Dialdehyde Alginate as a Crosslinker for Chitosan/Starch Films: Toward Biocompatible and Antioxidant Wound Dressing Materials
Abstract
1. Introduction
2. Results and Discussion
2.1. Dialdehyde Alginate Obtaining
2.2. Chitosan/Starch Films Modified with ADA
2.2.1. Fourier Transform Infrared Spectroscopy–Attenuated Total Reflectance
2.2.2. Contact Angle
2.2.3. Moisture Content
2.2.4. Mechanical Testing
2.2.5. Scanning Electron Microscopy (SEM) Imaging
2.2.6. Antioxidant Activity
2.2.7. Blood Hemolysis
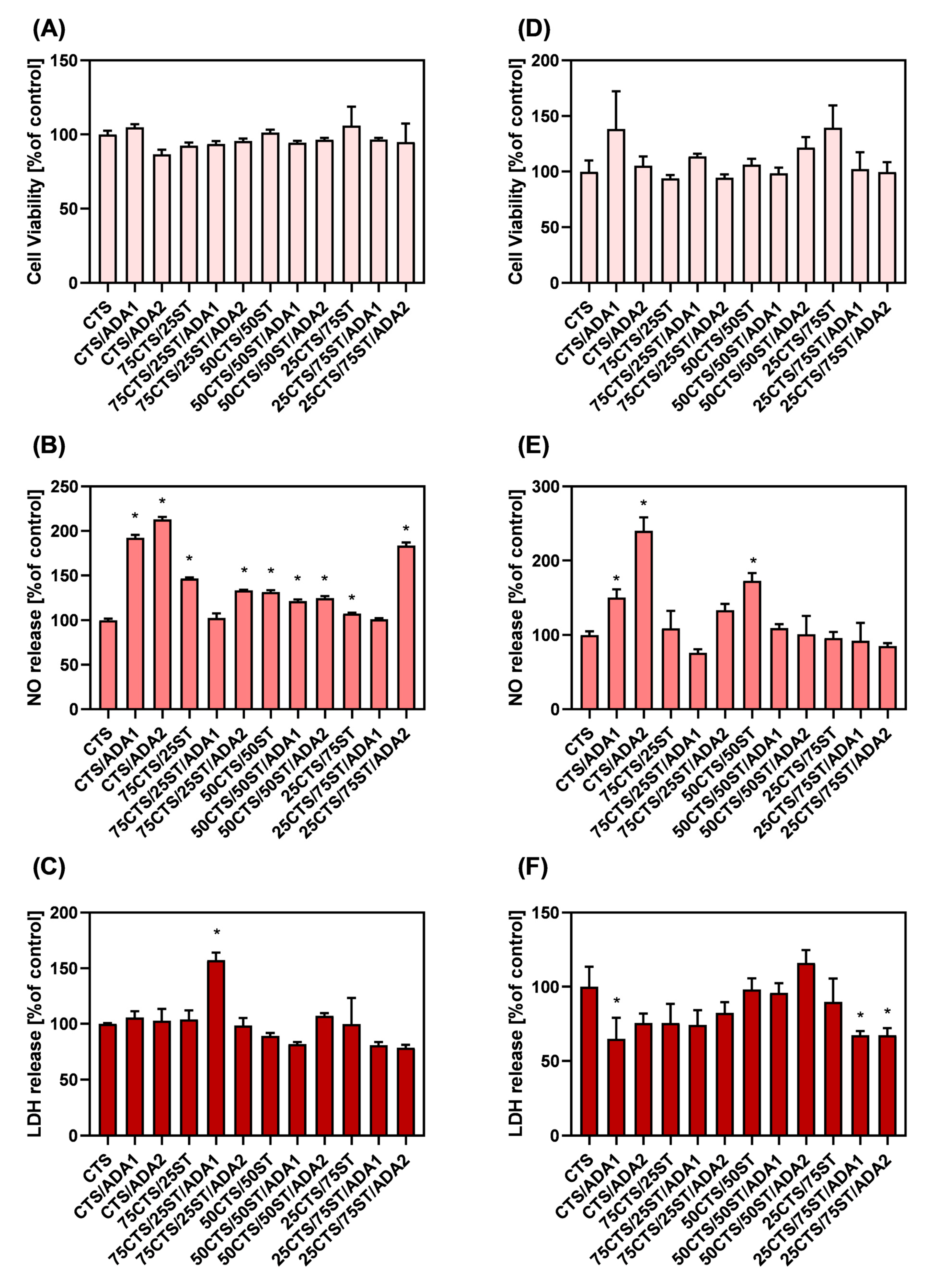
2.2.8. Cytotoxicity Assessment
2.2.9. Future Directions Toward Clinical Translation
3. Materials and Methods
3.1. Materials
3.2. Oxidation of Sodium Alginate with Sodium Periodate
3.3. Processing of Chitosan/Starch Film Modified with ADA
3.4. Characterization of Starch/Chitosan Films Modified with ADA’
3.4.1. FTIR
3.4.2. Contact Angle
3.4.3. Moisture Content
3.4.4. Mechanical Testing
3.4.5. Scanning Electron Microscopy Imaging
3.4.6. Antioxidant Activity
3.4.7. Blood Hemolysis
3.4.8. Cytotoxicity Assessment
3.5. Statistical Analysis
4. Conclusions
Supplementary Materials
Author Contributions
Funding
Institutional Review Board Statement
Informed Consent Statement
Data Availability Statement
Conflicts of Interest
References
- Khan, M.U.A.; Hakkarainen, M.; Bin Abdullah, M.F.; Tayebi, L.; Gul, H.; Hasan, A. Recent Perspective of Chitosan in Wound Healing Approaches—A Review. Mater. Today Commun. 2025, 47, 113288. [Google Scholar] [CrossRef]
- Shah, J.; Patel, D.; Rananavare, D.; Hudson, D.; Tran, M.; Schloss, R.; Langrana, N.; Berthiaume, F.; Kumar, S. Recent Advancements in Chitosan-Based Biomaterials for Wound Healing. J. Funct. Biomater. 2025, 16, 45. [Google Scholar] [CrossRef] [PubMed]
- Palanisamy, C.P.; Cui, B.; Zhang, H.; Gunasekaran, V.P.; Ariyo, A.L.; Jayaraman, S.; Rajagopal, P.; Long, Q. A Critical Review on Starch-Based Electrospun Nanofibrous Scaffolds for Wound Healing Application. Int. J. Biol. Macromol. 2022, 222, 1852–1860. [Google Scholar] [CrossRef] [PubMed]
- Waghmare, V.S.; Wadke, P.R.; Dyawanapelly, S.; Deshpande, A.; Jain, R.; Dandekar, P. Starch Based Nano-fibrous Scaffolds for Wound Healing Applications. Bioact. Mater. 2018, 3, 255–266. [Google Scholar] [CrossRef]
- Aderibigbe, B.; Buyana, B. Alginate in Wound Dressings. Pharmaceutics 2018, 10, 42. [Google Scholar] [CrossRef]
- Feketshane, Z.; Adeyemi, S.A.; Ubanako, P.; Ndinteh, D.T.; Ray, S.S.; Choonara, Y.E.; Aderibigbe, B.A. Dis-solvable Sodium Alginate-Based Antibacterial Wound Dressing Patches: Design, Characterization, and in Vitro Biological Studies. Int. J. Biol. Macromol. 2023, 232, 123460. [Google Scholar] [CrossRef]
- Gobi, R.; Ravichandiran, P.; Babu, R.S.; Yoo, D.J. Biopolymer and Synthetic Polymer-Based Nanocomposites in Wound Dressing Applications: A Review. Polymers 2021, 13, 1962. [Google Scholar] [CrossRef]
- Grabska-Zielińska, S.; Sionkowska, A. How to Improve Physico-chemical Properties of Silk Fibroin Materials for Biomedical Applications?—Blending and Cross-linking of Silk Fibroin—A Review. Materials 2021, 14, 1510. [Google Scholar] [CrossRef]
- Moghadas, B.; Solouk, A.; Sadeghi, D. Development of Chitosan Membrane Using Non-Toxic Crosslinkers for Potential Wound Dressing Applications. Polym. Bull. 2020, 78, 4919–4929. [Google Scholar] [CrossRef]
