Donor- and Acceptor-Side Protection Against Photosystem I Photoinhibition in Arabidopsis thaliana
Abstract
1. Introduction
2. Results
2.1. Comparison of FL and rSP Effects on PI(I) in Arabidopsis WT and Mutants Lacking a Functional PGR5 Protein
2.2. Photosynthetic Control as a Protective Mechanism
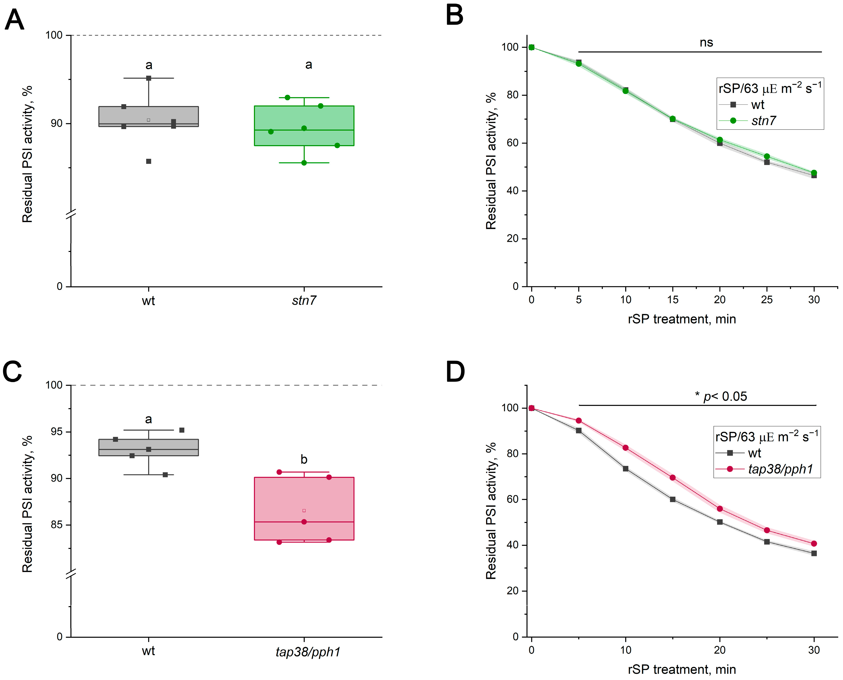
2.3. STN7 Kinase and TAP38/PPH1 Phosphatase Mutants Under FL and rSPs
3. Discussion
3.1. Mechanistic Distinction Between FL and rSPs
3.2. Warning on the Risks Associated with the Application of Saturating Pulses
3.3. Mechanisms Mitigating PSI Photoinhibition
3.4. Donor-Side Photodamage of PSI
4. Methods
4.1. Plant Material
4.2. Photosystem I Photoinhibitory Treatments
4.3. Photosystem I Activity Measurement
4.4. Electrochromic Shift (ECS) Measurement
4.5. Statistical Analysis
5. Conclusions
Supplementary Materials
Funding
Institutional Review Board Statement
Informed Consent Statement
Data Availability Statement
Acknowledgments
Conflicts of Interest
Abbreviations
References
- Tikkanen, M.; Mekala, N.R.; Aro, E.-M. Photosystem II Photoinhibition-Repair Cycle Protects Photosystem I from Irreversible Damage. Biochim. Biophys. Acta BBA Bioenerg. 2014, 1837, 210–215. [Google Scholar] [CrossRef]
- Messant, M.; Hani, U.; Lai, T.-L.; Wilson, A.; Shimakawa, G.; Krieger-Liszkay, A. Plastid Terminal Oxidase (PTOX) Protects Photosystem I and Not Photosystem II against Photoinhibition in Arabidopsis Thaliana and Marchantia Polymorpha. Plant J. 2024, 117, 669–678. [Google Scholar] [CrossRef] [PubMed]
- Takeuchi, K.; Harimoto, S.; Maekawa, S.; Miyake, C.; Ifuku, K. PSII Photoinhibition as a Protective Strategy: Maintaining an Oxidative State of PSI by Suppressing PSII Activity Under Environmental Stress. Physiol. Plant. 2025, 177, e70392. [Google Scholar] [CrossRef]
- Zivcak, M.; Brestic, M.; Kunderlikova, K.; Sytar, O.; Allakhverdiev, S.I. Repetitive Light Pulse-Induced Photoinhibition of Photosystem I Severely Affects CO2 Assimilation and Photoprotection in Wheat Leaves. Photosynth. Res. 2015, 126, 449–463. [Google Scholar] [CrossRef]
- Lima-Melo, Y.; Kılıç, M.; Aro, E.-M.; Gollan, P.J. Photosystem I Inhibition, Protection and Signalling: Knowns and Unknowns. Front. Plant Sci. 2021, 12, 791124. [Google Scholar] [CrossRef]
- Lempiäinen, T.; Rintamäki, E.; Aro, E.-M.; Tikkanen, M. Plants Acclimate to Photosystem I Photoinhibition by Readjusting the Photosynthetic Machinery. Plant Cell Environ. 2022, 45, 2954–2971. [Google Scholar] [CrossRef] [PubMed]
- Terashima, I.; Funayama, S.; Sonoike, K. The Site of Photoinhibition in Leaves of Cucumis sativus L. at Low Temperatures Is Photosystem I, Not Photosystem II. Planta 1994, 193, 300–306. [Google Scholar] [CrossRef]
