Modular Model of Neuronal Activity That Captures the Dynamics of Main Molecular Targets of Antiepileptic Drugs
Abstract
1. Introduction
2. Results
2.1. Main Molecular Targets of Antiepileptic Drugs
- Activation of voltage-gated K+ channels or inhibition of voltage-gated Na+ and Ca2+ channels, leading to membrane hyperpolarization and thereby returning the neuron to its resting state;
- Enhancement of GABA-mediated inhibition via inhibition of the GAT-1 GABA transporter in neurons and astrocytes, inhibition of GABA transaminase, and activation of GABAA receptors;
- Attenuation of synaptic excitation through inhibition of postsynaptic AMPA-Rs and NMDA-Rs;
- Direct modulation of synaptic release by activating presynaptic SV2A and inhibiting voltage-gated Ca2+ channels.
2.2. Requirements for the Modular Model
- Na+, K+ and Ca2+ concentration dynamics, which are fundamental to the generation of action potentials (APs). Specifically, the model should incorporate voltage-gated channels for these ions.
- Dynamics of AMPA-Rs, NMDA-Rs and GABA-Rs, which are key regulators of excitatory and inhibitory synaptic transmission.
- Astrocytic regulation of synaptic cleft homeostasis, particularly the dynamics of the GAT-3.
2.3. Modular Model Structure
- Presynaptic neuron (Presynaptic_neuron): Module that describes the dynamics of the presynaptic axon terminal, incorporating voltage-gated ion channels, sodium-potassium and calcium ATPases (NKA and PMCA), GABAA-Rs involved in tonic astrocyte-mediated modulation, and external stimulus. It calculates the concentration of glutamate released into the extracellular space, with the release rate primarily determined by presynaptic calcium entry, while being modulated by the dynamics of mGlu-Rs and GABAB-Rs. Ion fluxes across the membrane are calculated as well.
- Postsynaptic neuron (Postsynaptic_neuron): This module describes the dynamics of the postsynaptic dendritic spine, including voltage-gated ion channels, NKA, PMCA, AMPA-Rs, NMDA-Rs, as well as GABAA-Rs activated by astrocyte-mediated tonic GABA signaling, and a weak external stimulus. Ion fluxes across the membrane are also computed.
- Perisynaptic astrocyte (Astrocyte): This module describes the dynamics of the astrocyte, including the excitatory amino acid transporter 2 (EAAT-2), the sodium-calcium exchanger (NCX), NKA, inwardly rectifying potassium channel (Kir4.1), and the GABA transporter 3 (GAT-3). Ion diffusion within the astrocytic process is considered, along with ion and neurotransmitter fluxes across the membrane.
- Interneuron (Presynaptic_interneuron): This module calculates the inhibitory effect of the interneuron by calculating the release of GABA into the extracellular space. The excitation is initiated by an external current injection and mediated by the activation of voltage-gated ion channels.
- Extracellular space (Extracellular_space): This module describes the dynamics of the synaptic cleft, where concentrations of ions and neurotransmitters are established based on the fluxes across the membranes of the adjacent cellular compartments. Ion diffusion is also considered.
- Externally applied electrical current (Applied_current): This auxiliary module calculates stimulating currents for the presynaptic neuron, postsynaptic neuron, and interneuron.
2.4. Main Equations of the Modular Model
2.5. Numerical Simulation Results
2.5.1. Preliminary Information
2.5.2. Neuronal Activity
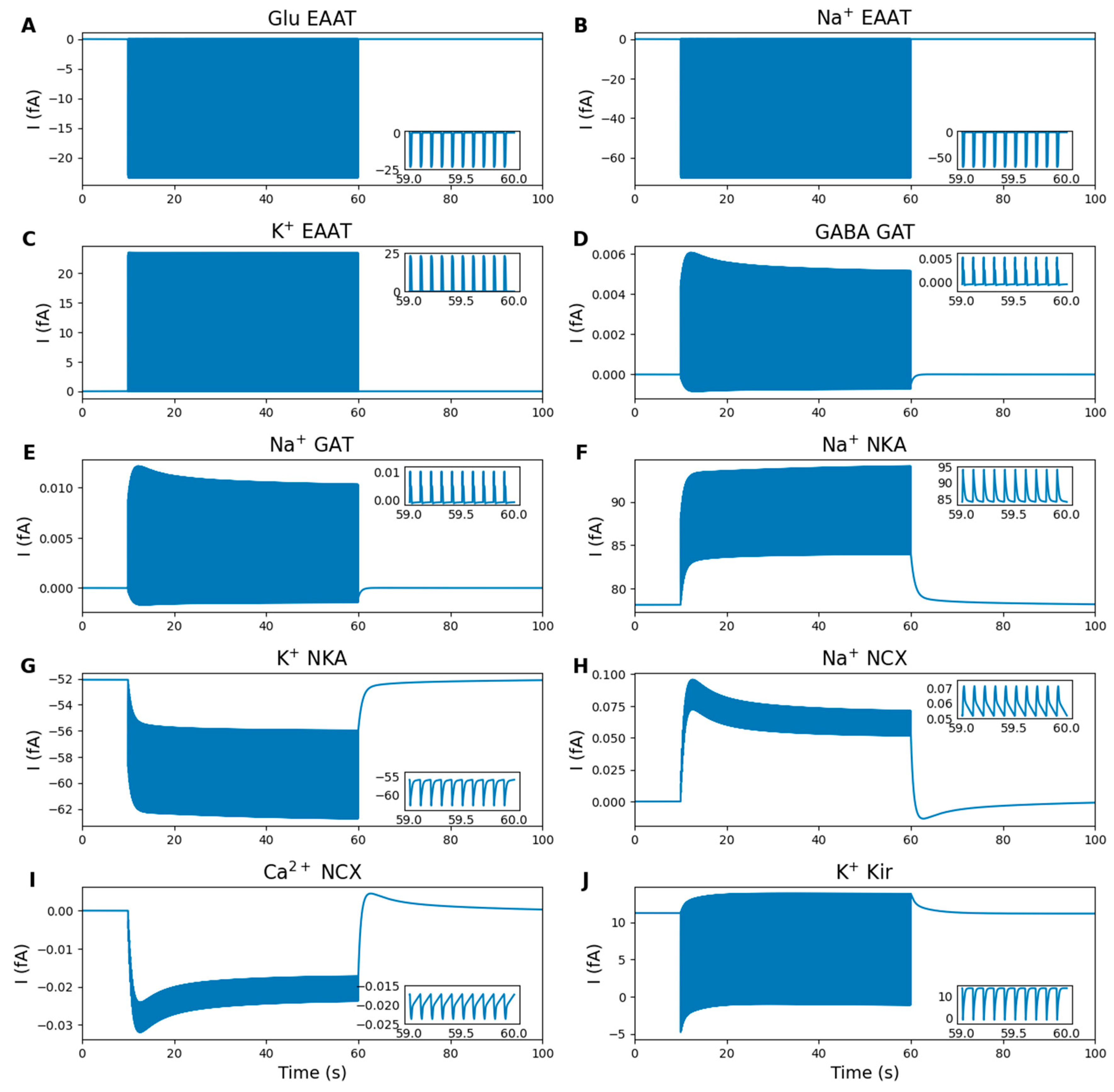
2.5.3. Astrocytic Regulation
2.5.4. Ion and Neurotransmitter Concentrations
2.5.5. Interneuron Inhibition
2.5.6. Simulation of Drug Effect
3. Discussion
4. Methods
4.1. Modeling Software
4.2. Visual Modeling
4.3. Modular Modeling
4.4. Numerical Solution
5. Conclusions
Author Contributions
Funding
Institutional Review Board Statement
Informed Consent Statement
Data Availability Statement
Conflicts of Interest
Appendix A. Presynaptic Neuron Compartment
| Equation | Description | Source |
|---|---|---|
| Change in membrane potential | Adapted from [11,25] | |
| Voltage-gated Na+ channels current | [11] | |
| Voltage-gated K+ channels current | [11] | |
| Voltage-gated Ca2+ channels current | [11] | |
| Background leak channels current | [11] | |
| , where | Changes in gating variables for Na+ and K+ in a Hodgkin-Huxley formalism | [11] |
| Change in gating variable for Ca2+ | [11] | |
| Voltage-gated Na+ channel activation forward rate | [11] | |
| Voltage-gated Na+ channel activation backward rate | [11] | |