- Panchal, R.; Mateti, T.; Likhith, K.; Rodrigues, F.C.; Thakur, G. Genipin Cross-Linked Chitosan–PVA Compo-site Films: An Investigation on the Impact of Cross-Linking on Accelerating Wound Healing. React. Funct. Polym. 2022, 178, 105339. [Google Scholar] [CrossRef]
- Thakur, G.; Rodrigues, F.C.; Singh, K. Crosslinking Biopolymers for Advanced Drug Delivery and Tissue Engineering Applications. Adv. Exp. Med. Biol. 2018, 1078, 213–231. [Google Scholar] [PubMed]
- Oryan, A.; Kamali, A.; Moshiri, A.; Baharvand, H.; Daemi, H. Chemical Crosslinking of Biopolymeric Scaffolds: Current Knowledge and Future Directions of Crosslinked Engineered Bone Scaffolds. Int. J. Biol. Macromol. 2018, 107, 678–688. [Google Scholar] [CrossRef] [PubMed]
- Grabska-Zielińska, S. Cross-Linking Agents in Three-Component Materials Dedicated to Biomedical Appli-cations: A Review. Polymers 2024, 16, 2679. [Google Scholar] [CrossRef] [PubMed]
- Sionkowska, A.; Michalska-Sionkowska, M.; Walczak, M. Preparation and Characterization of Colla-gen/Hyaluronic Acid/Chitosan Film Crosslinked with Dialdehyde Starch. Int. J. Biol. Macromol. 2020, 149, 290–295. [Google Scholar] [CrossRef]
- Skopinska-Wisniewska, J.; Wegrzynowska-Drzymalska, K.; Bajek, A.; Maj, M.; Sionkowska, A. Is Dialdehyde Starch a Valuable Cross-Linking Agent for Collagen/Elastin Based Materials? J. Mater. Sci. Mater. Med. 2016, 27, 67. [Google Scholar] [CrossRef]
- Grabska-Zielińska, S.; Sionkowska, A.; Reczyńska, K.; Pamuła, E. Physico-Chemical Characterization and Biological Tests of Collagen/Silk Fibroin/Chitosan Scaffolds Cross-Linked by Dialdehyde Starch. Polymers 2020, 12, 372. [Google Scholar] [CrossRef]
- Grabska-Zielińska, S.; Sionkowska, A.; Olewnik-Kruszkowska, E.; Reczyńska, K.; Pamuła, E. Is Dialdehyde Chitosan a Good Substance to Modify Physicochemical Properties of Biopolymeric Materials? Int. J. Mol. Sci. 2021, 22, 3391. [Google Scholar] [CrossRef]
- Bam, P.; Bhatta, A.; Krishnamoorthy, G. Design of Biostable Scaffold Based on Collagen Crosslinked by Dial-dehyde Chitosan with Presence of Gallic Acid. Int. J. Biol. Macromol. 2019, 130, 836–844. [Google Scholar] [CrossRef]
- Hemsri, S.; Junwattarunggu, N.; Rueangsawang, W.; Aramsrithum, S. Fabrication and Properties of Gela-tin/Dialdehyde Chitosan Films. IOP Conf. Ser. Mater. Sci. Eng. 2023, 1280, 012019. [Google Scholar] [CrossRef]
- Yi, Y.; Zhang, Y.; Mansel, B.; Wang, Y.N.; Prabakar, S.; Shi, B. Effect of Dialdehyde Carboxymethyl Cellulose Cross-Linking on the Porous Structure of the Collagen Matrix. Biomacromolecules 2022, 23, 1723–1732. [Google Scholar] [CrossRef]
- Jiang, X.; Yang, Z.; Peng, Y.; Han, B.; Li, Z.; Li, X.; Liu, W. Preparation, Characterization and Feasibility Study of Dialdehyde Carboxymethyl Cellulose as a Novel Crosslinking Reagent. Carbohydr. Polym. 2016, 137, 632–641. [Google Scholar] [CrossRef] [PubMed]
- Mu, C.; Guo, J.; Li, X.; Lin, W.; Li, D. Preparation and Properties of Dialdehyde Carboxymethyl Cellulose Crosslinked Gelatin Edible Films. Food Hydrocoll. 2012, 27, 22–29. [Google Scholar] [CrossRef]
- Hu, Y.; Liu, L.; Gu, Z.; Dan, W.; Dan, N.; Yu, X. Modification of Collagen with a Natural Derived Cross-Linker, Alginate Dialdehyde. Carbohydr. Polym. 2014, 102, 324–332. [Google Scholar] [CrossRef] [PubMed]
