Plasma GLP-1 (Glucagon-like Peptide-1) Depletion Is Correlated with Dysregulation of Adipocytokine in Type 2 Diabetic Patients With or Without Metabolic-Associated Fatty Liver Disease (MAFLD): A Cross-Sectional Study Related to Gender-Sex Disparities
Abstract
1. Introduction
2. Results
2.1. Patient Characteristics Specific to Different Pathological Conditions
2.2. Assessment of Anthropometric Data
2.3. Data Comparing Metabolic Status and FLI Profile Across Groups
Fatty Liver Index (FLI) Profile
2.4. Adipokines/Pro-Inflammatory Cytokines and GLP-1 Profile Analysis
2.4.1. Plasma Glucagon-like Peptide 1 (GLP-1) Profile
2.4.2. Plasma Adipokine Profile
Plasma Leptin Levels
Plasma Adiponectin Levels
Plasma Leptin/Adiponectin Ratio
Plasma Resistin Levels
2.4.3. Plasma Pro-Inflammatory Cytokine Profile
Plasma TNFα (Tumor Necrosis Factor-Alpha) Levels
Plasma IL-6 (Interleukin-6) Levels
Plasma IL-1β (Interleukin-1beta) Levels
Plasma IL-17 (Interleukin-17) Levels
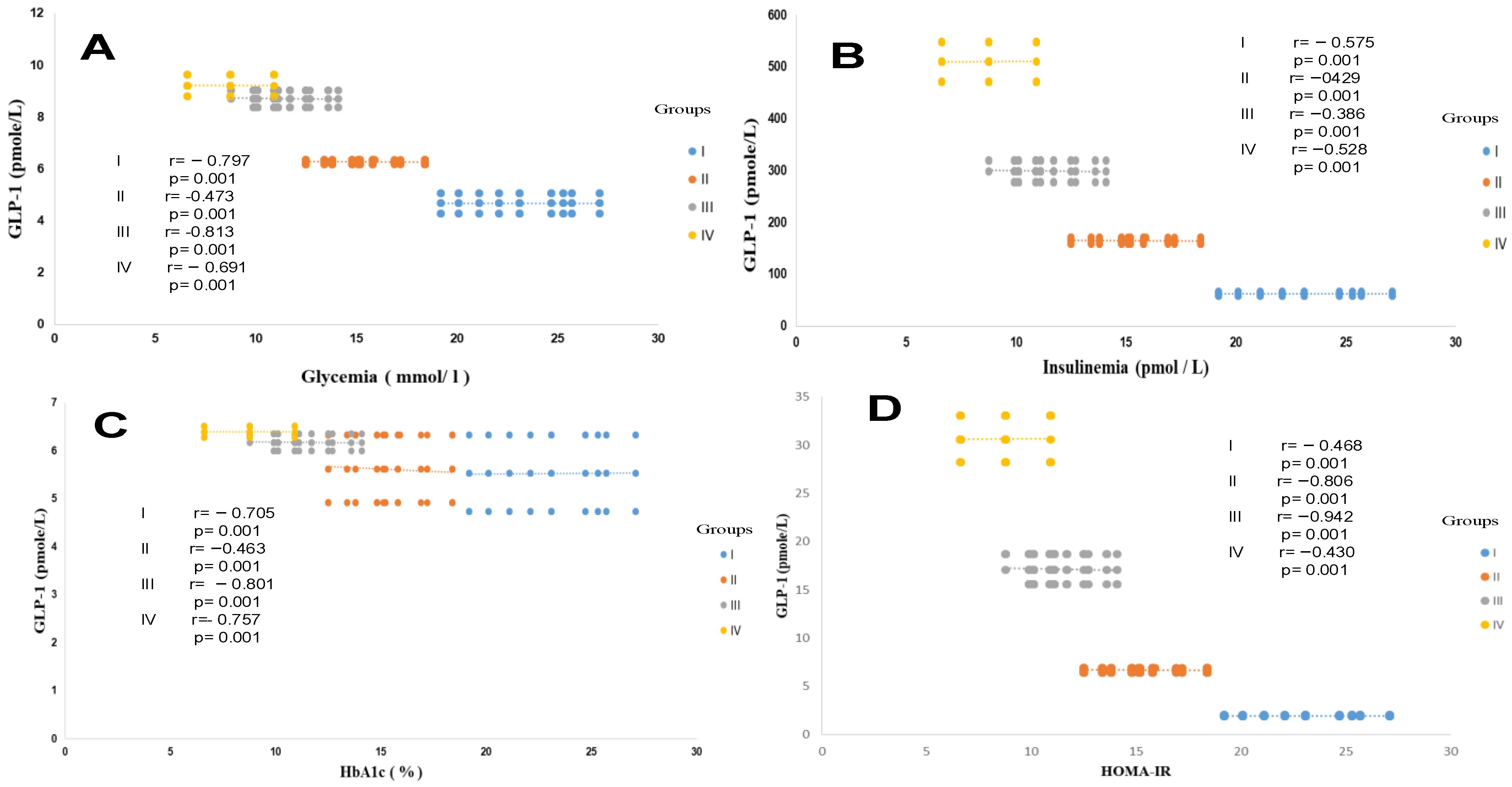
2.5. An Integrated Analysis Relating All Factors Within Each Pathological Condition
2.5.1. Data Analysis for T2DM Patients
2.5.2. Data Analysis for MAFLD Patients
2.5.3. Data Analysis for T2DM-MAFLD Patients
3. Discussion
4. Patients and Methods
4.1. Informed Consent Statement and Ethical Considerations
4.2. Participants and Clinical Protocol Design
- -
- 100 healthy participants, non-alcohol consumers and non-smokers (Group I)
- -
- 94 MAFLD participants without T2DM (Group II)
- -
- 222 T2DM participants without MAFLD (Group III)
- -
- 174 MAFLD participants with T2DM comorbidity (Group IV)
4.3. Radiological MAFLD Diagnosis
4.4. Fatty Liver Index and MAFLD Diagnosis
4.5. Metabolic Syndrome (MetS) Screening
4.6. Plasma Samples and Biochemical Analysis
4.7. Plasma Glucagon-like Peptide-1 (GLP-1) Assessment
4.8. Statistical Analysis
5. Conclusions and Future Perspectives
Author Contributions
Funding
Institutional Review Board Statement
Informed Consent Statement
Data Availability Statement
Acknowledgments
Conflicts of Interest
References
- He, K.J.; Wang, H.; Xu, J.; Gong, G.; Liu, X.; Guan, H. Global burden of type 2 diabetes mellitus from 1990 to 2021, with projections of prevalence to 2044: A systematic analysis across SDI levels for the global burden of disease study 2021. Front. Endocrinol. 2024, 8, 1501690. [Google Scholar] [CrossRef]
- Hu, Y.; He, T.; Zhang, Y.; Long, Y.; Gao, C.; Xu, Y. Analysis of the global burden of diabetes and attributable risk factor in children and adolescents across 204 countries and regions from 1990 to 2021. Front. Endocrinol. 2025, 8, 1587055. [Google Scholar] [CrossRef]
- Djeagou, A.; Gunukula, K.; Sermani, A.; Vaspari, S.K. Emerging Perspectives in the Diagnosis and Management of Metabolic Dysfunction-Associated Steatotic Liver Disease (MASLD): A Narrative Review. Cureus 2025, 24, e95288. [Google Scholar] [CrossRef] [PubMed]
- Eslam, M.; Sanyal, A.J.; George, J. International Consensus Panel. MAFLD: A consensus-driven proposed nomenclature for metabolic associated fatty liver disease. Gastroenterology 2020, 158, 1999–2014.e1. [Google Scholar] [CrossRef]
- Lin, S.; Huang, J.; Wang, M.; Kumar, R.; Liu, Y.; Liu, S.; Wu, Y.; Wang, X.; Zhu, Y. Comparison of MAFLD and NAFLD diagnostic criteria in real world. Liver Int. 2020, 40, 2082–2089. [Google Scholar] [CrossRef]
- Fang, X.; Yin, Y.; Wu, Q.; Chai, L.; Guo, Y.; Tong, Z.; Méndez-Sánchez, N.; Qi, X. Efficacy and safety of statins for nonalcoholic/metabolic dysfunction-associated fatty liver diseases: A systematic review and meta-analysis. Expert Rev. Clin. Pharmacol. 2025, 4, 1095–1106. [Google Scholar] [CrossRef] [PubMed]
- Mantovani, A.; Scorletti, E.; Mosca, A.; Alisi, A.; Byrne, C.D.; Targher, G. Complications, morbidity and mortality of nonalcoholic fatty liver disease. Metabolism 2020, 111, 154170. [Google Scholar] [CrossRef] [PubMed]
- Ludwig, J.; Viggiano, T.R.; McGill, D.B.; Oh, B.J. Nonalcoholic steatohepatitis: Mayo clinic experiences with a hitherto unnamed disease. Mayo Clin. Proc. 1980, 55, 434–438. [Google Scholar] [CrossRef]
- Yang, J.; Kim, Y.R.; Na, S.K.; Kim, S.; An, J.; Shim, J.H. Mortality and Cardiovascular Outcomes in Patients with MAFLD Compared with Patients with MASLD: A Systematic Review and Meta-Analysis. Gut Liver 2026, 20, 137–152. [Google Scholar] [CrossRef]
- Jaawan, S.; Krämer, A.; Masri, R.; Neesse, A.; Ellenrieder, V.; Amanzada, A.; Ströbel, P.; Bremmer, F.; Petzold, G. Diagnostic Utility of Liver Biopsy in Persistent Unexplained Liver Enzyme Elevation: A Retrospective Cohort Study. JGH Open 2025, 9, e70310. [Google Scholar] [CrossRef]
- Zhang, F.M.; Zhao, H.D.; Qi, Z.M.; Chen, R.; Liao, Z.X.; Xie, L.F.; Zheng, C. The association between the hs-CRP/HDL-C ratio and nonalcoholic fatty liver disease: The mediating role of insulin resistance in a cross-sectional study using NHANES 2017–2020. Medicine 2025, 104, e46085. [Google Scholar] [CrossRef]
- Fujii, H.; Kawada, N. Japan Study Group of NAFLD. The role of insulin resistance and diabetes in nonalcoholic fatty liver disease. Int. J. Mol. Sci. 2020, 21, 3863. [Google Scholar] [CrossRef]
- Jonas, W.; Schürmann, A. Genetic and epigenetic factors determining NAFLD risk. Mol. Metab. 2021, 50, 101111. [Google Scholar] [CrossRef]
- Chen, Z.; Tian, R.; She, Z.; Cai, J.; Li, H. Role of oxidative stress in the pathogenesis of nonalcoholic fatty liver disease. Free Radic. Biol. Med. 2020, 152, 116–141, Erratum in Free Radic. Biol. Med. 2021, 162, 174. [Google Scholar] [CrossRef] [PubMed]
- Chen, J.; Vitetta, L. Gut microbiota metabolites in NAFLD pathogenesis and therapeutic implications. Int. J. Mol. Sci. 2020, 21, 5214. [Google Scholar] [CrossRef] [PubMed]
- Eslam, M.; Newsome, P.N.; Sarin, S.K.; Anstee, Q.M.; Targher, G.; Romero-Gomez, M.; Zelber-Sagi, S.; Wai-Sun Wong, V.; Dufour, J.F.; Schattenberg, J.M.; et al. A new definition for metabolic dysfunction-associated fatty liver disease: An international expert consensus statement. J. Hepatol. 2020, 73, 202–209. [Google Scholar] [CrossRef]