| Voltage-gated Na+ channel inactivation forward rate | [11] | |
| Voltage-gated Na+ channel inactivation backward rate | [11] | |
| Voltage-gated K+ channel activation forward rate | [11] | |
| Voltage-gated K+ channel activation backward rate | [11] | |
| Voltage-gated Ca2+ channel equilibrium activation rate | [11] | |
| Voltage-gated Ca2+ channel activation time | [11] | |
| Na+ membrane current density | Adapted from [11] | |
| K+ membrane current density | Adapted from [11] | |
| Ca2+ membrane current density | Adapted from [11] | |
| , where | Na+, K+ and Ca2+ membrane currents | [11] |
| GABAA-R current | [25] | |
| Change in fraction of activated GABAA-Rs | [25] | |
| NKA current | [11] | |
| PMCA current | [11] | |
| , where | Na+, K+ and Ca2+ leak currents | [11] |
| , where | Equilibrium potentials for Na+, K+ and Ca2+ | [11] |
| , where | Na+, K+ and Ca2+ membrane fluxes | [11] |
| , where | Changes in Na+, K+ and Ca2+ concentrations | [11] |
| Change in the concentration of activated synaptic vesicles | [11] | |
| Change in the rate of glutamate release | [11] | |
| Concentration of glutamate released per second | [11] | |
| Probability of glutamate release | [28] | |
| Change in fraction of activated mGlu-Rs | [28] | |
| Change in fraction of activated GABAB-Rs | [28] |
| Parameter | Description | Value | Source |
|---|---|---|---|
| Faraday’s constant | 96,485.33 C·mol−1 | – | |
| Ideal gas constant | 8.3145 J·mol−1·K−1 | – | |
| Absolute temperature | 310 K | – | |
| Membrane capacitance | 1 µF·cm−2 | [11] | |
| Pre volume | 0.014314 fl | [11] | |
| Pre surface area | 0.21206 µm2 | [11] | |
| Pre resting potential | −70 mV | [11] | |
| Maximal voltage-gated Na+ channels conductance | 120 mS·cm−2 | [11] | |
| Maximal voltage-gated K+ channels conductance | 36 mS·cm−2 | [11] | |
| Maximal voltage-gated Ca2+ channels conductance | 0.1 mS·cm−2 | [11] | |
| Maximal leak channels conductance | 0.3 mS·cm−2 | [11] | |
| Maximal GABAA-Rs conductance | 0.05 mS·cm−2 | [25] | |
| Equilibrium potential for GABAA-Rs | −85 mV | [25] | |
| GABAA-R activation rate | 500 × 103 M−1 s−1 | [25] | |
| GABAA-R inactivation rate | 720 s−1 | [25] | |
| Maximal NKA velocity | 1.12 × 10−6 mol·m−2 s−1 | [11] | |
| NKA Na+ affinity | 0.01 M | [11] | |
| NKA K+ affinity | 0.6 × 10−3 M | [11] | |
| Maximal PMCA velocity | 0.2 × 10−6 mol·m−2 s−1 | [11] | |
| PMCA Ca2+ affinity | 0.2 × 10−6 M | [11] | |
| Na+ leak conductance | Calculated for model stability | ||
| K+ leak conductance | Calculated for model stability | ||
| Ca2+ leak conductance | Calculated for model stability | ||
| Ca2+ resting concentration | 50 × 10−9 M | [11] | |
| Vesicle activation rate | 0.5 ms−1 | [11] | |
| Vesicle inactivation rate | 1 ms−1 | [11] | |
| Vesicle release rate | 1 ms−1·M−3 | [11] | |
| Vesicle recovery rate | 10 ms−1 | [11] | |
| Ca2+ binding sites | 4 | [11] | |
| Glutamate concentration per vesicle | 40 mM | [11] | |
| Resting probability of glutamate release | 0.3 | [28] | |
| mGluR-R activation rate | 1500 × 103 M−1 s−1 | [28] | |
| mGluR-R inactivation rate | 0.2 s−1 | [28] | |
| GABAB-R activation rate | 1600 × 103 M−1 s−1 | Adapted from [28] | |
| GABAB-R inactivation rate | 6 s−1 | [28] | |
| Conversion factor from µA cm−2 to A m−2 | 0.01 | – | |
| Na+ valency | 1 | – | |
| K+ valency | 1 | – | |
| Ca2+ valency | 2 | – |
| Variable | Description | Initial Value | Source |
|---|---|---|---|
| Pre membrane potential | −70 mV | [11] | |
| Na+ in Pre | 15 mM | [11] | |
| K+ in Pre | 100 mM | [11] | |
| Ca2+ in Pre | 50 nM | [11] | |
| Gating variables for Na+ and K+ in a Hodgkin-Huxley formalism | [11] | ||
| Gating variable for Ca2+ | [11] | ||
| Concentration of activated synaptic vesicles | 0.01 mM | [11] | |
| Rate of glutamate release | 0 | [11] | |
| , where | Fractions of activated GABAA-Rs, GABAB-Rs and mGlu-Rs | 0 | [25,28] |
| Variable | Description |
|---|---|
| External pulsed current applied to the Pre. Characteristics: amplitude 10 µM·cm−2, frequency 10 Hz, pulse width 3 ms. Necessary for Pre excitation. | |
| Na+ in ECS | |
| K+ in ECS | |
| Ca2+ in ECS | |
| Glutamate in ECS | |
| GABA in ECS |
Appendix B. Postsynaptic Neuron Compartment
| Equation | Description | Source |
|---|---|---|
| Change in membrane potential | Adapted from [11,25] | |
| Voltage-gated Na+ channels current | [11] | |
| Voltage-gated K+ channels current | [11] | |
| Voltage-gated Ca2+ channels current | [11] | |
| Background leak channels current | [11] | |
