Evidence Synthesis and Mechanism Analysis of Quercetin Treatment for Atherosclerosis: A Preclinical Systematic Review and Meta-Analysis
Abstract
1. Introduction
2. Methods
2.1. Programme and Registration
2.2. Search Strategy
2.3. Study Selection and Inclusion Criteria
2.4. Data Extraction and Quality Assessment
2.5. Statistical Analysis
3. Results
3.1. Study Identification
3.2. Research Characteristics
3.3. Quality Evaluation
3.4. Effectiveness
3.4.1. Primary Outcomes
3.4.2. Secondary Outcomes
Inflammation-Related Indicators
Oxidative-Stress-Related Indicators
Effects on Lipid Metabolism
Mechanisms Protecting Against Atherosclerosis
3.5. Heterogeneity and Results of Subgroup Analysis
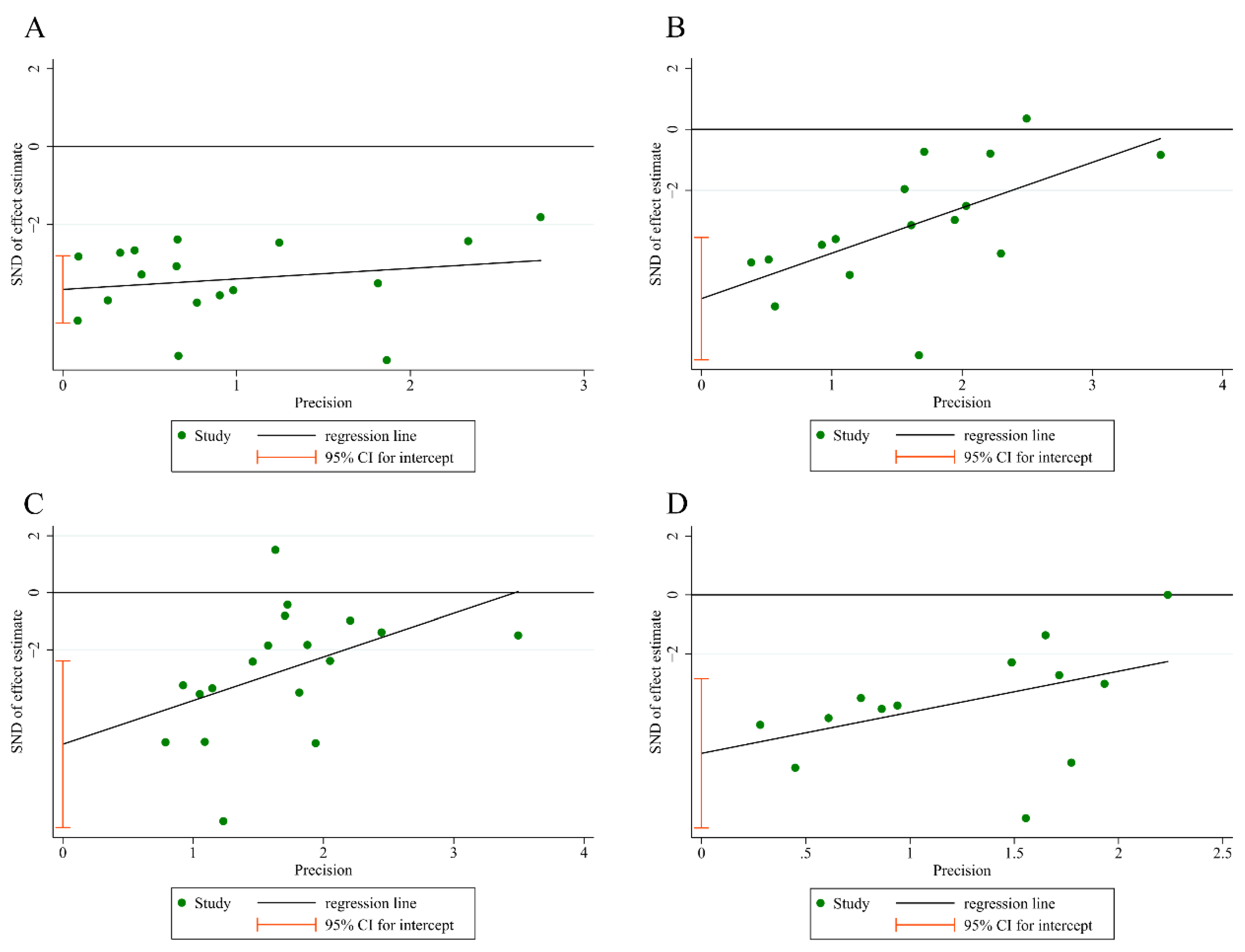
3.6. Publication Bias
3.7. Time–Dose Interval Analysis
3.8. Trial Sequential Analysis
4. Discussion
4.1. Effectiveness and Summary of Evidence
4.2. Potential Mechanism of Quercetin in Treating Atherosclerosis
4.2.1. Regulating Lipid Metabolism
4.2.2. Anti-Inflammatory Effects
4.2.3. Anti-Oxidative-Stress Effects
4.3. Challenges in Translating Preclinical Quercetin Doses into Human Applications
4.4. Limitations
5. Conclusions
Author Contributions
Funding
Institutional Review Board Statement
Informed Consent Statement
Data Availability Statement
Conflicts of Interest
Abbreviations
References
- Xu, S.; Kamato, D.; Little, P.J.; Nakagawa, S.; Pelisek, J.; Jin, Z.G. Targeting epigenetics and non-coding RNAs in atherosclerosis: From mechanisms to therapeutics. Pharmacol. Ther. 2019, 196, 15–43. [Google Scholar] [CrossRef]
- Leppert, M.H.; Poisson, S.N.; Sillau, S.H.; Campbell, J.D.; Ho, P.M.; Burke, J.F. Is Prevalence of Atherosclerotic Risk Factors Increasing Among Young Adults? It Depends on How You Ask. J. Am. Heart Assoc. 2019, 8, e010883. [Google Scholar] [CrossRef]
- Xing, L.; Zhou, X.; Li, A.H.; Li, H.J.; He, C.X.; Qin, W.; Zhao, D.; Li, P.Q.; Zhu, L.; Cao, H.L. Atheroprotective Effects and Molecular Mechanism of Berberine. Front. Mol. Biosci. 2021, 8, 762673. [Google Scholar] [CrossRef]
- Cheng, J.; Huang, H.; Chen, Y.; Wu, R. Nanomedicine for Diagnosis and Treatment of Atherosclerosis. Adv. Sci. 2023, 10, e2304294. [Google Scholar] [CrossRef]
- Gunta, S.P.; O’Keefe, J.H.; O’Keefe, E.L.; Lavie, C.J. PCSK9 inhibitor, ezetimibe, and bempedoic acid: Evidence-based therapies for statin-intolerant patients. Prog. Cardiovasc. Dis. 2023, 79, 12–18. [Google Scholar] [CrossRef] [PubMed]
- Basu, A.; Das, A.S.; Majumder, M.; Mukhopadhyay, R. Antiatherogenic Roles of Dietary Flavonoids Chrysin, Quercetin, and Luteolin. J. Cardiovasc. Pharmacol. 2016, 68, 89–96. [Google Scholar] [CrossRef]
- Al-Khayri, J.M.; Sahana, G.R.; Nagella, P.; Joseph, B.V.; Alessa, F.M.; Al-Mssallem, M.Q. Flavonoids as Potential Anti-Inflammatory Molecules: A Review. Molecules 2022, 27, 2901. [Google Scholar] [CrossRef] [PubMed]
- Chen, S.; Wang, X.J.; Cheng, Y.; Gao, H.S.; Chen, X.H. A Review of Classification, Biosynthesis, Biological Activities and Potential Applications of Flavonoids. Molecules 2023, 28, 4982. [Google Scholar] [CrossRef]
- Hassani, S.; Maghsoudi, H.; Fattahi, F.; Malekinejad, F.; Hajmalek, N.; Sheikhnia, F.; Kheradmand, F.; Fahimirad, S.; Ghorbanpour, M. Flavonoids nanostructures promising therapeutic efficiencies in colorectal cancer. Int. J. Biol. Macromol. 2023, 241, 124508. [Google Scholar] [CrossRef] [PubMed]
- Harahap, U.; Syahputra, R.A.; Ahmed, A.; Nasution, A.; Wisely, W.; Sirait, M.L.; Dalimunthe, A.; Zainalabidin, S.; Taslim, N.A.; Nurkolis, F.; et al. Current insights and future perspectives of flavonoids: A promising antihypertensive approach. Phytother. Res. PTR 2024, 38, 3146–3168. [Google Scholar] [CrossRef]
- Wang, Y.; Quan, F.; Cao, Q.H.; Lin, Y.T.; Yue, C.X.; Bi, R.; Cui, X.M.; Yang, H.B.; Yang, Y.; Birnbaumer, L.; et al. Quercetin alleviates acute kidney injury by inhibiting ferroptosis. J. Adv. Res. 2021, 28, 231–243. [Google Scholar] [CrossRef]
- Kostić, A.Ž.; Arserim-Uçar, D.K.; Materska, M.; Sawicka, B.; Skiba, D.; Milinčić, D.D.; Pešić, M.B.; Pszczółkowski, P.; Moradi, D.; Ziarati, P.; et al. Unlocking Quercetin’s Neuroprotective Potential: A Focus on Bee-Collected Pollen. Chem. Biodivers. 2024, 21, e202400114. [Google Scholar] [CrossRef]
- Kurek-Górecka, A.; Górecki, M.; Rzepecka-Stojko, A.; Balwierz, R.; Stojko, J. Bee Products in Dermatology and Skin Care. Molecules 2020, 25, 556. [Google Scholar] [CrossRef] [PubMed]
