Facilitating Maize Seed Germination Under Heat Stress via Exogenous Melatonin
Abstract
1. Introduction
2. Results
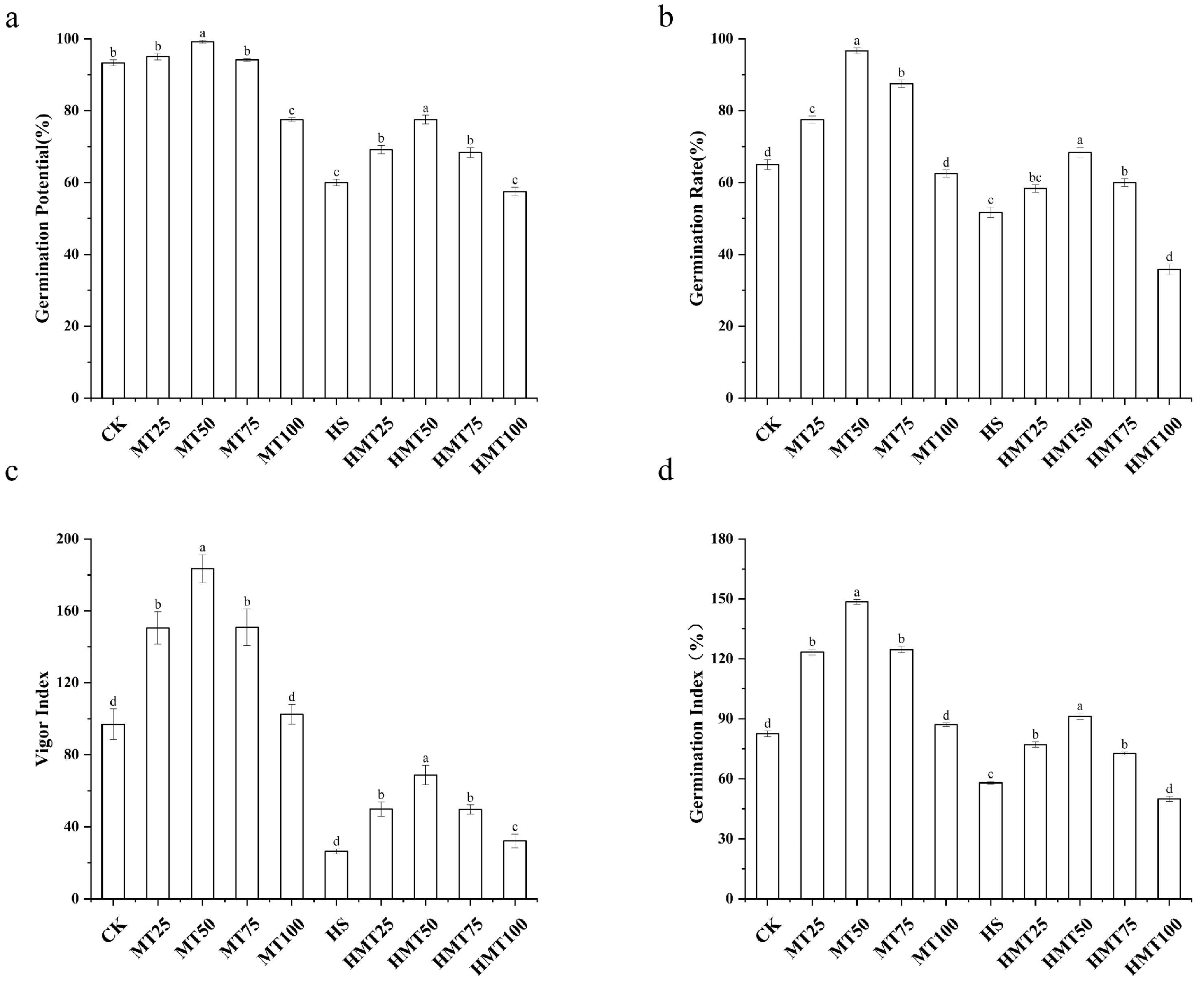
2.1. Exogenous Melatonin Promotes Maize Seed Germination
2.2. Exogenous Melatonin Promotes the Growth of Maize Radicles and Plumules
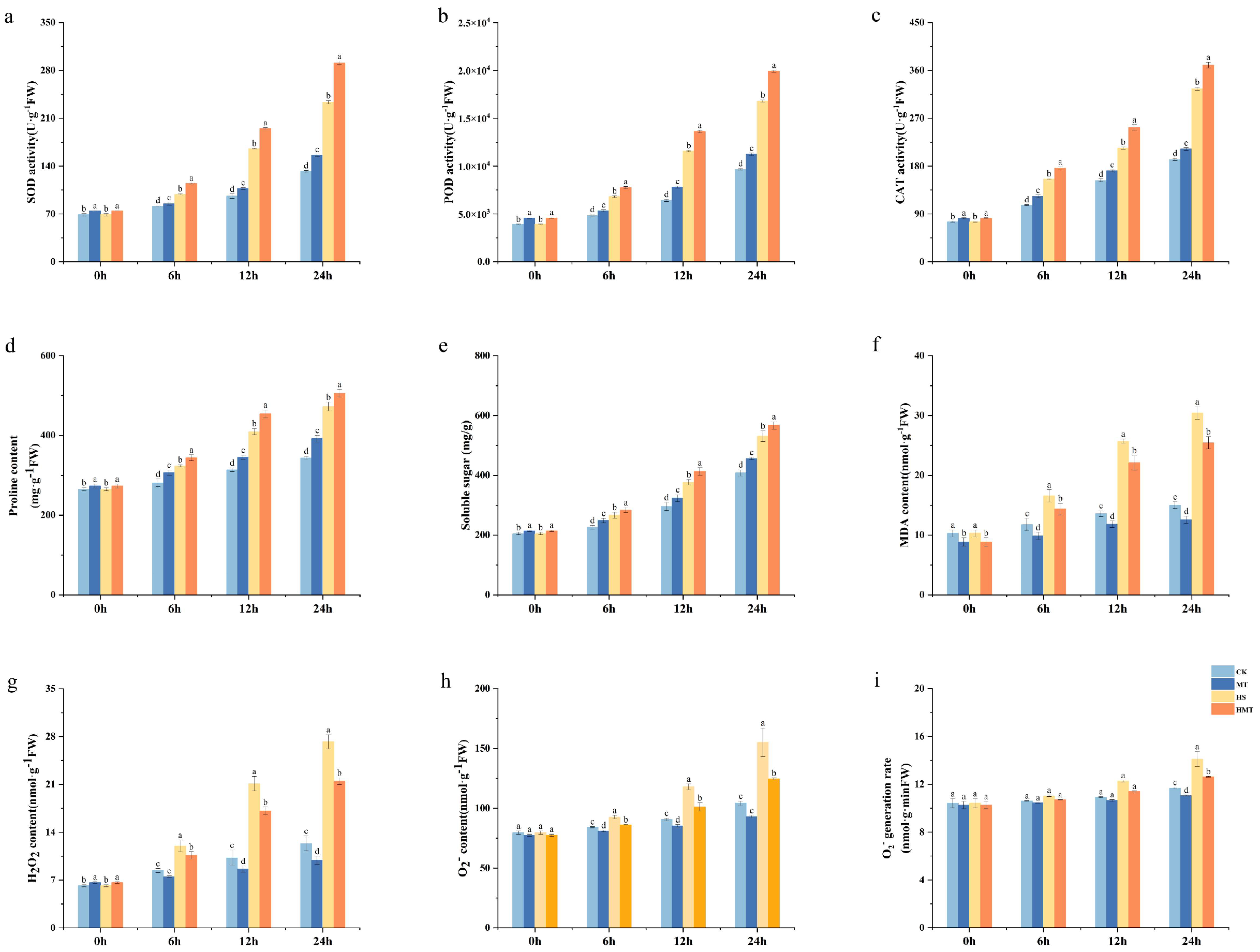
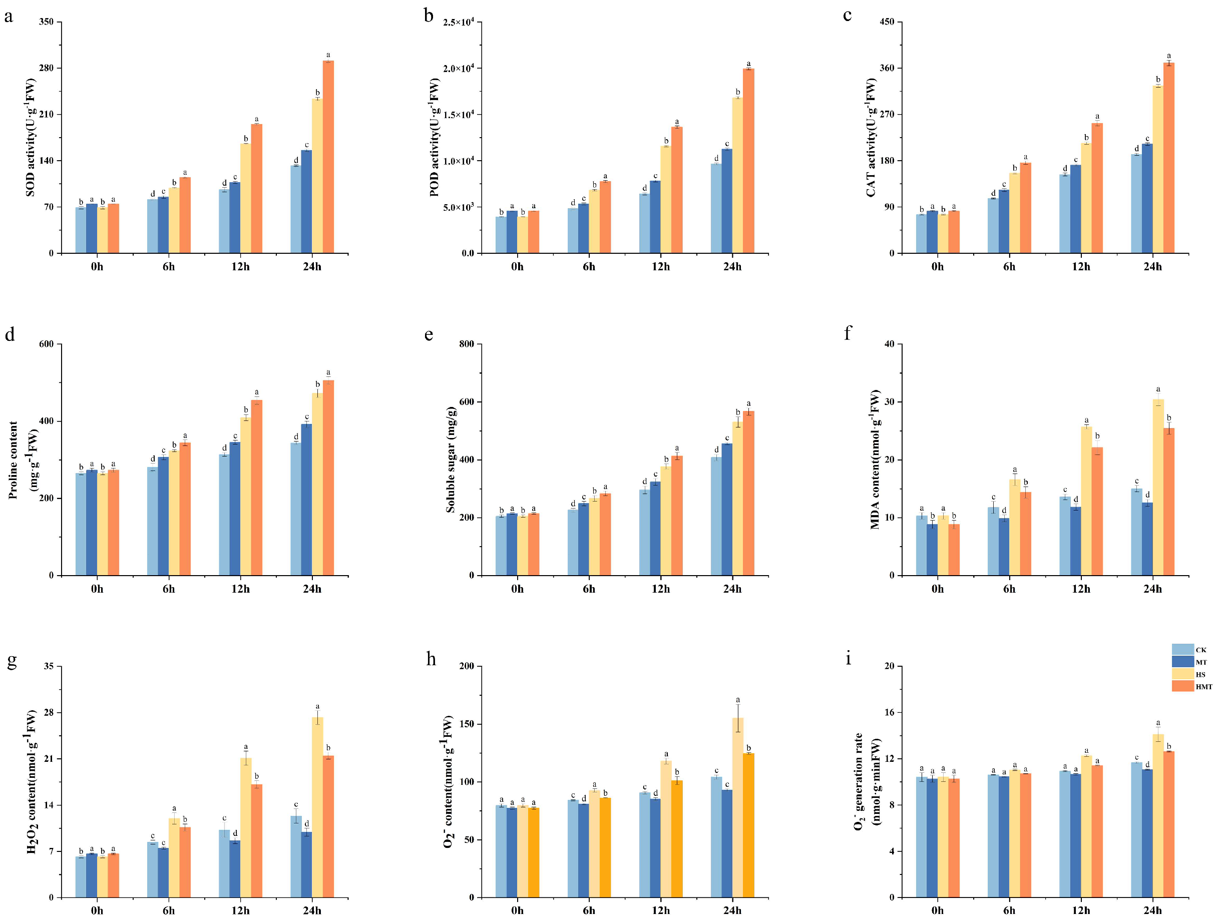
2.3. Exogenous Melatonin Alleviates Oxidative Stress in Maize Seeds
2.4. Melatonin Treatment Increases Galactosidase and Amylase Activity in Maize Seeds
2.5. Exogenous Melatonin Promotes GA Synthesis and Inhibits ABA Accumulation
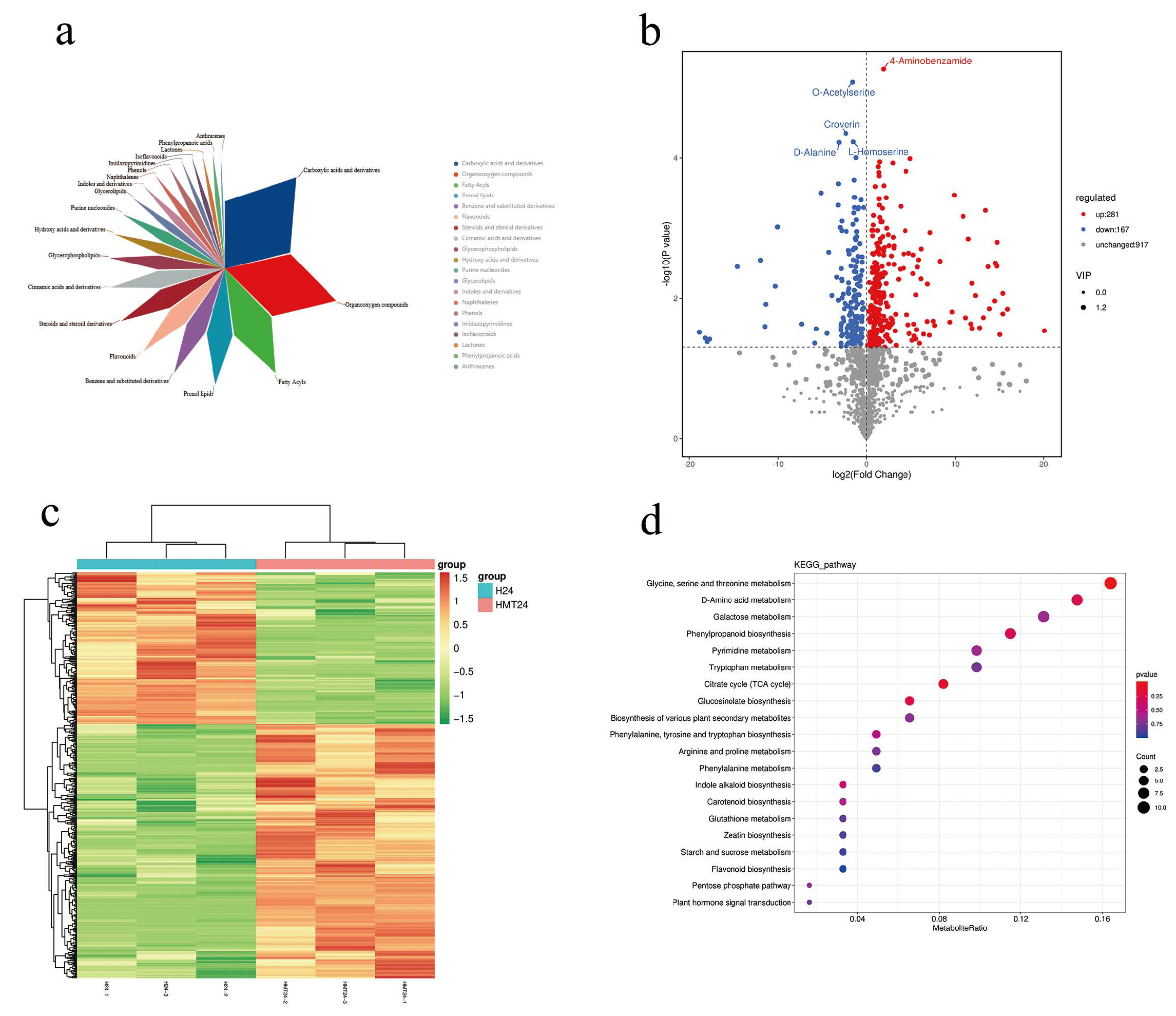
2.6. Comprehensive Analysis of the Effect of Exogenous Melatonin on Maize Seeds
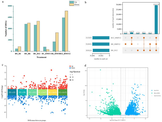
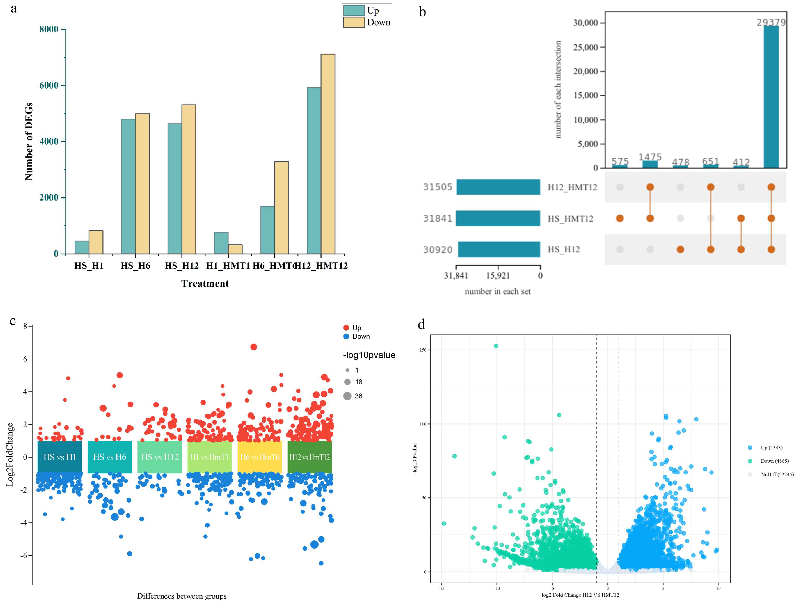
2.7. Transcriptome Analysis of Differentially Expressed Genes
2.8. GO and KEGG Analyses of Differentially Expressed Genes
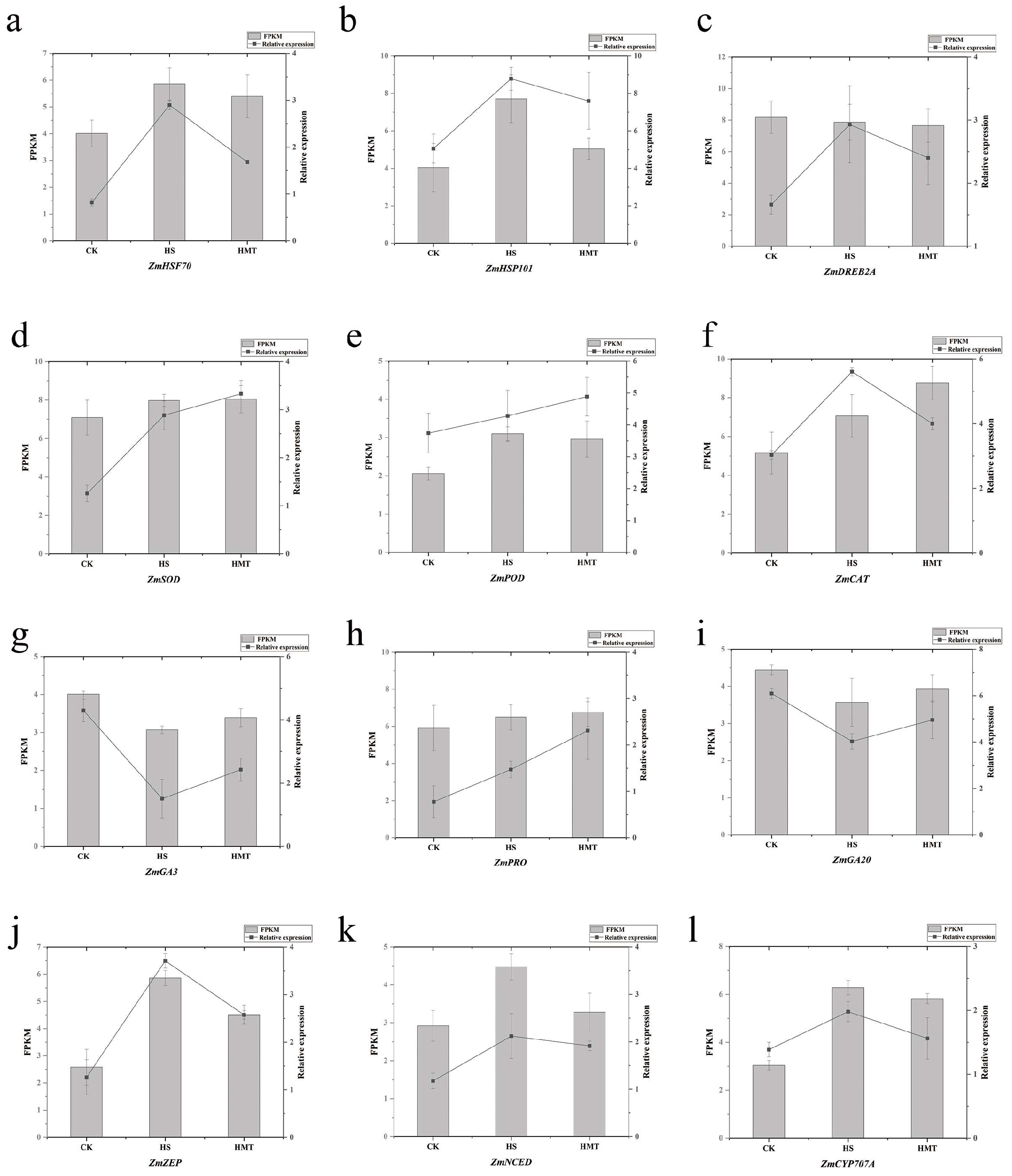
2.9. qRT-PCR Validation of DEGs
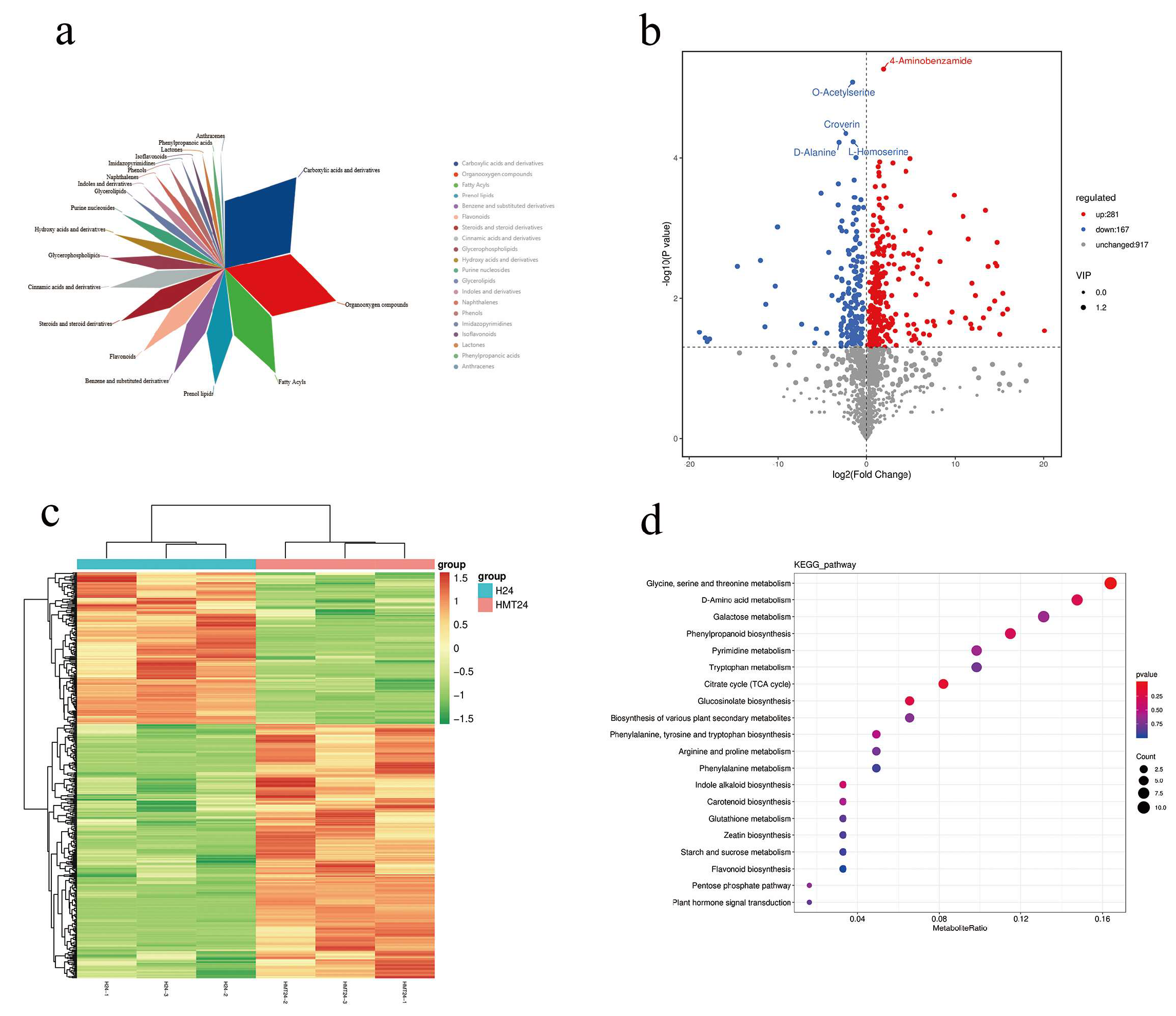
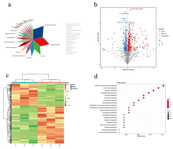
2.10. Metabolomic Analysis of Maize Seeds
2.11. Integrated Transcriptomic and Metabolomic Analysis
2.11.1. Analysis of Plant Hormone Synthesis and Signal Transduction Pathways
2.11.2. Analysis of Starch and Sucrose Metabolism Pathways
2.11.3. Analysis of the Phenylpropanoid Biosynthesis Pathway
3. Discussion
4. Materials and Methods
4.1. Reagents
4.2. Plant Material and Growth Conditions
4.3. Assessment of Germination Rate, Potential, and Index
4.4. Measurement of Root and Shoot Lengths in Embryos
4.5. Physiological, Biochemical, and Endogenous Hormone Quantification
4.6. Transcriptome and Metabolome Analyses
4.7. Quantitative Real-Time PCR (qRT-PCR) Analysis
5. Conclusions
Supplementary Materials
Author Contributions
Funding
Institutional Review Board Statement
Informed Consent Statement
Data Availability Statement
Acknowledgments
Conflicts of Interest
References
- Djalović, I.; Kundu, S.; Bahuguna, R.N.; Pareek, A.; Raza, A.; Singla-Pareek, S.L.; Vara Prasad, P.V.; Varshney, R.K. Maize and heat stress: Physiological, genetic, and molecular insights. Plant Genome 2023, 17, e20378. [Google Scholar] [CrossRef] [PubMed]
- Qin, Q.Q.; Zhao, Y.; Zhang, J.J.; Chen, L.; Si, W.N.; Jiang, H.Y. A maize heat shock factor ZmHsf11 negatively regulates heat stress tolerance in transgenic plants. BMC Plant Biol. 2022, 22, 406. [Google Scholar] [CrossRef] [PubMed]
- Correia, P.M.P.; Westergaard, J.C.; da Silva, A.B.; Roitsch, T.; Carmo-Silva, E.; da Silva, J.M. High-throughput phenotyping of physiological traits for wheat resilience to high temperature and drought stress. J. Exp. Bot. 2022, 73, 5235–5251. [Google Scholar] [CrossRef]
