Structural, Magnetic, Optical and Photocatalytic Properties of Co-Doped ZnO Nanocrystals
Abstract
1. Introduction
2. Results
2.1. Scanning Electron Microscopy
2.2. X-Ray Diffraction
2.3. Electron Paramagnetic Resonance (EPR)
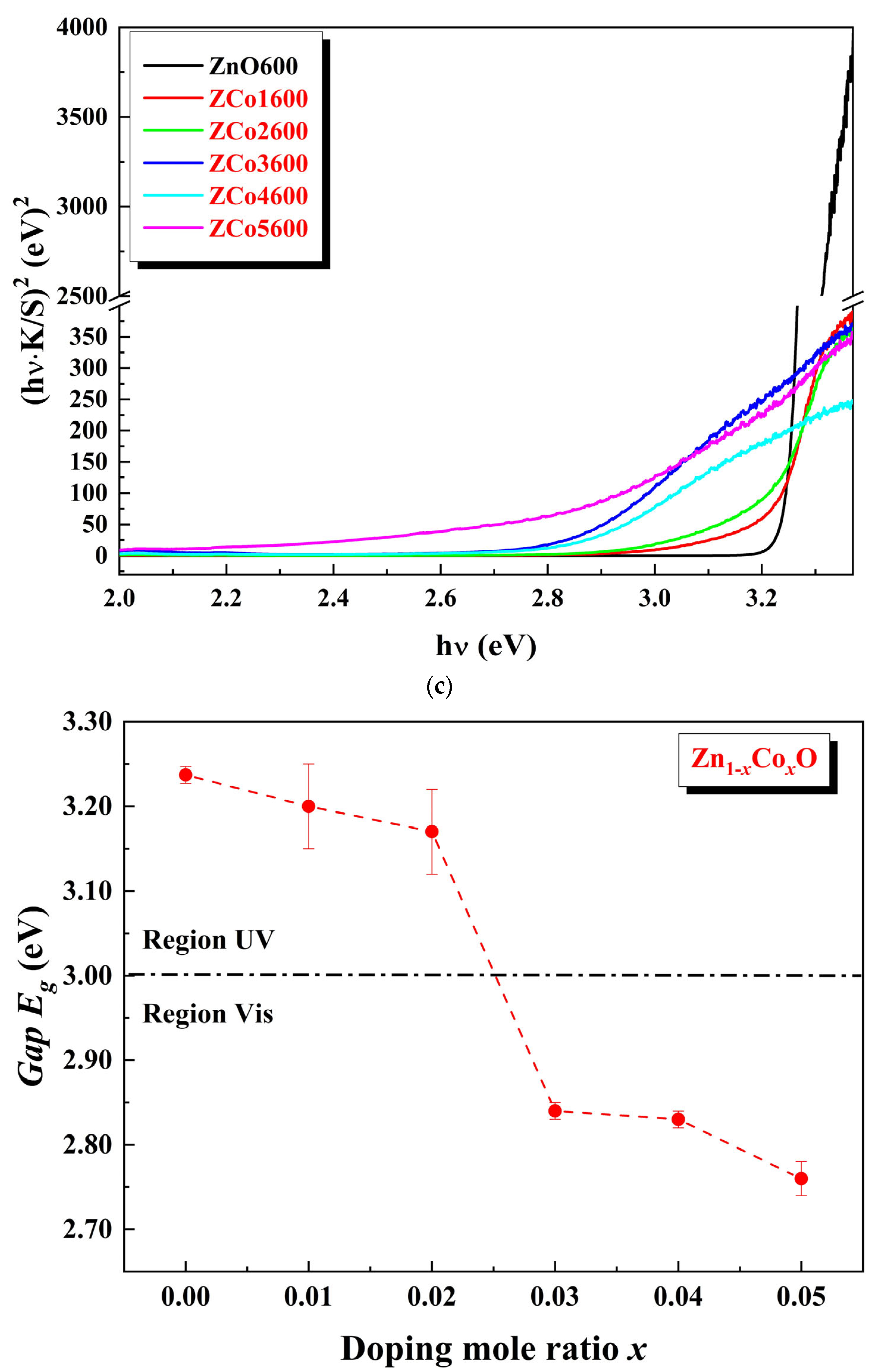
2.4. Optical Characterization: Raman, Photoluminescence and Photoreflectance
3. Discussion
4. Materials and Methods
5. Conclusions
Author Contributions
Funding
Informed Consent Statement
Data Availability Statement
Acknowledgments
Conflicts of Interest
References
- Ayoub, I.; Kumar, V.; Abolhassani, R.; Sehgal, R.; Sharma, V.; Sehgal, R.; Swart, H.C.; Mishra, Y.K. Advances in ZnO: Manipulation of Defects for Enhancing Their Technological Potentials. Nanotechnol. Rev. 2022, 11, 575–619. [Google Scholar] [CrossRef]
- Galdámez-Martinez, A.; Santana, G.; Güell, F.; Martínez-Alanis, P.R.; Dutt, A. Photoluminescence of ZnO Nanowires: A Review. Nanomaterials 2020, 10, 857. [Google Scholar] [CrossRef] [PubMed]
- Kumawat, A.; Misra, K.P.; Chattopadhyay, S. Band Gap Engineering and Relationship with Luminescence in Rare-Earth Elements Doped ZnO: An Overview. Mater. Technol. 2022, 37, 1595–1610. [Google Scholar] [CrossRef]
- Samadi, M.; Zirak, M.; Naseri, A.; Khorashadizade, E.; Moshfegh, A.Z. Recent Progress on Doped ZnO Nanostructures for Visible-Light Photocatalysis. Thin Solid Films 2016, 605, 2–19. [Google Scholar] [CrossRef]
- Acosta-Humánez, F.; Vargas-Hernandez, C.; Almanza, O. Effect of Sintering Temperature on the Structure and Mean Crystallite Size of Zn1-xCoxO (x = 0.01–0.05) Samples. Superf. Vacío 2014, 27, 43–48. [Google Scholar]
- Reddy, A.J.; Kokila, M.; Nagabhushana, H.; Rao, J.; Shivakumara, C.; Nagabhushana, B.; Chakradhar, R. Combustion Synthesis, Characterization and Raman Studies of ZnO Nanopowders. Spectrochim. Acta A 2011, 81, 53–58. [Google Scholar] [CrossRef] [PubMed]
- Böttcher, R.; Lorenz, M.; Pöppl, A.; Spemann, D.; Grundmann, M. Local Zincblende Coordination in Heteroepitaxial Wurtzite Zn1−xMgxO:Mn Thin Films with 0.01 ≤ x ≤ 0.04 Identified by Electron Paramagnetic Resonance. J. Mater. Chem. C 2015, 3, 11918–11929. [Google Scholar] [CrossRef]
- Gonzalez Szwacki, N.; Szwacka, T. Basic Elements of Crystallography; Pan Stanford Publishing: Stanford, CA, USA, 2010; ISBN 9789896540821. [Google Scholar]
- Shatnawi, M.; Alsmadi, A.M.; Bsoul, I.; Salameh, B.; Alna’washi, G.A.; Al-Dweri, F.; El Akkad, F. Magnetic and Optical Properties of Co-Doped ZnO Nanocrystalline Particles. J. Alloys Compd. 2016, 655, 244–252. [Google Scholar] [CrossRef]