- Li, T.; Zhu, J.; Yu, Q.; Zhu, Y.; Wu, C.; Zheng, X.; Chen, N.; Pei, P.; Yang, K.; Wang, K.; et al. Dietary Flavonoid Quercetin Supplement Promotes Antiviral Innate Responses Against Vesicular Stomatitis Virus Infection by Reshaping the Bacteriome and Host Metabolome in Mice. Mol. Nutr. Food Res. 2024, 68, e2300898. [Google Scholar] [CrossRef]
- Lima, A.B.S.d.; Batista, A.S.; Santos, M.R.C.; Rocha, R.d.S.d.; Silva, M.V.d.; Ferrão, S.P.B.; Almeida, V.V.S.d.; Santos, L.S. Spectroscopy NIR and MIR toward predicting simultaneous phenolic contents and antioxidant in red propolis by multivariate analysis. Food Chem. 2021, 367, 130744. [Google Scholar] [CrossRef]
- Lushchak, O.; Strilbytska, O.; Koliada, A.; Zayachkivska, A.; Burdyliuk, N.; Yurkevych, I.; Storey, K.B.; Vaiserman, A. Nanodelivery of phytobioactive compounds for treating aging-associated disorders. GeroScience 2020, 42, 117–139. [Google Scholar] [CrossRef] [PubMed]
- Espirito-Santo, D.A.; Cordeiro, G.S.; Santos, L.S.; Silva, R.T.; Pereira, M.U.; Matos, R.J.B.; Boaventura, G.T.; Barreto-Medeiros, J.M. Cardioprotective effect of the quercetin on cardiovascular remodeling and atherosclerosis in rodents fed a high-fat diet: A systematic review. Chem. Biol. Interact. 2023, 384, 110700. [Google Scholar] [CrossRef] [PubMed]
- Liu, L.; Zhang, P.; Qi, Y.Z.; Li, H.; Jiang, Y.H.; Yang, C.H. Quercetin Attenuates Atherosclerosis via Modulating Apelin Signaling Pathway Based on Plasma Metabolomics. Chin. J. Integr. Med. 2023, 29, 1121–1132. [Google Scholar] [CrossRef]
- Li, J.X.; Tian, R.; Lu, N.H. Quercetin Attenuates Vascular Endothelial Dysfunction in Atherosclerotic Mice by Inhibiting Myeloperoxidase and NADPH Oxidase Function. Chem. Res. Toxicol. 2023, 36, 260–269. [Google Scholar] [CrossRef]
- Luo, G.; Xiang, L.; Xiao, L. Quercetin alleviates atherosclerosis by suppressing oxidized LDL-induced senescence in plaque macrophage via inhibiting the p38MAPK/p16 pathway. J. Nutr. Biochem. 2023, 116, 109314. [Google Scholar] [CrossRef]
- Luo, X.; Weng, X.Z.; Bao, X.Y.; Bai, X.X.; Lv, Y.; Zhang, S.; Chen, Y.W.; Zhao, C.; Zeng, M.; Huang, J.X.; et al. A novel anti-atherosclerotic mechanism of quercetin: Competitive binding to KEAP1 via Arg483 to inhibit macrophage pyroptosis. Redox Biol. 2022, 57, 102511, Correction in Redox Biol. 2022, 58, 102548. [Google Scholar] [CrossRef]
- Luo, G.; Xiang, L.; Yao, P.; Xiao, L. Quercetin regulates cholesterol homeostasis in macrophages and improves atherosclerosis in apolipoprotein E knockout mice. Zhong Guo Yao Li Xue Tong Bao 2022, 38, 1395–1400. (In Chinese) [Google Scholar]
- Li, H.X.; Xiao, L.; He, H.; Zeng, H.M.; Liu, J.J.; Jiang, C.J.; Mei, G.B.; Yu, J.S.; Chen, H.; Yao, P.; et al. Quercetin Attenuates Atherosclerotic Inflammation by Inhibiting Galectin-3-NLRP3 Signaling Pathway. Mol. Nutr. Food Res. 2021, 65, e2000746. [Google Scholar] [CrossRef]
- Jiang, Y.H.; Jiang, L.Y.; Wang, Y.C.; Ma, D.F.; Li, X. Quercetin Attenuates Atherosclerosis via Modulating Oxidized LDL-Induced Endothelial Cellular Senescence. Front. Pharmacol. 2020, 11, 512, Correction in Front. Pharmacol. 2020, 11, 772. [Google Scholar] [CrossRef]
- Li, S.S.; Cao, H.; Shen, D.Z.; Chen, C.; Xing, S.L.; Dou, F.F.; Jia, Q.L. Effect of Quercetin on Atherosclerosis Based on Expressions of ABCA1, LXR-α and PCSK9 in ApoE-/- Mice. Chin. J. Integr. Med. 2020, 26, 114–121. [Google Scholar] [CrossRef] [PubMed]
- Luo, M.J.; Tian, R.; Lu, N.H. Quercetin Inhibited Endothelial Dysfunction and Atherosclerosis in Apolipoprotein E-Deficient Mice: Critical Roles for NADPH Oxidase and Heme Oxygenase-1. J. Agric. Food Chem. 2020, 68, 10875–10883. [Google Scholar] [CrossRef]
- Zhang, F.W.; Feng, J.; Zhang, J.Y.; Kang, X.; Qian, D. Quercetin modulates AMPK/SIRT1/NF-κB signaling to inhibit inflammatory/oxidative stress responses in diabetic high fat diet-induced atherosclerosis in the rat carotid artery. Exp. Ther. Med. 2020, 20, 280. [Google Scholar] [CrossRef]
- Cao, H.; Jia, Q.L.; Shen, D.Z.; Yan, L.; Chen, C.; Xing, S.L. Quercetin has a protective effect on atherosclerosis via enhancement of autophagy in ApoE-/- mice. Exp. Ther. Med. 2019, 18, 2451–2458. [Google Scholar] [CrossRef] [PubMed]
- Jia, Q.L.; Cao, H.; Shen, D.Z.; Li, S.S.; Yan, L.; Chen, C.; Xing, S.L.; Dou, F.F. Quercetin protects against atherosclerosis by regulating the expression of PCSK9, CD36, PPARγ, LXRα and ABCA1. Int. J. Mol. Med. 2019, 44, 893–902. [Google Scholar] [CrossRef] [PubMed]
