Molecular Mechanisms of Aspartame-Induced Kidney Renal Papillary Cell Carcinoma Revealed by Network Toxicology and Molecular Docking Techniques
Abstract
1. Introduction
2. Results
2.1. Screening for Differentially Expressed Genes
2.2. Analysis of Intersecting Target Genes of Aspartame and KIRP
2.3. GO and KEGG Pathway Enrichment Analysis of Intersecting Target Genes
2.4. Construction and Analysis of PPI Networks
2.5. Cox Regression Analysis and Risk Modeling
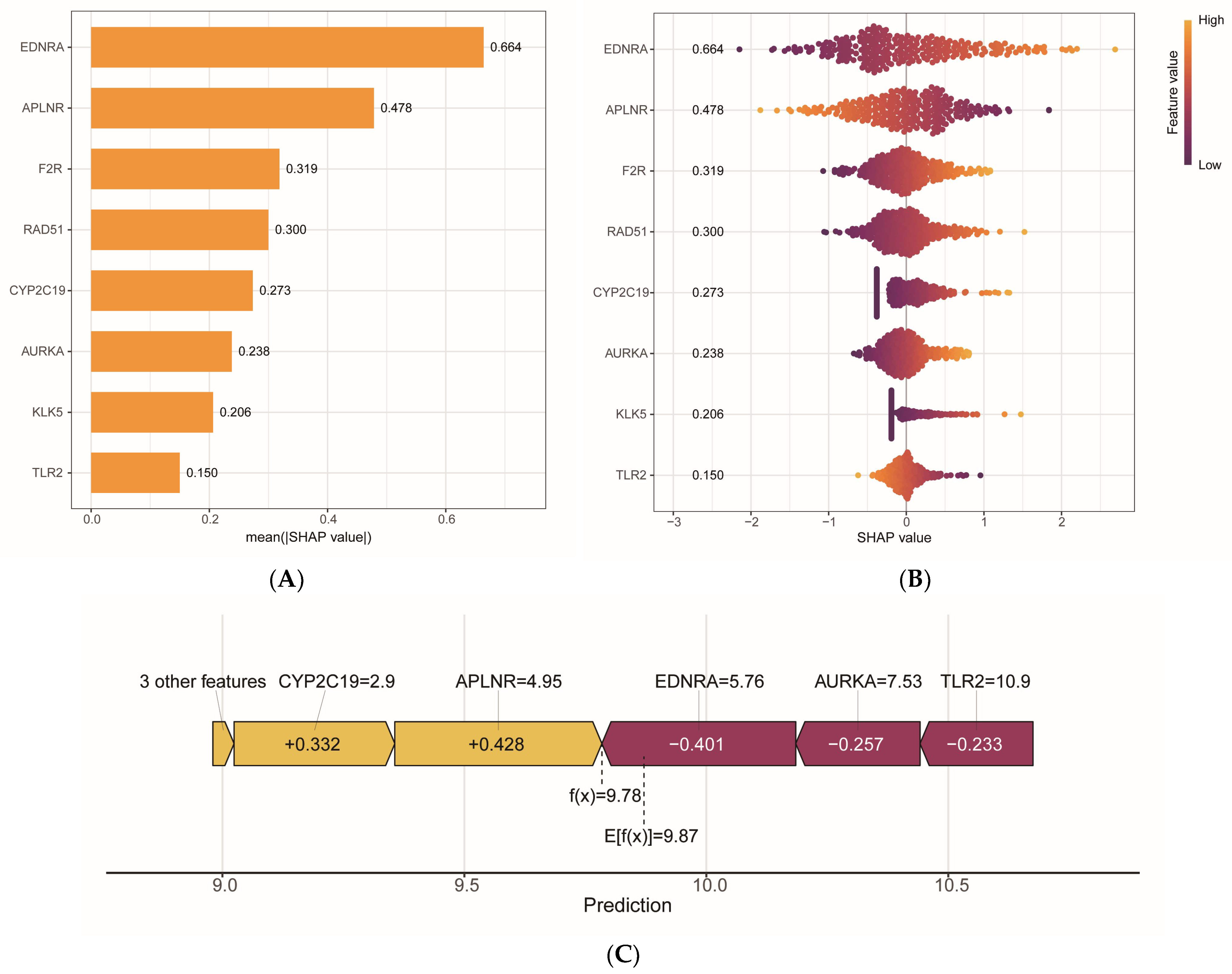
2.6. Explanatory Analysis of SHAP-Based Risk Models
2.7. Survival Analysis of Risk Models
2.8. Internal Validation of the Risk Model
2.9. Molecular Docking Results
3. Discussion
4. Materials and Methods
4.1. Collection and Analysis of KIRP-Related Data in the TCGA Database
4.2. Target Screening for Aspartame and KIRP
4.3. Screening of Target Genes for the Intersection of Aspartame and KIRP
4.4. GO and KEGG Enrichment Analysis of Intersecting Target Genes
4.5. PPI Network Construction and Analysis
4.6. Cox Regression Analysis and Prognostic Risk Modeling
4.7. Risk Model Interpretability Analysis (SHAP)
4.8. Risk Model Survival Analysis and Effectiveness Assessment
4.9. Internal Validation
4.10. Molecular Docking Validation
5. Conclusions
Supplementary Materials
Author Contributions
Funding
Institutional Review Board Statement
Informed Consent Statement
Data Availability Statement
Conflicts of Interest
Appendix A. Complete Heatmap of Differentially Expressed Genes

References
- Pat, Y.; Yazici, D.; Zeyneloglu, C.; Babayev, H.; Ardicli, S.; Garci-Sanchez, A.; Bu, X.; Heider, A.; Viscardi, O.G.; Chang, L.; et al. Cellular Stress, Inflammation and Barrier Damage in Gut Epithelial Cells Caused by Aspartame. Allergy 2025, 0, 1–18. [Google Scholar] [CrossRef]
- Kossiva, L.; Kakleas, K.; Christodouli, F.; Soldatou, A.; Karanasios, S.; Karavanaki, K. Chronic Use of Artificial Sweeteners: Pros and Cons. Nutrients 2024, 16, 3162. [Google Scholar] [CrossRef]
- Doueihy, N.E.; Ghaleb, J.; Kfoury, K.; Khouzami, K.K.; Nassif, N.; Attieh, P.; Ghadieh, H.E.; Azar, S.; Kanaan, A.; Harb, F. Aspartame and Human Health: A Mini-Review of Carcinogenic and Systemic Effects. J. Xenobiotics 2025, 15, 114. [Google Scholar] [CrossRef]
- Riboli, E.; Beland, F.A.; Lachenmeier, D.W.; Marques, M.M.; Phillips, D.H.; Schernhammer, E.; Afghan, A.; Assunção, R.; Caderni, G.; Corton, J.C.; et al. Carcinogenicity of aspartame, methyleugenol, and isoeugenol. Lancet Oncol. 2023, 24, 848–850. [Google Scholar] [CrossRef]
- IARC Monographs on the Identification of Carcinogenic Hazards to Humans. Aspartame, Methyleugenol, and Isoeugenol. International Agency for Research on Cancer © International Agency for Research on Cancer. 2024. Available online: https://www.ncbi.nlm.nih.gov/books/NBK609292/ (accessed on 29 July 2025).
