Real-Time PCR-Based Test as a Research Tool for the Retrospective Detection and Identification of SARS-CoV-2 Variants of Concern in a Sample
Abstract
1. Introduction
2. Results
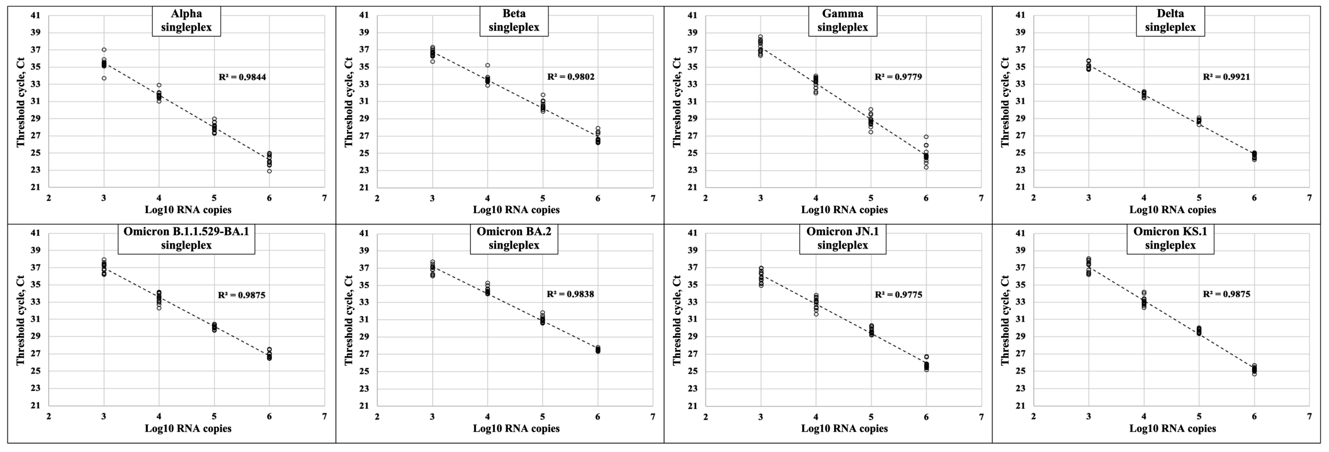
2.1. Experimental Testing of the Created PCR Sets of Oligonucleotides
2.2. Testing of the Multiplexed PCR System on Human Nasopharyngeal Swabs
3. Discussion
4. Materials and Methods
4.1. Search for the SARS-CoV-2 Mutant Variants’ Representative Genomes and Identification of the Variant-Specific Mutations
- For the Beta variant—nucleotide deletion 22281-22289 (del22281-22289; LAL242-244del) in the glycoprotein S gene [23];
- For the Gamma variant—samesense substitution of the AG nucleotides by TC at positions 28877-28878 (S202S) and GGG substitution by AAC at positions 28881-28883 (R203K-G204R) in the nucleocapsid protein N gene [24];
- For the Delta variant—the deletion of nucleotides 28248-28253 (del28248-28253; D119I-F120del) in the ORF8 gene [23];
- For the Omicron’s variant BA.2 modern sublineages JN.1 and KS.1—substitution of the T by A at position 23005 (N481K), substitution of the G by A at position 23009 and nucleotide deletion 23010-23012 (E484K), and substitution of the TT by CC at positions 23018-23019 (F486P) in the glycoprotein S gene [29,30]. It should be noted that this mutation is common among both JN.1 and KS.1 and therefore allows them to be detected but not distinguished from each other.