- Sehar, Z.; Mir, I.R.; Khan, S.; Masood, A.; Khan, N.A. Nitric oxide and proline modulate redox homeostasis and photosynthetic metabolism in wheat plants under high temperature stress acclimation. Plants 2023, 12, 1256. [Google Scholar] [CrossRef]
- Ding, Y.L.; Shi, Y.T.; Yang, S.H. Molecular regulation of plant responses to environmental temperatures. Mol. Plant 2020, 13, 544–564. [Google Scholar] [CrossRef]
- Kuppusamy, A.; Alagarswamy, S.; Karuppusami, K.M.; Djanaguiraman, M.; Senthil, N.; Ramalingam, K.; Umapathi, M.R.; Subramanian, M.; Kanagarajan, S. Melatonin enhances the photosynthesis and antioxidant enzyme activities of mung bean under drought and high-temperature stress conditions. Plants 2023, 12, 2535. [Google Scholar] [CrossRef]
- Li, R.Q.; Wu, L.Q.; Shao, Y.F.; Hu, Q.W.; Zhang, H.L. Melatonin alleviates copper stress to promote rice seed germination and seedling growth via crosstalk among various defensive response pathways. Plant Physiol. Biochem. 2022, 179, 65–77. [Google Scholar] [CrossRef]
- Sharma, A.; Wang, J.F.; Xu, D.P.; Tao, S.C.; Chong, S.L.; Yan, D.L.; Li, Z.; Yuan, H.W.; Zheng, B.S. Melatonin regulates the functional components of photosynthesis, antioxidant system, gene expression, and metabolic pathways to induce drought resistance in grafted Carya cathayensis plants. Sci. Total Environ. 2020, 713, 136675. [Google Scholar] [CrossRef]
- Wang, P.T.; Liu, W.C.; Han, C.; Wang, S.; Bai, M.Y.; Song, C.P. Reactive oxygen species: Multidimensional regulators of plant adaptation to abiotic stress and development. J. Integr. Plant Biol. 2024, 66, 330–367. [Google Scholar] [CrossRef]
- Aleem, S.; Sharif, I.; Amin, E.; Tahir, M.; Parveen, N.; Aslam, R.; Najeebullah, M.; Shahid, M. Heat tolerance in vegetables in the current genomic era: An overview. Plant Growth Regul. 2020, 92, 497–516. [Google Scholar] [CrossRef]
- Wen, J.J.; Qin, Z.; Sun, L.; Zhang, Y.M.; Wang, D.L.; Peng, H.R.; Yao, Y.Y.; Hu, Z.R.; Ni, Z.F.; Sun, Q.X.; et al. Alternative splicing of TaHSFA6e modulates heat shock protein-mediated translational regulation in response to heat stress in wheat. New Phytol. 2023, 239, 2235–2247. [Google Scholar] [CrossRef] [PubMed]
- Zhang, W.; Zhou, R.G.; Gao, Y.J.; Zheng, S.Z.; Xu, P.; Zhang, S.Q.; Sun, D. Molecular and genetic evidence for the key role of AtCaM3 in heat-shock signal transduction in Arabidopsis. Plant Physiol. 2009, 149, 1773–1784. [Google Scholar] [CrossRef] [PubMed]
- Shi, H.T.; Tan, D.X.; Reiter, R.J.; Ye, T.T.; Yang, F.; Chan, Z.L. Melatonin induces class A1 heat-shock factors (HSFA1s) and their possible involvement of thermotolerance in Arabidopsis. J. Pineal Res. 2015, 58, 335–342. [Google Scholar] [CrossRef] [PubMed]