| , where | Changes in gating variables for Na+ and K+ in a Hodgkin-Huxley formalism | [11] |
| Change in gating variable for Ca2+ | [11] | |
| Voltage-gated Na+ channel activation forward rate | [11] | |
| Voltage-gated Na+ channel activation backward rate | [11] | |
| Voltage-gated Na+ channel inactivation forward rate | [11] | |
| Voltage-gated Na+ channel inactivation backward rate | [11] | |
| Voltage-gated K+ channel activation forward rate | [11] | |
| Voltage-gated K+ channel activation backward rate | [11] | |
| Voltage-gated Ca2+ channel equilibrium activation rate | [11] | |
| Voltage-gated Ca2+ channel activation time | [11] | |
| Na+ membrane current density | Adapted from [11] | |
| K+ membrane current density | Adapted from [11] | |
| Ca2+ membrane current density | Adapted from [11] | |
| , where | Na+, K+ and Ca2+ membrane currents | [11] |
| AMPA-R current | [11] | |
| Change in fraction of activated AMPA-Rs | [11] | |
| NMDA-R current | [11] | |
| Change in fraction of activated NMDA-Rs | [11] | |
| Magnesium block of NMDA-Rs | [11] | |
| GABAA-R current | [25] | |
| Change in fraction of activated GABAA-Rs | [25] | |
| NKA current | [11] | |
| PMCA current | [11] | |
| , where | Na+, K+ and Ca2+ leak currents | [11] |
| , where | Equilibrium potentials for Na+, K+ and Ca2+ | [11] |
| , where | Na+, K+ and Ca2+ membrane fluxes | [11] |
| , where | Changes in Na+, K+ and Ca2+ concentrations | [11] |
| Parameter | Description | Value | Source |
|---|---|---|---|
| Faraday’s constant | 96,485.33 C·mol−1 | – | |
| Ideal gas constant | 8.3145 J·mol−1·K−1 | – | |
| Absolute temperature | 310 K | – | |
| Membrane capacitance | 1 µF·cm−2 | [11] | |
| Post volume | 0.014314 fl | [11] | |
| Post surface area | 0.21206 µm2 | [11] | |
| Post resting potential | −70 mV | [11] | |
| Maximal voltage-gated Na+ channels conductance | 120 mS·cm−2 | [11] | |
| Maximal voltage-gated K+ channels conductance | 36 mS·cm−2 | [11] | |
| Maximal voltage-gated Ca2+ channels conductance | 0.1 mS·cm−2 | [11] | |
| Maximal leak channels conductance | 0.3 mS·cm−2 | [11] | |
| Maximal AMPA-Rs conductance | 0.26 S·m−2 | [11] | |
| Equilibrium potential for AMPA-Rs | 0 mV | [11] | |
| AMPA-R activation rate | 1100 × 103 M−1 s−1 | [11] | |
| AMPA-R inactivation rate | 190 s−1 | [11] | |
| Maximal NMDA-Rs conductance | 0.18 S·m−2 | [11] | |
| Equilibrium potential for NMDA-Rs | 0 mV | [11] | |
| NMDA-R activation rate | 72 × 103 M−1 s−1 | [11] | |
| NMDA-R inactivation rate | 6.6 s−1 | [11] | |
| Magnesium in ECS | 1 mM | [11] | |
| Maximal GABAA-Rs conductance | 0.5 S·m−2 | [25] | |
| Equilibrium potential for GABAA-Rs | −85 mV | [25] | |
| GABAA-R activation rate | 500 × 103 M−1 s−1 | [25] | |
| GABAA-R inactivation rate | 720 s−1 | [25] | |
| Maximal NKA velocity | 1.12 × 10−6 mol·m−2 s−1 | [11] | |
| NKA Na+ affinity | 0.01 M | [11] | |
| NKA K+ affinity | 0.6 × 10−3 M | [11] | |
| Maximal PMCA velocity | 0.2 × 10−6 mol·m−2 s−1 | [11] | |
| PMCA Ca2+ affinity | 0.2 × 10−6 M | [11] | |
| Na+ leak conductance | Calculated for model stability | ||
| K+ leak conductance | Calculated for model stability | ||
| Ca2+ leak conductance | Calculated for model stability | ||
| Conversion factor from µA cm−2 to A m−2 | 0.01 | – | |
| Na+ valency | 1 | – | |
| K+ valency | 1 | – | |
| Ca2+ valency | 2 | – |
| Variable | Description | Initial Value | Source |
|---|---|---|---|
| Post membrane potential | −70 mV | [11] | |
| Na+ in Post | 15 mM | [11] | |
| K+ in Post | 100 mM | [11] | |
| Ca2+ in Post | 50 nM | [11] | |
| Gating variables for Na+ and K+ in a Hodgkin-Huxley formalism | [11] | ||
| Gating variable for Ca2+ | [11] | ||
| , where | Fractions of activated AMPA-Rs, NMDA-Rs and GABAA-Rs | 0 | [11,25] |
| Variable | Description |
|---|---|
| External pulsed current applied to the Post. Characteristics: amplitude 0.067 µM·cm−2, frequency 10 Hz, pulse width 3 ms. Applied with a 2 ms delay relative to the Pre. Necessary for removing the magnesium block in the Post. | |
| Na+ in ECS | |
| K+ in ECS | |
| Ca2+ in ECS | |
| Glutamate in ECS | |
| GABA in ECS |
Appendix C. Astrocytic Compartment
| Equation | Description | Source |
|---|---|---|
| Na+ membrane current density | Adapted from [11,25] | |
| K+ membrane current density | [11] | |
| Ca2+ membrane current density | [11] | |
| GABA membrane current density | [25] | |
| Glutamate membrane current density | [25] | |
| EAAT-2 current | [11] | |
| NCX current | [11] | |
| NKA current | [11] | |
| Kir4.1 current | [11] | |