- Tikkanen, M.; Grieco, M.; Kangasjärvi, S.; Aro, E.-M. Thylakoid Protein Phosphorylation in Higher Plant Chloroplasts Optimizes Electron Transfer under Fluctuating Light. Plant Physiol. 2010, 152, 723–735. [Google Scholar] [CrossRef]
- Munekage, Y.; Hojo, M.; Meurer, J.; Endo, T.; Tasaka, M.; Shikanai, T. PGR5 Is Involved in Cyclic Electron Flow around Photosystem I and Is Essential for Photoprotection in Arabidopsis. Cell 2002, 110, 361–371. [Google Scholar] [CrossRef]
- Nandha, B.; Finazzi, G.; Joliot, P.; Hald, S.; Johnson, G.N. The Role of PGR5 in the Redox Poising of Photosynthetic Electron Transport. Biochim. Biophys. Acta BBA Bioenerg. 2007, 1767, 1252–1259. [Google Scholar] [CrossRef]
- Suorsa, M.; Järvi, S.; Grieco, M.; Nurmi, M.; Pietrzykowska, M.; Rantala, M.; Kangasjärvi, S.; Paakkarinen, V.; Tikkanen, M.; Jansson, S.; et al. PROTON GRADIENT REGULATION5 Is Essential for Proper Acclimation of Arabidopsis Photosystem I to Naturally and Artificially Fluctuating Light Conditions. Plant Cell 2012, 24, 2934–2948. [Google Scholar] [CrossRef] [PubMed]
- Sejima, T.; Takagi, D.; Fukayama, H.; Makino, A.; Miyake, C. Repetitive Short-Pulse Light Mainly Inactivates Photosystem I in Sunflower Leaves. Plant Cell Physiol. 2014, 55, 1184–1193. [Google Scholar] [CrossRef] [PubMed]
- Kono, M.; Terashima, I. Elucidation of Photoprotective Mechanisms of PSI Against Fluctuating Light Photoinhibition. Plant Cell Physiol. 2016, 57, 1405–1414. [Google Scholar] [CrossRef]
- Yamamoto, H.; Shikanai, T. PGR5-Dependent Cyclic Electron Flow Protects Photosystem I under Fluctuating Light at Donor and Acceptor Sides. Plant Physiol. 2019, 179, 588–600. [Google Scholar] [CrossRef]
- Sonoike, K.; Terashima, I.; Iwaki, M.; Itoh, S. Destruction of Photosystem I Iron-Sulfur Centers in Leaves of Cucumis sativus L. by Weak Illumination at Chilling Temperatures. FEBS Lett. 1995, 362, 235–238. [Google Scholar] [CrossRef]
- Tiwari, A.; Mamedov, F.; Grieco, M.; Suorsa, M.; Jajoo, A.; Styring, S.; Tikkanen, M.; Aro, E.-M. Photodamage of Iron–Sulphur Clusters in Photosystem I Induces Non-Photochemical Energy Dissipation. Nat. Plants 2016, 2, 16035. [Google Scholar] [CrossRef]
- Shimakawa, G.; Müller, P.; Miyake, C.; Krieger-Liszkay, A.; Sétif, P. Photo-Oxidative Damage of Photosystem I by Repetitive Flashes and Chilling Stress in Cucumber Leaves. Biochim. Biophys. Acta BBA Bioenerg. 2024, 1865, 149490. [Google Scholar] [CrossRef]
- Tiwari, A.; Mamedov, F.; Fitzpatrick, D.; Gunell, S.; Tikkanen, M.; Aro, E.-M. Differential FeS Cluster Photodamage Plays a Critical Role in Regulating Excess Electron Flow through Photosystem I. Nat. Plants 2024, 10, 1592–1603. [Google Scholar] [CrossRef]
- Kono, M.; Yamori, W.; Suzuki, Y.; Terashima, I. Photoprotection of PSI by Far-Red Light Against the Fluctuating Light-Induced Photoinhibition in Arabidopsis Thaliana and Field-Grown Plants. Plant Cell Physiol 2017, 58, 35–45. [Google Scholar] [CrossRef]