- Marchitti, S.A.; Boon, D.; Jack, M.; Goodman, J.E. Lack of Genotoxic and Carcinogenic Potential for Nonsugar Sweeteners: A Review of Animal and Mechanistic Evidence. Adv. Nutr. 2025, 16, 100552. [Google Scholar] [CrossRef]
- Bahadoram, S.; Davoodi, M.; Hassanzadeh, S.; Bahadoram, M.; Barahman, M.; Mafakher, L. Renal cell carcinoma: An overview of the epidemiology, diagnosis, and treatment. G. Ital. Nefrol. 2022, 39, 2022. [Google Scholar] [PubMed]
- Zhai, K.; Dong, Z.; Geng, B.; Li, Q.; Liu, Z.; Wang, D.; Chen, H.; Cui, Y. Identification of biomarkers for renal cell carcinoma in plasma samples measured using liquid chromatography-mass spectrometry and gas chromatography-mass spectrometry. Sci. Rep. 2025, 15, 33509. [Google Scholar] [CrossRef] [PubMed]
- Kessler, C.; von Brandenstein, M.; Klümper, N.; Krausewitz, P.; Storz, E.; Rieger, C.; Sperber, L.; Paffenholz, P.; Tolkach, Y.; Wirtz, R.; et al. TROP-2 overexpression in papillary renal cell carcinoma supports its potential as a therapeutic target for antibody-drug-conjugate therapy. World J. Urol. 2025, 43, 522. [Google Scholar] [CrossRef] [PubMed]
- Motzer, R.J.; Jonasch, E.; Agarwal, N.; Alva, A.; Bagshaw, H.; Baine, M.; Beckermann, K.; Carlo, M.I.; Choueiri, T.K.; Costello, B.A.; et al. NCCN Guidelines® Insights: Kidney Cancer, Version 2.2024. J. Natl. Compr. Cancer Netw. 2024, 22, 4–16. [Google Scholar] [CrossRef] [PubMed]
- Tung, I.; Sahu, A. Immune Checkpoint Inhibitor in First-Line Treatment of Metastatic Renal Cell Carcinoma: A Review of Current Evidence and Future Directions. Front. Oncol. 2021, 11, 707214. [Google Scholar] [CrossRef]
- Chow, W.H.; Dong, L.M.; Devesa, S.S. Epidemiology and risk factors for kidney cancer. Nat. Rev. Urol. 2010, 7, 245–257. [Google Scholar] [CrossRef] [PubMed]
- Landrigan, P.J.; Straif, K. Aspartame and cancer—New evidence for causation. Environ. Health 2021, 20, 42. [Google Scholar] [CrossRef] [PubMed]
- Pan, Y.; Cai, H.; Ran, Y.; Qiu, H.; Huang, Z.; Wu, D.; Zhang, W.; Zhang, N.; Cheng, L.; Long, J.; et al. Revealing 1,3-diphenylpropane’s coagulation toxicity via infomaxnet-based network toxicology and molecular simulations. Ecotoxicol. Environ. Saf. 2025, 303, 118834. [Google Scholar] [CrossRef]
- Paggi, J.M.; Pandit, A.; Dror, R.O. The Art and Science of Molecular Docking. Annu. Rev. Biochem. 2024, 93, 389–410. [Google Scholar] [CrossRef]
- Soffritti, M. Understanding the link between aspartame and cancer. Expert Rev. Anticancer. Ther. 2024, 24, 793–802. [Google Scholar] [CrossRef]
- Xie, J.; Zhu, Y.; Yang, Z.; Yu, Z.; Yang, M.; Wang, Q. An integrative analysis reveals cancer risk associated with artificial sweeteners. J. Transl. Med. 2025, 23, 32. [Google Scholar] [CrossRef]
- Li, B.; Shi, L.; Feng, M.; Fan, W.; Lu, W.; Wang, Y.; He, Z.; Liu, T. An Investigation of the Toxicity and Mechanisms of Food Additives Based on Network Toxicology and GEO Databases: A Case Study of Aspartame. Food Anal. Methods 2024, 17, 1057–1072. [Google Scholar] [CrossRef]