- Parvin, A.; Yaghmaei, P.; Noureddini, M.; Haeri Roohani, S.A.; Aminzadeh, S. Comparative effects of quercetin and hydroalcoholic extract of Otostegia persica boiss with atorvastatin on atherosclerosis complication in male wistar rats. Food Sci. Nutr. 2019, 7, 2875–2887. [Google Scholar] [CrossRef]
- Wu, D.N.; Guan, L.; Jiang, Y.X.; Ma, S.H.; Sun, Y.N.; Lei, H.T.; Yang, W.F.; Wang, Q.F. Microbiome and metabonomics study of quercetin for the treatment of atherosclerosis. Cardiovasc. Diagn. Ther. 2019, 9, 545–560. [Google Scholar] [CrossRef]
- Zhang, M.; Li, W.J.; Du, F.; Yu, H. Effect of quercetin on the regression of atherosclerotic plaque in apolipoprotein E knockout mice. Zhong Guo Yao Shi 2019, 22, 800–804. (In Chinese) [Google Scholar]
- Lin, W.Q.; Wang, W.T.; Wang, D.L.; Ling, W.H. Quercetin protects against atherosclerosis by inhibiting dendritic cell activation. Mol. Nutr. Food Res. 2017, 61, 1700031. [Google Scholar] [CrossRef] [PubMed]
- Lu, X.L.; Zhao, C.H.; Yao, X.L.; Zhang, H. Quercetin attenuates high fructose feeding-induced atherosclerosis by suppressing inflammation and apoptosis via ROS-regulated PI3K/AKT signaling pathway. Biomed. Pharmacother. 2017, 85, 658–671. [Google Scholar] [CrossRef] [PubMed]
- Xiao, L.; Liu, L.; Guo, X.P.; Zhang, S.S.; Wang, J.; Zhou, F.; Liu, L.G.; Tang, Y.H.; Yao, P. Quercetin attenuates high fat diet-induced atherosclerosis in apolipoprotein E knockout mice: A critical role of NADPH oxidase. Food Chem. Toxicol. Int. J. Publ. Br. Ind. Biol. Res. Assoc. 2017, 105, 22–33. [Google Scholar] [CrossRef] [PubMed]
- Guo, S.D.; Tian, H.; Dong, R.R.; Yang, N.; Zhang, Y.; Yao, S.T.; Li, Y.J.; Zhou, Y.W.; Si, Y.H.; Qin, S.C. Exogenous supplement of N-acetylneuraminic acid ameliorates atherosclerosis in apolipoprotein E-deficient mice. Atherosclerosis 2016, 251, 183–191. [Google Scholar] [CrossRef]
- Liu, L.; Gao, C.; Yao, P.; Gong, Z.Y. Effect of quercetin on autophagy protein expression in atherosclerotic mice. Zhong Guo Lao Nian Xue Za Zhi 2016, 36, 539–542. (In Chinese) [Google Scholar]
- Shen, Y.; Ward, N.C.; Hodgson, J.M.; Puddey, I.B.; Wang, Y.T.; Zhang, D.; Maghzal, G.J.; Stocker, R.; Croft, K.D. Dietary quercetin attenuates oxidant-induced endothelial dysfunction and atherosclerosis in apolipoprotein E knockout mice fed a high-fat diet: A critical role for heme oxygenase-1. Free Radic. Biol. Med. 2013, 65, 908–915. [Google Scholar] [CrossRef]
- Kleemann, R.; Verschuren, L.; Morrison, M.; Zadelaar, S.; van Erk, M.J.; Wielinga, P.Y.; Kooistra, T. Anti-inflammatory, anti-proliferative and anti-atherosclerotic effects of quercetin in human in vitro and in vivo models. Atherosclerosis 2011, 218, 44–52. [Google Scholar] [CrossRef]
- Liu, M.; Samant, S.; Vasa, C.H.; Pedrigi, R.M.; Oguz, U.M.; Ryu, S.; Wei, T.; Anderson, D.R.; Agrawal, D.K.; Chatzizisis, Y.S. Co-culture models of endothelial cells, macrophages, and vascular smooth muscle cells for the study of the natural history of atherosclerosis. PLoS ONE 2023, 18, e0280385. [Google Scholar] [CrossRef]
- Gimbrone, M.A.; García-Cardeña, G. Endothelial Cell Dysfunction and the Pathobiology of Atherosclerosis. Circ. Res. 2016, 118, 620–636. [Google Scholar] [CrossRef]
- Tucker, B.; Ephraums, J.; King, T.W.; Abburi, K.; Rye, K.-A.; Cochran, B.J. Impact of Impaired Cholesterol Homeostasis on Neutrophils in Atherosclerosis. Arterioscler. Thromb. Vasc. Biol. 2023, 43, 618–627. [Google Scholar] [CrossRef]
- Pi, S.L.; Mao, L.; Chen, J.F.; Shi, H.Q.; Liu, Y.X.; Guo, X.Q.; Li, Y.Y.; Zhou, L.; He, H.; Yu, C.; et al. The P2RY12 receptor promotes VSMC-derived foam cell formation by inhibiting autophagy in advanced atherosclerosis. Autophagy 2021, 17, 980–1000. [Google Scholar] [CrossRef]
- Grootaert, M.O.J.; Bennett, M.R. Vascular smooth muscle cells in atherosclerosis: Time for a re-assessment. Cardiovasc. Res. 2021, 117, 2326–2339. [Google Scholar] [CrossRef]
- Poznyak, A.V.; Bharadwaj, D.; Prasad, G.; Grechko, A.V.; Sazonova, M.A.; Orekhov, A.N. Renin-Angiotensin System in Pathogenesis of Atherosclerosis and Treatment of CVD. Int. J. Mol. Sci. 2021, 22, 6702. [Google Scholar] [CrossRef] [PubMed]
- Sabe, S.A.; Feng, J.; Sellke, F.W.; Abid, M.R. Mechanisms and clinical implications of endothelium-dependent vasomotor dysfunction in coronary microvasculature. Am. J. Physiol. Heart Circ. Physiol. 2022, 322, H819–H841. [Google Scholar] [CrossRef] [PubMed]
- Rauf, A.; Akram, M.; Anwar, H.; Daniyal, M.; Munir, N.; Bawazeer, S.; Bawazeer, S.; Rebezov, M.; Bouyahya, A.; Shariati, M.A.; et al. Therapeutic potential of herbal medicine for the management of hyperlipidemia: Latest updates. Environ. Sci. Pollut. Res. Int. 2022, 29, 40281–40301. [Google Scholar] [CrossRef]