| Equilibrium potential for Kir4.1 | [11] | |
| GAT-3 current | [25] | |
| Equilibrium potential for GAT-3 | [25] | |
| , where | Na+, K+, Ca2+ GABA and glutamate membrane currents | [11] |
| , where | Na+, K+ and Ca2+ membrane fluxes | [11] |
| , where | GABA and glutamate membrane fluxes | Adapted from [11,25] |
| , where | Leaflet diffusion of Na+, K+ and Ca2+ | [11] |
| , where | Equilibrium potentials relative to the ECS | Adapted from [11,25] |
| , where | Equilibrium potentials for ions relative to the intracellular space of the astrocyte | [11] |
| , where | Leak currents | Adapted from [11,25] |
| , where | Changes in ion concentrations | [11] |
| , where | Changes in neurotransmitter concentrations accounting for decay | Adapted from [11,25] |
| Parameter | Description | Value | Source |
|---|---|---|---|
| Faraday’s constant | 96,485.33 C·mol−1 | – | |
| Ideal gas constant | 8.3145 J·mol−1·K−1 | – | |
| Absolute temperature | 310 K | – | |
| Elementary charge | 1.6002 × 10−19 C | – | |
| Boltzmann’s constant | 1.38 × 10−23 J·K−1 | – | |
| PsC volume | 0.031416 fl | [11] | |
| PsC surface area | 0.23562 µm2 | [11] | |
| Leaflet cross-sectional area | 0.007854 µm2 | [11] | |
| Leaflet length | 2 µm | [11] | |
| Astrocyte resting potential | −80.7 mV | [11] | |
| Maximal EAAT-2 velocity | 3 × 10−6 mol·m−2·s−1 | [11] | |
| Average EAAT-2 efficiency | 0.5 | [11] | |
| EAAT-2 glutamate affinity | 20 µM | [11] | |
| Maximal NCX current | 1 A·m−2 | [11] | |
| Maximal NKA velocity | 3.36 × 10−6 mol·m−2 s−1 | [11] | |
| NKA Na+ affinity | 0.01 M | [11] | |
| NKA K+ affinity | 3.6 × 10−3 M | [11] | |
| Maximal Kir4.1 channels conductance | 144 S·m−2 | [11] | |
| Maximal GAT-3 conductance | 150 S·m−2 | Adapted from [25] | |
| Chloride in the PsC | 40 mM | [43] | |
| Chloride in the ECS | 135 mM | [43] | |
| Poole—Frankel channel constant | 0.018 S·m−1 | [11] | |
| Well activation energy | 10 J | [11] | |
| Dynamic permittivity | 8.142 × 10−12 | [11] | |
| Glutamate degradation rate | 10 s−1 | Adapted from [12] | |
| GABA degradation rate | 0.1 s−1 | Adapted from [12] | |
| Na+ in the astrocyte intracellular space | 15 mM | [11] | |
| K+ in the astrocyte intracellular space | 100 mM | [11] | |
| Ca2+ in the astrocyte intracellular space | 100 nM | [11] | |
| Na+ valency | 1 | – | |
| K+ valency | 1 | – | |
| Ca2+ valency | 2 | – | |
| Glutamate valency | −1 | – |
| Variable | Description | Initial Value | Source |
|---|---|---|---|
| Na+ in PsC | 15 mM | [11] | |
| K+ in PsC | 100 mM | [11] | |
| Ca2+ in PsC | 100 nM | [11] | |
| GABA in PsC | 4.5 mM | [43] | |
| Glutamate in PsC | 1.5 mM | [25] |
| Variable | Description |
|---|---|
| Na+ in ECS | |
| K+ in ECS | |
| Ca2+ in ECS | |
| Glutamate in ECS | |
| GABA in ECS |
Appendix D. Extracellular Space Compartment
| Equation | Description | Source |
|---|---|---|
| , where | Na+, K+ and Ca2+ currents in the ECS | [11] |
| , where | GABA and glutamate currents in the ECS | Adapted from [11,25] |
| , where | Na+, K+ and Ca2+ ECS diffusion | [11] |
| , where | Na+, K+, Ca2+, GABA and glutamate fluxes | [11] |
| , where | Equilibrium potentials for ions relative to the GECS | [11] |
| , where | Changes in Na+, K+, Ca2+ and GABA concentrations | Adapted from [11,25] |
| Change in glutamate concentration accounting for decay | Adapted from [11,25] |
| Parameter | Description | Value | Source |
|---|---|---|---|
| Faraday’s constant | 96,485.33 C·mol−1 | – | |
| Ideal gas constant | 8.3145 J·mol−1·K−1 | – | |
| Absolute temperature | 310 K | – | |
| ECS volume | 0.00786 fl | [11] | |
| ECS diffusion surface area | 0.015 µm2 | [11] | |
| Maximal diffusion conductance | 1 S·m−2 | [11] | |
| Conductance scaling factor | 10 | [11] | |
| Na+ in the GECS | 135 mM | [11] | |
| K+ in the GECS | 4 mM | [11] | |
| Ca2+ in the GECS | 1.5 mM | [11] | |
| Glutamate decay rate | 5 ms | [11] | |
| Na+ valency | 1 | – | |
| K+ valency | 1 | – | |
| Ca2+ valency | 2 | – | |
| Glutamate valency | −1 | – |
| Variable | Description | Initial Value | Source |
|---|---|---|---|
| Na+ in the ECS | 135 mM | [11] | |
| K+ in the ECS | 4 mM | [11] | |
| Ca2+ in the ECS | 1.5 mM | [11] | |
| GABA in the ECS | 0.8 µM | [43] | |
| Glutamate in the ECS | 0.1 nM | [25] |
| Variable | Description |
|---|---|
| , where | Na+, K+ and Ca2+ transmembrane Pre currents |
| Glutamate released by the Pre | |
| Glutamate released by the interneuron | |
| , where | Na+, K+ and Ca2+ transmembrane Post currents |
| , where | Na+, K+, Ca2+, GABA and glutamate transmembrane astrocytic currents |