- Chen, L.; Deng, X.; Tian, L.; Xie, J.; Xiang, Y.; Liang, X.; Jiang, L.; Jiang, L. Preparation and Properties of Chi-tosan/Dialdehyde Sodium Alginate/Dopamine Magnetic Drug-Delivery Hydrogels. Colloids Surf. A Physicochem. Eng. Asp. 2024, 680, 132739. [Google Scholar] [CrossRef]
- Park, J.; Nam, J.; Yun, H.; Jin, H.J.; Kwak, H.W. Aquatic Polymer-Based Edible Films of Fish Gelatin Cross-linked with Alginate Dialdehyde Having Enhanced Physicochemical Properties. Carbohydr. Polym. 2021, 254, 117317. [Google Scholar] [CrossRef]
- Bajpai, S.K.; Bajpai, M.; Shah, F.F. Alginate Dialdehyde (AD)-Crosslinked Casein Films: Synthesis, Charac-terization and Water Absorption Behavior. Des. Monomers Polym. 2016, 19, 406–419. [Google Scholar] [CrossRef]
- Li, J.; Zheng, Y.; Wang, P.; Zhang, H. The Alginate Dialdehyde Crosslinking on Curcumin-Loaded Zein Nan-ofibers for Controllable Release. Food Res. Int. 2024, 178, 113944. [Google Scholar] [CrossRef]
- Huang, J.; Zajforoushan Moghaddam, S.; Maroni, P.; Thormann, E. Swelling Behavior, Interaction, and Elec-trostatic Properties of Chitosan/Alginate Dialdehyde Multilayer Films with Different Outermost Layer. Langmuir 2020, 36, 3782–3791. [Google Scholar] [CrossRef]
- Huang, J.; Moghaddam, S.Z.; Thormann, E. Chitosan/Alginate Dialdehyde Multilayer Films with Modulated PH-Responsiveness and Swelling. Macromol. Chem. Phys. 2020, 221, 1900499. [Google Scholar] [CrossRef]
- Aston, R.; Wimalaratne, M.; Brock, A.; Lawrie, G.; Grøndahl, L. Interactions between Chitosan and Alginate Dialdehyde Biopolymers and Their Layer-by-Layer Assemblies. Biomacromolecules 2015, 16, 1807–1817. [Google Scholar] [CrossRef]
- Dong, J.; Yu, D.; Zhang, L.; Wang, G.; Zhang, P.; You, Y.; Xu, Y.; Xia, W. Chitosan/Alginate Dialdehyde Trilayer Films with Cinnamaldehyde Nanoemulsions for Grass Carp Preservation. Food Hydrocoll. 2024, 147, 109413. [Google Scholar] [CrossRef]
- Wang, W.; Huang, W.C.; Zheng, J.; Xue, C.; Mao, X. Preparation and Comparison of Dialdehyde Derivatives of Polysaccharides as Cross-Linking Agents. Int. J. Biol. Macromol. 2023, 236, 123913. [Google Scholar] [CrossRef] [PubMed]
- Sun, K.Q.; Li, F.Y.; Li, J.Y.; Li, J.F.; Zhang, C.W.; Chen, S.; Sun, X.; Cui, J.F. Optimisation of Compatibility for Improving Elongation at Break of Chitosan/Starch Films. RSC Adv. 2019, 9, 24451–24459. [Google Scholar] [CrossRef] [PubMed]
- Li, H.; Gao, X.; Wang, Y.; Zhang, X.; Tong, Z. Comparison of Chitosan/Starch Composite Film Properties before and after Cross-Linking. Int. J. Biol. Macromol. 2013, 52, 275–279. [Google Scholar] [CrossRef]
- Li, F.; Chen, Y.; Li, L.; Bai, X.; Li, S. Starch-Chitosan Blend Films Prepared by Glutaraldehyde Cross-Linking. Adv. Mater. Res. 2012, 415–417, 1626–1629. [Google Scholar] [CrossRef]
- Wu, H.; Lei, Y.; Lu, J.; Zhu, R.; Xiao, D.; Jiao, C.; Xia, R.; Zhang, Z.; Shen, G.; Liu, Y.; et al. Effect of Citric Acid Induced Crosslinking on the Structure and Properties of Potato Starch/Chitosan Composite Films. Food Hydrocoll. 2019, 97, 105208. [Google Scholar] [CrossRef]
- Bisla, V.; Yoshitake, H. Control of Mechanical and Hydrophobic Properties of Silylated Chitosan-Starch Films by Cross-Linking Using Carboxylic Acids. Carbohydr. Polym. Technol. Appl. 2024, 7, 100462. [Google Scholar] [CrossRef]