- Badmus, O.O.; Hillhouse, S.A.; Anderson, C.D.; Hinds, T.D.; Stec, D.E. Molecular mechanisms of metabolic associated fatty liver disease (MAFLD): Functional analysis of lipid metabolism pathways. Clin. Sci. 2022, 136, 1347–1366. [Google Scholar] [CrossRef]
- Guo, Z.; Wu, D.; Mao, R.; Yao, Z.; Wu, Q.; Lv, W. Global burden of MAFLD, MAFLD related cirrhosis and MASH related liver cancer from 1990 to 2021. Sci. Rep. 2025, 15, 7083. [Google Scholar] [CrossRef] [PubMed]
- Gofton, C.; Upendran, Y.; Zheng, M.H.; George, J. MAFLD: How is it different from NAFLD? Clin. Mol. Hepatol. 2023, 29, S17–S31. [Google Scholar] [CrossRef]
- Chia, C.W.; Egan, J.M. Incretins in obesity and diabetes. Ann. N. Y. Acad. Sci. 2020, 1461, 104–126. [Google Scholar] [CrossRef]
- Elangovan, H.; Gunton, J.E.; Zheng, M.H.; Fan, J.G.; Goh, G.B.B.; Gronbaek, H.; George, J. The promise of incretin-based pharmacotherapies for metabolic dysfunction-associated fatty liver disease. Hepatol. Int. 2025, 19, 337–348. [Google Scholar] [CrossRef]
- Barrett, K.E. Endogenous and exogenous control of gastrointestinal epithelial function: Building on the legacy of Bayliss and Starling. J. Physiol. 2017, 595, 423–432. [Google Scholar] [CrossRef] [PubMed]
- Nauck, M.A.; Meier, J.J. The incretin effect in healthy individuals and those with type 2 diabetes: Physiology, pathophysiology, and response to therapeutic interventions. Lancet Diabetes Endocrinol. 2016, 4, 525–536. [Google Scholar] [CrossRef]
- Saha, B.; Kamalumpundi, V.; Codipilly, D.C. GLP1 and GIP Receptor Agonists: Effects on the Gastrointestinal Tract and Management Strategies for Primary Care Physicians. Mayo Clin. Proc. 2025, 100, 2228–2236. [Google Scholar] [CrossRef]
- Purcell, A.R.; Zhen, X.M.; Wong, J.; Glastras, S.J. Glucagon-like peptide-1 receptor agonist treatment reduces body weight and improves glycaemic outcomes in patients with concurrent overweight/obesity and type 1 diabetes: A systematic review and meta- analysis. Diabetes Obes. Metab. 2026, 28, 296–305. [Google Scholar] [CrossRef]
- Drucker, D.J. Efficacy and Safety of GLP-1 Medicines for Type 2 Diabetes and Obesity. Diabetes Care 2024, 47, 1873–1888. [Google Scholar] [CrossRef] [PubMed]
- Alshehri, F.S. New developments in GLP-1 agonist therapy for gestational diabetes: Systematic review on liraglutide, semaglutide, and exenatide from Clinical Trials.gov. Medicine 2025, 104, e44917. [Google Scholar] [CrossRef]
- Zacharia, G.S.; Gongati, S.R.; Kharel, A.; Jacob, A. Semaglutide in Metabolic Dysfunction-Associated Steatohepatitis: A Narrative Review. Cureus 2025, 17, e95632. [Google Scholar] [CrossRef]
- Kong, W.; Fang, B.; Xing, W. Efficacy and safety of liraglutide in non-alcoholic fatty liver disease with or without type 2 diabetes: A systematic review and meta-analysis. Diabetes Obes. Metab. 2025, 28, 1168–1178. [Google Scholar] [CrossRef] [PubMed]
- Müller, T.D.; Finan, B.; Bloom, S.R.; D’Alessio, D.; Drucker, D.J.; Flatt, P.R.; Fritsche, A.; Gribble, F.; Grill, H.J.; Habener, J.F.; et al. Glucagon-like peptide 1 (GLP-1). Mol. Metab. 2019, 30, 72–130. [Google Scholar] [CrossRef]
- Liu, Q.K. Mechanisms of action and therapeutic applications of GLP-1 and dual GIP/GLP-1 receptor agonists. Front. Endocrinol. 2024, 15, 1431292. [Google Scholar] [CrossRef]
- Clark, L. GLP-1 receptor agonists: A review of glycemic benefits and beyond. JAAPA 2024, 37, 1–4. [Google Scholar] [CrossRef]
- van Ruiten, C.C.; Ten Kulve, J.S.; van Bloemendaal, L.; Nieuwdorp, M.; Veltman, D.J.; IJzerman, R.G. Eating behavior modulates the sensitivity to the central effects of GLP-1 receptor agonist treatment: A secondary analysis of a randomized trial. Psychoneuroendocrinology 2022, 137, 105667. [Google Scholar] [CrossRef] [PubMed]
- Huber, H.; Schieren, A.; Holst, J.J.; Simon, M.C. Dietary impact on fasting and stimulated GLP-1 secretion in different metabolic conditions—A narrative review. Am. J. Clin. Nutr. 2024, 119, 599–627. [Google Scholar] [CrossRef] [PubMed]
- Smith, N.K.; Hackett, T.A.; Galli, A.; Flynn, C.R. GLP-1: Molecular mechanisms and outcomes of a complex signaling system. Neurochem. Int. 2019, 128, 94–105. [Google Scholar] [CrossRef]
- Ji, Y.; Wang, Q.; Jiang, Y.; Liu, B. Global epidemiology of T2DM in patients with NAFLD or MAFLD: The real situation may be even more serious. BMC Med. 2024, 22, 476. [Google Scholar] [CrossRef]
- Ghosal, S.; Ghosal, A. Optimizing GLP-1RA Efficacy: A Meta-Analysis of Baseline Age and HbA1c as Predictors of MACE Reduction in T2DM. Diabetes Metab. Syndr. Obes. 2025, 18, 4347–4358. [Google Scholar] [CrossRef]
- Moon, J.S.; Hong, J.H.; Jung, Y.J.; Ferrannini, E.; Nauck, M.A.; Lim, S. SGLT-2 inhibitors and GLP-1 receptor agonists in metabolic dysfunction-associated fatty liver disease. Trends Endocrinol. Metab. 2022, 33, 424–442. [Google Scholar] [CrossRef]
- Zhao, X.; An, X.; Yang, C.; Sun, W.; Ji, H.; Lian, F. The crucial role and mechanism of insulin resistance in metabolic disease. Front. Endocrinol. 2023, 14, 1149239. [Google Scholar] [CrossRef]
- Pezzoli, A.; Abenavoli, L.; Scarcella, M.; Rasetti, C.; Svegliati Baroni, G.; Tack, J.; Scarpellini, E. The Management of Cardiometabolic Risk in MAFLD: Therapeutic Strategies to Modulate Deranged Metabolism and Cholesterol Levels. Medicine 2025, 61, 387. [Google Scholar] [CrossRef] [PubMed]
- Rusu, E.; Jinga, M.; Cursaru, R.; Enache, G.; Costache, A.; Verde, I.; Nica, A.; Alionescu, A.; Rusu, F.; Radulian, G. Adipose Tissue Dysfunction and Hepatic Steatosis in New-Onset Diabetes. Diabetology 2025, 6, 70. [Google Scholar] [CrossRef]
- Liao, C.; Liang, X.; Zhang, X.; Li, Y. The effects of GLP-1 receptor agonists on visceral fat and liver ectopic fat in an adult population with or without diabetes and nonalcoholic fatty liver disease: A systematic review and meta-analysis. PLoS ONE 2023, 18, e0289616. [Google Scholar] [CrossRef]