- Kan, Y.; Mu, X.R.; Hai, Z.; Gao, J.; Shan, J.X.; Ye, W.W.; Lin, H.X. TT2 controls rice thermotolerance through SCT1-dependent alteration of wax biosynthesis. Nat. Plants 2022, 8, 53–67. [Google Scholar] [CrossRef]
- Li, X.M.; Chao, D.Y.; Wu, Y.; Huang, X.H.; Chen, K.; Long-Gang, C.; Su, L.; Ye, W.W.; Chen, H.; Chen, H.C.; et al. Natural alleles of a proteasome α2 subunit gene contribute to thermotolerance and adaptation of African rice. Nat. Genet. 2015, 47, 827–833. [Google Scholar] [CrossRef]
- Zhang, X.; Shen, Y.Z.; Mu, K.B.; Cai, W.H.; Zhao, Y.Y.; Shen, H.; Wang, X.H.; Ma, H. Phenylalanine ammonia lyase GmPAL1.1 promotes seed vigor under high-temperature and -humidity stress and enhances seed germination under salt and drought stress in transgenic Arabidopsis. Plants 2022, 11, 3239. [Google Scholar] [CrossRef]
- Jacob, P.; Brisou, G.; Dalmais, M.; Thévenin, J.; van der Wal, F.; Latrasse, D.; Devani, R.S.; Benhamed, M.; Dubreucq, B.; Boualem, A.; et al. The seed development factors TT2 and MYB5 regulate heat stress response in Arabidopsis. Genes 2021, 12, 746. [Google Scholar] [CrossRef]
- Andrási, N.; Rigó, G.; Zsigmond, L.; Pérez-Salamó, I.; Papdi, C.; Klement, É.; Pettkó-Szandtner, A.; Baba, A.I.; Ayaydin, F.; Dasari, R.; et al. The mitogen-activated protein kinase 4-phosphorylated heat shock factor A4A regulates responses to combined salt and heat stresses. J. Exp. Bot. 2019, 70, 4903–4918. [Google Scholar] [CrossRef]
- Arnao, M.B.; Hernández-Ruíz, J. Melatonin: A new plant hormone and/or a plant master regulator? Trends Plant Sci. 2019, 24, 38–48. [Google Scholar] [CrossRef]
- Khattak, W.A.; He, J.Q.; Abdalmegeed, D.; Hu, W.; Wang, Y.H.; Zhou, Z.G. Foliar melatonin stimulates cotton boll distribution characteristics by modifying leaf sugar metabolism and antioxidant activities during drought conditions. Physiol. Plant. 2021, 174, e13526. [Google Scholar] [CrossRef]
- Li, Z.-G.; Lu, X.-Q.; Chen, J. Gasotransmitter ammonia accelerates seed germination, seedling growth, and thermotolerance acquirement in maize. Plant Signal. Behav. 2023, 18, 2163338. [Google Scholar] [CrossRef] [PubMed]
- Zhang, H.J.; Zhang, N.; Yang, R.C.; Wang, L.; Sun, Q.Q.; Li, D.B.; Cao, Y.Y.; Weeda, S.; Zhao, B.; Ren, S.W.; et al. Melatonin promotes seed germination under high salinity by regulating antioxidant systems, ABA and GA4 interaction in cucumber (Cucumis sativus L.). J. Pineal Res. 2014, 57, 269–279. [Google Scholar] [CrossRef]
- Lee, H.Y.; Lee, K.; Back, K. Knockout of Arabidopsis serotonin N-acetyltransferase-2 reduces melatonin levels and delays flowering. Biomolecules 2019, 9, 712. [Google Scholar] [CrossRef]
- Wang, H.; Ren, C.X.; Cao, L.; Jin, X.; Wang, M.X.; Zhang, M.C.; Zhao, Q.; He, L.; Zhang, Y.X.; Gao, Y. The mechanisms underlying melatonin improved soybean seedling growth at different nitrogen levels. Funct. Plant Biol. 2021, 48, 1225–1240. [Google Scholar] [CrossRef]
