
- Chandrasekar, B.; Melby, P.C.; Sarau, H.M.; Raveendran, M.; Perla, R.P.; Marelli-Berg, F.M.; Dulin, N.O.; Singh, I.S. Chemokine-Cytokine Cross-talk. J. Biol. Chem. 2003, 278, 4675–4686. [Google Scholar] [CrossRef]
- Chan, O.; Burke, J.D.; Gao, D.F.; Fish, E.N. The chemokine CCL5 regulates glucose uptake and AMP kinase signaling in activated T cells to facilitate chemotaxis. J. Biol. Chem. 2012, 287, 29406–29416. [Google Scholar] [CrossRef]






| ATN n = 26 | AIN n = 64 | p Value | |
|---|---|---|---|
| Age | 66.06 ± 11.09 | 67.03 ± 11.06 | p = 0.71 |
| Sex (male) | 20/26 (76.92%) | 37/64 (57.81%) | p = 0.089 |
| Creatinine (umol/L, median [IQR]) | 239.5 [165.8–435.3] | 220.5 [220.5–364.8] | p = 0.74 |
| Hypertension (% patients) | 16/26 (61.54%) | 38/64 (59.38%) | p = 0.85 |
| Diabetes (% patients) | 9/17 (34.62%) | 14/64 (21.88%) | p = 0.21 |
| Pre-existing CKD (% patients) | 8/26 (30.77%) | 15/64 (23.44%) | p = 0.47 |
| C-reactive protein (median [IQR]) | 7.7 [5.2–17.9] | 32.2 [7–77.2] | p = 0.015 |
| Leukocyturia (% patients) | 16/26 (61.54%) | 47/64 (73.44%) | p = 0.26 |
| Leukocyturia (Leukocytes/μL, median [IQR]) | 13 [4–24] | 17 [9–43] | p = 0.02 |
| Microhaematuria (% patients) | 8/26 (30.77%) | 11/64 (17.19%) | p = 0.15 |
| Eosinophilia (% patients) | 0/26 (0%) | 15/64 (23.44%) | p = 0.0045 |
| Molecule | ICI-AIN (pg/mL) | ATN (pg/mL) | Non-ICI AIN (pg/mL) | p-Value ICI-AIN vs. ATN | p-Value ICI-AIN vs. Non-ICI AIN | p-Value ATN vs. Non-ICI AIN |
|---|---|---|---|---|---|---|
| CXCL5 | 33.3 [12.17–65.45] | 8.09 [1.9–22.56] | 12.23 [5.58–26.99] | 0.001 | 0.043 | 0.2 |
| CXCL9 | 270.2 [25.98–1213] | 16.4 [6.04–198.8] | 76.45 [11.47–320.6] | 0.017 | 0.22 | 0.47 |
| CXCL10 | 287.1 [69.28–531] | 30.2 [12.52–103.9] | 54.59 [22.51–158.3] | 0.0009 | 0.017 | 0.32 |
| CXCL11 | 41.08 [9.25–94.78] | 6.19 [2.38–10.77] | 11.18 [2.84–19.65] | 0.0009 | 0.005 | 0.2 |
| CCL5 | 11.94 [4.05–26.99] | 2.26 [1.43–10.45] | 4.95 [2.21–8.51] | 0.0009 | 0.007 | 0.11 |
| IL-6 | 138.8 [32.85–356.4] | 29.12 [14.91–51.03] | 51.89 [14.75–157.2] | 0.0025 | 0.19 | 0.21 |
| Variables | p-Value | OR (95% CI) |
|---|---|---|
| Age | 0.94 | 1.002 (0.95–1.06) |
| Sex (Ref female) | 0.67 | 0.63 (0.23–2.41) |
| Hypertension | 0.37 | 0.32 (0.21–1.66) |
| Diabetes | 0.072 | 0.24 (0.065–0.91) |
| Creatinine (log) | 0.105 | 0.09 (0.008–1.08) |
| C-reactive protein (log) | 0.04 * | 3.37 (1.24–9.16) |
| Eosinophils (log) | 0.67 | 1.13 (0.63–2.05) |
| Leukocytes (log) | 0.026 * | |
| usPD-1 (log) | 0.001 * | 8.59 (2.63–27.97) |
| usPD-L1 (log) | 0.35 | 2.1 (0.54–8.17) |
| usPD-L2 (log) | 0.23 | 1.67 (0.84–3.30) |
| CXCL5 (log) | 0.016 * | 4.11 (1.58–10.68) |
| CXCL9 (log) | 0.033 * | 2.01 (1.15–3.5) |
| CXCL10 (log) | 0.007 * | 4.95 (1.95–12.56) |
| CXCL11 (log) | 0.001 * | 7.59 (2.42–23.71) |
| CCL2 (log) | 0.26 | 2.05 (0.71–5.91) |
| CCL3 (log) | 0.57 | 1.32 (0.6–2.91) |
| CCL5 (log) | 0.015 * | 5.85 (1.79–19.16) |
| IL-6 (log) | 0.026 * | 3.11 (1.33–7.28) |
| IL-12p70 (log) | 0.26 | 4.73 (0.51–43.98) |
| Molecule | Prior to Corticosteroids (pg/mL) | After Corticosteroids (pg/mL) | Adjusted p |
|---|---|---|---|
| CXCL5 | 38.5 [19.1–78.96] | 12.62 [4.75–30.82] | 0.039 |
| CXCL9 | 557.3 [62.22–1569] | 23.81 [10.10–477.9] | 0.039 |
| CXCL10 | 361.8 [113.1–629.5] | 82.48 [15.16–309] | 0.03 |
| CXCL11 | 51.86 [11.7–158.1] | 9.87 [6.61–43.73] | 0.032 |