- Tuhin, M.O.; Rahman, N.; Haque, M.E.; Khan, R.A.; Dafader, N.C.; Islam, R.; Nurnabi, M.; Tonny, W. Modifi-cation of Mechanical and Thermal Property of Chitosan–Starch Blend Films. Radiat. Phys. Chem. 2012, 81, 1659–1668. [Google Scholar] [CrossRef]
- Bangyekan, C.; Aht-Ong, D.; Srikulkit, K. Preparation and Properties Evaluation of Chitosan-Coated Cassava Starch Films. Carbohydr. Polym. 2006, 63, 61–71. [Google Scholar] [CrossRef]
- Bourtoom, T.; Chinnan, M.S. Preparation and Properties of Rice Starch-Chitosan Blend Biodegradable Film. LWT-Food Sci. Technol. 2008, 41, 1633–1641. [Google Scholar] [CrossRef]
- Ren, L.; Yan, X.; Zhou, J.; Tong, J.; Su, X. Influence of Chitosan Concentration on Mechanical and Barrier Properties of Corn Starch/Chitosan Films. Int. J. Biol. Macromol. 2017, 105, 1636–1643. [Google Scholar] [CrossRef]
- Mathew, S.; Brahmakumar, M.; Abraham, T.E. Microstructural Imaging and Characterization of the Mechan-ical, Chemical, Thermal, and Swelling Properties of Starch–Chitosan Blend Films. Biopolymers 2006, 82, 176–187. [Google Scholar] [CrossRef] [PubMed]
- Olewnik-Kruszkowska, E.; Gierszewska, M.; Wrona, M.; Nerin, C.; Grabska-Zielińska, S. Polylactide-Based Films with the Addition of Poly(Ethylene Glycol) and Extract of Propolis—Physico-Chemical and Storage Properties. Foods 2022, 11, 1488. [Google Scholar] [CrossRef] [PubMed]
- Karua, C.S.; Sahoo, A. Synthesis and Characterization of Starch/Chitosan Composites. Mater. Today Proc. 2020, 33, 5179–5183. [Google Scholar] [CrossRef]
- Jejurikar, A.; Seow, X.T.; Lawrie, G.; Martin, D.; Jayakrishnan, A.; Grøndahl, L. Degradable Alginate Hydrogels Crosslinked by the Macromolecular Crosslinker Alginate Dialdehyde. J. Mater. Chem. 2012, 22, 9751–9758. [Google Scholar] [CrossRef]
- Sarker, B.; Papageorgiou, D.G.; Silva, R.; Zehnder, T.; Gul-E-Noor, F.; Bertmer, M.; Kaschta, J.; Chrissafis, K.; Detsch, R.; Boccaccini, A.R. Fabrication of Alginate–Gelatin Crosslinked Hydrogel Microcapsules and Evalu-ation of the Microstructure and Physico-Chemical Properties. J. Mater. Chem. B 2014, 2, 1470–1482. [Google Scholar] [CrossRef]
- Gao, C.; Wang, S.; Liu, B.; Yao, S.; Dai, Y.; Zhou, L.; Qin, C.; Fatehi, P. Sustainable Chitosan-Dialdehyde Cel-lulose Nanocrystal Film. Materials 2021, 14, 5851. [Google Scholar] [CrossRef]
- Muchová, M.; Münster, L.; Capáková, Z.; Mikulcová, V.; Kuřitka, I.; Vícha, J. Design of Dialdehyde Cellulose Crosslinked Poly(Vinyl Alcohol) Hydrogels for Transdermal Drug Delivery and Wound Dressings. Mater. Sci. Eng. C 2020, 116, 111242. [Google Scholar] [CrossRef]
- Elhag, M.; Abdelwahab, H.E.; Mostafa, M.A.; Yacout, G.A.; Nasr, A.Z.; Dambruoso, P.; El Sadek, M.M. One Pot Synthesis of New Cross-Linked Chitosan-Schiff’ Base: Characterization, and Anti-Proliferative Activities. Int. J. Biol. Macromol. 2021, 184, 558–565. [Google Scholar] [CrossRef]
- Dalei, G.; Das, S.; Pradhan, M. Dialdehyde Cellulose as a Niche Material for Versatile Applications: An Overview. Cellulose 2022, 29, 5429–5461. [Google Scholar] [CrossRef]
- Tangpasuthadol, V.; Pongchaisirikul, N.; Hoven, V.P. Surface Modification of Chitosan Films.: Effects of Hy-drophobicity on Protein Adsorption. Carbohydr. Res. 2003, 338, 937–942. [Google Scholar] [CrossRef]