- Tan, X.X.; Zhao, Y.T.; Shan, W.; Kuang, J.F.; Lu, W.J.; Su, X.; Tao, N.G.; Lakshmanan, P.; Chen, J.Y. Melatonin delays leaf senescence of postharvest Chinese flowering cabbage through ROS homeostasis. Food Res. Int. 2020, 138, 109790. [Google Scholar] [CrossRef]
- Yu, H.; Jiang, Z.H.; Wang, G.J.; Kattel, G.; Chuai, X.W.; Shang, Y.; Zou, Y.F.; Miao, L.J. Disintegrating the impact of climate change on maize yield from human management practices in China. Agric. For. Meteorol. 2022, 327, 109235. [Google Scholar] [CrossRef]
- Jahan, M.S.; Guo, S.R.; Sun, J.; Shu, S.; Wang, Y.; Abou El-Yazied, A.; Alabdallah, N.M.; Hikal, M.; Mohamed, M.H.M.; Ibrahim, M.; et al. Melatonin-mediated photosynthetic performance of tomato seedlings under high-temperature stress. Plant Physiol. Biochem. 2021, 167, 309–320. [Google Scholar] [CrossRef]
- Li, C.T.; Suo, J.W.; Xuan, L.L.; Ding, M.Z.; Zhang, H.; Song, L.L.; Ying, Y.B. Bamboo shoot-lignification delay by melatonin during low temperature storage. Postharvest Biol. Technol. 2019, 156, 110933. [Google Scholar] [CrossRef]
- Ubaidillah, M.; Farooq, M.; Kim, K.-M. Enhancing salt tolerance in rice genotypes through exogenous melatonin application by modulating growth patterns and antistress agents. Sci. Rep. 2024, 14, 25217. [Google Scholar] [CrossRef]
- Yin, Y.; Xin, T.; Yang, J.; Yang, Z.F.; Tao, J.; Fang, W.M. Melatonin mediates isoflavone accumulation in germinated soybeans (Glycine max L.) under ultraviolet-B stress. Plant Physiol. Biochem. 2022, 175, 23–32. [Google Scholar] [CrossRef]
- Zhang, K.; Wang, Y.F.; Mao, J.G.; Chen, B.L. Effects of biochar nanoparticles on seed germination and seedling growth. Environ. Pollut. 2020, 256, 113409. [Google Scholar] [CrossRef] [PubMed]
- Yang, B.; Wang, J.; Li, S.; Huang, X.Q. Identifying the spatio-temporal change in winter wheat-summer maize planting structure in the North China Plain between 2001 and 2020. Agronomy 2023, 13, 2712. [Google Scholar] [CrossRef]
- Yang, F.; Yuan, Y.W.; Liu, Q.Y.; Zhang, X.; Gai, S.; Jin, Y.X.; Cheng, K. Artificial humic acid promotes growth of maize seedling under alkali conditions. Environ. Pollut. 2023, 327, 121588. [Google Scholar] [CrossRef]
- Hu, J.; Zhao, X.; LiMing, G.; Liu, P.; Zhao, B.; Zhang, J.; Ren, B.Z. The effects of high temperature, drought, and their combined stresses on the photosynthesis and senescence of summer maize. Agric. Water Manag. 2023, 289, 108525. [Google Scholar] [CrossRef]
- Abdel, R.E.S.; Alharbi, B.M.; Pirzadah, T.B.; Alnusairi, G.S.H.; Soliman, M.H.; Hakeem, K.R. γ-Aminobutyric acid (GABA) mitigates drought and heat stress in sunflower (Helianthus annuus L.) by regulating its physiological, biochemical and molecular pathways. Physiol. Plant. 2020, 172, 505–527. [Google Scholar] [CrossRef]