- Tabas, I.; Bornfeldt, K.E. Macrophage Phenotype and Function in Different Stages of Atherosclerosis. Circ. Res. 2016, 118, 653–667. [Google Scholar] [CrossRef] [PubMed]
- Park, Y.M. CD36, a scavenger receptor implicated in atherosclerosis. Exp. Mol. Med. 2014, 46, e99. [Google Scholar] [CrossRef]
- Chistiakov, D.A.; Bobryshev, Y.V.; Orekhov, A.N. Macrophage-mediated cholesterol handling in atherosclerosis. J. Cell. Mol. Med. 2016, 20, 17–28. [Google Scholar] [CrossRef]
- Hong, C.; Tontonoz, P. Liver X receptors in lipid metabolism: Opportunities for drug discovery. Nat. Rev. Drug Discov. 2014, 13, 433–444. [Google Scholar] [CrossRef]
- Westerterp, M.; Murphy, A.J.; Wang, M.; Pagler, T.A.; Vengrenyuk, Y.; Kappus, M.S.; Gorman, D.J.; Nagareddy, P.R.; Zhu, X.; Abramowicz, S.; et al. Deficiency of ATP-binding cassette transporters A1 and G1 in macrophages increases inflammation and accelerates atherosclerosis in mice. Circ. Res. 2013, 112, 1456–1465. [Google Scholar] [CrossRef] [PubMed]
- Ahmadian, M.; Suh, J.M.; Hah, N.; Liddle, C.; Atkins, A.R.; Downes, M.; Evans, R.M. PPARγ signaling and metabolism: The good, the bad and the future. Nat. Med. 2013, 19, 557–566. [Google Scholar] [CrossRef]
- Maréchal, L.; Laviolette, M.; Rodrigue-Way, A.; Sow, B.; Brochu, M.; Caron, V.; Tremblay, A. The CD36-PPARγ Pathway in Metabolic Disorders. Int. J. Mol. Sci. 2018, 19, 1529. [Google Scholar] [CrossRef] [PubMed]
- Ren, K.; Jiang, T.; Zhao, G.J. Quercetin induces the selective uptake of HDL-cholesterol via promoting SR-BI expression and the activation of the PPARγ/LXRα pathway. Food Funct. 2018, 9, 624–635. [Google Scholar] [CrossRef]
- Li, S.S.; Cao, H.; Shen, D.Z.; Jia, Q.L.; Chen, C.; Xing, S.L. Quercetin protects against ox-LDL-induced injury via regulation of ABCAl, LXR-α and PCSK9 in RAW264.7 macrophages. Mol. Med. Rep. 2018, 18, 799–806. [Google Scholar] [CrossRef]
- Zhang, Y.; Ma, K.L.; Ruan, X.Z.; Liu, B.C. Dysregulation of the Low-Density Lipoprotein Receptor Pathway Is Involved in Lipid Disorder-Mediated Organ Injury. Int. J. Biol. Sci. 2016, 12, 569–579. [Google Scholar] [CrossRef]
- Ataei, S.; Kesharwani, P.; Sahebkar, A. Berberine: Ins and outs of a nature-made PCSK9 inhibitor. EXCLI J. 2022, 21, 1099–1110. [Google Scholar] [CrossRef]
- Duan, H.X.; Zhang, Q.; Liu, J.; Li, R.L.; Wang, D.; Peng, W.; Wu, C.J. Suppression of apoptosis in vascular endothelial cell, the promising way for natural medicines to treat atherosclerosis. Pharmacol. Res. 2021, 168, 105599. [Google Scholar] [CrossRef]
- Zhang, Q.; Liu, J.; Duan, H.X.; Li, R.L.; Peng, W.; Wu, C.J. Activation of Nrf2/HO-1 signaling: An important molecular mechanism of herbal medicine in the treatment of atherosclerosis via the protection of vascular endothelial cells from oxidative stress. J. Adv. Res. 2021, 34, 43–63. [Google Scholar] [CrossRef] [PubMed]
- Gao, S.; Zhao, D.; Wang, M.; Zhao, F.; Han, X.Y.; Qi, Y.; Liu, J. Association Between Circulating Oxidized LDL and Atherosclerotic Cardiovascular Disease: A Meta-analysis of Observational Studies. Can. J. Cardiol. 2017, 33, 1624–1632. [Google Scholar] [CrossRef]
- Kong, P.; Cui, Z.Y.; Huang, X.F.; Zhang, D.D.; Guo, R.J.; Han, M. Inflammation and atherosclerosis: Signaling pathways and therapeutic intervention. Signal Transduct. Target. Ther. 2022, 7, 131. [Google Scholar] [CrossRef]
- Yang, H.M.; Sun, Y.; Li, Q.C.; Jin, F.Y.; Dai, Y. Diverse Epigenetic Regulations of Macrophages in Atherosclerosis. Front. Cardiovasc. Med. 2022, 9, 868788. [Google Scholar] [CrossRef]
- Eshghjoo, S.; Kim, D.M.; Jayaraman, A.; Sun, Y.X.; Alaniz, R.C. Macrophage Polarization in Atherosclerosis. Genes 2022, 13, 756. [Google Scholar] [CrossRef]
- Momtazi-Borojeni, A.A.; Abdollahi, E.; Nikfar, B.; Chaichian, S.; Ekhlasi-Hundrieser, M. Curcumin as a potential modulator of M1 and M2 macrophages: New insights in atherosclerosis therapy. Heart Fail. Rev. 2019, 24, 399–409. [Google Scholar] [CrossRef]
- D’Onofrio, N.; Servillo, L.; Balestrieri, M.L. SIRT1 and SIRT6 Signaling Pathways in Cardiovascular Disease Protection. Antioxid. Redox Signal. 2018, 28, 711–732. [Google Scholar] [CrossRef] [PubMed]
- Fang, Y.; Wang, X.F.; Yang, D.Y.; Lu, Y.M.; Wei, G.; Yu, W.; Liu, X.; Zheng, Q.C.; Ying, J.; Hua, F.Z. Relieving Cellular Energy Stress in Aging, Neurodegenerative, and Metabolic Diseases, SIRT1 as a Therapeutic and Promising Node. Front. Aging Neurosci. 2021, 13, 738686. [Google Scholar] [CrossRef] [PubMed]