- Kammoun, S.; Ghoul, J. El Structural and Optical Investigation of Co-Doped ZnO Nanoparticles for Nanooptoelectronic Devices. J. Mater. Sci. Mater. Electron. 2021, 32, 7215–7225. [Google Scholar] [CrossRef]
- Raita, O.; Popa, A.; Toloman, D.; Stan, M.; Darabont, A.; Giurgiu, L. Co2+ Ions in ZnO Powders as Seen by Magnetic Resonance. Appl. Magn. Reson. 2011, 40, 245–250. [Google Scholar] [CrossRef]
- Misra, S.K.; Andronenko, S.I.; Srinivasa Rao, S.; Chess, J.; Punnoose, A. An X-Band Co2+ EPR Study of Zn1-xCoxO (X = 0.005–0.1) Nanoparticles Prepared by Chemical Hydrolysis Methods Using Diethylene Glycol and Denaturated Alcohol at 5 K. J. Magn. Magn. Mater. 2015, 394, 138–142. [Google Scholar] [CrossRef]
- Boča, R. Magnetism of Mononuclear Spin Systems. In A Handbook of Magnetochemical Formulae; Elsevier Inc.: Amsterdam, The Netherlands, 2012; p. 209. ISBN 978-0-12-416014-9. [Google Scholar]
- Marin, D.; Tiwari, S.K.; Bertaina, S.; Savoyant, A. Zero-Field Magnetic Resonance of Cobalt Ion Pairs in ZnO Nanocrystals. Phys. Rev. B 2022, 105, 035424. [Google Scholar] [CrossRef]
- Savoyant, A.; Giovannelli, F.; Delorme, F.; Stepanov, A. EPR Characterization of Co-Doped ZnO Microwires and Distant Spin-Pair Coupling. Semicond. Sci. Technol. 2015, 30, 075004. [Google Scholar] [CrossRef]
- Cuscó, R.; Alarcón-Lladó, E.; Ibáñez, J.; Artús, L.; Jiménez, J.; Wang, B.; Callahan, M.J. Temperature Dependence of Raman Scattering in ZnO. Phys. Rev. B 2007, 75, 165202. [Google Scholar] [CrossRef]
- Sudakar, C.; Kharel, P.; Lawes, G.; Suryanarayanan, R.; Naik, R.; Naik, V.M. Raman Spectroscopic Studies of Oxygen Defects in Co-Doped ZnO Films Exhibiting Room-Temperature Ferromagnetism. J. Phys. Condens. Matter 2007, 19, 026212. [Google Scholar] [CrossRef]
- Cao, Q.; He, S.; Deng, Y.; Zhu, D.; Cui, X.; Liu, G.; Zhang, H.; Yan, S.; Chen, Y.; Mei, L. Raman Scattering Investigations on Co-Doped ZnO Epitaxial Films: Local Vibration Modes and Defect Associated Ferromagnetism. Curr. Appl. Phys. 2014, 14, 744–748. [Google Scholar] [CrossRef]
- Mondal, A.; Pal, S.; Sarkar, A.; Bhattacharya, T.S.; Pal, S.; Singha, A.; Ray, S.K.; Kumar, P.; Kanjilal, D.; Jana, D. Raman Investigation of N-implanted ZnO: Defects, Disorder and Recovery. J. Raman Spectrosc. 2019, 50, 1926–1937. [Google Scholar] [CrossRef]