Appendix E. Interneuron Compartment
| Equation | Description | Source |
|---|---|---|
| Change in membrane potential | [12] | |
| Voltage-gated Na+ channels current | [11] | |
| Voltage-gated K+ channels current | [11] | |
| Background leak channels current | [11] | |
| , where | Changes in gating variables for Na+ and K+ in a Hodgkin-Huxley formalism | [11] |
| Voltage-gated Na+ channel activation forward rate | [12] | |
| Voltage-gated Na+ channel activation backward rate | [12] | |
| Voltage-gated Na+ channel inactivation forward rate | [12] | |
| Voltage-gated Na+ channel inactivation backward rate | [12] | |
| Voltage-gated K+ channel activation forward rate | [12] | |
| Voltage-gated K+ channel activation backward rate | [12] | |
| Change in fraction of synaptic vesicles in the recovered state | [12] | |
| Change in fraction of synaptic vesicles in the active state | [12] | |
| Fraction of synaptic vesicles in the inactive state | [12] | |
| Concentration of GABA released per second | Adapted from [12] |
| Parameter | Description | Value | Source |
|---|---|---|---|
| Membrane capacitance | 1 µF·cm−2 | [12] | |
| Interneuron resting potential | −70 mV | [12] | |
| Maximal voltage-gated Na+ channels conductance | 120 mS·cm−2 | [12] | |
| Maximal voltage-gated K+ channels conductance | 36 mS·cm−2 | [12] | |
| Maximal leak channels conductance | 0.3 mS·cm−2 | [12] | |
| Equilibrium potential for Na+ | 45 mV | [12] | |
| Equilibrium potential for K+ | −82 mV | [12] | |
| Vesicle recovery time constant | 0.8 s | [12] | |
| Vesicle inactivation time constant | 0.003 s | [12] | |
| Number of docked vesicles | 7 | Adapted from [12] | |
| GABA concentration in single vesicle | 100 mM | Adapted from [12] |
| Variable | Description | Initial Value | Source |
|---|---|---|---|
| Interneuron membrane potential | −70 mV | [12] | |
| Na+ gating variable in a Hodgkin-Huxley formalism (activation) | 0.1 | [12] | |
| Na+ gating variable in a Hodgkin-Huxley formalism (inactivation) | 0.6 | [12] | |
| K+ gating variable in a Hodgkin-Huxley formalism (activation) | 0.3 | [12] | |
| Fraction of synaptic vesicles in the recovered state | 1 | [12] | |
| Fraction of synaptic vesicles in the active state | 0 | [12] |
References
- Devinsky, O.; Vezzani, A.; O’Brien, T.J.; Jette, N.; Scheffer, I.E.; De Curtis, M.; Perucca, P. Epilepsy. Nat. Rev. Dis. Primers 2018, 4, 18024. [Google Scholar] [CrossRef]
- Fisher, R.S.; Acevedo, C.; Arzimanoglou, A.; Bogacz, A.; Cross, J.H.; Elger, C.E.; Engel, J.; Forsgren, L.; French, J.A.; Glynn, M.; et al. ILAE Official Report: A Practical Clinical Definition of Epilepsy. Epilepsia 2014, 55, 475–482. [Google Scholar] [CrossRef]
- Shorvon, S.D. The Causes of Epilepsy: Changing Concepts of Etiology of Epilepsy over the Past 150 Years. Epilepsia 2011, 52, 1033–1044. [Google Scholar] [CrossRef] [PubMed]
- Perucca, P.; Gilliam, F.G. Adverse Effects of Antiepileptic Drugs. Lancet Neurol. 2012, 11, 792–802. [Google Scholar] [CrossRef]
- Chen, Z.; Brodie, M.J.; Liew, D.; Kwan, P. Treatment Outcomes in Patients with Newly Diagnosed Epilepsy Treated with Established and New Antiepileptic Drugs: A 30-Year Longitudinal Cohort Study. JAMA Neurol. 2018, 75, 279–286, Correction in JAMA Neurol. 2018, 75, 384. [Google Scholar] [CrossRef]
- Depannemaecker, D.; Destexhe, A.; Jirsa, V.; Bernard, C. Modeling Seizures: From Single Neurons to Networks. Seizure 2021, 90, 4–8. [Google Scholar] [CrossRef] [PubMed]
- De Almeida, A.C.G.; Rodrigues, A.M.; Scorza, F.A.; Cavalheiro, E.A.; Teixeira, H.Z.; Duarte, M.A.; Silveira, G.A.; Arruda, E.Z. Mechanistic Hypotheses for Nonsynaptic Epileptiform Activity Induction and Its Transition from the Interictal to Ictal State—Computational Simulation. Epilepsia 2008, 49, 1908–1924. [Google Scholar] [CrossRef] [PubMed]
- Rodrigues, A.M.; Santos, L.E.C.; Covolan, L.; Hamani, C.; De Almeida, A.C.G. PH during Non-Synaptic Epileptiform Activity—Computational Simulations. Phys. Biol. 2015, 12, 056007. [Google Scholar] [CrossRef]
- Proix, T.; Bartolomei, F.; Guye, M.; Jirsa, V.K. Individual Brain Structure and Modelling Predict Seizure Propagation. Brain 2017, 140, 641–654. [Google Scholar] [CrossRef]
- Zhang, H.; Su, J.; Wang, Q.; Liu, Y.; Good, L.; Pascual, J.M. Predicting Seizure by Modeling Synaptic Plasticity Based on EEG Signals—A Case Study of Inherited Epilepsy. Commun. Nonlinear Sci. Numer. Simul. 2018, 56, 330–343. [Google Scholar] [CrossRef]