- Xu, F.L.; Xu, J.X.; Xiong, X.; Deng, Y.Q. Salidroside inhibits MAPK, NF-κB, and STAT3 pathways in psoriasis-associated oxidative stress via SIRT1 activation. Redox Rep. Commun. Free. Radic. Res. 2019, 24, 70–74. [Google Scholar] [CrossRef]
- Poznyak, A.; Grechko, A.V.; Poggio, P.; Myasoedova, V.A.; Alfieri, V.; Orekhov, A.N. The Diabetes Mellitus-Atherosclerosis Connection: The Role of Lipid and Glucose Metabolism and Chronic Inflammation. Int. J. Mol. Sci. 2020, 21, 1835. [Google Scholar] [CrossRef] [PubMed]
- Ooi, B.K.; Goh, B.H.; Yap, W.H. Oxidative Stress in Cardiovascular Diseases: Involvement of Nrf2 Antioxidant Redox Signaling in Macrophage Foam Cells Formation. Int. J. Mol. Sci. 2017, 18, 2336. [Google Scholar] [CrossRef]
- Collins, A.R.; Gupte, A.A.; Ji, R.; Ramirez, M.R.; Minze, L.J.; Liu, J.Z.; Arredondo, M.; Ren, Y.; Deng, T.; Wang, J.; et al. Myeloid deletion of nuclear factor erythroid 2-related factor 2 increases atherosclerosis and liver injury. Arterioscler. Thromb. Vasc. Biol. 2012, 32, 2839–2846. [Google Scholar] [CrossRef]
- Peng, C.W.; Ai, Q.D.; Zhao, F.Y.; Li, H.L.; Sun, Y.; Tang, K.Y.; Yang, Y.T.; Chen, N.H.; Liu, F. Quercetin attenuates cerebral ischemic injury by inhibiting ferroptosis via Nrf2/HO-1 signaling pathway. Eur. J. Pharmacol. 2024, 963, 176264. [Google Scholar] [CrossRef]
- Wang, S.H.; Tsai, K.L.; Chou, W.C.; Cheng, H.C.; Huang, Y.T.; Ou, H.C.; Chang, Y.C. Quercetin Mitigates Cisplatin-Induced Oxidative Damage and Apoptosis in Cardiomyocytes through Nrf2/HO-1 Signaling Pathway. Am. J. Chin. Med. 2022, 50, 1281–1298. [Google Scholar] [CrossRef] [PubMed]
- Xiao, J.C.; Zhang, G.Y.; Chen, B.H.; He, Q.; Mai, J.L.; Chen, W.J.; Pan, Z.F.; Yang, J.Z.; Li, J.L.; Ma, Y.H.; et al. Quercetin protects against iron overload-induced osteoporosis through activating the Nrf2/HO-1 pathway. Life Sci. 2023, 322, 121326. [Google Scholar] [CrossRef] [PubMed]
- Reagan-Shaw, S.; Nihal, M.; Ahmad, N. Dose translation from animal to human studies revisited. FASEB J. Off. Publ. Fed. Am. Soc. Exp. Biol. 2007, 22, 659–661. [Google Scholar] [CrossRef] [PubMed]
- Wang, Y.; Tao, B.; Wan, Y.; Sun, Y.; Wang, L.; Sun, J.; Li, C. Drug delivery based pharmacological enhancement and current insights of quercetin with therapeutic potential against oral diseases. Biomed. Pharmacother. 2020, 128, 110372. [Google Scholar] [CrossRef]













| Studies | Language Type | Species (Sex, n = I/C Group, Weight) | Control Group (Method) | Intervention Group (Method) | Anaesthetic | Outcomes | Intergroup Difference |
|---|---|---|---|---|---|---|---|
| Liu et al. (2023) [18] | English | ApoE−/− mice (male, 7/7, 18–22 g) | HFD for 12 weeks | Qu (20 mg/kg) intragastric administration for 8 weeks | Pentobarbital sodium | Aortic lesion areas Sirt1 P21 F4/80 | p < 0.05 p < 0.05 p < 0.05 p < 0.05 |
| Li et al. (2023) [19] | English | ApoE−/− mice (male, 6/6) | HFD for 8 weeks | Qu (1000 mg/kg) oral administration for 8 weeks | NM | Aortic lesion areas TG LDL-C IL-1β VCAM-1 NADPH Nox2 p47phox | p < 0.01 p < 0.05 p < 0.05 p < 0.05 p < 0.05 p < 0.01 p > 0.05 p < 0.01 |
| Luo et al. (2023) [20] | English | ApoE−/− mice (female, 10/10, 18–20 g) | HFD for 16 weeks | Qu (100 mg/kg) intragastric administration for 16 weeks | NM | Aortic lesion areas TC TG LDL-C HDL-C TNF-α VCAM-1 MCP-1 | p < 0.01 p > 0.05 p < 0.05 p < 0.05 p < 0.05 p < 0.01 p < 0.01 p < 0.01 |
| Luo X et al. (2022) [21] | English | ApoE−/− mice (male, 6/6, 6–8 weeks) | HFD for 16 weeks | Qu (1000 mg/kg) oral administration for 16 weeks | Pentobarbital sodium | Aortic lesion areas Lipid areas TC TG LDL-C HDL-C IL-18 IL-1β | p < 0.01 p < 0.05 p < 0.05 p < 0.05 p < 0.05 p < 0.05 p < 0.01 p < 0.01 |
| Luo G et al. (2022) [22] | Chinese | ApoE−/− mice (female, 10/10) | HFD for 16 weeks | Qu (100 mg/kg) intragastric administration for 16 weeks | Pentobarbital sodium | TC TG LDL-C HDL-C ABCA1 ABCG1 CD36 LXRα | p < 0.05 p < 0.05 p < 0.01 p < 0.05 p < 0.05 p > 0.05 p < 0.01 p < 0.05 |
| Li et al. (2021) [23] | English | ApoE−/− mice (male, 20/20, 6 weeks) | HFD for 16 weeks | Qu (100 mg/kg) intragastric administration for 16 weeks | Pentobarbital sodium | TC TG HDL-C LDL-C | p < 0.01 p < 0.01 p < 0.01 p < 0.01 |
| Jiang et al. (2020) [24] | English | ApoE−/− mice (male, 7/7, 6 weeks) | HFD for 12 weeks | Qu (20 mg/kg) intragastric administration for 8 weeks | Pentobarbital sodium | Aortic lesion areas IL-6 VCAM-1 ICAM-1 Sirt1 | p < 0.05 p < 0.05 p < 0.05 p < 0.05 p < 0.05 |