- Rochoń, J.; Kalinowski, P.; Szymanek-Majchrzak, K.; Grąt, M. Role of gut-liver axis and glucagon-like peptide-1 receptor agonists in the treatment of metabolic dysfunction-associated fatty liver disease. World J. Gastroenterol. 2024, 30, 2964–2980. [Google Scholar] [CrossRef]
- Guney-Coskun, M.; Basaranoglu, M. Interplay of gut microbiota, glucagon-like peptide receptor agonists, and nutrition: New frontiers in metabolic dysfunction-associated steatotic liver disease therapy. World J. Gastroenterol. 2024, 30, 4682–4688. [Google Scholar] [CrossRef]
- McLean, B.A.; Wong, C.K.; Campbell, J.E.; Hodson, D.J.; Trapp, S.; Drucker, D.J. Revisiting the Complexity of GLP-1 Action from Sites of Synthesis to Receptor Activation. Endocr. Rev. 2021, 42, 101–132. [Google Scholar] [CrossRef] [PubMed]
- Ranganath, L.R. The entero-insular axis: Implications for human metabolism. Clin. Chem. Lab. Med. 2008, 46, 43–56. [Google Scholar] [CrossRef] [PubMed]
- Visschers, R.G.; Luyer, M.D.; Schaap, F.G.; Olde Damink, S.W.; Soeters, P.B. The gut-liver axis. Curr. Opin. Clin. Nutr. Metab. Care 2013, 16, 576–581. [Google Scholar] [CrossRef] [PubMed]
- Musso, G.; Gambino, R.; Pacini, G.; De Michieli, F.; Cassader, M. Prolonged saturated fat-induced, glucose-dependent insulinotropic polypeptide elevation is associated with adipokine imbalance and liver injury in non alcoholic steatohepatitis: Dysregulated entero- adipocyte axis as a novel feature of fatty liver. Am. J. Clin. Nutr. 2009, 89, 558–567. [Google Scholar] [CrossRef]
- Khan, M.T.; Zohair, M.; Khan, A.; Kashif, A.; Mumtaz, S.; Muskan, F. From Gut to Brain: The roles of intestinal microbiota, immune system, and hormones in intestinal physiology and gut-brain-axis. Mol. Cell. Endocrinol. 2025, 607, 112599. [Google Scholar] [CrossRef]
- Ronveaux, C.C.; Tomé, D.; Raybould, H.E. Glucagon-like peptide 1 interacts with ghrelin and leptin to regulate glucose metabolism and food intake through vagal afferent neuron signaling. J. Nutr. 2015, 145, 672–680. [Google Scholar] [CrossRef]
- Francisco, V.; Sanz, M.J.; Real, J.T.; Marques, P.; Capuozzo, M.; Ait Eldjoudi, D.; Gualillo, O. Adipokines in Non-Alcoholic Fatty Liver Disease: Are We on the Road toward New Biomarkers and Therapeutic Targets? Biology 2022, 11, 1237. [Google Scholar] [CrossRef]
- Yaribeygi, H.; Maleki, M.; Atkin, S.L.; Jamialahmadi, T.; Sahebkar, A. Impact of Incretin-Based Therapies on Adipokines and Adiponectin. J. Diabetes Res. 2021, 2021, 3331865. [Google Scholar] [CrossRef]
- Park, J.S.; Kim, K.S.; Choi, H.J. Glucagon-Like Peptide-1 and Hypothalamic Regulation of Satiation: Cognitive and Neural Insights from Human and Animal Studies. Diabetes Metab. J. 2025, 49, 333–347. [Google Scholar] [CrossRef] [PubMed]
- Polex-Wolf, J.; Deibler, K.; Hogendorf, W.F.J.; Bau, S.; Glendorf, T.; Stidsen, C.E.; Tornøe, C.W.; Tiantang, D.; Lundh, S.; Pyke, C.; et al. Glp1r-Lepr coexpressing neurons modulate the suppression of food intake and body weight by a GLP-1/leptin dual agonist. Sci. Transl. Med. 2024, 16, eadk4908. [Google Scholar] [CrossRef] [PubMed]
- Simental-Mendía, L.E.; Sánchez-García, A.; Linden-Torres, E.; Simental-Mendía, M. Impact of glucagon-like peptide-1 receptor agonists on adiponectin concentrations: A meta-analysis of randomized controlled trials. Br. J. Clin. Pharmacol. 2021, 87, 4140–4149. [Google Scholar] [CrossRef]
- Díaz-Soto, G.; de Luis, D.A.; Conde-Vicente, R.; Izaola-Jauregui, O.; Ramos, C.; Romero, E. Beneficial effects of liraglutide on adipocytokines, insulin sensitivity parameters and cardiovascular risk biomarkers in patients with Type 2 diabetes: A prospective study. Diabetes Res Clin Pract. 2014, 104, 92–96. [Google Scholar] [CrossRef] [PubMed]
- Li, S.L.; Wang, Z.M.; Xu, C.; Che, F.H.; Hu, X.F.; Cao, R.; Xie, Y.N.; Qiu, Y.; Shi, H.B.; Liu, B.; et al. Liraglutide Attenuates Hepatic Ischemia-Reperfusion Injury by Modulating Macrophage Polarization. Front. Immunol. 2022, 13, 869050. [Google Scholar] [CrossRef]
- Vachliotis, I.D.; Polyzos, S.A. The Intriguing Roles of Cytokines in Metabolic Dysfunction-Associated Steatotic Liver Disease: A Narrative Review. Curr. Obes. Rep. 2025, 14, 65. [Google Scholar] [CrossRef]
- Coste, S.C.; Orășan, O.H.; Cozma, A.; Negrean, V.; Sitar-Tăut, A.V.; Filip, G.A.; Hangan, A.C.; Lucaciu, R.L.; Iancu, M.; Procopciuc, L.M. Metabolic Dysfunction-Associated Steatotic Liver Disease: The Associations between Inflammatory Markers, TLR4, and Cytokines IL-17A/F, and Their Connections to the Degree of Steatosis and the Risk of Fibrosis. Biomedicines 2024, 12, 2144. [Google Scholar] [CrossRef] [PubMed]
- Dabbaghizadeh, A.; Dion, J.; Maali, Y.; Fouda, A.; Bédard, N.; Evaristo, G.; Hassan, G.S.; Tchervenkov, J.; Shoukry, N.H. Novel RORgammat inverse agonists limit IL-17-mediated liver inflammation and fibrosis. J. Immunol. 2025, 214, 1321–1331. [Google Scholar] [CrossRef]
- Negrin, K.A.; Roth Flach, R.J.; DiStefano, M.T.; Matevossian, A.; Friedline, R.H.; Jung, D.; Kim, J.K.; Czech, M.P. IL-1 signaling in obesity-induced hepatic lipogenesis and steatosis. PLoS ONE 2014, 9, e107265. [Google Scholar] [CrossRef]
- Praktiknjo, M.; Schierwagen, R.; Monteiro, S.; Ortiz, C.; Uschner, F.E.; Jansen, C.; Claria, J.; Trebicka, J. Hepatic inflammasome activation as origin of Interleukin-1α and Interleukin-1β in liver cirrhosis. Gut 2021, 70, 1799–1800. [Google Scholar] [CrossRef]
- Chen, S.; Wei, W.; Chen, M.; Qin, X.; Qiu, L.; Zhang, L.; Zhang, Y.; Cao, Q.; Ying, Z. TNF Signaling Impacts Glucagon-Like Peptide-1 Expression and Secretion. J. Mol. Endocrinol. 2018, 61, 153–161. [Google Scholar] [CrossRef]
- Lehrskov-Schmidt, L.; Lehrskov-Schmidt, L.; Nielsen, S.T.; Holst, J.J.; Møller, K.; Solomon, T.P. The effects of TNF-α on GLP-1-stimulated plasma glucose kinetics. J. Clin. Endocrinol. Metab. 2015, 100, E616–E622. [Google Scholar] [CrossRef]