- Toman, M.; Wade, J.J.; Verkhratsky, A.; Dallas, M.; Bithell, A.; Flanagan, B.; Harkin, J.; McDaid, L. The Influence of Astrocytic Leaflet Motility on Ionic Signalling and Homeostasis at Active Synapses. Sci. Rep. 2023, 13, 3050. [Google Scholar] [CrossRef]
- Borjkhani, M.; Bahrami, F.; Janahmadi, M. Computational Modeling of Opioid-Induced Synaptic Plasticity in Hippocampus. PLoS ONE 2018, 13, e0193410. [Google Scholar] [CrossRef]
- Muddapu, V.R.; Chakravarthy, V.S. Influence of Energy Deficiency on the Subcellular Processes of Substantia Nigra Pars Compacta Cell for Understanding Parkinsonian Neurodegeneration. Sci. Rep. 2021, 11, 1754. [Google Scholar] [CrossRef]
- Bao, H.; Hu, A.; Liu, W.; Bao, B. Hidden Bursting Firings and Bifurcation Mechanisms in Memristive Neuron Model with Threshold Electromagnetic Induction. IEEE Trans. Neural Netw. Learn. Syst. 2020, 31, 502–511. [Google Scholar] [CrossRef] [PubMed]
- Li, K.; Bao, H.; Li, H.; Ma, J.; Hua, Z.; Bao, B. Memristive Rulkov Neuron Model with Magnetic Induction Effects. IEEE Trans. Ind. Inf. 2022, 18, 1726–1736. [Google Scholar] [CrossRef]
- Earnshaw, B.A.; Bressloff, P.C. Biophysical Model of AMPA Receptor Trafficking and Its Regulation during Long-Term Potentiation/Long-Term Depression. J. Neurosci. 2006, 26, 12362–12373. [Google Scholar] [CrossRef]
- Toglia, P.; Ullah, G. Mitochondrial Dysfunction and Role in Spreading Depolarization and Seizure. J. Comput. Neurosci. 2019, 47, 91–108. [Google Scholar] [CrossRef]
- Santhakumar, V.; Aradi, I.; Soltesz, I. Role of Mossy Fiber Sprouting and Mossy Cell Loss in Hyperexcitability: A Network Model of the Dentate Gyrus Incorporating Cell Types and Axonal Topography. J. Neurophysiol. 2005, 93, 437–453. [Google Scholar] [CrossRef]
- Tejada, J.; Garcia-Cairasco, N.; Roque, A.C. Combined Role of Seizure-Induced Dendritic Morphology Alterations and Spine Loss in Newborn Granule Cells with Mossy Fiber Sprouting on the Hyperexcitability of a Computer Model of the Dentate Gyrus. PLoS Comput. Biol. 2014, 10, e1003601. [Google Scholar] [CrossRef] [PubMed]
- Depannemaecker, D.; Ivanov, A.; Lillo, D.; Spek, L.; Bernard, C.; Jirsa, V. A Unified Physiological Framework of Transitions between Seizures, Sustained Ictal Activity and Depolarization Block at the Single Neuron Level. J. Comput. Neurosci. 2022, 50, 33–49. [Google Scholar] [CrossRef]
- Chizhov, A.V.; Zefirov, A.V.; Amakhin, D.V.; Smirnova, E.Y.; Zaitsev, A.V. Minimal Model of Interictal and Ictal Discharges “Epileptor-2”. PLoS Comput. Biol. 2018, 14, e1006186, Correction in PLoS Comput. Biol. 2019, 15, e1007359. [Google Scholar] [CrossRef]
- Wei, Y.; Ullah, G.; Ingram, J.; Schiff, S.J. Oxygen and Seizure Dynamics: II. Computational Modeling. J. Neurophysiol. 2014, 112, 213–223. [Google Scholar] [CrossRef] [PubMed]
- Löscher, W. Single-Target Versus Multi-Target Drugs Versus Combinations of Drugs with Multiple Targets: Preclinical and Clinical Evidence for the Treatment or Prevention of Epilepsy. Front. Pharmacol. 2021, 12, 730257. [Google Scholar] [CrossRef]
- Boddum, K.; Jensen, T.P.; Magloire, V.; Kristiansen, U.; Rusakov, D.A.; Pavlov, I.; Walker, M.C. Astrocytic GABA Transporter Activity Modulates Excitatory Neurotransmission. Nat. Commun. 2016, 7, 13572. [Google Scholar] [CrossRef] [PubMed]
- Flanagan, B.; McDaid, L.; Wade, J.J.; Toman, M.; Wong-Lin, K.F.; Harkin, J. A Computational Study of Astrocytic GABA Release at the Glutamatergic Synapse: EAAT-2 and GAT-3 Coupled Dynamics. Front. Cell. Neurosci. 2021, 15, 682460. [Google Scholar] [CrossRef]
- Héja, L.; Nyitrai, G.; Kékesi, O.; Dobolyi, Á.; Szabó, P.; Fiáth, R.; Ulbert, I.; Pál-Szenthe, B.; Palkovits, M.; Kardos, J. Astrocytes Convert Network Excitation to Tonic Inhibition of Neurons. BMC Biol. 2012, 10, 26. [Google Scholar] [CrossRef]
- Perea, G.; Navarrete, M.; Araque, A. Tripartite Synapses: Astrocytes Process and Control Synaptic Information. Trends Neurosci. 2009, 32, 421–431. [Google Scholar] [CrossRef]
- Li, L.; Zhou, J.; Sun, H.; Liu, J.; Wang, H.; Liu, X.; Wang, C. A Computational Model to Investigate GABA-Activated Astrocyte Modulation of Neuronal Excitation. Comput. Math. Methods Med. 2020, 2020, 8750167. [Google Scholar] [CrossRef] [PubMed]
- Hodgkin, A.L.; Huxley, A.F. A Quantitative Description of Membrane Current and Its Application to Conduction and Excitation in Nerve. J. Physiol. 1952, 117, 500–544. [Google Scholar] [CrossRef]