- Palhares, L.C.G.F.; London, J.A.; Kozlowski, A.M.; Esposito, E.; Chavante, S.F.; Ni, M.; Yates, E.A. Chemical Modification of Glycosaminoglycan Polysaccharides. Molecules 2021, 26, 5211. [Google Scholar] [CrossRef]
- Balakrishnan, B.; Mohanty, M.; Umashankar, P.R.; Jayakrishnan, A. Evaluation of an in Situ Forming Hydrogel Wound Dressing Based on Oxidized Alginate and Gelatin. Biomaterials 2005, 26, 6335–6342. [Google Scholar] [CrossRef] [PubMed]
- Balakrishnan, B.; Jayakrishnan, A. Self-Cross-Linking Biopolymers as Injectable in Situ Forming Biodegradable Scaffolds. Biomaterials 2005, 26, 3941–3951. [Google Scholar] [CrossRef] [PubMed]
- Liu, X.; Dan, N.; Dan, W.; Gong, J. Feasibility Study of the Natural Derived Chitosan Dialdehyde for Chemical Modification of Collagen. Int. J. Biol. Macromol. 2016, 82, 989–997. [Google Scholar] [CrossRef] [PubMed]
- Kozłowska, J.; Skopińska-Wiśniewska, J.; Kaczmarek-Szczepańska, B.; Grabska-Zielińska, S.; Maku-rat-Kasprolewicz, B.; Michno, A.; Ronowska, A.; Wekwejt, M. Gelatin and Gelatin/Starch-Based Films Modi-fied with Sorbitol for Wound Healing. J. Mech. Behav. Biomed. Mater. 2023, 148, 106205. [Google Scholar] [CrossRef]
- Tsai, H.-S.; Wang, Y.-Z. Properties of Hydrophilic Chitosan Network Membranes by Introducing Binary Crosslink Agents. Polym. Bull. 2008, 60, 103–113. [Google Scholar] [CrossRef]
- Wan Yusof, W.R.; Sabar, S.; Zailani, M.A. Starch-Chitosan Blends: A Comprehensive Review on the Prepara-tion, Physicochemical Properties and Applications. Biopolymers 2024, 115, e23602. [Google Scholar] [CrossRef]
- Tang, R.; Du, Y.; Fan, L. Dialdehyde Starch-Crosslinked Chitosan Films and Their Antimicrobial Effects. J. Polym. Sci. B Polym. Phys. 2003, 41, 993–997. [Google Scholar] [CrossRef]
- Lewandowska, K. Influence of Cross-Linking Agents on the Structure and Stability of Chitosan and Car-boxymethyl Chitosan Thin Films. Molecules 2026, 31, 272. [Google Scholar] [CrossRef]
- Khadsai, S.; Janmanee, R.; Sam-Ang, P.; Nuanchawee, Y.; Rakitikul, W.; Mankhong, W.; Likittrakulwong, W.; Ninjiaranai, P. Influence of Crosslinking Concentration on the Properties of Biodegradable Modified Cassava Starch-Based Films for Packaging Applications. Polymers 2024, 16, 1647. [Google Scholar] [CrossRef] [PubMed]
- Arzate-Vázquez, I.; Chanona-Pérez, J.J.; Calderón-Domínguez, G.; Terres-Rojas, E.; Garibay-Febles, V.; Mar-tínez-Rivas, A.; Gutiérrez-López, G.F. Microstructural Characterization of Chitosan and Alginate Films by Microscopy Techniques and Texture Image Analysis. Carbohydr. Polym. 2012, 87, 289–299. [Google Scholar] [CrossRef] [PubMed]
- Lewandowska, K.; Sionkowska, A.; Kaczmarek, B.; Furtos, G. Characterization of Chitosan Composites with Various Clays. Int. J. Biol. Macromol. 2014, 65, 534–541. [Google Scholar] [CrossRef] [PubMed]
- Comino-Sanz, I.M.; López-Franco, M.D.; Castro, B.; Pancorbo-Hidalgo, P.L. The Role of Antioxidants on Wound Healing: A Review of the Current Evidence. J. Clin. Med. 2021, 10, 3558. [Google Scholar] [CrossRef]
- Kaczmarek-Szczepańska, B.; Zasada, L.; Grabska-Zielińska, S. The Physicochemical, Antioxidant, and Color Properties of Thin Films Based on Chitosan Modified by Different Phenolic Acids. Coatings 2022, 12, 126. [Google Scholar] [CrossRef]
- ASTM F756-00; Standard Practice for Assessment of Hemolytic Properties of Materials. ASTM International: West Conshohocken, PA, USA, 2000.