- Saleh, E.A.M.; Al-Dolaimy, F.; Qasim Almajidi, Y.; Baymakov, S.; Kader M, M.A.; Ullah, M.I.; Abbas, A.H.R.; Khlewee, I.H.; Bisht, Y.S.; Alsaalamy, A.H. Oxidative stress affects the beginning of the growth of cancer cells through a variety of routes. Pathol.-Res. Pract. 2023, 249, 154664. [Google Scholar] [CrossRef]
- Yang, Y.; Chen, M.; Qiu, Y.; Li, X.; Huang, Y.; Zhang, W. The Apelin/APLNR system modulates tumor immune response by reshaping the tumor microenvironment. Gene 2022, 834, 146564. [Google Scholar] [CrossRef]
- Tolkach, Y.; Ellinger, J.; Kremer, A.; Esser, L.; Müller, S.C.; Stephan, C.; Jung, K.; Toma, M.; Kristiansen, G.; Hauser, S. Apelin and apelin receptor expression in renal cell carcinoma. Br. J. Cancer 2019, 120, 633–639. [Google Scholar] [CrossRef]
- Shahabi, P.; Siest, G.; Meyer, U.A.; Visvikis-Siest, S. Human cytochrome P450 epoxygenases: Variability in expression and role in inflammation-related disorders. Pharmacol. Ther. 2014, 144, 134–161. [Google Scholar] [CrossRef]
- Sverko, A.; Sobočanec, S.; Kušić, B.; Mačak-Šafranko, Z.; Sarić, A.; Leniček, T.; Kraus, O.; Andrišić, L.; Korolija, M.; Balog, T.; et al. Superoxide dismutase and cytochrome P450 isoenzymes might be associated with higher risk of renal cell carcinoma in male patients. Int. Immunopharmacol. 2011, 11, 639–645. [Google Scholar] [CrossRef]
- AlRasheed, H.; Almomen, A.; Aljohar, H.I.; Arafah, M.; Almotawa, R.Y.; Alossaimi, M.A.; Alzoman, N.Z. Aspartames Alter Pharmacokinetics Parameters of Erlotinib and Gefitinib and Elevate Liver Enzymes in Wistar Rats. Pharmaceuticals 2022, 15, 1400, Correction in Pharmaceuticals 2025, 18, 1. [Google Scholar] [CrossRef] [PubMed]
- Marola, O.J.; Howell, G.R.; Libby, R.T. Vascular derived endothelin receptor A controls endothelin-induced retinal ganglion cell death. Cell Death Discov. 2022, 8, 207. [Google Scholar] [CrossRef] [PubMed]
- Wang, M.; Wang, L.; Li, X.; Dai, M.; Sheng, B. EDNRA regulates the tumour immune environment and predicts the efficacy and prognosis of cancer immunotherapy. J. Cell. Mol. Med. 2024, 28, e70172. [Google Scholar] [CrossRef]
- Wei, W.; Shi, L.; Chen, W.; Hu, L.; Chen, D.; Shi, X.; Xiang, H.; Guo, C.; Wu, Z. miR-200c regulates the proliferation, apoptosis and invasion of gastric carcinoma cells through the downregulation of EDNRA expression. Int. J. Mol. Med. 2017, 41, 1619–1626. [Google Scholar] [CrossRef]
- Vieira, G.V.; da Silva, R.A.A.; Costa, L.A.; Ximenez, J.P.B.; Lamprou, M.; Miranda, M.G.; Arrais, V.M.; de Brito, B.M.I.; da Silva, E.Z.M.; Gomes, B.B.M.; et al. KLK5 and KLK7 drive cervical carcinoma via KLK14-dependent RhoA and NF-κB pathways. Transl. Oncol. 2025, 60, 102488. [Google Scholar] [CrossRef] [PubMed]