- Jourdain, P.; Bergersen, L.H.; Bhaukaurally, K.; Bezzi, P.; Santello, M.; Domercq, M.; Matute, C.; Tonello, F.; Gundersen, V.; Volterra, A. Glutamate Exocytosis from Astrocytes Controls Synaptic Strength. Nat. Neurosci. 2007, 10, 331–339. [Google Scholar] [CrossRef]
- Sakaba, T.; Neher, E. Direct Modulation of Synaptic Vesicle Priming by GABAB Receptor Activation at a Glutamatergic Synapse. Nature 2003, 424, 775–778. [Google Scholar] [CrossRef]
- Tsodyks, M.; Pawelzik, K.; Markram, H. Neural Networks with Dynamic Synapses. Neural Comput. 1998, 10, 821–835. [Google Scholar] [CrossRef]
- Verkhratsky, A.; Nedergaard, M. Astroglial Cradle in the Life of the Synapse. Philos. Trans. R. Soc. B Biol. Sci. 2014, 369, 20130595. [Google Scholar] [CrossRef]
- Benediktsson, A.M.; Schachtele, S.J.; Green, S.H.; Dailey, M.E. Ballistic Labeling and Dynamic Imaging of Astrocytes in Organotypic Hippocampal Slice Cultures. J. Neurosci. Methods 2005, 141, 41–53. [Google Scholar] [CrossRef]
- Oberheim, N.A.; Takano, T.; Han, X.; He, W.; Lin, J.H.C.; Wang, F.; Xu, Q.; Wyatt, J.D.; Pilcher, W.; Ojemann, J.G.; et al. Uniquely Hominid Features of Adult Human Astrocytes. J. Neurosci. 2009, 29, 3276–3287. [Google Scholar] [CrossRef]
- Johnston, D.; Wu, S. Foundations of Cellular Neurophysiology; MIT Press: Cambridge, MA, USA, 1994; ISBN 9780262100533. [Google Scholar]
- Petroff, O.A.C. GABA and Glutamate in the Human Brain. Neuroscientist 2002, 8, 562–573. [Google Scholar] [CrossRef] [PubMed]
- Zucker, R.S.; Regehr, W.G. Short-Term Synaptic Plasticity. Annu. Rev. Physiol. 2002, 64, 355–405. [Google Scholar] [CrossRef] [PubMed]
- Chatton, J.Y.; Marquet, P.; Magistretti, P.J. A Quantitative Analysis of L-Glutamate-Regulated Na+ Dynamics in Mouse Cortical Astrocytes: Implications for Cellular Bioenergetics. Eur. J. Neurosci. 2000, 12, 3843–3853. [Google Scholar] [CrossRef]
- Rossi, D.J.; Hamann, M.; Attwell, D. Multiple Modes of GABAergic Inhibition of Rat Cerebellar Granule Cells. J. Physiol. 2003, 548, 97–110. [Google Scholar] [CrossRef] [PubMed]
- Farrant, M.; Nusser, Z. Variations on an Inhibitory Theme: Phasic and Tonic Activation of GABA A Receptors. Nat. Rev. Neurosci. 2005, 6, 215–229. [Google Scholar] [CrossRef]
- Verkhratsky, A.; Nedergaard, M. Physiology of Astroglia. Physiol. Rev. 2017, 98, 239–389. [Google Scholar] [CrossRef]
- Kilb, W.; Kirischuk, S. GABA Release from Astrocytes in Health and Disease. Int. J. Mol. Sci. 2022, 23, 15859. [Google Scholar] [CrossRef]
- Armbruster, M.; Hanson, E.; Dulla, C.G. Glutamate Clearance Is Locally Modulated by Presynaptic Neuronal Activity in the Cerebral Cortex. J. Neurosci. 2016, 36, 10404–10415. [Google Scholar] [CrossRef]
- Gardner-Medwin, A.R. Analysis of Potassium Dynamics in Mammalian Brain Tissue. J. Physiol. 1983, 335, 393–426. [Google Scholar] [CrossRef] [PubMed]
- Méndez, P.; Bacci, A. Assortment of GABAergic Plasticity in the Cortical Interneuron Melting Pot. Neural Plast. 2011, 2011, 976856. [Google Scholar] [CrossRef]
- Perucca, E. Pharmacological and Therapeutic Properties of Valproate. CNS Drugs 2012, 16, 695–714. [Google Scholar] [CrossRef]
- Rogawski, M.A.; Löscher, W. The Neurobiology of Antiepileptic Drugs. Nat. Rev. Neurosci. 2004, 5, 553–564. [Google Scholar] [CrossRef] [PubMed]
- Liu, J.; Tu, H.; Zhang, D.; Zheng, H.; Li, Y.L. Voltage-Gated Sodium Channel Expression and Action Potential Generation in Differentiated NG108-15 Cells. BMC Neurosci. 2012, 13, 129. [Google Scholar] [CrossRef] [PubMed]
- Cressman, J.R.; Ullah, G.; Ziburkus, J.; Schiff, S.J.; Barreto, E. The Influence of Sodium and Potassium Dynamics on Excitability, Seizures, and the Stability of Persistent States: I. Single Neuron Dynamics. J. Comput. Neurosci. 2009, 26, 159–170, Correction in J. Comput. Neurosci. 2011, 30, 781. [Google Scholar] [CrossRef]
- Wei, Y.; Ullah, G.; Schiff, S.J. Unification of Neuronal Spikes, Seizures, and Spreading Depression. J. Neurosci. 2014, 34, 11733–11743. [Google Scholar] [CrossRef] [PubMed]
- Kalia, M.; Meijer, H.G.E.; van Gils, S.A.; van Putten, M.J.A.M.; Rose, C.R. Ion Dynamics at the Energy-Deprived Tripartite Synapse. PLoS Comput. Biol. 2021, 17, e1009019. [Google Scholar] [CrossRef]
- Breslin, K.; Wade, J.J.; Wong-Lin, K.F.; Harkin, J.; Flanagan, B.; Van Zalinge, H.; Hall, S.; Walker, M.; Verkhratsky, A.; McDaid, L. Potassium and Sodium Microdomains in Thin Astroglial Processes: A Computational Model Study. PLoS Comput. Biol. 2018, 14, e1006151. [Google Scholar] [CrossRef] [PubMed]
- Halnes, G.; Østby, I.; Pettersen, K.H.; Omholt, S.W.; Einevoll, G.T. Electrodiffusive Model for Astrocytic and Neuronal Ion Concentration Dynamics. PLoS Comput. Biol. 2013, 9, e1003386. [Google Scholar] [CrossRef] [PubMed]