4.2. Genomic RNA of SARS-CoV-2 Variants
4.3. Cryobank of Human RNA Isolated from Nasopharyngeal Swabs
4.4. Primers and Probes Design
4.5. Real-Time Polymerase Chain Reaction with Reverse Transcription
4.6. Data Analysis
5. Conclusions
Supplementary Materials
Author Contributions
Funding
Institutional Review Board Statement
Informed Consent Statement
Data Availability Statement
Conflicts of Interest
Abbreviations
| ABD | Multiplexed PCR sets for detection of SARS-CoV-2 variants Alpha, Beta, and Delta |
| BLAST | Basic Local Alignment Search Tool |
| COVID-19 | Coronavirus disease 2019 |
| GISAID | The Global Initiative on Sharing All Influenza Data |
| GOm2/JNKS | Multiplexed PCR sets for detection of SARS-CoV-2 variants Gamma, Omicron BA.2, and Omicron sublineages JN.1 and KS.1 |
| IVD | In vitro diagnostic |
| NCBI | The National Center for Biotechnology Information |
| Om1UBC | Multiplexed PCR sets for detection of SARS-CoV-2 variant Omicron B.1.1.529/BA.1 and human UBC gene |
| RT-PCR | Reverse transcription polymerase chain reaction |
| SARS-CoV-2 | Severe Acute Respiratory Syndrome-related Coronavirus 2 |
| UBC | Human ubiquitin C |
| VOC | Variant of Concern |
References
- Khetran, S.R.; Mustafa, R. Mutations of SARS-CoV-2 Structural Proteins in the Alpha, Beta, Gamma, and Delta Variants: Bioinformatics Analysis. JMIR Bioinform. Biotechnol. 2023, 4, e43906. [Google Scholar] [CrossRef]
- Guo, Y.; Han, J.; Zhang, Y.; He, J.; Yu, W.; Zhang, X.; Wu, J.; Zhang, S.; Kong, Y.; Guo, Y.; et al. SARS-CoV-2 Omicron Variant: Epidemiological Features, Biological Characteristics, and Clinical Significance. Front. Immunol. 2022, 13, 877101. [Google Scholar] [CrossRef]
- Satapathy, P.; Kumar, P.; Mehta, V.; Suresh, V.; Khare, A.; Rustagi, S.; Daulati, M.N.; Neyazi, M.; Najafi, E.; Neyazi, A. Global spread of COVID-19’s JN.1 variant: Implications and public health responses. New Microbes New Infect. 2024, 57, 101225. [Google Scholar] [CrossRef] [PubMed]
- Zelyas, N.; Pabbaraju, K.; Croxen, M.A.; Lynch, T.; Buss, E.; Murphy, S.A.; Shokoples, S.; Wong, A.; Kanji, J.N.; Tipples, G. Precision Response to the Rise of the SARS-CoV-2 B.1.1.7 Variant of Concern by Combining Novel PCR Assays and Genome Sequencing for Rapid Variant Detection and Surveillance. Microbiol. Spectr. 2021, 9, e0031521. [Google Scholar] [CrossRef] [PubMed]
- Garson, J.A.; Badru, S.; Parker, E.; Tedder, R.S.; McClure, M.O. Highly sensitive and specific detection of the SARS-CoV-2 Delta variant by double-mismatch allele-specific real time reverse transcription PCR. J. Clin. Virol. 2022, 146, 105049. [Google Scholar] [CrossRef] [PubMed]
- Sibai, M.; Wang, H.; Yeung, P.S.; Sahoo, M.K.; Solis, D.; Mfuh, K.O.; Huang, C.; Yamamoto, F.; Pinsky, B.A. Development and evaluation of an RT-qPCR for the identification of the SARS-CoV-2 Omicron variant. J. Clin. Virol. 2022, 148, 105101. [Google Scholar] [CrossRef] [PubMed]