- Kaczmarek-Szczepańska, B.; Michalska-Sionkowska, M.; Binkowski, P.; Lukaszewicz, J.P.; Kamedulski, P. 3D-Structured and Blood-Contact-Safe Graphene Materials. Int. J. Mol. Sci. 2023, 24, 3576. [Google Scholar] [CrossRef]
- Rogero, S.O.; Malmonge, S.M.; Lugão, A.B.; Ikeda, T.I.; Miyamaru, L.; Cruz, Á.S. Biocompatibility Study of Polymeric Biomaterials. Artif. Organs 2003, 27, 424–427. [Google Scholar] [CrossRef]
- Cals-Grierson, M.M.; Ormerod, A.D. Nitric Oxide Function in the Skin. Nitric Oxide 2004, 10, 179–193. [Google Scholar] [CrossRef]
- Adler, B.L.; Friedman, A.J. Nitric Oxide Therapy for Dermatologic Disease. Future Sci. OA 2015, 1, FSO37. [Google Scholar] [CrossRef]
- Man, M.; Wakefield, J.S.; Mauro, T.M.; Elias, P.M. Role of Nitric Oxide in Regulating Epidermal Permeability Barrier Function. Exp. Dermatol. 2022, 31, 290–298. [Google Scholar] [CrossRef]
- Zaborova, V.; Budanova, E.; Kryuchkova, K.; Rybakov, V.; Shestakov, D.; Isaikin, A.; Romanov, D.; Chur-yukanov, M.; Vakhnina, N.; Zakharov, V.; et al. Nitric Oxide: A Gas Transmitter in Healthy and Diseased Skin. Med. Gas Res. 2025, 15, 520–528. [Google Scholar] [CrossRef]
- ISO 10993-5:2009; Biological Evaluation of Medical Devices—Part 5: Tests for In Vitro Cytotoxicity. ISO: Geneva, Switzerland, 2009.
- Montufar, E.B. Bone Response to Biodegradable Metals and In Vitro Evaluation of the Cytocompatibility. JOM 2025, 77, 4473–4492. [Google Scholar] [CrossRef]
- Paula, A.B.; Laranjo, M.; Coelho, A.S.; Abrantes, A.M.; Gonçalves, A.C.; Sarmento-Ribeiro, A.B.; Ferreira, M.M.; Botelho, M.F.; Marto, C.M.; Carrilho, E. Accessing the Cytotoxicity and Cell Response to Biomaterials. J. Vis. Exp. 2021, 2021, e61512. [Google Scholar] [CrossRef] [PubMed]
- Jhamb, S.K.; Goyal, A.; Pandey, A.; Bhowmik, A. A Review of Cytotoxicity Testing Methods and in Vitro Study of Biodegradable Mg-1%Sn-2%HA Composite by Elution Method. J. Mater. Sci. Mater. Med. 2025, 36, 92. [Google Scholar] [CrossRef] [PubMed]
- Wiegand, C.; Abel, M.; Hipler, U.-C.; Elsner, P. Effect of Non-Adhering Dressings on Promotion of Fibroblast Proliferation and Wound Healing in Vitro. Sci. Rep. 2019, 9, 4320. [Google Scholar] [CrossRef]
- Ahmed, R.; Augustine, R.; Chaudhry, M.; Akhtar, U.A.; Zahid, A.A.; Tariq, M.; Falahati, M.; Ahmad, I.S.; Hasan, A. Nitric Oxide-Releasing Biomaterials for Promoting Wound Healing in Impaired Diabetic Wounds: State of the Art and Recent Trends. Biomed. Pharmacother. 2022, 149, 112707. [Google Scholar] [CrossRef]
- Alexander-Sinclair, E.I.; Lapina, E.S.; Edomenko, N.V.; Kostyakov, D.V.; Zinoviev, E.V.; Blinova, M.I.; Mikhailova, N.A. Biocompatibility Issues of Wound Dressings. Bioengineering 2025, 12, 1196. [Google Scholar] [CrossRef]
- Lagoa, T.; Queiroga, M.C.; Martins, L. An Overview of Wound Dressing Materials. Pharmaceuticals 2024, 17, 1110. [Google Scholar] [CrossRef]
- Thanusha, A.V.; Koul, V. Biocompatibility Evaluation for the Developed Hydrogel Wound Dressing—ISO-10993-11 Standards—In Vitro and in Vivo Study. Biomed. Phys. Eng. Express 2021, 8, 015010. [Google Scholar] [CrossRef]
- Kristiansen, K.A.; Tomren, H.B.; Christensen, B.E. Periodate Oxidized Alginates: Depolymerization Kinetics. Carbohydr. Polym. 2011, 86, 1595–1601. [Google Scholar] [CrossRef]
- Gomez, C.G.; Rinaudo, M.; Villar, M.A. Oxidation of Sodium Alginate and Characterization of the Oxidized Derivatives. Carbohydr. Polym. 2007, 67, 296–304. [Google Scholar] [CrossRef]
- Salem, D.M.S.A.; Sallam, M.A.E.; Youssef, T.N.M.A. Synthesis of Compounds Having Antimicrobial Activity from Alginate. Bioorg. Chem. 2019, 87, 103–111. [Google Scholar] [CrossRef] [PubMed]
- Zhao, H.; Heindel, N.D. Determination of Degree of Substitution of Formyl Groups in Polyaldehyde Dextran by the Hydroxylamine Hydrochloride Method. Pharm. Res. Off. J. Am.-Sociation Pharm. Sci. 1991, 8, 400–402. [Google Scholar] [CrossRef] [PubMed]