- Tan, S.-L.; Huang, J.-L.; Zhang, F.-P.; Zhang, S.-B.; Huang, W. Photosystem I Photoinhibition Induced by Fluctuating Light Depends on Background Low Light Irradiance. Environ. Exp. Bot. 2021, 181, 104298. [Google Scholar] [CrossRef]
- Takagi, D.; Amako, K.; Hashiguchi, M.; Fukaki, H.; Ishizaki, K.; Goh, T.; Fukao, Y.; Sano, R.; Kurata, T.; Demura, T.; et al. Chloroplastic ATP Synthase Builds up a Proton Motive Force Preventing Production of Reactive Oxygen Species in Photosystem I. Plant J. 2017, 91, 306–324. [Google Scholar] [CrossRef] [PubMed]
- Wada, S.; Suzuki, Y.; Takagi, D.; Miyake, C.; Makino, A. Effects of Genetic Manipulation of the Activity of Photorespiration on the Redox State of Photosystem I and Its Robustness against Excess Light Stress under CO2-Limited Conditions in Rice. Photosynth. Res. 2018, 137, 431–441. [Google Scholar] [CrossRef]
- Penzler, J.-F.; Marino, G.; Reiter, B.; Kleine, T.; Naranjo, B.; Leister, D. Commonalities and Specialties in Photosynthetic Functions of PROTON GRADIENT REGULATION5 Variants in Arabidopsis. Plant Physiol. 2022, 190, 1866–1882. [Google Scholar] [CrossRef] [PubMed]
- Wada, S.; Amako, K.; Miyake, C. Identification of a Novel Mutation Exacerbated the PSI Photoinhibition in Pgr5/Pgrl1 Mutants; Caution for Overestimation of the Phenotypes in Arabidopsis Pgr5-1 Mutant. Cells 2021, 10, 2884. [Google Scholar] [CrossRef]
- Rühle, T.; Dann, M.; Reiter, B.; Schünemann, D.; Naranjo, B.; Penzler, J.-F.; Kleine, T.; Leister, D. PGRL2 Triggers Degradation of PGR5 in the Absence of PGRL1. Nat. Commun. 2021, 12, 3941. [Google Scholar] [CrossRef]
- DalCorso, G.; Pesaresi, P.; Masiero, S.; Aseeva, E.; Schünemann, D.; Finazzi, G.; Joliot, P.; Barbato, R.; Leister, D. A Complex Containing PGRL1 and PGR5 Is Involved in the Switch between Linear and Cyclic Electron Flow in Arabidopsis. Cell 2008, 132, 273–285. [Google Scholar] [CrossRef]
- Furutani, R.; Wada, S.; Ifuku, K.; Maekawa, S.; Miyake, C. Higher Reduced State of Fe/S-Signals, with the Suppressed Oxidation of P700, Causes PSI Inactivation in Arabidopsis Thaliana. Antioxidants 2023, 12, 21. [Google Scholar] [CrossRef]
- Shimakawa, G.; Miyake, C. Oxidation of P700 Ensures Robust Photosynthesis. Front. Plant Sci. 2018, 9, 1617. [Google Scholar] [CrossRef]
- Kono, M.; Oguchi, R.; Terashima, I. Photoinhibition of PSI and PSII in Nature and in the Laboratory: Ecological Approaches. In Progress in Botany; Lüttge, U., Cánovas, F.M., Risueño, M.-C., Leuschner, C., Pretzsch, H., Eds.; Springer Nature: Cham, Switzerland, 2022; Volume 84, pp. 241–292. ISBN 978-3-031-45754-8. [Google Scholar]