- Li, C.H.; Liu, J.Y.; Wei, Z.M.; Cheng, Y.; Shen, Z.-B.; Xin, Z.; Huang, Y.-D.; Wang, H.D.; Li, Y.H.; Mu, Z.S.; et al. Exogenous melatonin enhances the tolerance of tiger nut (Cyperus esculentus L.) via DNA damage repair pathway under heavy metal stress (Cd2+) at the sprout stage. Ecotoxicol. Environ. Saf. 2023, 265, 115519. [Google Scholar] [CrossRef]
- Zhang, Y.; Zhou, X.J.; Dong, Y.C.; Zhang, F.; He, Q.L.; Chen, J.H.; Zhu, S.J.; Zhao, T.L. Seed priming with melatonin improves salt tolerance in cotton through regulating photosynthesis, scavenging reactive oxygen species and coordinating with phytohormone signal pathways. Ind. Crops Prod. 2021, 169, 113671. [Google Scholar] [CrossRef]
- Back, K.; Tan, D.X.; Reiter, R.J. Melatonin biosynthesis in plants: Multiple pathways catalyze tryptophan to melatonin in the cytoplasm or chloroplasts. J. Pineal Res. 2016, 61, 426–437. [Google Scholar] [CrossRef]
- Zhang, N.; Sun, Q.Q.; Zhang, H.J.; Cao, Y.Y.; Weeda, S.; Ren, S.W.; Guo, Y.D. Roles of melatonin in abiotic stress resistance in plants. J. Exp. Bot. 2014, 66, 647–656. [Google Scholar] [CrossRef]
- Zhang, N.; Zhao, B.; Zhang, H.J.; Weeda, S.; Yang, C.W.; Yang, Z.C.; Ren, S.W.; Guo, Y.D. Melatonin promotes water-stress tolerance, lateral root formation, and seed germination in cucumber (Cucumis sativus L.). J. Pineal Res. 2012, 54, 15–23. [Google Scholar] [CrossRef]
- Zhang, R.M.; Sun, Y.J.; Liu, Z.Y.; Jin, W.; Sun, Y. Effects of melatonin on seedling growth, mineral nutrition, and nitrogen metabolism in cucumber under nitrate stress. J. Pineal Res. 2017, 62, e12403. [Google Scholar] [CrossRef] [PubMed]
- Chen, L.; Liu, L.T.; Lu, B.; Ma, T.; Jiang, D.; Li, J.; Zhang, K.; Sun, H.M.; Zhang, Y.J.; Bai, Z.Y.; et al. Exogenous melatonin promotes seed germination and osmotic regulation under salt stress in cotton (Gossypium hirsutum L.). PLoS ONE 2020, 15, e0228241. [Google Scholar] [CrossRef] [PubMed]
- Liu, Y.; Xu, C.J.; Zhu, Y.F.; Zhang, L.N.; Chen, T.Y.; Zhou, F.; Chen, H. The calcium-dependent kinase OsCPK24 functions in cold stress responses in rice. J. Integr. Plant Biol. 2018, 60, 173–188. [Google Scholar] [CrossRef] [PubMed]
- Chen, L.; Lu, B.; Liu, L.T.; Duan, W.J.; Jiang, D.; Jin, L.; Zhang, K.; Sun, H.M.; Zhang, Y.J.; Li, C.D.; et al. Melatonin promotes seed germination under salt stress by regulating ABA and GA3 in cotton (Gossypium hirsutum L.). Plant Physiol. Biochem. 2021, 162, 506–516. [Google Scholar] [CrossRef] [PubMed]
- Kranner, I.; Roach, T.; Beckett, R.P.; Whitaker, C.; Minibayeva, F. Extracellular production of reactive oxygen species during seed germination and early seedling growth in Pisum sativum. J. Plant Physiol. 2010, 167, 805–811. [Google Scholar] [CrossRef]