| CCL2 | 5715 [2771–13311] | 1874 [1126–4621] | 0.039 |
| CCL3 | 7.64 [3.54–28.98] | 1.13 [1.13–3.64] | 0.01 |
| CCL5 | 22.59 [7.25–28.43] | 3.86 [1.76–9.61] | 0.01 |
| IL-6 | 172.1 [65.97–581] | 29.6 [18.51–111.4] | 0.032 |
| Cut-Off Value | Sensitivity (%) | Specificity (%) | PLR | AUC | 95% CI | p-Value | |
|---|---|---|---|---|---|---|---|
| CXCL5 | >11.91 | 80 | 65.38 | 2.31 | 0.76 | 0.6503–0.8892 | 0.001 |
| CXCL9 | >19.59 | 88.57 | 51.54 | 2.3 | 0.71 | 0.5705–0.8537 | 0.013 |
| CXCL10 | >129.2 | 62.86 | 92.31 | 8.17 | 0.78 | 0.6631–0.9050 | 0.0009 |
| CXCL11 | >15.77 | 62.86 | 92.31 | 8.17 | 0.81 | 0.6935–0.9175 | 0.0009 |
| CCL5 | >5.04 | 74.29 | 84.62 | 4.83 | 0.8 | 0.6822–0.9233 | 0.0009 |
| IL-6 | >48.56 | 71.43 | 76.92 | 3.095 | 0.76 | 0.6422–0.8831 | 0.0015 |
| Variables | p-Value | OR (95% CI) | AUC | AIC/BIC |
|---|---|---|---|---|
| usPD-1 (log) | 0.001 | 9.54 (2.53–36.01) | 0.81 | 72.24/82.8 |
| CXCL5 (log) | 0.011 | 3.82 (1.35–10.81) | 0.75 | 80.34/90.9 |
| CXCL9 (log) | 0.015 | 2.01 (1.15–3.53) | 0.75 | 81.79/92.35 |
| CXCL10 (log) | 0.001 | 4.91 (1.86–12.97) | 0.81 | 74.42/84.97 |
| CXCL11 (log) | 0.001 | 7.02 (2.16–22.76) | 0.82 | 71.44/82 |
| CCL5 (log) | 0.007 | 6.57 (1.68–25.77) | 0.81 | 78.69/89.24 |
| IL-6 (log) | 0.013 | 3.01 (1.26–7.18) | 0.77 | 80.52/91.08 |
| usPD-1 (log) + CXCL11 (log) | - | - | 0.86 | 67.34/80.02 |
Disclaimer/Publisher’s Note: The statements, opinions and data contained in all publications are solely those of the individual author(s) and contributor(s) and not of MDPI and/or the editor(s). MDPI and/or the editor(s) disclaim responsibility for any injury to people or property resulting from any ideas, methods, instructions or products referred to in the content. |
© 2026 by the authors. Licensee MDPI, Basel, Switzerland. This article is an open access article distributed under the terms and conditions of the Creative Commons Attribution (CC BY) license.
Share and Cite
Gomez-Preciado, F.; Martinez-Valenzuela, L.; Anton-Pampols, P.; Fulladosa, X.; Jove, M.; Nadal, E.; Cruzado, J.M.; Torras, J.; Draibe, J. Urinary Chemokines in the Diagnosis and Monitoring of Immune Checkpoint Inhibitor-Associated Nephritis. Int. J. Mol. Sci. 2026, 27, 1240. https://doi.org/10.3390/ijms27031240
Gomez-Preciado F, Martinez-Valenzuela L, Anton-Pampols P, Fulladosa X, Jove M, Nadal E, Cruzado JM, Torras J, Draibe J. Urinary Chemokines in the Diagnosis and Monitoring of Immune Checkpoint Inhibitor-Associated Nephritis. International Journal of Molecular Sciences. 2026; 27(3):1240. https://doi.org/10.3390/ijms27031240
Chicago/Turabian StyleGomez-Preciado, Francisco, Laura Martinez-Valenzuela, Paula Anton-Pampols, Xavier Fulladosa, María Jove, Ernest Nadal, Josep María Cruzado, Joan Torras, and Juliana Draibe. 2026. "Urinary Chemokines in the Diagnosis and Monitoring of Immune Checkpoint Inhibitor-Associated Nephritis" International Journal of Molecular Sciences 27, no. 3: 1240. https://doi.org/10.3390/ijms27031240
APA StyleGomez-Preciado, F., Martinez-Valenzuela, L., Anton-Pampols, P., Fulladosa, X., Jove, M., Nadal, E., Cruzado, J. M., Torras, J., & Draibe, J. (2026). Urinary Chemokines in the Diagnosis and Monitoring of Immune Checkpoint Inhibitor-Associated Nephritis. International Journal of Molecular Sciences, 27(3), 1240. https://doi.org/10.3390/ijms27031240