- Tikhonov, A.N. pH-Dependent Regulation of Electron Transport and ATP Synthesis in Chloroplasts. Photosynth. Res. 2013, 116, 511–534. [Google Scholar] [CrossRef]
- Munekage, Y.; Takeda, S.; Endo, T.; Jahns, P.; Hashimoto, T.; Shikanai, T. Cytochrome B6f Mutation Specifically Affects Thermal Dissipation of Absorbed Light Energy in Arabidopsis. Plant J. 2001, 28, 351–359. [Google Scholar] [CrossRef] [PubMed]
- Jahns, P.; Graf, M.; Munekage, Y.; Shikanai, T. Single Point Mutation in the Rieske Iron-Sulfur Subunit of Cytochrome B6/f Leads to an Altered pH Dependence of Plastoquinol Oxidation in Arabidopsis. FEBS Lett. 2002, 519, 99–102. [Google Scholar] [CrossRef]
- Finazzi, G.; Minagawa, J.; Johnson, G.N. The Cytochrome B6f Complex: A Regulatory Hub Controlling Electron Flow and the Dynamics of Photosynthesis? In Cytochrome Complexes: Evolution, Structures, Energy Transduction, and Signaling; Cramer, W.A., Kallas, T., Eds.; Advances in Photosynthesis and Respiration; Springer: Dordrecht, The Netherlands, 2016; pp. 437–452. ISBN 978-94-017-7481-9. [Google Scholar]
- Tikhonov, A.N. The Cytochrome B6f Complex: Biophysical Aspects of Its Functioning in Chloroplasts. In Membrane Protein Complexes: Structure and Function; Harris, J.R., Boekema, E.J., Eds.; Subcellular Biochemistry; Springer: Singapore, 2018; pp. 287–328. ISBN 978-981-10-7757-9. [Google Scholar]
- Vilyanen, D.V.; Kozuleva, M.A. Photosynthetic Control and Its Role in Protection of Photosystem I against Photoinhibition. Biochem. Mosc. 2025, 90, 840–859. [Google Scholar] [CrossRef] [PubMed]
- Grieco, M.; Tikkanen, M.; Paakkarinen, V.; Kangasjärvi, S.; Aro, E.-M. Steady-State Phosphorylation of Light-Harvesting Complex II Proteins Preserves Photosystem I under Fluctuating White Light. Plant Physiol. 2012, 160, 1896–1910. [Google Scholar] [CrossRef]
- Vener, A.V.; van Kan, P.J.M.; Rich, P.R.; Ohad, I.; Andersson, B. Plastoquinol at the Quinol Oxidation Site of Reduced Cytochrome Bf Mediates Signal Transduction between Light and Protein Phosphorylation: Thylakoid Protein Kinase Deactivation by a Single-Turnover Flash. Proc. Natl. Acad. Sci. USA 1997, 94, 1585–1590. [Google Scholar] [CrossRef]
- Bellafiore, S.; Barneche, F.; Peltier, G.; Rochaix, J.-D. State Transitions and Light Adaptation Require Chloroplast Thylakoid Protein Kinase STN7. Nature 2005, 433, 892–895. [Google Scholar] [CrossRef] [PubMed]
- Pesaresi, P.; Pribil, M.; Wunder, T.; Leister, D. Dynamics of Reversible Protein Phosphorylation in Thylakoids of Flowering Plants: The Roles of STN7, STN8 and TAP38. Biochim. Biophys. Acta BBA Bioenerg. 2011, 1807, 887–896. [Google Scholar] [CrossRef]
- Lee, S.; Park, J.; Back, S.; Poudyal, R.S.; Mun, D.-G.; Bae, J.; Gwak, N.; Lee, S.-W.; Hwang, D.; Kim, Y. Identification of STN7-Associated Leaf Senescence Networks in Thylakoid Membranes of Arabidopsis. iScience 2025, 28, 112557. [Google Scholar] [CrossRef]