- Owens, D.K.; Wendt, R.C. Estimation of the Surface Free Energy of Polymers. J. Appl. Polym. Sci. 1969, 13, 1741–1747. [Google Scholar] [CrossRef]
- Grabska-Zielińska, S.; Gierszewska, M.; Olewnik-Kruszkowska, E.; Bouaziz, M.M.A. Polylactide Films with the Addition of Olive Leaf Extract—Physico-Chemical Characterization. Materials 2021, 14, 7623. [Google Scholar] [CrossRef]
- Rahimi, M.; Ahmadi, R.; Samadi Kafil, H.; Shafiei-Irannejad, V. A Novel Bioactive Quaternized Chitosan and Its Silver-Containing Nanocomposites as a Potent Antimicrobial Wound Dressing: Structural and Biological Properties. Mater. Sci. Eng. C 2019, 101, 360–369. [Google Scholar] [CrossRef]
- Suh, D.; Sherlock, S.H.; Dukes, K.C.; Perencevich, E.N.; Marra, A.R. Impact of UV-C on Material Degradation: A Scoping Literature Review. Antimicrob. Steward. Healthc. Epidemiol. ASHE 2025, 5, e199. [Google Scholar] [CrossRef]
- Witte, M.B.; Barbul, A. Role of Nitric Oxide in Wound Repair. Am. J. Surg. 2002, 183, 406–412. [Google Scholar] [CrossRef]
- Boukamp, P.; Petrussevska, R.T.; Breitkreutz, D.; Hornung, J.; Markham, A.; Fusenig, N.E. Normal Keratini-zation in a Spontaneously Immortalized Aneuploid Human Keratinocyte Cell Line. J. Cell Biol. 1988, 106, 761–771. [Google Scholar] [CrossRef]
- Kaczmarek, B.; Nadolna, K.; Owczarek, A.; Mazur, O.; Sionkowska, A.; Łukowicz, K.; Vishnu, J.; Manivasagam, G.; Osyczka, A.M. Properties of Scaffolds Based on Chitosan and Collagen with Bioglass 45S5. IET Nanobiotechnol. 2020, 14, 830–832. [Google Scholar] [CrossRef]
- Kaczmarek-Szczepańska, B.; D’Amora, U.; Zasada, L.; Michalska-Sionkowska, M.; Miłek, O.; Łukowicz, K.; Osyczka, A.M. Enhancing Thin Film Properties of Chitosan–Collagen Biocomposites Through Potassium Sil-icate and Tannic Acid Integration. Polymers 2025, 17, 608. [Google Scholar] [CrossRef]
- Łukowicz, K.; Zagrajczuk, B.; Wieczorek, J.; Millan-Ciesielska, K.; Polkowska, I.; Cholewa-Kowalska, K.; Osyczka, A.M. Molecular Indicators of Biomaterials Osteoinductivity—Cell Migration, BMP Production and Signalling Turns a Key. Stem Cell Rev. Rep. 2022, 18, 672–690. [Google Scholar] [CrossRef]
- Kaczmarek-Szczepańska, B.; Glajc, P.; Chmielniak, D.; Gwizdalska, K.; Swiontek Brzezinska, M.; Dembińska, K.; Shinde, A.H.; Gierszewska, M.; Łukowicz, K.; Basta-Kaim, A.; et al. Development and Characterization of Biocompatible Chitosan-Aloe Vera Films Functionalized with Gluconolactone and Sorbitol for Advanced Wound Healing Applications. ACS Appl. Mater. Interfaces 2025, 17, 15196–15207. [Google Scholar] [CrossRef]









| Reaction Parameters | ADA1 | ADA2 |
|---|---|---|
| Sodium periodate used for oxidation [g] | 1.62 | 1.45 |
| Sodium periodate used for oxidation [mmol] | 7.58 | 6.77 |
| Reaction yield [g] | 2.55 | 2.64 |
| Aldehyde groups content [mol CHO/mol alginate] | 0.843 | 0.787 |
| Wavenumber [cm−1] | Vibrational Mode | Functional Group | Observed Changes After ADA Addition |
|---|---|---|---|
| 3600–3000 | Stretching vibration | O–H, N–H (amide A) | Shift to higher wavenumbers; band broadening |
| ~3280–3190 | Stretching vibration | O–H/N–H | Composition-dependent peak shift |
| ~2877–2890 | Stretching vibration | C–H | Slight shift to higher wavenumbers |
| ~1630–1640 | Stretching vibration | C=O (amide I), C=N (imine), bound water | Band shape broadening; intensity changes |
| ~1555 | Bending vibration | N–H (amide II) | No significant shift |
| ~1406 | Stretching/bending | C–N/N–H (amide III) | No significant shift |
| ~1022–996 | Stretching vibration | C–O–C, C–O | Shift to lower wavenumbers |
| ~890–950 | Ring vibration | C–O–C | Minor intensity changes |
| Sample | Contact Angle [°] | IFT (s) [mJ/m2] | IFT (s,D) [mJ/m2] | IFT (s,P) [mJ/m2] | |
|---|---|---|---|---|---|
| Glycerol | Diiodomethane | ||||