| Li et al. (2020) [25] | English | ApoE−/− mice (male, 6/6, 12 weeks) | HFD for 12 weeks | Qu (12.5 mg/kg) intragastric administration for 12 weeks | Pentobarbital sodium | Aortic lesion areas Lipid areas TC TG LDL-C HDL-C TNF-α IL-6 IL-10 ABCA1 LXRα PCSK9 | p < 0.05 p < 0.01 p < 0.05 p > 0.05 p < 0.01 p > 0.05 p < 0.01 p < 0.01 p < 0.01 p < 0.01 p < 0.01 p < 0.01 |
| Luo et al. (2020) [26] | English | ApoE−/− mice (male, 6/6, 6 weeks) | HFD for 8 weeks | Qu (1000 mg/kg) oral administration for 8 weeks | NM | Aortic lesion areas TG LDL-C NADPH HO-1 Nox2 p47phox | p < 0.01 p < 0.05 p < 0.05 p < 0.01 p < 0.01 p > 0.05 p < 0.01 |
| Zhang et al. (2020) [27] | English | Wistar rat (male, 6/6, 230–270 g) | HFD for 8 weeks | Qu (30 mg/kg) intragastric administration for 2 weeks | Pentobarbital sodium | TC TG LDL-C HDL-C IL-1β IL-10 MDA SOD CAT GPX Sirt1 | p < 0.01 p < 0.01 p < 0.05 p > 0.05 p < 0.05 p < 0.05 p < 0.01 p < 0.01 p < 0.05 p < 0.05 p < 0.01 |
| Cao et al. (2019) [28] | English | ApoE−/− mice (male, 6/6, 12 weeks) | HFD for 12 weeks | Qu (12.5 mg/kg) intragastric administration for 12 weeks | Pentobarbital sodium | Aortic lesion areas Lipid areas TC TG LDL-C HDL-C TNF-α IL-1β IL-18 mTOR P21 | p < 0.01 p < 0.01 p < 0.01 p > 0.05 p < 0.01 p > 0.05 p < 0.01 p < 0.01 p < 0.01 p < 0.05 p < 0.05 |
| Jia et al. (2019) [29] | English | ApoE−/− mice (male, 6/6, 12 weeks) | HFD for 12 weeks | Qu (12.5 mg/kg) intragastric administration for 12 weeks | Pentobarbital sodium | Aortic lesion areas Lipid areas TC TG LDL-C HDL-C TNF-α IL-6 IL-10 CD36 LXRα ABCA1 PCSK9 oxLDL | p < 0.01 p < 0.05 p < 0.05 p > 0.05 p < 0.01 p > 0.05 p < 0.01 p < 0.01 p < 0.01 p < 0.05 p < 0.05 p < 0.01 p < 0.05 p < 0.001 |
| Parvin et al. (2019) [30] | English | Wistar rat (male, 8/8, ~180 g) | HFD for 40 days | Qu (25 mg/kg) intragastric administration for 4 weeks | Ketamine– Xylazine | TC TG LDL-C HDL-C MDA | p < 0.01 p < 0.05 p < 0.01 p < 0.05 p < 0.01 |
| Wu et al. (2019) [31] | English | ApoE−/− mice (male, 6/6, 4–8 weeks) | HFD for 12 weeks | Qu (100 mg/kg) intragastric administration for 12 weeks | NM | TC TG LDL-C HDL-C TNF-α IL-6 | p < 0.01 p < 0.05 p < 0.01 p < 0.01 p < 0.01 p < 0.01 |
| Zhang et al. (2019) [32] | Chinese | ApoE−/− mice (female, 9/9, 18.8–20.2 g) | HFD for 8 weeks | Qu (100 mg/kg) intragastric administration for 9 weeks | Isoflurane | Aortic lesion areas TC TG MCP-1 | p < 0.05 p < 0.05 p < 0.05 p < 0.05 |
| Lin et al. (2017) [33] | English | ApoE−/− mice (male, 10/10, 6–8 weeks) | AIN-93G diets for 20 weeks | Qu (1000 mg/kg) oral administration for 20 weeks | NM | Aortic lesion areas TC TG LDL-C HDL-C IL-6 IL-10 F4/80 | p < 0.05 p > 0.05 p > 0.05 p > 0.05 p > 0.05 p < 0.01 p < 0.05 p < 0.01 |
| Lu et al. (2017) [34] | English | C57BL/6 mice (male, 15/15, 18–22 g) | High-fructose diets for 16 weeks | Qu (50/100 mg/kg) intragastric administration for 10 weeks | NM | Aortic lesion areas TC TG LDL-C HDL-C MDA SOD TNF-α IL-1β IL-18 IL-6 HO-1 | p < 0.01 p < 0.01 p < 0.001 p < 0.001 p < 0.001 p < 0.01 p < 0.01 p < 0.001 p < 0.001 p < 0.001 p < 0.001 p < 0.001 |
| Xiao et al. (2017) [35] | English | ApoE−/− mice (male, 15/15, 18–20 g) | HFD for 24 weeks | Qu (25/50/100 mg/kg) oral administration for 24 weeks | NM | Aortic lesion areas MDA GPX oxLDL p47phox | p < 0.05 p > 0.05 p < 0.01 p < 0.01 p < 0.01 |
| Guo et al. (2016) [36] | English | ApoE−/− mice (male, 10/10, 18–22 g) | HFD | Qu (12.5 mg/kg) intragastric administration | NM | Aortic lesion areas TC TG ABCA1 ABCG1 LXRα SOD TNF-α GPX CAT VCAM-1 ICAM-1 oxLDL | p < 0.01 p < 0.05 p < 0.05 p < 0.05 p < 0.05 p < 0.05 p < 0.05 p < 0.05 p < 0.05 p < 0.05 p > 0.05 p < 0.01 p < 0.01 |
| Liu et al. (2016) [37] | Chinese | ApoE−/− mice (male, 4/4, 6 weeks) | HFD for 24 weeks | Qu (25/50/100 mg/kg) intragastric administration for 24 weeks | Pentobarbital sodium | Aortic lesion areas mTOR | p < 0.05 p < 0.05 |
| Shen et al. (2013) [38] | English | ApoE−/− mice (male, 25/25, 4 weeks) | HFD for 14 weeks | Qu (500 mg/kg) oral administration for 14 weeks | Isoflurane | Aortic lesion areas TC TG HO-1 | p < 0.05 p > 0.05 p < 0.05 p < 0.05 |
| Kleemann et al. (2011) [39] | English | ApoE*3-Leiden mice (female, 12/13) | HFD for 15 weeks | Qu (1000 mg/kg) oral administration for 15 weeks | NM | Aortic lesion areas TC TG VCAM-1 | p < 0.05 p > 0.05 p > 0.05 p > 0.05 |
| Studies | Source | Purity (%) | Quality Control Reported |
|---|---|---|---|
| Liu et al. (2023) [18] | Dalian Meilun Biotechnology Co., Ltd., Dalian, China | Unknown | HPLC |