- Erster, O.; Mendelson, E.; Kabat, A.; Levy, V.; Mannasse, B.; Assraf, H.; Azar, R.; Ali, Y.; Bucris, E.; Bar-Ilan, D.; et al. Specific Detection of SARS-CoV-2 Variants B.1.1.7 (Alpha) and B.1.617.2 (Delta) Using a One-Step Quantitative PCR Assay. Microbiol. Spectr. 2022, 10, e0217621. [Google Scholar] [CrossRef]
- Wang, H.; Jean, S.; Eltringham, R.; Madison, J.; Snyder, P.; Tu, H.; Jones, D.M.; Leber, A.L. Mutation-Specific SARS-CoV-2 PCR Screen: Rapid and Accurate Detection of Variants of Concern and the Identification of a Newly Emerging Variant with Spike L452R Mutation. J. Clin. Microbiol. 2021, 59, e0092621. [Google Scholar] [CrossRef] [PubMed]
- Yeung, P.S.; Wang, H.; Sibai, M.; Solis, D.; Yamamoto, F.; Iwai, N.; Jiang, B.; Hammond, N.; Truong, B.; Bihon, S.; et al. Evaluation of a Rapid and Accessible Reverse Transcription-Quantitative PCR Approach for SARS-CoV-2 Variant of Concern Identification. J. Clin. Microbiol. 2022, 60, e0017822. [Google Scholar] [CrossRef] [PubMed]
- Pabbaraju, K.; Zelyas, N.; Wong, A.; Croxen, M.A.; Lynch, T.; Buss, E.; Murphy, S.; Shokoples, S.; Kanji, J.; Tipples, G. Evolving strategy for an evolving virus: Development of real-time PCR assays for detecting all SARS-CoV-2 variants of concern. J. Virol. Methods 2022, 307, 114553. [Google Scholar] [CrossRef]
- Liu, Y.; Kumblathan, T.; Joyce, M.A.; Tyrrell, D.L.; Tipples, G.; Pang, X.; Li, X.F.; Le, X.C. Multiplex Assays Enable Simultaneous Detection and Identification of SARS-CoV-2 Variants of Concern in Clinical and Wastewater Samples. ACS Meas. Sci. Au 2023, 3, 258–268. [Google Scholar] [CrossRef]
- Potashnikova, D.; Gladkikh, A.; Vorobjev, I.A. Selection of superior reference genes’ combination for quantitative real-time PCR in B-cell lymphomas. Ann. Clin. Lab. Sci. 2015, 45, 64–72. [Google Scholar] [PubMed]
- Vandesompele, J.; De Preter, K.; Pattyn, F.; Poppe, B.; Van Roy, N.; De Paepe, A.; Speleman, F. Accurate normalization of real-time quantitative RT-PCR data by geometric averaging of multiple internal control genes. Genome Biol. 2002, 3, research0034.1. [Google Scholar] [CrossRef]
- Komissarov, A.; Potashnikova, D.; Freeman, M.L.; Gontarenko, V.; Maytesyan, D.; Lederman, M.M.; Vasilieva, E.; Margolis, L. Driving T cells to human atherosclerotic plaques: CCL3/CCR5 and CX3CL1/CX3CR1 migration axes. Eur. J. Immunol. 2021, 51, 1857–1859. [Google Scholar] [CrossRef]
- Udugama, B.; Kadhiresan, P.; Kozlowski, H.N.; Malekjahani, A.; Osborne, M.; Li, V.Y.C.; Chen, H.; Mubareka, S.; Gubbay, J.B.; Chan, W.C.W. Diagnosing COVID-19: The Disease and Tools for Detection. ACS Nano 2020, 14, 3822–3835. [Google Scholar] [CrossRef] [PubMed]