- Gutierrez-Buey, G.; Núñez-Córdoba, J.M.; Llavero-Valero, M.; Gargallo, J.; Salvador, J.; Escalada, J. Is HOMA-IR a potential screening test for nonalcoholic fatty liver disease in adults with type 2 diabetes ? Eur. J. Intern. Med. 2017, 41, 74–78. [Google Scholar] [CrossRef] [PubMed]
- Fattahi, M.R.; Niknam, R.; Safarpour, A.; Sepehrimanesh, M.; Lotfi, M. The Prevalence of Metabolic Syndrome In Non-alcoholic Fatty Liver Disease; A Population-Based Study. Middle East. J. Dig. Dis. 2016, 8, 131–137. [Google Scholar] [CrossRef]
- Hirano, T.J. Excess Triglycerides in Very Low-Density Lipoprotein (VLDL) Estimated from VLDL-Cholesterol could be a Useful Biomarker of Metabolic Dysfunction Associated Steatotic Liver Disease in Patients with Type 2 Diabetes. Atheroscler. Thromb. 2025, 32, 253–264. [Google Scholar] [CrossRef]
- Truong, X.T.; Lee, D.H. Hepatic Insulin Resistance and Steatosis in Metabolic Dysfunction-Associated Steatotic Liver Disease: New Insights into Mechanisms and Clinical Implications. Diabetes Metab. J. 2025, 49, 964–986. [Google Scholar] [CrossRef] [PubMed]
- Samuel, V.T.; Petersen, M.C.; Gassaway, B.M.; Vatner, D.F.; Rinehart, J.; Shulman, G.I. Considering the Links Between Nonalcoholic Fatty Liver Disease and Insulin Resistance: Revisiting the Role of Protein Kinase C epsilon. Hepatology 2019, 70, 2217–2220. [Google Scholar] [CrossRef]
- Lajeunesse-Trempe, F.; Dugas, S.; Maltais-Payette, I.; Tremblay, È.J.; Piché, M.E.; Dimitriadis, G.K.; Lafortune, A.; Marceau, S.; Biertho, L.; Tchernof, A. Anthropometric Indices and Metabolic Dysfunction-Associated Fatty Liver Disease in Males and Females Living with Severe Obesity. Can. J. Gastroenterol. Hepatol. 2025, 2025, 5545227. [Google Scholar] [CrossRef] [PubMed]
- Henderson, G.C. Plasma Free Fatty Acid Concentration as a Modifiable Risk Factor for Metabolic Disease. Nutrients 2021, 13, 2590. [Google Scholar] [CrossRef]
- Oikawa, R.; Nakanishi, Y.; Fujimoto, K.; Wakasa, A.; Iwadare, M.; Iwao, H.K.; Ishida, R.; Iwai, K. Elevated glucagon and postprandial hyperglycemia in fatty liver indicate early glucose intolerance in metabolic dysfunction associated steatotic liver disease. Sci. Rep. 2024, 14, 29916. [Google Scholar] [CrossRef]
- Benhamed, F.; Denechaud, P.D.; Lemoine, M.; Robichon, C.; Moldes, M.; Bertrand-Michel, J.; Ratziu, V.; Serfaty, L.; Housset, C.; Capeau, J.; et al. The lipogenic transcription factor ChREBP dissociates hepatic steatosis from insulin resistance in mice and humans. J. Clin. Investig. 2012, 122, 2176–2194. [Google Scholar] [CrossRef]
- Trivedi, K.; Dolinsky, V.W. Role of endogenous incretin hormones, GLP-1 and GIP in cardiovascular physiology. Can. J. Physiol. Pharmacol. 2026. [Google Scholar] [CrossRef] [PubMed]
- Jepsen, S.L.; Albrechtsen, N.J.W.; Windeløv, J.A.; Galsgaard, K.D.; Hunt, J.E.; Farb, T.B.; Kissow, H.; Pedersen, J.; Deacon, C.F.; Martin, R.E.; et al. Antagonizing somatostatin receptor subtype 2 and 5 reduces blood glucose in a gut- and GLP-1R-dependent manner. JCI Insight. 2021, 6, e143228. [Google Scholar] [CrossRef]
- Liu, Z.; Chen, Y.; Su, Y.; Peng, Y.; Xu, F.; Yao, B.; Liang, H.; Lin, B.; Xu, W. GLP-1 receptor agonist protects glucose-stimulated insulin secretion in pancreatic β-cells against lipotoxicity via PPARδ/UCP2 pathway. Cell. Mol. Life Sci. 2025, 82, 375. [Google Scholar] [CrossRef]
- Liu, L.; Xia, Y.; Wang, B.; Zhang, Y.J. Efficacy of Incretin-Based Therapies in Patients with Metabolic Dysfunction-Associated Steatotic Liver Disease: An Updated Systematic Review and Meta-Analysis of Randomized Controlled Trials. Gastroenterol. Hepatol. 2025, 40, 2659–2673. [Google Scholar] [CrossRef] [PubMed]
- Ghobar, F.; Tarhini, A.; Osman, Z.; Sbeih, S.; Ghayda, R.A.; Matar, P.; Haddad, G.; Kanaan, A.; Eid, A.; Azar, S.; et al. GLP1 receptor agonists and SGLT2 inhibitors for the prevention or delay of type 2 diabetes mellitus onset: A systematic review and meta-analysis. Front. Endocrinol. 2025, 16, 1627909. [Google Scholar] [CrossRef]
- Conley, J.M.; Jochim, A.; Evans-Molina, C.; Watts, V.J.; Ren, H. G Protein-Coupled Receptor 17 Inhibits Glucagon-like Peptide-1 Secretion via a Gi/o-Dependent Mechanism in Enteroendocrine Cells. Biomolecules 2024, 15, 9. [Google Scholar] [CrossRef]
- Muscogiuri, G.; DeFronzo, R.A.; Gastaldelli, A.; Holst, J.J. Glucagon-like Peptide-1 and the Central/Peripheral Nervous System: Crosstalk in Diabetes. Trends Endocrinol. Metab. 2017, 28, 88–103. [Google Scholar] [CrossRef] [PubMed]
- West, J.; Li, M.; Wong, S.; Le, G.H.; Teopiz, K.M.; Valentino, K.; Dri, C.E.; McIntyre, R.S. Are Glucagon-Like Peptide-1 (GLP-1) Receptor Agonists Central Nervous System (CNS) Penetrant: A Narrative Review. Neurol. Ther. 2025, 14, 1157–1166, Erratum in Neurol. Ther. 2025, 14, 1167–1168. [Google Scholar] [CrossRef] [PubMed]
- Dong, M.; Wen, S.; Zhou, L. The Relationship Between the Blood-Brain-Barrier and the Central Effects of Glucagon-Like Peptide-1 Receptor Agonists and Sodium-Glucose Cotransporter-2 Inhibitors. Diabetes Metab. Syndr. Obes. 2022, 15, 2583–2597. [Google Scholar] [CrossRef] [PubMed]
- Moaket, O.S.; Obaid, S.E.; Obaid, F.E.; Shakeeb, Y.A.; Elsharief, S.M.; Tania, A.; Darwish, R.; Butler, A.E.; Moin, A.S.M. GLP-1 and the Degenerating Brain: Exploring Mechanistic Insights and Therapeutic Potential. Int. J. Mol. Sci. 2025, 26, 10743. [Google Scholar] [CrossRef] [PubMed]
- Fu, Z.; Gong, L.; Liu, J.; Wu, J.; Barrett, E.J.; Aylor, K.W.; Liu, Z. Brain Endothelial Cells Regulate Glucagon-Like Peptide 1 Entry Into the Brain via a Receptor-Mediated Process. Front. Physiol. 2020, 11, 555. [Google Scholar] [CrossRef]
- Jeong, J.H.; Kim, Y.G.; Han, K.D.; Roh, S.Y.; Lee, H.S.; Choi, Y.Y.; Yim, S.Y.; Shim, J.; Kim, Y.H.; Choi, J.I. Association of fatty liver index with sudden cardiac arrest in young adults. Metabolism 2024, 158, 155981. [Google Scholar] [CrossRef]