| Li et al. (2023) [19] | Sigma-Aldrich, USA | ≥95 | HPLC |
| Luo et al. (2023) [20] | Sigma-Aldrich, St Louis, MO, USA | 98 | HPLC |
| Luo X et al. (2022) [21] | Chengdu Herbpurify, Chengdu, China | 98 | HPLC |
| Luo G et al. (2022) [22] | Sigma, USA | Unknown | HPLC |
| Li et al. (2021) [23] | Unknown | Unknown | Unknown |
| Jiang et al. (2020) [24] | Jiashi Yuhe Institute, Beijing, China | 98.6 | HPLC |
| Li et al. (2020) [25] | Shanghai Yuanye Biotechnology Co., Ltd., Shanghai, China | >98 | HPLC |
| Luo et al. (2020) [26] | Sigma-Aldrich, USA | ≥95 | HPLC |
| Zhang et al. (2020) [27] | Sigma-Aldrich, USA | Unknown | HPLC |
| Cao et al. (2019) [28] | Shanghai Yuanye Biotechnology Co., Ltd., Shanghai, China | ≥98 | HPLC |
| Jia et al. (2019) [29] | Shanghai Yuanye Biotechnology Co., Ltd., Shanghai, China | ≥98 | HPLC |
| Parvin et al. (2019) [30] | Unknown | Unknown | Unknown |
| Wu et al. (2019) [31] | Unknown | Unknown | Unknown |
| Zhang et al. (2019) [32] | Sinopharm Chemical Reagent Co., Ltd., China | 98.8 | HPLC |
| Lin et al. (2017) [33] | Unknown | Unknown | Unknown |
| Lu et al. (2017) [34] | Sigma-Aldrich, USA | >98 | HPLC |
| Xiao et al. (2017) [35] | Sigma-Aldrich, St Louis, Missouri, USA | 98 | HPLC |
| Guo et al. (2016) [36] | Unknown | Unknown | Unknown |
| Liu et al. (2016) [37] | Sigma-Aldrich, USA | ≥95 | HPLC |
| Shen et al. (2013) [38] | Sigma Life Science | >95 | HPLC |
| Kleemann et al. (2011) [39] | Sigma-Aldrich, Steinheim, Germany | Unknown | HPLC |
| Outcome Indicators | Studies (n) | T/M (n) | Heterogeneity | SMD (95% CI) | p-Value | |
|---|---|---|---|---|---|---|
| I2 (%) | p | |||||
| (1) Inflammation-related indicators | ||||||
| IL-1β | 5 | 38/38 | 90.9 | <0.001 | −4.46 (−7.25, −1.67) | <0.01 |
| IL-6 | 6 | 50/50 | 79.3 | <0.001 | −3.98 (−5.57, −2.38) | <0.01 |
| IL-10 | 4 | 28/28 | 81.6 | <0.01 | 1.99 (0.21, 3.78) | <0.05 |
| IL-18 | 3 | 27/27 | 92.4 | <0.001 | −6.70 (−11.64, −1.76) | <0.01 |
| TNF-α | 7 | 48/48 | 71.4 | <0.01 | −4.34 (−5.84, −2.83) | <0.01 |
| VCAM-1 | 5 | 27/28 | 78.3 | <0.01 | −2.47 (−4.33, −0.60) | <0.05 |
| ICAM-1 | 2 | 10/10 | 30.8 | >0.05 | −3.30 (−4.79, −1.82) | <0.01 |
| MCP-1 | 2 | 10/10 | 15.2 | >0.05 | −4.48 (−6.30, −2.66) | <0.01 |
| F4/80 | 2 | 13/13 | 83.3 | <0.05 | −9.46 (−25.79, 6.87) | >0.05 |
| Collagen fibre area | 5 | 38/38 | 93.9 | <0.001 | 2.87 (−0.18, 5.91) | >0.05 |
| (2) Oxidative-stress-related indicators | ||||||
| MDA | 4 | 44/44 | 89.1 | <0.001 | −2.48 (−4.30, −0.66) | <0.01 |
| SOD | 3 | 26/26 | 0.0 | >0.05 | 1.79 (1.13, 2.45) | <0.01 |
| CAT | 2 | 11/11 | 9.3 | >0.05 | 0.95 (0.05, 1.86) | <0.05 |
| GPX | 3 | 26/26 | 94.4 | <0.001 | 4.29 (−0.31, 8.89) | <0.05 |
| (3) Effects on lipid metabolism | ||||||
| Lipid areas | 4 | 23/23 | 91.2 | <0.001 | −5.40 (−10.29, −0.51) | <0.05 |
| ABCA1 | 4 | 19/19 | 80.0 | <0.01 | 7.51 (2.98, 12.05) | <0.01 |
| ABCG1 | 2 | 7/7 | 75.0 | <0.05 | 2.49 (−1.49, 6.46) | >0.05 |
| ox-LDL | 3 | 14/14 | 85.5 | <0.05 | −9.47 (−17.72, −1.23) | <0.05 |
| CD36 | 2 | 10/10 | 0.0 | >0.05 | −3.72 (−5.29, −2.16) | <0.01 |
| (4) Atherosclerosis-preventative mechanisms | ||||||
| LXRα | 4 | 19/19 | 22.5 | >0.05 | 2.77 (1.79, 3.76) | <0.01 |
| HO-1 | 3 | 30/30 | 93.9 | <0.001 | 4.20 (0.17, 8.23) | <0.05 |
| SIRT1 | 3 | 15/15 | 56.0 | >0.05 | 3.24 (2.03, 4.46) | <0.01 |
| mTOR | 2 | 7/7 | 0.0 | >0.05 | −2.74 (−4.34, −1.15) | <0.01 |
| PCSK9 | 2 | 12/12 | 62.1 | >0.05 | −5.27 (−7.15, −3.39) | <0.01 |
| NADPH | 2 | 12/12 | 0.0 | >0.05 | −6.97 (−9.28, −4.65) | <0.01 |
| NOX2 | 2 | 12/12 | 0.0 | >0.05 | −1.50 (−2.43, −0.57) | <0.01 |
| p47phox | 3 | 15/15 | 0.0 | >0.05 | −5.54 (−7.29, −3.79) | <0.01 |
| P21 | 2 | 10/10 | 84.4 | <0.05 | −12.68 (−24.36, −1.01) | <0.05 |
| Outcome | Subgroup | □ | Studies (n) | Heterogeneity | |
|---|---|---|---|---|---|
| I2 (%) | p | ||||
| Aortic lesion areas | Language Type | English | 15 | 83.7 | <0.001 |
| Chinese | 2 | 59.8 | 0.115 | ||
| Animal species | ApoE−/− mice | 15 | 85.8 | <0.001 | |
| C57BL/6 mice | 1 | - | - | ||
| ApoE*3-Leiden mice | 1 | - | - | ||
| Animal sex | Male | 14 | 83.4 | <0.001 | |
| Female | 3 | 92.5 | <0.001 | ||
| MT | MT ≤ 8 weeks | 3 | 5.4 | 0.348 | |
| 8 weeks < MT < 16 weeks | 7 | 87.4 | <0.001 | ||
| MT ≥ 16 weeks | 6 | 45.6 | 0.102 | ||
| Not mentioned | 1 | - | - | ||
| AT | AT ≤ 8 weeks | 4 | 51.4 | 0.103 | |
| 8 weeks < AT < 16 weeks | 7 | 90.3 | <0.001 | ||
| AT ≥ 16 weeks | 5 | 53.9 | 0.07 | ||
| Not mentioned | 1 | - | - | ||
| AM | Intragastric administration | 10 | 80.9 | <0.001 | |