- McCluskey, M.D. Defects in ZnO. In Defects in Advanced Electronic Materials and Novel Low Dimensional Structures; Stehr, J., Buyanova, I., Chen, W., Eds.; Elsevier Ltd.: Amsterdam, The Netherlands, 2018; ISBN 978-0-08-102053-1. [Google Scholar]
- Kortüm, G. Reflectance Spectroscopy. Principles, Methods, Applications; Springer: Berlin/Heidelberg, Germany, 1969; ISBN 978-3-642-88073-5. [Google Scholar]
- Pankove, J.I. Optical Processes in Semiconductors; Dover Publications Inc.: Mineola, NY, USA, 1971; ISBN 978-0136380238. [Google Scholar]
- Stoll, S.; Schweiger, A. EasySpin, a Comprehensive Software Package for Spectral Simulation and Analysis in EPR. J. Magn. Reson. 2006, 178, 42–55. [Google Scholar] [CrossRef] [PubMed]
- Elaziouti, A.; Laouedj, N.; Ahmed, B. ZnO-Assisted Photocatalytic Degradation of Congo Red and Benzopurpurine 4B in Aqueous Solution. J. Chem. Eng. Process Technol. 2011, 2, 2–10. [Google Scholar] [CrossRef]














| Name | Ds (nm) | a (Å) | c (Å) | R1(δ) Å | R2(δ) Å | θ(δ) ° |
|---|---|---|---|---|---|---|
| ZnO600 | 33.7 | 3.2516 | 5.2093 | 1.954 | 1.997 | 109.1 |
| ZnCoX60 | 23.0 | 3.2523 | 5.2067 | 1.969 | 1.982 | 108.7 |
| Sample | g⊥ | g|| | lwppL (mT) | Δg|| | J (GHz) | w | |
|---|---|---|---|---|---|---|---|
| C1 | 1600 | 2.236 | 2.222 | 7.87 | 0.085 | 0 | 1 |
| 2600 | 2.237 | 2.222 | 10.3 | 0.10 | 0 | 1 | |
| 3600 | 2.240 | 2.213 | 11.3 | 0.095 | 0 | 1 | |
| 4600 | 2.235 | 2.200 | 11.0 | 0.095 | 0 | 1 | |
| 5600 | 2.239 | 2.198 | 10.0 | 0.080 | 0 | 1 | |
| C2 | 1600 | 2.173 | 2.703 | 7.87 | 0 | 0 | 0.105 |
| 2600 | 2.210 | 2.686 | 13.6 | 0 | 0 | 0.180 | |
| 3600 | 2.253 | 2.650 | 20.0 | 0 | 0 | 0.289 | |
| 4600 | 2.194 | 2.709 | 15 | 0 | 0 | 0.104 | |
| 5600 | 2.154 | 2.749 | 8.5 | 0 | 0 | 0.038 | |
| C3 | 1600 | 2.273 | 2.859 | 5.92 | 0 | 0 | 0.047 |
| 2600 | 2.251 | 2.844 | 12.8 | 0 | 0 | 0.088 | |
| 3600 | 2.196 | 2.845 | 12.5 | 0 | 0 | 0.151 | |
| 4600 | 2.231 | 2.841 | 36.0 | 0 | 0 | 0.193 | |
| 5600 | 2.081 | 2.912 | 27.0 | 0 | 0 | 0.065 | |
| C4 | 1600 | 2.033 | 2.676 | 15.9 | 0.200 | −6.37 | 0.035 |
| 2600 | 2.009 | 2.932 | 16.9 | 0 | −6.37 | 0.074 | |
| 3600 | 2.035 | 2.894 | 17.7 | 0 | −6.33 | 0.073 | |
| 4600 | 1.996 | 2.917 | 17.0 | 0 | −6.35 | 0.059 | |
| 5600 | 1.963 | 2.891 | 16.0 | 0 | −6.40 | 0.055 |
| Sample | Peak (P) | λ (nm) | E (eV) |
|---|---|---|---|
| ZnO600 | 1 | 392 | 3.16 |
| 2 | 419 | 2.96 | |
| 3 | 447 | 2.77 | |
| 4 | 458 | 2.71 | |
| 5 | 470 | 2.64 | |
| 6 | 553 | 2.24 | |
| 7 | 638 | 1.94 | |
| ZCo1600 | 1 | 388 | 3.19 |
| 2 | 414 | 3.00 | |