- Lyu, Y.S.; Park, M.; Kim, H.K.; Park, S.; Park, J.Y.; Hong, A.R.; Yoon, J.H.; Jeong, S.; Yoon, Y.; Kim, J.H.; et al. Combined impact of prediabetes and fatty liver index on cardiometabolic outcomes and mortality in middle aged adults: A nationwide cohort study. Cardiovasc. Diabetol. 2025, 24, 279. [Google Scholar] [CrossRef]
- Kaneva, A.M.; Bojko, E.R. Fatty liver index (FLI): More than a marker of hepatic steatosis. J. Physiol. Biochem. 2024, 80, 11–26. [Google Scholar] [CrossRef]
- González-González, J.G.; Violante-Cumpa, J.R.; Zambrano-Lucio, M.; Burciaga-Jimenez, E.; Castillo-Morales, P.L.; Garcia-Campa, M.; Solis, R.C.; González-Colmenero, A.D.; Rodríguez-Gutiérrez, R. HOMA-IR as a predictor of Health Outcomes in Patients with Metabolic Risk Factors: A Systematic Review and Meta-analysis. High Blood Press. Cardiovasc. Prev. 2022, 29, 547–564. [Google Scholar] [CrossRef]
- Jung, C.H.; Lee, W.J.; Hwang, J.Y.; Yu, J.H.; Shin, M.S.; Lee, M.J.; Jang, J.E.; Leem, J.; Park, J.Y.; Kim, H.K. Assessment of the fatty liver index as an indicator of hepatic steatosis for predicting incident diabetes independently of insulin resistance in a Korean population. Diabet. Med. 2013, 30, 428–435. [Google Scholar] [CrossRef]
- Dong, W.; Zhang, H.; Mu, S.; Shi, S.; Zhang, J.; Xu, K. Advances in Incretin-Based Therapies for MAFLD: Mechanisms and Clinical Evidence. Clin. Pharmacol. Ther. 2026, 119, 336–349. [Google Scholar] [CrossRef]
- Wang, J.L.; Xiao, Y.; Li, M.L.; Chen, G.L.; Cui, M.H.; Liu, J.L. Research Progress on Leptin in Metabolic Dysfunction-associated Fatty Liver Disease. J. Clin. Transl. Hepatol. 2025, 13, 964–975. [Google Scholar] [CrossRef]
- Al-Ghurayr, N.K.; Al-Mowalad, A.M.; Omar, U.M.; Ashi, H.M.; Al-Shehri, S.S.; AlShaikh, A.A.; AlHarbi, S.M.; Alsufiani, H.M. Salivary Hormones Leptin, Ghrelin, Glucagon, and Glucagon-Like Peptide 1 and Their Relation to Sweet Taste Perception in Diabetic Patients. J. Diabetes Res. 2023, 2023, 7559078. [Google Scholar] [CrossRef] [PubMed]
- He, Z.; Gao, Y.; Lieu, L.; Afrin, S.; Cao, J.; Michael, N.J.; Dong, Y.; Sun, J.; Guo, H.; Williams, K.W. Direct and indirect effects of liraglutide on hypothalamic POMC and NPY/AgRP neurons—Implications for energy balance and glucose control. Mol. Metab. 2019, 28, 120–134. [Google Scholar] [CrossRef]
- Porniece Kumar, M.; Cremer, A.L.; Klemm, P.; Steuernagel, L.; Sundaram, S.; Jais, A.; Hausen, A.C.; Tao, J.; Secher, A.; Pedersen, T.Å.; et al. Insulin signalling in tanycytes gates hypothalamic insulin uptake and regulation of AgRP neuron activity. Nat. Metab. 2021, 3, 1662–1679. [Google Scholar] [CrossRef] [PubMed]
- Salazar, J.; Chávez-Castillo, M.; Rojas, J.; Ortega, A.; Nava, M.; Pérez, J.; Rojas, M.; Espinoza, C.; Chacin, M.; Herazo, Y.; et al. Is “Leptin Resistance” Another Key Resistance to Manage Type 2 Diabetes? Curr. Diabetes Rev. 2020, 16, 733–749. [Google Scholar] [CrossRef] [PubMed]
- Contreras, P.H.; Falhammar, H. CRF1 and ACTH inhibitors are a promising approach to treat obesity and leptin and insulin resistance. Front. Endocrinol. 2025, 16, 1647028, Erratum in Front. Endocrinol. 2025, 16, 1715691. [Google Scholar] [CrossRef]
- Tawfik, M.K.; Badran, D.I.; Keshawy, M.M.; Makary, S.; Abdo, M. Alternate-day fat diet and exenatide modulate the brain leptin JAK2/STAT3/SOCS3 pathway in a fat diet-induced obesity and insulin resistance mouse model. Arch. Med. Sci. 2023, 19, 1508–1519. [Google Scholar] [CrossRef]
- Al Refaie, A.; Baldassini, L.; Mondillo, C.; Ceccarelli, E.; Tarquini, R.; Gennari, L.; Gonnelli, S.; Caffarelli, C. Adiponectin may play a crucial role in the metabolic effects of GLP-1RAs treatment in patients with Type 2 Diabetes Mellitus: A preliminary longitudinal study. Endocrine 2025, 87, 951–958. [Google Scholar] [CrossRef]
- Prakash, S.; Rai, U.; Kosuru, R.; Tiwari, V.; Singh, S. Amelioration of diet-induced metabolic syndrome and fatty liver with sitagliptin via regulation of adipose tissue inflammation and hepatic Adiponectin/AMPK levels in mice. Biochimie 2020, 168, 198–209. [Google Scholar] [CrossRef]
- Qin, M.; Xu, S.; Chen, Y.; Luo, X.; Tang, X.; Zhang, L.; Xu, Q. Adiponectin attenuates atherosclerosis via macrophage polarization-mediated T Cell exhaustion by modulating the NF-κB p65/PI3K/Akt signaling pathway. Tissue Cell 2025, 98, 103150. [Google Scholar] [CrossRef]
- Al-Dallal, R.; Thomas, K.; Lee, M.; Chaudhri, A.; Davis, E.; Vaidya, P.; Lee, M.; McCormick, J.B.; Fisher-Hoch, S.P.; Gutierrez, A.D. The Association of Resistin with Metabolic Health and Obesity in a Mexican-American Population. Int. J. Mol. Sci. 2025, 26, 4443. [Google Scholar] [CrossRef]
- Risum, K.; Olarescu, N.C.; Godang, K.; Marstein, H.S.; Bollerslev, J.; Sanner, H. Visceral adipose tissue is associated with interleukin 6 and resistin in juvenile idiopathic arthritis—A case-control study. Rheumatol. Int. 2025, 45, 63. [Google Scholar] [CrossRef] [PubMed]
- Qi, M.M.; Guan, X.Q.; Zhu, L.R.; Wang, L.J.; Liu, L.; Yang, Y.P. The effect of resistin on nuclear factor-kB and tumor necrosis factor-alpha expression in hepatic steatosis. Zhonghua Gan Zang Bing Za Zhi 2012, 20, 40–44. [Google Scholar] [PubMed]
- Tabaeian, S.P.; Mahmoudi, T.; Rezamand, G.; Nobakht, H.; Dabiri, R.; Farahani, H.; Asadi, A.; Zali, M.R. Resistin gene polymorphism and nonalcoholic fatty liver disease risk. Arq. Gastroenterol. 2022, 59, 483–487. [Google Scholar] [CrossRef]
- Li, D.; Xu, X.; Zhang, Y.; Zhu, J.; Ye, L.; Lee, K.O.; Ma, J. Liraglutide treatment causes upregulation of adiponectin and downregulation of resistin in Chinese type 2 diabetes. Diabetes Res. Clin. Pract. 2015, 110, 224–228. [Google Scholar] [CrossRef]
- He, Y.; Ye, M.; Xia, Y.; Zhong, Z.; Wang, W.; Li, Q. The role of cytokines as predictors for NAFLD-related diseases: A bidirectional Mendelian randomization study. Clin. Res. Hepatol. Gastroenterol. 2025, 49, 102545. [Google Scholar] [CrossRef]