- Alves, M.G.; Kodama, M.H.; da Silva, E.Z.M.; Gomes, B.B.M.; da Silva, R.A.A.; Vieira, G.V.; Alves, V.M.; da Fonseca, C.K.; Santana, A.C.; Cecílio, N.T.; et al. Relative expression of KLK5 to LEKTI is associated with aggressiveness of oral squamous cell carcinoma. Transl. Oncol. 2021, 14, 100970. [Google Scholar] [CrossRef]
- Tailor, P.D.; Kodeboyina, S.K.; Bai, S.; Patel, N.; Sharma, S.; Ratnani, A.; Copland, J.A.; She, J.X.; Sharma, A. Diagnostic and prognostic biomarker potential of kallikrein family genes in different cancer types. Oncotarget 2018, 9, 17876–17888. [Google Scholar] [CrossRef]
- Khetan, R.; Lokman, N.A.; Eldi, P.; Price, Z.K.; Oehler, M.K.; Brooks, D.A.; Blencowe, A.; Garg, S.; Ricciardelli, C.; Albrecht, H. Protease-Activated Receptor F2R Is a Potential Target for New Diagnostic/Prognostic and Treatment Applications for Patients with Ovarian Cancer. Int. J. Mol. Sci. 2025, 26, 8529. [Google Scholar] [CrossRef]
- Kaufmann, R.; Junker, U.; Nuske, K.; Westermann, M.; Henklein, P.; Scheele, J.; Junker, K. PAR-1- and PAR-3-type thrombin receptor expression in primary cultures of human renal cell carcinoma cells. Int. J. Oncol. 2002, 20, 177–180. [Google Scholar] [CrossRef] [PubMed]
- Bergmann, S.; Junker, K.; Henklein, P.; Hollenberg, M.D.; Settmacher, U.; Kaufmann, R. PAR-type thrombin receptors in renal carcinoma cells: PAR1-mediated EGFR activation promotes cell migration. Oncol. Rep. 2006, 15, 889–893. [Google Scholar] [CrossRef] [PubMed]
- Liu, H.; Xia, Y.; Chen, Y.; Qi, H.; Ji, H.; Ji, S.; Lou, Y. RAD51 protein is a predictor of chemosensitivity and survival prognosis in patients with advanced high-grade serous ovarian cancer undergoing neoadjuvant chemotherapy. Front. Oncol. 2025, 15, 1548889. [Google Scholar] [CrossRef]
- Liu, S.; Li, Y.; Xu, H.; Wang, K.; Li, N.; Li, J.; Sun, T.; Xu, Y. Increased expression of SET domain-containing proteins and decreased expression of Rad51 in different classes of renal cell carcinoma. Biosci. Rep. 2016, 36, e00349. [Google Scholar] [CrossRef]
- Chang, M.; Li, Q.; Shi, Z.; Zhuang, S. The Role and Mechanisms of Aurora Kinases in Kidney Diseases. Clin. Pharmacol. Ther. 2025, 117, 1217–1225. [Google Scholar] [CrossRef] [PubMed]
- Yan, M.; Wang, C.; He, B.; Yang, M.; Tong, M.; Long, Z.; Liu, B.; Peng, F.; Xu, L.; Zhang, Y.; et al. Aurora-A Kinase: A Potent Oncogene and Target for Cancer Therapy. Med. Res. Rev. 2016, 36, 1036–1079. [Google Scholar] [CrossRef]
- Wen, J.; Wang, X.; Yang, G.; Zheng, J. AURKA promotes renal cell carcinoma progression via regulation of CCNB1 transcription. Heliyon 2024, 10, e27959. [Google Scholar] [CrossRef] [PubMed]
- Kos, M.; Bojarski, K.; Mertowska, P.; Mertowski, S.; Tomaka, P.; Dziki, Ł.; Grywalska, E. New Horizons in the Diagnosis of Gastric Cancer: The Importance of Selected Toll-like Receptors in Immunopathogenesis Depending on the Stage, Clinical Subtype, and Gender of Newly Diagnosed Patients. Int. J. Mol. Sci. 2024, 25, 9264. [Google Scholar] [CrossRef]