- Lu, X.; Du, J.; You, M.; Chen, L.; Xu, F.; Chen, F. From crisis to innovation in point-of-care testing: Lessons from the COVID-19 pandemic and future directions. TrAC Trends Anal. Chem. 2025, 184, 118131. [Google Scholar] [CrossRef]
- Pipek, O.A.; Medgyes-Horvath, A.; Steger, J.; Papp, K.; Visontai, D.; Koopmans, M.; Nieuwenhuijse, D.; Oude Munnink, B.B.; VEO Technical Working Group; Csabai, I. Systematic detection of co-infection and intra-host recombination in more than 2 million global SARS-CoV-2 samples. Nat. Commun. 2024, 15, 517. [Google Scholar] [CrossRef]
- Telenti, A.; Hodcroft, E.B.; Robertson, D.L. The Evolution and Biology of SARS-CoV-2 Variants. Cold Spring Harb. Perspect. Med. 2022, 12, a041390. [Google Scholar] [CrossRef]
- Curini, V.; Ancora, M.; Jurisic, L.; Di Lollo, V.; Secondini, B.; Mincarelli, L.F.; Caporale, M.; Puglia, I.; Di Gialleonardo, L.; Mangone, I.; et al. Evaluation of next generation sequencing approaches for SARS-CoV-2. Heliyon 2023, 9, e21101. [Google Scholar] [CrossRef] [PubMed]
- Munne, K.; Bhanothu, V.; Bhor, V.; Patel, V.; Mahale, S.D.; Pande, S. Detection of SARS-CoV-2 infection by RT-PCR test: Factors influencing interpretation of results. VirusDisease 2021, 32, 187–189. [Google Scholar] [CrossRef] [PubMed]
- Gushchin, V.A.; Pochtovyi, A.A.; Kustova, D.D.; Ogarkova, D.A.; Tarnovetskii, I.Y.; Belyaeva, E.D.; Divisenko, E.V.; Vasilchenko, L.A.; Shidlovskaya, E.V.; Kuznetsova, N.A.; et al. Dynamics of SARS-CoV-2 Major Genetic Lineages in Moscow in the Context of Vaccine Prophylaxis. Int. J. Mol. Sci. 2022, 23, 14670. [Google Scholar] [CrossRef]
- Wassenaar, T.M.; Wanchai, V.; Buzard, G.; Ussery, D.W. The first three waves of the Covid-19 pandemic hint at a limited genetic repertoire for SARS-CoV-2. FEMS Microbiol. Rev. 2022, 46, fuac003. [Google Scholar] [CrossRef]
- Kurpas, M.K.; Jaksik, R.; Kus, P.; Kimmel, M. Genomic Analysis of SARS-CoV-2 Alpha, Beta and Delta Variants of Concern Uncovers Signatures of Neutral and Non-Neutral Evolution. Viruses 2022, 14, 2375. [Google Scholar] [CrossRef]
- Zimerman, R.A.; Ferrareze, P.A.G.; Cadegiani, F.A.; Wambier, C.G.; Fonseca, D.D.N.; de Souza, A.R.; Goren, A.; Rotta, L.N.; Ren, Z.; Thompson, C.E. Comparative Genomics and Characterization of SARS-CoV-2 P.1 (Gamma) Variant of Concern From Amazonas, Brazil. Front. Med. 2022, 9, 806611. [Google Scholar] [CrossRef]
- Berkhout, B.; Herrera-Carrillo, E. SARS-CoV-2 Evolution: On the Sudden Appearance of the Omicron Variant. J. Virol. 2022, 96, e0009022. [Google Scholar] [CrossRef] [PubMed]
- Chrysostomou, A.C.; Vrancken, B.; Haralambous, C.; Alexandrou, M.; Gregoriou, I.; Ioannides, M.; Ioannou, C.; Kalakouta, O.; Karagiannis, C.; Marcou, M.; et al. Unraveling the Dynamics of Omicron (BA.1, BA.2, and BA.5) Waves and Emergence of the Deltacton Variant: Genomic Epidemiology of the SARS-CoV-2 Epidemic in Cyprus (Oct 2021–Oct 2022). Viruses 2023, 15, 1933. [Google Scholar] [CrossRef]