- Li, Y.; Zhao, J.; Yin, Y.; Li, K.; Zhang, C.; Zheng, Y. The Role of IL-6 in Fibrotic Diseases: Molecular and Cellular Mechanisms. Int. J. Biol. Sci. 2022, 18, 5405–5414. [Google Scholar] [CrossRef]
- Kagan, P.; Sultan, M.; Tachlytski, I.; Safran, M.; Ben-Ari, Z. Both MAPK and STAT3 signal transduction pathways are necessary for IL-6-dependent hepatic stellate cells activation. PLoS ONE 2017, 12, e0176173. [Google Scholar] [CrossRef]
- Ren, Y.; Chen, Y.; Zheng, W.; Kong, W.; Liao, Y.; Zhang, J.; Wang, M.; Zeng, T. The effect of GLP-1 receptor agonists on circulating inflammatory markers in type 2 diabetes patients: A systematic review and meta-analysis. Diabetes Obes. Metab. 2025, 27, 3607–3626. [Google Scholar] [CrossRef] [PubMed]
- Ullah, A.; Shen, B. Immunomodulatory effects of anti-diabetic therapies: Cytokine and chemokine modulation by metformin, sodium-glucose cotransporter 2 inhibitors, and glucagon-like peptide-1 receptor agonists (2013–2025). Eur. J. Med. Chem. 2025, 299, 118065. [Google Scholar] [CrossRef]
- Daousi, C.; Pinkney, J.H.; Cleator, J.; Wilding, J.P.; Ranganath, L.R. Acute peripheral administration of synthetic human GLP-1 (7–36 amide) decreases circulating IL-6 in obese patients with type 2 diabetes mellitus: A potential role for GLP-1 in modulation of the diabetic pro-inflammatory state? Regul. Pept. 2013, 183, 54–61. [Google Scholar] [CrossRef]
- Younossi, Z.M.; Golabi, P.; Price, J.K.; Owrangi, S.; Gundu-Rao, N.; Satchi, R.; Paik, J.M. The Global Epidemiology of Nonalcoholic Fatty Liver Disease and Nonalcoholic Steatohepatitis Among Patients with Type 2 Diabetes. Clin. Gastroenterol. Hepatol. 2024, 22, 1999–2010.e8. [Google Scholar] [CrossRef]
- Zhang, Z.; Wang, J.; Li, H.; Niu, Q.; Tao, Y.; Zhao, X.; Zeng, Z.; Dong, H. The role of the interleukin family in liver fibrosis. Front. Immunol. 2025, 16, 1497095. [Google Scholar] [CrossRef]
- Wang, L.; Gu, Y.; Zhao, H.; Chen, R.; Chen, W.; Qi, H.; Gao, W. Dioscin Attenuates Interleukin 1β (IL-1β)-Induced Catabolism and Apoptosis via Modulating the Toll-Like Receptor 4 (TLR4)/Nuclear Factor kappa B (NF-κB) Signaling in Human Nucleus Pulposus Cells. Med. Sci. Monit. 2020, 26, e923386. [Google Scholar] [CrossRef]
- Ćurčić, I.B.; Kizivat, T.; Petrović, A.; Smolić, R.; Tabll, A.; Wu, G.Y.; Smolić, M. Therapeutic Perspectives of IL1 Family Members in Liver Diseases: An Update. J. Clin. Transl. Hepatol. 2022, 10, 1186–1193. [Google Scholar] [CrossRef] [PubMed]
- Olivier, A.; Augustin, S.; Benlloch, S.; Ampuero, J.; Suárez-Pérez, J.A.; Armesto, S.; Vilarrasa, E.; Belinchón-Romero, I.; Herranz, P.; Crespo, J.; et al. The Essential Role of IL-17 as the Pathogenetic Link between Psoriasis and Metabolic-Associated Fatty Liver Disease. Life 2023, 13, 419. [Google Scholar] [CrossRef] [PubMed]
- Zhang, S. The role of transforming growth factor β in T helper 17 differentiation. Immunology 2018, 155, 24–35. [Google Scholar] [CrossRef] [PubMed]
- Meng, F.; Wang, K.; Aoyama, T.; Grivennikov, S.I.; Paik, Y.; Scholten, D.; Cong, M.; Iwaisako, K.; Liu, X.; Zhang, M.; et al. Interleukin-17 signaling in inflammatory, Kupffer cells, and hepatic stellate cells exacerbates liver fibrosis in mice. Gastroenterology 2012, 143, 765–776.e3. [Google Scholar] [CrossRef]
- Mehdi, S.F.; Pusapati, S.; Anwar, M.S.; Lohana, D.; Kumar, P.; Nandula, S.A.; Nawaz, F.K.; Tracey, K.; Yang, H.; LeRoith, D.; et al. Glucagon-like peptide-1: A multi-faceted anti-inflammatory agent. Front. Immunol. 2023, 14, 1148209. [Google Scholar] [CrossRef]
- Abdel-Moneim, A.; Bakery, H.H.; Allam, G. The potential pathogenic role of IL-17/Th17 cells in both type 1 and type 2 diabetes mellitus. Biomed. Pharmacother. 2018, 101, 287–292. [Google Scholar] [CrossRef]
- Bozzetto, L.; Annuzzi, G.; Ragucci, M.; Di Donato, O.; Della Pepa, G.; Della Corte, G.; Griffo, E.; Anniballi, G.; Giacco, A.; Mancini, M.; et al. Insulin resistance, postprandial GLP-1 and adaptive immunity are the main predictors of NAFLD in a homogeneous population at high cardiovascular risk. Nutr. Metab. Cardiovasc. Dis. 2016, 26, 623–629. [Google Scholar] [CrossRef]
- Farrell, G.C.; Haczeyni, F.; Chitturi, S. Pathogenesis of NASH: How Metabolic Complications of Overnutrition Favour Lipotoxicity and Pro-Inflammatory Fatty Liver Disease. Adv. Exp. Med. Biol. 2018, 1061, 19–44. [Google Scholar] [PubMed]
- González Fernández, J.; Prieto-Torres, L.; Ara Martín, M.; Martínez-Domínguez, S.J. MASLD and liver fibrosis in patients with psoriasis receiving IL-17 or IL-23 inhibitors: A systematic review. Therap Adv Gastroenterol. 2025, 18, 17562848251335824. [Google Scholar] [CrossRef]
- Liang, X.; Xing, Z.; Lai, K.; Li, X.; Gui, S.; Li, Y. Sex differences in the association between metabolic score for insulin resistance and the reversion to normoglycemia in adults with prediabetes: A cohort study. Diabetol. Metab. Syndr. 2024, 16, 183. [Google Scholar] [CrossRef]
- Ramezankhani, A.; Azizi, F.; Hadaegh, F. Gender differences in changes in metabolic syndrome status and its components and risk of cardiovascular disease: A longitudinal cohort study. Cardiovasc. Diabetol. 2022, 21, 227. [Google Scholar] [CrossRef] [PubMed]
- Cooper, A.J.; Gupta, S.R.; Moustafa, A.F.; Chao, A.M. Sex/Gender Differences in Obesity Prevalence, Comorbidities, and Treatment. Curr. Obes. Rep. 2021, 10, 458–466. [Google Scholar] [CrossRef] [PubMed]
- Kautzky-Willer, A.; Leutner, M.; Harreiter, J. Sex differences in type 2 diabetes. Diabetologia 2023, 66, 986–1002. [Google Scholar] [CrossRef]
- Nappi, R.E.; Chedraui, P.; Lambrinoudaki, I.; Simoncini, T. Menopause: A cardiometabolic transition. Lancet Diabetes Endocrinol. 2022, 10, 442–456. [Google Scholar] [CrossRef]
- Yang, Y.; He, L.; Han, S.; Yang, N.; Liu, Y.; Wang, X.; Li, Z.; Ping, F.; Xu, L.; Li, W.; et al. Sex Differences in the Efficacy of Glucagon-Like Peptide-1 Receptor Agonists for Weight Reduction: A Systematic Review and Meta-Analysis. J. Diabetes 2025, 17, e70063. [Google Scholar] [CrossRef]