| Oral administration | 7 | 71.8 | <0.01 | ||
| AD | AD ≤ 30 mg/kg | 6 | 84.4 | <0.001 | |
| 30 mg/kg < AD < 500 mg/kg | 5 | 70.2 | <0.01 | ||
| AD ≥ 500 mg/kg | 6 | 73.7 | <0.01 | ||
| TC | Language Type | English | 14 | 87.2 | <0.001 |
| Chinese | 2 | 89.5 | <0.01 | ||
| Animal species | ApoE−/− mice | 12 | 90.8 | <0.001 | |
| Wistar rat | 2 | 43.9 | 0.182 | ||
| C57BL/6 mice | 1 | - | - | ||
| ApoE*3-Leiden mice | 1 | - | - | ||
| Animal sex | Male | 12 | 87.8 | <0.001 | |
| Female | 4 | 93.9 | <0.001 | ||
| MT | MT ≤ 8 weeks | 3 | 59.0 | 0.087 | |
| 8 weeks < MT < 16 weeks | 6 | 89.9 | <0.001 | ||
| MT ≥ 16 weeks | 6 | 91.5 | <0.001 | ||
| Not mentioned | 1 | - | - | ||
| AT | AT ≤ 8 weeks | 2 | 43.9 | 0.182 | |
| 8 weeks < AT < 16 weeks | 8 | 90.0 | <0.001 | ||
| AT ≥ 16 weeks | 5 | 93.2 | <0.001 | ||
| Not mentioned | 1 | - | - | ||
| AM | Intragastric administration | 12 | 85.3 | <0.001 | |
| Oral administration | 4 | 0.0 | 0.796 | ||
| AD | AD ≤ 30 mg/kg | 6 | 76.4 | <0.01 | |
| 30 mg/kg < AD < 500 mg/kg | 6 | 90.3 | <0.01 | ||
| AD ≥ 500 mg/kg | 4 | 0.0 | 0.796 | ||
| TG | Language Type | English | 16 | 84.4 | <0.001 |
| Chinese | 2 | 29.0 | 0.235 | ||
| Animal species | ApoE−/− mice | 14 | 88.7 | <0.001 | |
| Wistar rat | 2 | 72.4 | 0.057 | ||
| C57BL/6 mice | 1 | - | - | ||
| ApoE*3-Leiden mice | 1 | - | - | ||
| Animal sex | Male | 14 | 85.9 | <0.001 | |
| Female | 4 | 91.3 | <0.001 | ||
| MT | MT ≤ 8 weeks | 5 | 80.9 | <0.001 | |
| 8 weeks < MT < 16 weeks | 6 | 48.1 | 0.086 | ||
| MT ≥ 16 weeks | 6 | 91.8 | <0.001 | ||
| Not mentioned | 1 | - | - | ||
| AT | AT ≤ 8 weeks | 4 | 66.2 | 0.031 | |
| 8 weeks < AT < 16 weeks | 8 | 85.4 | <0.001 | ||
| AT ≥ 16 weeks | 5 | 93.2 | <0.001 | ||
| Not mentioned | 1 | - | - | ||
| AM | Intragastric administration | 12 | 88.6 | <0.001 | |
| Oral administration | 6 | 69.1 | <0.01 | ||
| AD | AD ≤ 30 mg/kg | 6 | 68.3 | <0.01 | |
| 30 mg/kg < AD < 500 mg/kg | 6 | 87.0 | <0.001 | ||
| AD ≥ 500 mg/kg | 6 | 69.1 | <0.01 | ||
| LDL-C | Language Type | English | 13 | 86.1 | <0.001 |
| Chinese | 1 | - | - | ||
| Animal species | ApoE−/− mice | 11 | 90.5 | <0.001 | |
| Wistar rat | 2 | 0.0 | 0.958 | ||
| C57BL/6 mice | 1 | - | - | ||
| Animal sex | Male | 12 | 87.1 | <0.001 | |
| Female | 2 | 96.1 | <0.001 | ||
| MT | MT ≤ 8 weeks | 4 | 67.6 | 0.026 | |
| 8 weeks < MT < 16 weeks | 4 | 87.5 | <0.001 | ||
| MT ≥ 16 weeks | 6 | 93.2 | <0.001 | ||
| AT | AT ≤ 8 weeks | 4 | 67.6 | 0.026 | |
| 8 weeks < AT < 16 weeks | 5 | 83.3 | <0.001 | ||
| AT ≥ 16 weeks | 5 | 94.0 | <0.001 | ||
| AM | Intragastric administration | 10 | 87.1 | <0.001 | |
| Oral administration | 4 | 86.1 | <0.001 | ||
| AD | AD ≤ 30 mg/kg | 5 | 84.0 | <0.001 | |
| 30 mg/kg < AD < 500 mg/kg | 5 | 89.2 | <0.001 | ||
| □ | □ | AD ≥ 500 mg/kg | 4 | 86.1 | <0.001 |
Disclaimer/Publisher’s Note: The statements, opinions and data contained in all publications are solely those of the individual author(s) and contributor(s) and not of MDPI and/or the editor(s). MDPI and/or the editor(s) disclaim responsibility for any injury to people or property resulting from any ideas, methods, instructions or products referred to in the content. |
© 2026 by the authors. Licensee MDPI, Basel, Switzerland. This article is an open access article distributed under the terms and conditions of the Creative Commons Attribution (CC BY) license.
Share and Cite
Chen, D.; Wang, J.; Lei, Z.; Qu, L.; Zou, W. Evidence Synthesis and Mechanism Analysis of Quercetin Treatment for Atherosclerosis: A Preclinical Systematic Review and Meta-Analysis. Int. J. Mol. Sci. 2026, 27, 527. https://doi.org/10.3390/ijms27010527
Chen D, Wang J, Lei Z, Qu L, Zou W. Evidence Synthesis and Mechanism Analysis of Quercetin Treatment for Atherosclerosis: A Preclinical Systematic Review and Meta-Analysis. International Journal of Molecular Sciences. 2026; 27(1):527. https://doi.org/10.3390/ijms27010527
Chicago/Turabian StyleChen, Daiqian, Jiawei Wang, Zhiguo Lei, Liping Qu, and Wenjun Zou. 2026. "Evidence Synthesis and Mechanism Analysis of Quercetin Treatment for Atherosclerosis: A Preclinical Systematic Review and Meta-Analysis" International Journal of Molecular Sciences 27, no. 1: 527. https://doi.org/10.3390/ijms27010527
APA StyleChen, D., Wang, J., Lei, Z., Qu, L., & Zou, W. (2026). Evidence Synthesis and Mechanism Analysis of Quercetin Treatment for Atherosclerosis: A Preclinical Systematic Review and Meta-Analysis. International Journal of Molecular Sciences, 27(1), 527. https://doi.org/10.3390/ijms27010527