- Chizhov, A.V.; Amakhin, D.V.; Zaitsev, A.V. Mathematical Model of Na-K-Cl Homeostasis in Ictal and Interictal Discharges. PLoS ONE 2019, 14, e0213904. [Google Scholar] [CrossRef]
- Chizhov, A.V.; Amakhin, D.V.; Smirnova, E.Y.; Zaitsev, A.V. Ictal Wavefront Propagation in Slices and Simulations with Conductance-Based Refractory Density Model. PLoS Comput. Biol. 2022, 18, e1009782. [Google Scholar] [CrossRef]
- Flanagan, B.; McDaid, L.; Wade, J.; Wong-Lin, K.F.; Harkin, J. A Computational Study of Astrocytic Glutamate Influence on Post-Synaptic Neuronal Excitability. PLoS Comput. Biol. 2018, 14, e1006040. [Google Scholar] [CrossRef]
- Liu, L.; Gao, H.; Li, J.; Chen, S. Probing Microdomain Ca2+ Activity and Synaptic Transmission with a Node-Based Tripartite Synapse Model. Front. Netw. Physiol. 2023, 3, 1111306. [Google Scholar] [CrossRef]
- Liu, J.; McDaid, L.; Araque, A.; Wade, J.; Harkin, J.; Karim, S.; Henshall, D.C.; Connolly, N.M.C.; Johnson, A.P.; Tyrrell, A.M.; et al. GABA Regulation of Burst Firing in Hippocampal Astrocyte Neural Circuit: A Biophysical Model. Front. Cell Neurosci. 2019, 13, 460520. [Google Scholar] [CrossRef]
- Kondrakhin, P.Y.; Kolpakov, F.A. Multilevel Mathematical Model of Epileptic Seizures. Math. Biol. Bioinform. 2023, 18, 479–516. [Google Scholar] [CrossRef]
- Kolpakov, F.; Akberdin, I.; Kashapov, T.; Kiselev, L.; Kolmykov, S.; Kondrakhin, Y.; Kutumova, E.; Mandrik, N.; Pintus, S.; Ryabova, A.; et al. BioUML: An Integrated Environment for Systems Biology and Collaborative Analysis of Biomedical Data. Nucleic Acids Res. 2019, 47, W225–W233. [Google Scholar] [CrossRef]
- Kolpakov, F.; Akberdin, I.; Kiselev, I.; Kolmykov, S.; Kondrakhin, Y.; Kulyashov, M.; Kutumova, E.; Pintus, S.; Ryabova, A.; Sharipov, R.; et al. BioUML—Towards a Universal Research Platform. Nucleic Acids Res. 2022, 50, W124–W131. [Google Scholar] [CrossRef] [PubMed]








| Model | Crucial Components |
|---|---|
| Toman et al., 2023 [11] | VGKC, VGNaC, VGCaC, AMPAR, NMDAR, Glu |
| Flanagan et al., 2021 [25] | VGKC, VGNaC, AMPAR, NMDAR, GABAAR, mGluR, GAT-3, Glu, GABA |
| Borjkhani et al., 2018 [12] | VGKC, VGNaC, VGCaC, AMPAR, NMDAR, Glu, GABA |
| Li et al., 2020 [28] | AMPAR, NMDAR, GABABR, mGluR, Glu, GABA |
| Graphical Notation | Name | Description |
|---|---|---|
![]() | Submodel | Module that can contain either a model of a subsystem or an entire modular model. Input and output variables are defined by ports |
![]() | Input port | Port that defines the input variable of the submodel |
![]() | Output port | Port that defines the input variable of the submodel |
![]() | Directed connection | Connection corresponds to a variable value calculated in one module and then passed to another module |
![]() | Bus | Variable in the modular model. Multiple buses may correspond to a single variable |
Disclaimer/Publisher’s Note: The statements, opinions and data contained in all publications are solely those of the individual author(s) and contributor(s) and not of MDPI and/or the editor(s). MDPI and/or the editor(s) disclaim responsibility for any injury to people or property resulting from any ideas, methods, instructions or products referred to in the content. |
© 2026 by the authors. Licensee MDPI, Basel, Switzerland. This article is an open access article distributed under the terms and conditions of the Creative Commons Attribution (CC BY) license.
Share and Cite
Kondrakhin, P.Y.; Kolpakov, F.A. Modular Model of Neuronal Activity That Captures the Dynamics of Main Molecular Targets of Antiepileptic Drugs. Int. J. Mol. Sci. 2026, 27, 490. https://doi.org/10.3390/ijms27010490
Kondrakhin PY, Kolpakov FA. Modular Model of Neuronal Activity That Captures the Dynamics of Main Molecular Targets of Antiepileptic Drugs. International Journal of Molecular Sciences. 2026; 27(1):490. https://doi.org/10.3390/ijms27010490
Chicago/Turabian StyleKondrakhin, Pavel Y., and Fedor A. Kolpakov. 2026. "Modular Model of Neuronal Activity That Captures the Dynamics of Main Molecular Targets of Antiepileptic Drugs" International Journal of Molecular Sciences 27, no. 1: 490. https://doi.org/10.3390/ijms27010490
APA StyleKondrakhin, P. Y., & Kolpakov, F. A. (2026). Modular Model of Neuronal Activity That Captures the Dynamics of Main Molecular Targets of Antiepileptic Drugs. International Journal of Molecular Sciences, 27(1), 490. https://doi.org/10.3390/ijms27010490