- Zhang, H.; Zhou, J.F.; Kan, Y.; Shan, J.X.; Ye, W.W.; Dong, N.Q.; Guo, T.; Xiang, Y.H.; Yang, Y.B.; Li, Y.C.; et al. A genetic module at one locus in rice protects chloroplasts to enhance thermotolerance. Science 2022, 376, 1293–1300. [Google Scholar] [CrossRef]
- Zhang, L.Q.; Fang, X.L.; Yu, N.; Chen, J.; Wang, H.D.; Shen, Q.S.; Chen, G.H.; Wang, Y. Melatonin promotes rice seed germination under drought stress by regulating antioxidant capacity. Phyton-Int. J. Exp. Bot. 2023, 92, 1571–1587. [Google Scholar] [CrossRef]
- Lei, K.Q.; Sun, S.Z.; Zhong, K.T.; Li, S.Y.; Hu, H.; Sun, C.J.; Zheng, Q.M.; Tian, Z.G.; Dai, T.B.; Sun, J.Y. Seed soaking with melatonin promotes seed germination under chromium stress via enhancing reserve mobilization and antioxidant metabolism in wheat. Ecotoxicol. Environ. Saf. 2021, 220, 112241. [Google Scholar] [CrossRef]
- Hayat, S.; Hayat, Q.; Alyemeni, M.N.; Wani, A.S.; Pichtel, J.; Ahmad, A. Role of proline under changing environments. Plant Signal. Behav. 2012, 7, 1456–1466. [Google Scholar] [CrossRef]
- Zeng, H.L.; Liu, M.H.; Wang, X.; Liu, L.; Wu, H.; Chen, X.; Wang, H.D.; Shen, Q.S.; Chen, G.H.; Wang, Y. Seed-soaking with melatonin for the improvement of seed germination, seedling growth, and the antioxidant defense system under flooding stress. Agronomy 2022, 12, 1918. [Google Scholar] [CrossRef]
- Peltzer, D.; Dreyer, E.; Polle, A. Differential temperature dependencies of antioxidative enzymes in two contrasting species: Fagus sylvatica and Coleus blumei. Plant Physiol. Biochem. 2002, 40, 141–150. [Google Scholar] [CrossRef]
- Daszkowska-Golec, A. Arabidopsis seed germination under abiotic stress as a concert of action of phytohormones. Omics A J. Integr. Biol. 2011, 15, 763–774. [Google Scholar] [CrossRef] [PubMed]
- McGinnis, K.M.; Thomas, S.G.; Soulé, J.; Strader, L.C.; Zale, J.; Sun, T.; Steber, C.M. The Arabidopsis SLEEPY1 gene encodes a putative F-box subunit of an SCF E3 ubiquitin ligase. Plant Cell 2003, 15, 1120–1130. [Google Scholar] [CrossRef]
- Shi, H.T.; Wei, Y.X.; Wang, Q.N.; Reiter, R.J.; He, C.Z. Melatonin mediates the stabilization of DELLA proteins to repress the floral transition in Arabidopsis. J. Pineal Res. 2016, 60, 373–379. [Google Scholar] [CrossRef]
- Brocard, I.M.; Lynch, T.; Finkelstein, R. Regulation and role of the Arabidopsis abscisic acid-insensitive 5 gene in abscisic acid, sugar, and stress response. Plant Physiol. 2002, 129, 1533–1543. [Google Scholar] [CrossRef]
- Shu, K.; Liu, X.D.; Xie, Q.; He, Z.H. Two faces of one seed: Hormonal regulation of dormancy and germination. Mol. Plant 2016, 9, 34–45. [Google Scholar] [CrossRef]