- Pribil, M.; Pesaresi, P.; Hertle, A.; Barbato, R.; Leister, D. Role of Plastid Protein Phosphatase TAP38 in LHCII Dephosphorylation and Thylakoid Electron Flow. PLoS Biol. 2010, 8, e1000288. [Google Scholar] [CrossRef]
- Shapiguzov, A.; Ingelsson, B.; Samol, I.; Andres, C.; Kessler, F.; Rochaix, J.-D.; Vener, A.V.; Goldschmidt-Clermont, M. The PPH1 Phosphatase Is Specifically Involved in LHCII Dephosphorylation and State Transitions in Arabidopsis. Proc. Natl. Acad. Sci. USA 2010, 107, 4782–4787. [Google Scholar] [CrossRef]
- Hepworth, C.; Wood, W.H.J.; Emrich-Mills, T.Z.; Proctor, M.S.; Casson, S.; Johnson, M.P. Dynamic Thylakoid Stacking and State Transitions Work Synergistically to Avoid Acceptor-Side Limitation of Photosystem I. Nat. Plants 2021, 7, 87–98, Correction in Nat. Plants 2021, 7, 238. [Google Scholar] [CrossRef] [PubMed]
- Vetoshkina, D.V.; Kozuleva, M.A.; Proskuryakov, I.I.; Terentyev, V.V.; Berezhnov, A.V.; Naydov, I.A.; Ivanov, B.N.; Klenina, I.B.; Borisova-Mubarakshina, M.M. Dependence of State Transitions on Illumination Time in Arabidopsis and Barley Plants. Protoplasma 2024, 261, 65–75. [Google Scholar] [CrossRef]
- Tikkanen, M.; Grebe, S. Switching off Photoprotection of Photosystem I—A Novel Tool for Gradual PSI Photoinhibition. Physiol. Plant. 2018, 162, 156–161. [Google Scholar] [CrossRef]
- Sonoike, K.; Kamo, M.; Hihara, Y.; Hiyama, T.; Enami, I. The Mechanism of the Degradation of psaB Gene Product, One of the Photosynthetic Reaction Center Subunits of Photosystem I, upon Photoinhibition. Photosynth. Res. 1997, 53, 55–63. [Google Scholar] [CrossRef]
- Sonoike, K. Degradation of psaB Gene Product, the Reaction Center Subunit of Photosystem I, Is Caused during Photoinhibition of Photosystem I: Possible Involvement of Active Oxygen Species. Plant Sci. 1996, 115, 157–164. [Google Scholar] [CrossRef]
- Šnyrychová, I.; Pospíšil, P.; Nauš, J. Reaction Pathways Involved in the Production of Hydroxyl Radicals in Thylakoid Membrane: EPR Spin-Trapping Study. Photochem. Photobiol. Sci. 2006, 5, 472–476. [Google Scholar] [CrossRef] [PubMed]
- Sonoike, K. Photoinhibition of Photosystem I. Physiol. Plant. 2011, 142, 56–64. [Google Scholar] [CrossRef]
- Shi, Q.; Sun, H.; Timm, S.; Zhang, S.; Huang, W. Photorespiration Alleviates Photoinhibition of Photosystem I under Fluctuating Light in Tomato. Plants 2022, 11, 195. [Google Scholar] [CrossRef] [PubMed]
- Tan, S.-L.; Huang, X.; Li, W.-Q.; Zhang, S.-B.; Huang, W. Elevated CO2 Concentration Alters Photosynthetic Performances under Fluctuating Light in Arabidopsis Thaliana. Cells 2021, 10, 2329. [Google Scholar] [CrossRef]