- Ping, W.; Hong, S.; Xun, Y.; Li, C. Comprehensive Bioinformatics Analysis of Toll-Like Receptors (TLRs) in Pan-Cancer. BioMed Res. Int. 2022, 2022, 4436646. [Google Scholar] [CrossRef] [PubMed]
- Wang, A.; Chen, M.; Wang, H.; Huang, J.; Bao, Y.; Gan, X.; Liu, B.; Lu, X.; Wang, L. Cell Adhesion-Related Molecules Play a Key Role in Renal Cancer Progression by Multinetwork Analysis. BioMed Res. Int. 2019, 2019, 2325765. [Google Scholar] [CrossRef]
- O’Brien, R.M. A Caution Regarding Rules of Thumb for Variance Inflation Factors. Qual. Quant. 2007, 41, 673–690. [Google Scholar] [CrossRef]












| Gene Name | Coeff |
|---|---|
| APLNR | −0.285 |
| CYP2C19 | 0.245 |
| EDNRA | 0.576 |
| KLK5 | 0.149 |
| F2R | 0.375 |
| RAD51 | 0.403 |
| AURKA | 0.378 |
| TLR2 | −0.188 |
| Ligand | Receptor | Binding Energy (kcal/mol) |
|---|---|---|
| Aspartame | APLNR | −6.8 |
| Aspartame | CYP2C19 | −8.0 |
| Aspartame | EDNRA | −6.7 |
| Aspartame | KLK5 | −5.7 |
| Aspartame | F2R | −6.2 |
| Aspartame | RAD51 | −7.0 |
| Aspartame | AURKA | −6.9 |
| Aspartame | TLR2 | −7.4 |
Disclaimer/Publisher’s Note: The statements, opinions and data contained in all publications are solely those of the individual author(s) and contributor(s) and not of MDPI and/or the editor(s). MDPI and/or the editor(s) disclaim responsibility for any injury to people or property resulting from any ideas, methods, instructions or products referred to in the content. |
© 2025 by the authors. Licensee MDPI, Basel, Switzerland. This article is an open access article distributed under the terms and conditions of the Creative Commons Attribution (CC BY) license.
Share and Cite
Huang, C.; Wei, L.; Yuan, W.; Lu, Y.; Zhang, G.; Yan, Z. Molecular Mechanisms of Aspartame-Induced Kidney Renal Papillary Cell Carcinoma Revealed by Network Toxicology and Molecular Docking Techniques. Int. J. Mol. Sci. 2026, 27, 77. https://doi.org/10.3390/ijms27010077
Huang C, Wei L, Yuan W, Lu Y, Zhang G, Yan Z. Molecular Mechanisms of Aspartame-Induced Kidney Renal Papillary Cell Carcinoma Revealed by Network Toxicology and Molecular Docking Techniques. International Journal of Molecular Sciences. 2026; 27(1):77. https://doi.org/10.3390/ijms27010077
Chicago/Turabian StyleHuang, Chenjie, Lulu Wei, Wenqi Yuan, Yaohong Lu, Gedi Zhang, and Ziyou Yan. 2026. "Molecular Mechanisms of Aspartame-Induced Kidney Renal Papillary Cell Carcinoma Revealed by Network Toxicology and Molecular Docking Techniques" International Journal of Molecular Sciences 27, no. 1: 77. https://doi.org/10.3390/ijms27010077
APA StyleHuang, C., Wei, L., Yuan, W., Lu, Y., Zhang, G., & Yan, Z. (2026). Molecular Mechanisms of Aspartame-Induced Kidney Renal Papillary Cell Carcinoma Revealed by Network Toxicology and Molecular Docking Techniques. International Journal of Molecular Sciences, 27(1), 77. https://doi.org/10.3390/ijms27010077