- Penmetsa, R.; Kapil, S.; VanWagner, L.B. Sex and gender differences in metabolic dysfunction-associated liver disease. Indian. J. Gastroenterol. 2025. [Google Scholar] [CrossRef]
- Carrieri, L.; Osella, A.R.; Ciccacci, F.; Giannelli, G.; Scavo, M.P. Premenopausal Syndrome and NAFLD: A New Approach Based on Gender Medicine. Biomedicines 2022, 10, 1184. [Google Scholar] [CrossRef]
- Lee, C.; Kim, J.; Han, J.; Oh, D.; Kim, M.; Jeong, H.; Kim, T.J.; Kim, S.W.; Kim, J.N.; Seo, Y.S.; et al. Formyl peptide receptor 2 determines sex-specific differences in the progression of nonalcoholic fatty liver disease and steato hepatitis. Nat Commun. 2022, 13, 578. [Google Scholar] [CrossRef]
- Fouad, Y.; Alboraie, M.; Shiha, G. Epidemiology and diagnosis of metabolic dysfunction-associated fatty liver disease. Hepatol. Int. 2024, 18, 827–833. [Google Scholar] [CrossRef]
- Chan, W.K.; Wong, V.W.; Adams, L.A.; Nguyen, M.H. MAFLD in adults: Non-invasive tests for diagnosis and monitoring of MAFLD. Hepatol. Int. 2024, 18, 909–921. [Google Scholar] [CrossRef]
- Lin, H.; Lee, H.W.; Yip, T.C.; Tsochatzis, E.; Petta, S.; Bugianesi, E.; Yoneda, M.; Zheng, M.H.; Hagström, H.; Boursier, J.; et al. Vibration-Controlled Transient Elastography Scores to Predict Liver-Related Events in Steatotic Liver Disease. JAMA 2024, 331, 1287–1297. [Google Scholar] [CrossRef]
- Bedogni, G.; Bellentani, S.; Miglioli, L.; Masutti, F.; Passalacqua, M.; Castiglione, A.; Tiribelli, C. The Fatty Liver Index: A simple and accurate predictor of hepatic steatosis in the general population. BMC Gastroenterol. 2006, 6, 33. [Google Scholar] [CrossRef]
- Expert Panel on Detection Evaluation Treatment of High Blood Cholesterol in Adults. Executive summary of the third report of the National cholesterol education program (NCEP) expert panel on detection, evaluation, and treatment of high blood cholesterol in adults (adult treatment panel III). JAMA 2001, 285, 2486–2497. [Google Scholar] [CrossRef]
- Bonora, E.; Targher, G.; Alberiche, M.; Bonadonna, R.C.; Saggiani, F.; Zenere, M.B.; Monauni, T.; Muggeo, M. Homeostasis model assessment closely mirrors the glucose clamp technique in the assessment of insulin sensitivity: Studies in subjects with various degrees of glucose tolerance and insulin sensitivity. Diabetes Care 2000, 23, 57–63. [Google Scholar] [CrossRef] [PubMed]
- Deurenberg, P.; Westrate, J.A.; Seidell, J.C. Body mass index as a measure of body fatness: Age- and sex-specific prediction formulas. Br. J. Nutr. 1991, 65, 105–111. [Google Scholar] [CrossRef] [PubMed]
- O’Brien, E.; Mee, F.; Atkins, N.; Thomas, M. Evaluation of three devices for self measurement of blood pressure according to the revised British Hypertension Society Protocol: The Omron HEM-705CP, Philips HP5332, and Nissei DS-175. Blood Press. Monit. 1996, 1, 55–61. [Google Scholar] [PubMed]







| P/G | Group I N = 100 | Group II N = 94 | Group III N = 222 | Group IV N = 174 |
|---|---|---|---|---|
| Sex-gender repartition (%) | 43 (M) 57 (W) | 54 (M) 46 (W) | 96 (M) 126 (W) | 75 (M) 99 (W) |
| Age (year) | 38 ± 3 (M) | 48 ± 1 (M) | 52 ± 3 (M) | 57 ± 1 (M) |
| 35 ± 4 (W) | 45 ± 2 (W) | 50 ± 1 (W) | 49 ± 1 (W) | |
| Δ Age (year) | 36 ± 3 | 46 ± 1 | 51 ± 1 | 53 ± 1 |
| Body Weight (Kg) | 67 ± 2 (M) | 76 ± 4 (M) | 75 ± 5 (M) | 79 ± 3 (M) |
| 68 ± 3 (W) | 77 ± 3 (W) | 79 ± 4 (W) | 83 ± 2 (W) | |
| Δ Body Weight (Kg) | 67.5 ± 2.5 | 76.5 ± 3.5 | 77 ± 4.5 | 81 ± 2.5 |
| BMI (Kg/m2) | 21 ± 2 (M) | 29 ± 1 (M) | 28 ± 3 (M) | 29 ± 1 (M) |
| 22 ± 2 (W) | 30 ± 1 (W)** | 33 ± 1 (W)** | 33 ± 1 (W)*** | |
| Δ BMI | 21.5 ± 2 | 29.5 ± 1 ** | 30.5 ± 2 ** | 31 ± 1 *** |
| WC (cm) | 85 ± 1 (M) | 99 ± 2 (M)*** | 102 ± 3 (M)*** | 104 ± 4 (M)*** |
| 77 ± 2 (W) | 97 ± 1 (W)*** | 106 ± 1 (W)*** | 106 ± 2 (W)*** | |
| Δ WC | 81 ± 1.5 | 98 ± 1.5 *** | 104 ± 2 *** | 105 ± 3 *** |
| WC/WH ratio | 0.86 ± 0.05 (M) | 1.05 ± 0.06 (M)*** | 1.10 ± 0.02 (M)*** | 1.07 ± 0.04 (M)*** |
| 0.83 ± 0.03 (W) | 0.91 ± 0.01 (W)*** | 0.89 ± 0.07 (W)*** | 0.93 ± 0.01 (W)*** | |
| Δ WC/WH ratio | 0.85 ± 0.04 | 0.98 ± 0.03 *** | 0.99 ± 0.04 *** | 1.01 ± 0.02 *** |
| BF (%) | 2.22 ± 0.60 (M) | 30.7 ± 1.81 (M)*** | 16.5 ± 1.91 (M)*** | 32.2 ± 1.65 (M)*** |
| 12.0 ± 0.41 (W) | 42.0 ± 1.66 (W)*** | 18.7 ± 1.25 (W)*** | 44.1 ± 1.19 (W)*** | |
| Δ BF (%) | 7.11 ± 0.51 | 36.3 ± 1.71 *** | 17.6 ± 1.52 *** | 38.5 ± 1.91 *** |
| P/G | Group I (N = 100) | Group II (N = 94) | Group III (N = 222) | Group IV (N = 174) |
|---|---|---|---|---|
| GLP-1 (pmole/L) | 11.7 ± 1.71 (Fs) | 9.50 ± 2.52 (Fs)* | 8.80 ± 1.52 (Fs)*** | 6.62 ± 1.60 (Fs)*** |
| 34.5 ± 3.81 (PP) | 20.7 ± 4.18 (PP)* | 14.6 ± 2.25 (PP)*** | 10.9 ± 2.70 (PP) *** | |
| GLP-1 (pmole/L) | 23.2 ± 2.14 (M) | 16.3 ± 1.55 (M) *** | 11.7 ± 1.43 (M) *** | 9.51 ± 1.33 (M) *** |
| 23.1 ± 1.41 (W) | 13.9 ± 1.77 (W) *** | 10.4 ± 1.86 (W) *** | 8.68 ± 1.77 (W) *** | |
| Δ GLP-1 (pmole/L) | 23.1 ± 2.76 | 15.1 ± 3.35 *** | 11.7 ± 1.88 *** | 8.76 ± 2.15 *** |
| Glycemia (mmol/L) | 4.67 ± 0.39 | 6.27 ± 0.09 ** | 8.71 ± 0.33 *** | 9.21 ± 0.42 *** |
| HbA1C (%) | 5.53 ± 0.80 | 5.62 ± 0.70 *** | 6.17 ± 0.18 *** | 6.39 ± 0.11 *** |
| HbA1c (mmol/mol) | 37 ± 5.35 | 38 ± 4.05 *** | 44.1 ± 3.80 *** | 46.1 ± 1.46 *** |
| Insulinemia (pmol/L) | 63 ± 3.47 | 165 ± 5.62 *** | 299 ± 21 *** | 510 ± 38 *** |
| Homa-IR Index | 1.98 ± 0.10 | 6.65 ± 0.26 *** | 17.1 ± 1.54 *** | 30.6 ± 2.48 *** |
| Triglycerides (mmol/L) | 0.72 ± 0.04 (M) | 1.65 ± 0.15 (M) *** | 1.67 ± 0.23 (M) *** | 2.31 ± 0.33 (M) *** |
| 0.71 ± 0.01 (W) | 1.33 ± 0.17 (W) *** | 1.80 ± 0.36 (W) *** | 2.18 ± 0.77 (W) *** | |
| Δ Triglycerides (mmol/L) | 0.72 ± 0.04 | 1.50 ± 0.19 *** | 1.76 ± 0.10 *** | 2.22 ± 0.14 *** |
| Total Cholesterol (mmol/L) | 3.98 ± 0.22 | 5.05 ± 0.40 *** | 4.89 ± 0.57 *** | 5.54 ± 0.93 *** |
| HDL- Chol (mmol/L) | 1.24 ± 0.04 (M) | 1.10 ± 0.05 (M) | 1.05 ± 0.03 (M) | 1.00 ± 0.04 (M) |