- Rudenko, N.N.; Ignatova, L.K.; Naydov, I.A.; Novichkova, N.S.; Ivanov, B.N. Effect of CO2 Content in Air on the Activity of Carbonic Anhydrases in Cytoplasm, Chloroplasts, and Mitochondria and the Expression Level of Carbonic Anhydrase Genes of the α- and β-Families in Arabidopsis Thaliana Leaves. Plants 2022, 11, 2113. [Google Scholar] [CrossRef]
- Allen, J.F. Photosynthesis of ATP—Electrons, Proton Pumps, Rotors, and Poise. Cell 2002, 110, 273–276. [Google Scholar] [CrossRef]
- Shikanai, T. Molecular Genetic Dissection of the Regulatory Network of Proton Motive Force in Chloroplasts. Plant Cell Physiol. 2024, 65, 537–550. [Google Scholar] [CrossRef]
- Tikkanen, M.; Aro, E.-M. Interacting Short-Term Regulatory Mechanisms Enable the Conversion of Light Energy to Chemical Energy in Photosynthesis. J. Exp. Bot. 2025, eraf451. [Google Scholar] [CrossRef]
- Degen, G.E.; Pastorelli, F.; Johnson, M.P. Proton Gradient Regulation 5 Is Required to Avoid Photosynthetic Oscillations during Light Transitions. J. Exp. Bot. 2024, 75, 947–961. [Google Scholar] [CrossRef]
- Wójtowicz, J.; Mazur, R.; Jakubauskas, D.; Sokolova, A.; Garvey, C.; Mortensen, K.; Jensen, P.E.; Kirkensgaard, J.J.K.; Kowalewska, Ł. Shrink or Expand? Just Relax! Bidirectional Grana Structural Dynamics as Early Light-Induced Regulator of Photosynthesis. New Phytol. 2025, 246, 2580–2596. [Google Scholar] [CrossRef] [PubMed]
- Pesaresi, P.; Hertle, A.; Pribil, M.; Kleine, T.; Wagner, R.; Strissel, H.; Ihnatowicz, A.; Bonardi, V.; Scharfenberg, M.; Schneider, A.; et al. Arabidopsis STN7 Kinase Provides a Link between Short- and Long-Term Photosynthetic Acclimation. Plant Cell 2009, 21, 2402–2423. [Google Scholar] [CrossRef] [PubMed]
- Vetoshkina, D.V.; Borisova-Mubarakshina, M.M. Reversible Protein Phosphorylation in Higher Plants: Focus on State Transitions. Biophys. Rev. 2023, 15, 1079–1093. [Google Scholar] [CrossRef] [PubMed]
- Kılıç, M.; Käpylä, V.; Gollan, P.J.; Aro, E.-M.; Rintamäki, E. PSI Photoinhibition and Changing CO2 Levels Initiate Retrograde Signals to Modify Nuclear Gene Expression. Antioxidants 2023, 12, 1902. [Google Scholar] [CrossRef]
- Schansker, G. Determining Photosynthetic Control, a Probe for the Balance between Electron Transport and Calvin–Benson Cycle Activity, with the DUAL-KLAS-NIR. Photosynth. Res. 2022, 153, 191–204. [Google Scholar] [CrossRef]
- Yokono, M.; Ueno, Y.; Akimoto, S. Modification of Energy Distribution Between Photosystems I and II by Spillover Revealed by Time-Resolved Fluorescence Spectroscopy. In Photosynthesis: Molecular Approaches to Solar Energy Conversion; Shen, J.-R., Satoh, K., Allakhverdiev, S.I., Eds.; Springer International Publishing: Cham, Switzerland, 2021; pp. 277–302. ISBN 978-3-030-67407-6. [Google Scholar]
- Terashima, I.; Matsuo, M.; Suzuki, Y.; Yamori, W.; Kono, M. Photosystem I in Low Light-Grown Leaves of Alocasia Odora, a Shade-Tolerant Plant, Is Resistant to Fluctuating Light-Induced Photoinhibition. Photosynth. Res. 2021, 149, 69–82. [Google Scholar] [CrossRef]