| 3 | 435 | 2.85 | |
| 4 | 498 | 2.49 | |
| 5 | 593 | 2.09 | |
| 6 | 646 | 1.92 | |
| 7 | 678 | 1.83 | |
| 8 | 687 | 1.80 | |
| 9 | 751 | 1.65 | |
| 10 | 839 | 1.48 | |
| ZCo2600 | 1 | 386 | 3.21 |
| 2 | 412 | 3.01 | |
| 3 | 440 | 2.82 | |
| 4 | 497 | 2.50 | |
| 5 | 577 | 2.15 | |
| 6 | 683 | 1.82 | |
| 7 | 704 | 1.76 | |
| 8 | 749 | 1.66 | |
| ZCo3600 | 1 | 425 | 2.92 |
| 2 | 463 | 2.68 | |
| 3 | 504 | 2.46 | |
| 4 | 574 | 2.16 | |
| 5 | 684 | 1.81 | |
| 6 | 752 | 1.65 | |
| ZCo4600 | 1 | 384 | 3.23 |
| 2 | 421 | 2.95 | |
| 3 | 530 | 2.34 | |
| 4 | 689 | 1.80 | |
| 5 | 730 | 1.70 | |
| ZCo5600 | 1 | 391 | 3.17 |
| 2 | 408 | 3.04 | |
| 3 | 433 | 2.86 | |
| 4 | 502 | 2.47 | |
| 5 | 585 | 2.12 | |
| 6 | 687 | 1.80 | |
| 7 | 745 | 1.67 |
Disclaimer/Publisher’s Note: The statements, opinions and data contained in all publications are solely those of the individual author(s) and contributor(s) and not of MDPI and/or the editor(s). MDPI and/or the editor(s) disclaim responsibility for any injury to people or property resulting from any ideas, methods, instructions or products referred to in the content. |
© 2025 by the authors. Licensee MDPI, Basel, Switzerland. This article is an open access article distributed under the terms and conditions of the Creative Commons Attribution (CC BY) license (https://creativecommons.org/licenses/by/4.0/).
Share and Cite
Acosta-Humánez, M.F.; Magon, C.J.; Montes-Vides, L.; Jiménez, J.; Almanza, O. Structural, Magnetic, Optical and Photocatalytic Properties of Co-Doped ZnO Nanocrystals. Int. J. Mol. Sci. 2025, 26, 2117. https://doi.org/10.3390/ijms26052117
Acosta-Humánez MF, Magon CJ, Montes-Vides L, Jiménez J, Almanza O. Structural, Magnetic, Optical and Photocatalytic Properties of Co-Doped ZnO Nanocrystals. International Journal of Molecular Sciences. 2025; 26(5):2117. https://doi.org/10.3390/ijms26052117
Chicago/Turabian StyleAcosta-Humánez, Manuel Fernando, Claudio J. Magon, Luis Montes-Vides, Juan Jiménez, and Ovidio Almanza. 2025. "Structural, Magnetic, Optical and Photocatalytic Properties of Co-Doped ZnO Nanocrystals" International Journal of Molecular Sciences 26, no. 5: 2117. https://doi.org/10.3390/ijms26052117
APA StyleAcosta-Humánez, M. F., Magon, C. J., Montes-Vides, L., Jiménez, J., & Almanza, O. (2025). Structural, Magnetic, Optical and Photocatalytic Properties of Co-Doped ZnO Nanocrystals. International Journal of Molecular Sciences, 26(5), 2117. https://doi.org/10.3390/ijms26052117