- Okamoto, M.; Kuwahara, A.; Seo, M.; Kushiro, T.; Asami, T.; Hirai, N.; Kamiya, Y.; Koshiba, T.; Nambara, E. CYP707A1 and CYP707A2, which encode abscisic acid 8′-hydroxylases, are indispensable for proper control of seed dormancy and germination in Arabidopsis. Plant Physiol. 2006, 141, 97–107. [Google Scholar] [CrossRef]
- Fu, J.J.; Wu, Y.; Miao, Y.J.; Xu, Y.M.; Zhao, E.H.; Wang, J.; Sun, H.E.; Liu, Q.; Xue, Y.F.; Xu, Y.F.; et al. Improved cold tolerance in Elymus nutans by exogenous application of melatonin may involve ABA-dependent and ABA-independent pathways. Sci. Rep. 2017, 7, 39865. [Google Scholar] [CrossRef]
- Gong, X.Q.; Shi, S.T.; Dou, F.F.; Song, Y.; Ma, F.W. Exogenous melatonin alleviates alkaline stress in Malus hupehensis Rehd. by regulating the biosynthesis of polyamines. Molecules 2017, 22, 1542. [Google Scholar] [CrossRef]
- Zhao, C.F.; Yang, M.; Wu, X.; Wang, Y.; Zhang, R.H. Physiological and transcriptomic analyses of the effects of exogenous melatonin on drought tolerance in maize (Zea mays L.). Plant Physiol. Biochem. 2021, 168, 128–142. [Google Scholar] [CrossRef]
- Ren, J.H.; Yang, X.X.; Zhang, N.; Lu, F.; Ma, C.; Wang, Y.L.; Yang, Z.P.; Zhao, J. Melatonin alleviates aluminum-induced growth inhibition by modulating carbon and nitrogen metabolism, and reestablishing redox homeostasis in Zea mays L. J. Hazard. Mater. 2022, 423, 127159. [Google Scholar] [CrossRef]
- Weitbrecht, K.; Müller, K.; Leubner-Metzger, G. First off the mark: Early seed germination. J. Exp. Bot. 2011, 62, 3289–3309. [Google Scholar] [CrossRef]
- Sun, Y.F.; Mao, F.; Wang, Y.C.; Liu, H.C.; Wang, X.T.; Wang, H.; Guo, J.; Shao, R.X.; Yang, Q.H. L-Arginine alleviates the reduction in photosynthesis and antioxidant activity induced by drought stress in maize seedlings. Antioxidants 2023, 12, 482. [Google Scholar] [CrossRef]
- Barros, J.; Shrestha, H.K.; Serrani-Yarce, J.C.; Engle, N.L.; Abraham, P.E.; Tschaplinski, T.J.; Hettich, R.L.; Dixon, R.A. Proteomic and metabolic disturbances in lignin-modified Brachypodium distachyon. Plant Cell 2022, 34, 3339–3363. [Google Scholar] [CrossRef]
- Rashid, B.; Hassan, S.; Fatima, B.; Akram, F.; Arif, U.; Muzaffar, A. Abiotic stress: Interplay between ROS production and antioxidant machinery, signaling, and ROS homeostasis. OBM Genet. 2022, 6, 171. [Google Scholar]
- Yu, S.; Zhang, W.; Zhang, L.P.; Wu, D.; Sun, P.X.; Huang, C.; Fu, G.Y.; Deng, Q.; Wang, Z.W.; Cheng, S.H. MYB24 negatively regulates the biosynthesis of lignin and capsaicin by affecting the expression of key genes in the phenylpropanoid metabolism pathway in Capsicum chinense. Molecules 2023, 28, 2644. [Google Scholar] [CrossRef]
- Fraser, C.M.; Chapple, C. The phenylpropanoid pathway in Arabidopsis. Arab. Book 2011, 9, e0152. [Google Scholar] [CrossRef]