- Rutherford, A.W.; Osyczka, A.; Rappaport, F. Back-Reactions, Short-Circuits, Leaks and Other Energy Wasteful Reactions in Biological Electron Transfer: Redox Tuning to Survive Life in O2. FEBS Lett. 2012, 586, 603–616. [Google Scholar] [CrossRef]
- Takagi, D.; Takumi, S.; Hashiguchi, M.; Sejima, T.; Miyake, C. Superoxide and Singlet Oxygen Produced within the Thylakoid Membranes Both Cause Photosystem I Photoinhibition. Plant Physiol. 2016, 171, 1626–1634. [Google Scholar] [CrossRef] [PubMed]
- Kozuleva, M.; Petrova, A.; Milrad, Y.; Semenov, A.; Ivanov, B.; Redding, K.E.; Yacoby, I. Phylloquinone Is the Principal Mehler Reaction Site within Photosystem I in High Light. Plant Physiol. 2021, 186, 1848–1858. [Google Scholar] [CrossRef] [PubMed]
- Zhou, Q.; Yamamoto, H.; Shikanai, T. Distinct Contribution of Two Cyclic Electron Transport Pathways to P700 Oxidation. Plant Physiol. 2022, 192, 326–341. [Google Scholar] [CrossRef]
- Rodriguez-Heredia, M.; Saccon, F.; Wilson, S.; Finazzi, G.; Ruban, A.V.; Hanke, G.T. Protection of Photosystem I during Sudden Light Stress Depends on Ferredoxin:NADP(H) Reductase Abundance and Interactions. Plant Physiol. 2022, 188, 1028–1042. [Google Scholar] [CrossRef] [PubMed]







Disclaimer/Publisher’s Note: The statements, opinions and data contained in all publications are solely those of the individual author(s) and contributor(s) and not of MDPI and/or the editor(s). MDPI and/or the editor(s) disclaim responsibility for any injury to people or property resulting from any ideas, methods, instructions or products referred to in the content. |
© 2025 by the author. Licensee MDPI, Basel, Switzerland. This article is an open access article distributed under the terms and conditions of the Creative Commons Attribution (CC BY) license.
Share and Cite
Kozuleva, M. Donor- and Acceptor-Side Protection Against Photosystem I Photoinhibition in Arabidopsis thaliana. Int. J. Mol. Sci. 2026, 27, 9. https://doi.org/10.3390/ijms27010009
Kozuleva M. Donor- and Acceptor-Side Protection Against Photosystem I Photoinhibition in Arabidopsis thaliana. International Journal of Molecular Sciences. 2026; 27(1):9. https://doi.org/10.3390/ijms27010009
Chicago/Turabian StyleKozuleva, Marina. 2026. "Donor- and Acceptor-Side Protection Against Photosystem I Photoinhibition in Arabidopsis thaliana" International Journal of Molecular Sciences 27, no. 1: 9. https://doi.org/10.3390/ijms27010009
APA StyleKozuleva, M. (2026). Donor- and Acceptor-Side Protection Against Photosystem I Photoinhibition in Arabidopsis thaliana. International Journal of Molecular Sciences, 27(1), 9. https://doi.org/10.3390/ijms27010009