| CTS | 53.75 ± 1.74 | 89.97 ± 1.08 | 42.99 ± 0.48 | 4.78 ± 0.10 | 38.22 ± 0.38 |
| CTS/ADA1 | 54.37 ± 1.89 ns | 86.22 ± 2.42 ns | 41.29 ± 0.80 | 6.16 ± 0.25 | 35.13 ± 0.55 |
| CTS/ADA2 | 53.90 ± 1.18 ns | 83.04 ± 2.19 ns | 40.94 ± 0.68 | 7.37 ± 0.25 | 33.57 ± 0.43 |
| 75CTS/25ST | 62.50 ± 2.60 | 72.26 ± 2.16 | 33.65 ± 0.79 | 13.61 ± 0.34 | 20.04 ± 0.45 |
| 75CTS/25ST/ADA1 | 51.40 ± 2.86 * | 76.63 ± 2.19 * | 41.86 ± 0.91 | 9.90 ± 0.30 | 31.96 ± 0.61 |
| 75CTS/25ST/ADA2 | 51.38 ± 1.48 * | 93.65 ± 1.79 * | 46.68 ± 0.60 | 3.46 ± 0.14 | 43.22 ± 0.46 |
| 50CTS/50ST | 59.87 ± 2.02 | 85.34 ± 1.54 | 36.32 ± 0.59 | 7.07 ± 0.18 | 29.25 ± 0.41 |
| 50CTS/50ST/ADA1 | 53.82 ± 1.73 ns | 86.53 ± 2.79 ns | 41.87 ± 0.88 | 5.99 ± 0.29 | 35.87 ± 0.59 |
| 50CTS/50ST/ADA2 | 57.92 ± 2.17 ns | 93.37 ± 2.30 * | 40.22 ± 0.77 | 4.04 ± 0.20 | 36.18 ± 0.57 |
| 25CTS/75ST | 55.12 ± 2.31 | 90.14 ± 2.86 | 41.77 ± 0.94 | 4.84 ± 0.27 | 36.94 ± 0.67 |
| 25CTS/75ST/ADA1 | 58.76 ± 2.69 ns | 88.00 ± 2.47 ns | 37.85 ± 0.87 | 5.93 ± 0.26 | 31.93 ± 0.62 |
| 25CTS/75ST/ADA2 | 55.34 ± 1.87 ns | 82.90 ± 2.71 * | 39.69 ± 0.87 | 7.58 ± 0.31 | 32.11 ± 0.56 |
| Sample | Moisture Content [mg/100 g of Dry Sample] | Hemolysis Rate [%] |
|---|---|---|
| CTS | 9.07 ± 0.21 | 0.08 ± 0.04 |
| CTS/ADA1 | 6.87 ± 0.50 * | 0.68 ± 0.05 # |
| CTS/ADA2 | 5.43 ± 0.74 * | 0.59 ± 0.05 # |
| 75CTS/25ST | 1.67 ± 0.40 | 1.15 ± 0.06 # |
| 75CTS/25ST/ADA1 | 2.23 ± 0.15 ns | 0.83 ± 0.22 # |
| 75CTS/25ST/ADA2 | 2.13 ± 0.15 ns | 0.88 ± 0.06 # |
| 50CTS/50ST | 2.57 ± 0.38 | 0.85 ± 0.02 # |
| 50CTS/50ST/ADA1 | 3.13 ± 0.15 ns | 0.64 ± 0.18 # |
| 50CTS/50ST/ADA2 | 2.23 ± 0.06 ns | 0.71 ± 0.27 # |
| 25CTS/75ST | 3.53 ± 0.55 | 1.40 ± 0.22 # |
| 25CTS/75ST/ADA1 | 2.23 ± 0.06 * | 0.00 |
| 25CTS/75ST/ADA2 | 1.97 ± 0.47 * | 0.00 |
Disclaimer/Publisher’s Note: The statements, opinions and data contained in all publications are solely those of the individual author(s) and contributor(s) and not of MDPI and/or the editor(s). MDPI and/or the editor(s) disclaim responsibility for any injury to people or property resulting from any ideas, methods, instructions or products referred to in the content. |
© 2026 by the authors. Licensee MDPI, Basel, Switzerland. This article is an open access article distributed under the terms and conditions of the Creative Commons Attribution (CC BY) license.
Share and Cite
Grabska-Zielińska, S.; Pietrzak, M.; Zasada, L.; Łukowicz, K.; Basta-Kaim, A.; Michalska-Sionkowska, M.; Wekwejt, M.; Kaczmarek-Szczepańska, B. Dialdehyde Alginate as a Crosslinker for Chitosan/Starch Films: Toward Biocompatible and Antioxidant Wound Dressing Materials. Int. J. Mol. Sci. 2026, 27, 1174. https://doi.org/10.3390/ijms27031174
Grabska-Zielińska S, Pietrzak M, Zasada L, Łukowicz K, Basta-Kaim A, Michalska-Sionkowska M, Wekwejt M, Kaczmarek-Szczepańska B. Dialdehyde Alginate as a Crosslinker for Chitosan/Starch Films: Toward Biocompatible and Antioxidant Wound Dressing Materials. International Journal of Molecular Sciences. 2026; 27(3):1174. https://doi.org/10.3390/ijms27031174
Chicago/Turabian StyleGrabska-Zielińska, Sylwia, Marek Pietrzak, Lidia Zasada, Krzysztof Łukowicz, Agnieszka Basta-Kaim, Marta Michalska-Sionkowska, Marcin Wekwejt, and Beata Kaczmarek-Szczepańska. 2026. "Dialdehyde Alginate as a Crosslinker for Chitosan/Starch Films: Toward Biocompatible and Antioxidant Wound Dressing Materials" International Journal of Molecular Sciences 27, no. 3: 1174. https://doi.org/10.3390/ijms27031174
APA StyleGrabska-Zielińska, S., Pietrzak, M., Zasada, L., Łukowicz, K., Basta-Kaim, A., Michalska-Sionkowska, M., Wekwejt, M., & Kaczmarek-Szczepańska, B. (2026). Dialdehyde Alginate as a Crosslinker for Chitosan/Starch Films: Toward Biocompatible and Antioxidant Wound Dressing Materials. International Journal of Molecular Sciences, 27(3), 1174. https://doi.org/10.3390/ijms27031174