- Chen, X.H.; Su, W.L.; Zhang, H.; Yu, Z.; Zeng, F.S. Fraxinus mandshurica 4-coumarate-CoA ligase 2 enhances drought and osmotic stress tolerance of tobacco by increasing coniferyl alcohol content. Plant Physiol. Biochem. 2020, 155, 697–708. [Google Scholar] [CrossRef]
- Chen, X.H.; Wang, H.T.; Li, X.H.; Ma, K.; Yu, Z.; Zeng, F.S. Molecular cloning and functional analysis of 4-Coumarate: CoA ligase 4 (4CL-like 1) from Fraxinus mandshurica and its role in abiotic stress tolerance and cell wall synthesis. BMC Plant Biol. 2019, 19, 231. [Google Scholar] [CrossRef]
- Jiang, F.; Lv, S.S.; Zhang, Z.L.; Chen, Q.C.; Mai, J.Q.; Wan, X.R.; Liu, P.F. Integrated metabolomics and transcriptomics analysis during seed germination of waxy corn under low temperature stress. BMC Plant Biol. 2023, 23, 190. [Google Scholar] [CrossRef]
- Levini, A.; Msimbira, J.; Naamala, J.; Antar, M.; Subramanian, S.; Smith, D.L. Effect of microbial cell-free supernatants extracted from a range of pH levels on corn (Zea mays L.) and tomato (Solanum lycopersicum L.) seed germination and seedling growth. Front. Sustain. Food Syst. 2022, 6, 789335. [Google Scholar]














Disclaimer/Publisher’s Note: The statements, opinions and data contained in all publications are solely those of the individual author(s) and contributor(s) and not of MDPI and/or the editor(s). MDPI and/or the editor(s) disclaim responsibility for any injury to people or property resulting from any ideas, methods, instructions or products referred to in the content. |
© 2025 by the authors. Licensee MDPI, Basel, Switzerland. This article is an open access article distributed under the terms and conditions of the Creative Commons Attribution (CC BY) license (https://creativecommons.org/licenses/by/4.0/).
Share and Cite
Chen, C.; Li, D.; Yan, Y.; Yin, C.; Shi, Z.; Zhang, Y.; Tao, P. Facilitating Maize Seed Germination Under Heat Stress via Exogenous Melatonin. Int. J. Mol. Sci. 2025, 26, 1608. https://doi.org/10.3390/ijms26041608
Chen C, Li D, Yan Y, Yin C, Shi Z, Zhang Y, Tao P. Facilitating Maize Seed Germination Under Heat Stress via Exogenous Melatonin. International Journal of Molecular Sciences. 2025; 26(4):1608. https://doi.org/10.3390/ijms26041608
Chicago/Turabian StyleChen, Congcong, Dongxiao Li, Yujie Yan, Congpei Yin, Zhaojin Shi, Yuechen Zhang, and Peijun Tao. 2025. "Facilitating Maize Seed Germination Under Heat Stress via Exogenous Melatonin" International Journal of Molecular Sciences 26, no. 4: 1608. https://doi.org/10.3390/ijms26041608
APA StyleChen, C., Li, D., Yan, Y., Yin, C., Shi, Z., Zhang, Y., & Tao, P. (2025). Facilitating Maize Seed Germination Under Heat Stress via Exogenous Melatonin. International Journal of Molecular Sciences, 26(4), 1608. https://doi.org/10.3390/ijms26041608