| 1.57 ± 0.08 (W) | 1.23 ± 0.05 (W) | 1.14 ± 0.06 (W) | 1.06 ± 0.02 (W) | |
| LDL- Chol (mmol/L) | 2.49 ± 0.02 | 3.21 ± 0.15 | 3.49 ± 0.12 *** | 4.29 ± 0.06 *** |
| SBP (mm Hg) | 125 ± 15 | 126 ± 16 | 129 ± 13 | 135 ± 17 |
| DBP (mm Hg) | 80 ±3 ± 3.81 | 79.8 ± 5.7 | 80.7 ± 6.3 | 81.3 ± 7.4 |
| Total bilirubin (µmol/L) | 9.91 ± 0.68 | 11.4 ± 0.17 | 11.2 ± 0.68 | 12.1 ± 0.34 |
| AST (IU/l) | 21.7 ± 1.20 | 30.6 ± 2.61 | 26.4 ± 1.82 | 41.0 ± 4.68 *** |
| ALT (IU/l) | 26.8 ± 1.09 | 76.3 ± 5.90 *** | 29.1 ± 1.58 | 82.1 ± 5.98 *** |
| AST/ALT Ratio | 0.81 ± 0.06 | 0.66 ± 0.04 *** | 0.90 ± 0.05 | 0.63 ± 0.08 *** |
| GGT (IU/l) | 21.8 ± 2.09 (M) | 72.3 ± 4.55 (M) *** | 60.5 ± 3.43 (M) *** | 83.7 ± 4.33 (M) *** |
| 21.1 ± 1.11 (W) | 66.9 ± 3.77 (W) *** | 52.4 ± 2.86 (W) *** | 80.6 ± 3.77 (W) *** | |
| Δ GGT (IU/l) | 21.9 ± 2.20 | 70.4 ± 4.42 *** | 52.4 ± 3.66 *** | 83.7 ± 5.24 *** |
| AP (UI/L) | 79.3 ± 3.37 | 91.4 ± 5.11 | 86.5 ± 4.64 | 98.0 ± 6.92 *** |
| Iron (g/L) | 1.28 ± 0.05 | 1.33 ± 0.02 | 1.55 ± 0.07 * | 1.95 ± 0.07 * |
| Ferritin (pmol/L) | 147 ± 11 | 204 ± 3 *** | 172 ± 5 | 309 ± 4 *** |
| Hs-CRP (mg/L) | 3.5 ± 1.2 | 7.70 ± 0.6 *** | 5.61 ± 0.1 ** | 9.44 ± 0.8 *** |
| NEFA (µmol/L) | 290 ± 36 | 510 ± 51 ** | 689 ± 123 *** | 897 ± 78 *** |
| FLI | 24.9 ± 2.32 (M) | 56.2 ± 8.33 (M) *** | 31.7 ± 3.43 (M) *** | 89.9 ± 5.33 (M) *** |
| 6.42 ± 1.23 (W) | 43.9 ± 7.44 (W) *** | 25.4 ± 4.86 (W) *** | 78.3 ± 7.77 (W) *** | |
| Δ FLI | 15.5 ± 1.77 | 50.5 ± 7.88 *** | 28.5 ± 4.14 ** | 84.1 ± 6.55 *** |
| Model | Standardised β | p-Value |
|---|---|---|
| BMI (kg/m2) | −0.647 | <0.001 |
| Age (Year) | −0.633 | <0.001 |
| Sex-gender | −0.688 | <0.001 |
| T2DM duration (Year) | −0.283 | <0.001 |
| P/G | Group I N = 100 | Group II N = 94 | Group III N = 222 | Group IV N = 174 |
|---|---|---|---|---|
| Leptin (ng/mL) | 3.25 ± 0.43 (M) | 4.84 ± 0.6 (M)* | 7.34 ± 1.57 (M)*** | 8.57 ± 0.99 (M)*** |
| 5.22 ± 0.40 (F) | 12.2 ± 2.6 (F)*** | 21.7 ± 3.18 (F)*** | 26.6 ± 0.28 (F)** | |
| Δ Leptin (ng/mL) | 4.23 ± 0.41 | 8.52 ± 1.51 *** | 14.5 ± 2.51 *** | 17.6 ± 0.53 *** |
| Adiponectin (µg/mL) | 6.04 ± 0.12 (M) | 3.42 ± 0.24 (M)*** | 3.54 ± 0.33 (M)*** | 1.65 ± 0.51 (M)* |
| 8.07 ± 1.15 (F) | 4.97 ± 0.76 (F)** | 4.22 ± 0.48 (F)** | 3.69 ± 0.36 (F)** | |
| Δ Adiponectin (µg/mL) | 7.05 ± 0.63 | 4.19 ± 0.51 *** | 3.88 ± 0.41 *** | 2.67 ± 0.43 *** |
| Resistin (ng/mL) | 3.24 ± 0.81 (M) | 5.47 ± 0.63 (M)** | 6.87 ± 0.73 (M)** | 8.33 ± 0.58 (M)** |
| 3.80 ± 0.62 (F) | 4.85 ± 0.37 (F)** | 6.10 ± 0.91 (F)** | 7.90 ± 0.45 (F)** | |
| Δ Resistin (ng/mL) | 3.52 ± 0.71 | 4.98 ± 0.51 *** | 6.48 ± 0.82 *** | 8.11 ± 0.51 *** |
| L/A | (0.53 ± 0.04) × 10−3 (M) | (1.41 ± 0.01) × 10−3 (M)* | (2.07 ± 0.03) × 10−3 (M)*** | (6.23 ± 0.01) × 10−3 (M)** |
| (0.64 ± 0.05) × 10−3 (F) | (2.54 ± 0.02) × 10−3 (F)* | (5.14 ± 0.04) × 10−3 (F)*** | (5.67 ± 0.02) × 10−3 (F)** | |
| Δ L/A | (0.46 ± 0.04) × 10−3 | (1.97 ± 0.01) × 10−3 * | (3.61 ± 0.03) × 10−3 *** | (5.95 ± 0.01) × 10−3 *** |
| P/G | Group I N = 100 | Group II N = 94 | Group III N = 222 | Group IV N = 174 |
|---|---|---|---|---|
| TNF-α (pg/mL) | 6.06 ± 0.33 | 7.77 ± 0.15 ** | 6.50 ± 0.23 | 9.92 ± 1.57 *** |
| IL-6 (pg/mL) | 7.62 ± 1.43 | 11.6 ± 0.23 *** | 9.66 ± 0.85 * | 19.3 ± 0.56 *** |
| IL-1β (pg/mL) | 3.25 ± 0.45 | 9.12 ± 0.52 | 7.69 ± 2.12 | 11.9 ± 1.49 |
| IL-17 (pg/mL) | 34.7 ± 4.51 | 41.2 ± 10.1 *** | 67.4 ± 11.1 | 92.1 ± 12.9 *** |
Disclaimer/Publisher’s Note: The statements, opinions and data contained in all publications are solely those of the individual author(s) and contributor(s) and not of MDPI and/or the editor(s). MDPI and/or the editor(s) disclaim responsibility for any injury to people or property resulting from any ideas, methods, instructions or products referred to in the content. |
© 2026 by the authors. Licensee MDPI, Basel, Switzerland. This article is an open access article distributed under the terms and conditions of the Creative Commons Attribution (CC BY) license.
Share and Cite
Zoubiri, H.; Saiah, W.; Otmane, A.; Saidi, H.; Makrelouf, M.; Ait Abderrhmane, S.; Haddam, A.E.M.; Koceir, E.-A. Plasma GLP-1 (Glucagon-like Peptide-1) Depletion Is Correlated with Dysregulation of Adipocytokine in Type 2 Diabetic Patients With or Without Metabolic-Associated Fatty Liver Disease (MAFLD): A Cross-Sectional Study Related to Gender-Sex Disparities. Int. J. Mol. Sci. 2026, 27, 1218. https://doi.org/10.3390/ijms27031218
Zoubiri H, Saiah W, Otmane A, Saidi H, Makrelouf M, Ait Abderrhmane S, Haddam AEM, Koceir E-A. Plasma GLP-1 (Glucagon-like Peptide-1) Depletion Is Correlated with Dysregulation of Adipocytokine in Type 2 Diabetic Patients With or Without Metabolic-Associated Fatty Liver Disease (MAFLD): A Cross-Sectional Study Related to Gender-Sex Disparities. International Journal of Molecular Sciences. 2026; 27(3):1218. https://doi.org/10.3390/ijms27031218
Chicago/Turabian StyleZoubiri, Houda, Wassila Saiah, Amel Otmane, Hamza Saidi, Mohamed Makrelouf, Samir Ait Abderrhmane, Ali El Mahdi Haddam, and Elhadj-Ahmed Koceir. 2026. "Plasma GLP-1 (Glucagon-like Peptide-1) Depletion Is Correlated with Dysregulation of Adipocytokine in Type 2 Diabetic Patients With or Without Metabolic-Associated Fatty Liver Disease (MAFLD): A Cross-Sectional Study Related to Gender-Sex Disparities" International Journal of Molecular Sciences 27, no. 3: 1218. https://doi.org/10.3390/ijms27031218
APA StyleZoubiri, H., Saiah, W., Otmane, A., Saidi, H., Makrelouf, M., Ait Abderrhmane, S., Haddam, A. E. M., & Koceir, E.-A. (2026). Plasma GLP-1 (Glucagon-like Peptide-1) Depletion Is Correlated with Dysregulation of Adipocytokine in Type 2 Diabetic Patients With or Without Metabolic-Associated Fatty Liver Disease (MAFLD): A Cross-Sectional Study Related to Gender-Sex Disparities. International Journal of Molecular Sciences, 27(3), 1218. https://doi.org/10.3390/ijms27031218