- Singh, P.; Negi, S.S.; Bhargava, A.; Kolla, V.P.; Arora, R.D. A Preliminary Genomic Analysis of the Omicron Variants of SARS-CoV-2 in Central India During the third wave of the COVID-19 Pandemic. Arch. Med. Res. 2022, 53, 574–584. [Google Scholar] [CrossRef] [PubMed]
- Akaishi, T.; Fujiwara, K. Insertion and deletion mutations preserved in SARS-CoV-2 variants. Arch. Microbiol. 2023, 205, 154. [Google Scholar] [CrossRef] [PubMed]
- Kaku, Y.; Okumura, K.; Padilla-Blanco, M.; Kosugi, Y.; Uriu, K.; Hinay, A.A., Jr.; Chen, L.; Plianchaisuk, A.; Kobiyama, K.; Ishii, K.J.; et al. Virological characteristics of the SARS-CoV-2 JN.1 variant. Lancet Infect. Dis. 2024, 24, e82. [Google Scholar] [CrossRef]
- Quarleri, J.; Delpino, M.V.; Galvan, V. Anticipating the future of the COVID-19 pandemic: Insights into the emergence of SARS-CoV-2 variant JN.1 and its projected impact on older adults. GeroScience 2024, 46, 2879–2883. [Google Scholar] [CrossRef]
- Komissarov, A.; Molodtsov, I.; Ivanova, O.; Maryukhnich, E.; Kudryavtseva, S.; Mazus, A.; Nikonov, E.; Vasilieva, E. High SARS-CoV-2 load in the nasopharynx of patients with a mild form of COVID-19 is associated with clinical deterioration regardless of the hydroxychloroquine administration. PLoS ONE 2021, 16, e0246396. [Google Scholar] [CrossRef] [PubMed]
- Rodriguez, A.; Rodriguez, M.; Cordoba, J.J.; Andrade, M.J. Design of primers and probes for quantitative real-time PCR methods. Methods Mol. Biol. 2015, 1275, 31–56. [Google Scholar] [CrossRef] [PubMed]





| SARS-CoV-2 Variant Detected | Samples (N) | Ct * | Ct UBC * |
|---|---|---|---|
| Delta | 5 | 27.7 (27.2–28.3) | 31.2 (29.9–31.8) |
| Omicron B.1.1.529/BA.1 | 5 | 27.8 (25.1–28.5) | 27.6 (27.2–32.0) |
| Omicron BA.2 | 19 | 25.3 (22.6–28.1) | 27.8 (24.6–31.1) |
| Omicron JN.1/KS.1 | 5 | 25.3 (24.1–29.7) | 30.1 (29.4–30.7) |
| Gamma+Omicron B.1.1.529/BA.1 | 7 | Gamma: 27.1 (22.6–27.7) | 29.7 (25.5–30.2) |
| Omicron: 24.7 (23.3–28.3) | |||
| None | 11 | – | 29.0 (26.3–31.6) |
| Oligonucleotide Designation | Sequence (5′-3′) | Localization in Corresponding Genome (5′-3′) * | PCR Fragment Size |
|---|---|---|---|
| Alpha_F | AATGATCCATTTTTGGGTGTTTACC | 21956-21980 | 138 |
| Alpha_R | CTGTTTTCCTTCAAGGTCCATAAG | 22093-22070 | |
| Alpha_probe | Cy5-GGAAAGTGAGTTCAGAGTTTATTCTAGT-BHQ2 | 22003-22030 | |
| Beta_F | AGATTTGCCAATAGGTATTAACATC | 22223-222472 | 89 |
| Beta_R | CTGTCCAACCTGAAGAAGAATC | 22311-22290 | |
| Beta_probe | VIC-CTAGGTTTCAAACTTTACATAGAAGTT-BHQ2 | 22249-22275 | |
| Gamma_F | CAAGGAACAACATTGCCAAAAGG | 28725-28747 | 140 |
| Gamma_R | CTAGCAGGAGAAGTTCGTTTAGA | 28864-28842 | |
| Gamma_probe | FAM-GTTGCGACTACGTGATGAGGAACG-BHQ1 | 28814-28791 | |
| Delta_F | CATGACGTTCGTGTTGTTTTAATC | 28171-28194 | 140 |
| Delta_R | CACTGCGTTCTCCATTCTGG | 28310-28291 | |
| Delta_probe | ROX-CCAGTTGAATCTGAGGGTCCACCA-BHQ2 | 28261-28284 | |
| OmicronBA.1_F | TGTAATGATCCATTTTTGGACCAC | 21900-21923 | 105 |
| OmicronBA.1_R | CTGAGAGACATATTCAAAAGTGCA | 22004-21981 | |
| OmicronBA.1_probe | VIC-GGAAAGTGAGTTCAGAGTTTATTCTAGT-BHQ2 | 21944-21971 | |
| OmicronBA.2_F | TAATCTTATAACCAGAACTCAATCATA | 21562-21588 | 147 |
| OmicronBA.2_R | ATAGCATGGAACCAAGTAACATTG | 21708-21685 | |
| OmicronBA.2_probe | VIC-TACCCTGACAAAGTTTTCAGATCCTC-BHQ2 | 21617-21642 | |
| JN/KS_F | TTACAGGCTGCGTTATAGCTTG | 22791-22812 | 183 |
| JN/KS_R | GAAAGTAACAATTAGGACCTTTACCTT | 22973-22947 | |
| JN/KS_probe | ROX-GATCGCTTAGGAAGTCTAAACTCAAACC-BHQ2 | 22866-22893 | |
| UBC_F | TTGGGTCGCAGTTCTTGTTTG | 22-42 | 131 |
| UBC_R | TGCCTTGACATTCTCGATGGT | 152-132 | |
| UBC_probe | ROX-TCGCTGTGATCGTCACTTGACAATG-BHQ2 | 47-71 |
Disclaimer/Publisher’s Note: The statements, opinions and data contained in all publications are solely those of the individual author(s) and contributor(s) and not of MDPI and/or the editor(s). MDPI and/or the editor(s) disclaim responsibility for any injury to people or property resulting from any ideas, methods, instructions or products referred to in the content. |
© 2025 by the authors. Licensee MDPI, Basel, Switzerland. This article is an open access article distributed under the terms and conditions of the Creative Commons Attribution (CC BY) license (https://creativecommons.org/licenses/by/4.0/).
Share and Cite
Makarova, V.O.; Shelkov, A.; Iliukhina, A.; Azizyan, V.; Dolzhikova, I.V.; Vasilieva, E.; Komissarov, A.A. Real-Time PCR-Based Test as a Research Tool for the Retrospective Detection and Identification of SARS-CoV-2 Variants of Concern in a Sample. Int. J. Mol. Sci. 2025, 26, 1786. https://doi.org/10.3390/ijms26051786
Makarova VO, Shelkov A, Iliukhina A, Azizyan V, Dolzhikova IV, Vasilieva E, Komissarov AA. Real-Time PCR-Based Test as a Research Tool for the Retrospective Detection and Identification of SARS-CoV-2 Variants of Concern in a Sample. International Journal of Molecular Sciences. 2025; 26(5):1786. https://doi.org/10.3390/ijms26051786
Chicago/Turabian StyleMakarova, Valeria O., Artem Shelkov, Anna Iliukhina, Valentin Azizyan, Inna V. Dolzhikova, Elena Vasilieva, and Alexey A. Komissarov. 2025. "Real-Time PCR-Based Test as a Research Tool for the Retrospective Detection and Identification of SARS-CoV-2 Variants of Concern in a Sample" International Journal of Molecular Sciences 26, no. 5: 1786. https://doi.org/10.3390/ijms26051786
APA StyleMakarova, V. O., Shelkov, A., Iliukhina, A., Azizyan, V., Dolzhikova, I. V., Vasilieva, E., & Komissarov, A. A. (2025). Real-Time PCR-Based Test as a Research Tool for the Retrospective Detection and Identification of SARS-CoV-2 Variants of Concern in a Sample. International Journal of Molecular Sciences, 26(5), 1786. https://doi.org/10.3390/ijms26051786

