Development of Glutathione Hydrogel Carriers Containing Zinc Oxide Microparticles for Skin Regeneration Processes
Abstract
1. Introduction
2. Results and Discussion
2.1. Particle Size Measurements of Synthesized ZnO
2.2. X-Ray Diffraction Analysis
2.3. Fourier-Transform Infrared Analysis
2.4. Morphology Analysis
2.5. Incubation of Materials in Media Simulating Body Fluids
2.5.1. Potentiometry Analysis
2.5.2. Conductivity Analysis
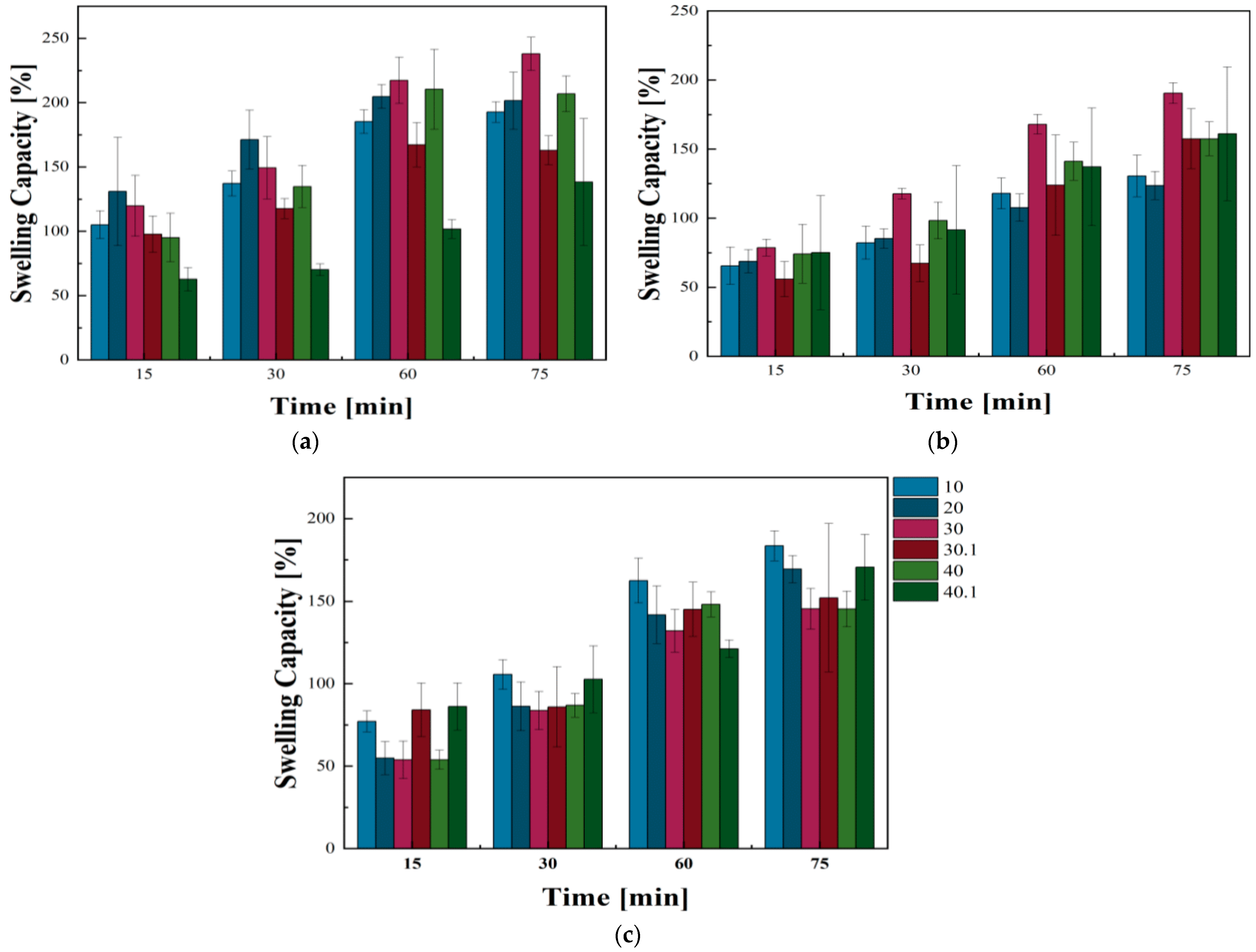
2.5.3. Swelling Capacity
2.6. Indirect Cytotoxicity Test
3. Discussion
4. Materials and Methods
4.1. Materials
4.2. Synthesis of ZnO Microparticles
4.3. Preparation of Biomaterials
4.4. Methods
4.4.1. Particular Size
4.4.2. X-Ray Diffraction (XRD)
4.4.3. Fourier-Transform Infrared Spectroscopy (FTIR)
4.4.4. Scanning Electron Microscope (SEM)
4.4.5. Incubation of Materials in Media Simulating Body Fluids
Potentiometry
Conductivity
Swelling Capacity
4.4.6. Cell Culture Conditions for Mouse Fibroblast (L929)
4.4.7. Indirect Cytotoxicity Test
4.5. Statistical Analysis
5. Conclusions
Author Contributions
Funding
Institutional Review Board Statement
Informed Consent Statement
Data Availability Statement
Conflicts of Interest
Abbreviations
| 10 | Sample containing PEG 6000, PEGDA 700, and photoinitiator |
| 20 | Sample containing PEG 6000, PEGDA 700, SA, and photoinitiator |
| 30 | Sample containing PEG 6000, PEGDA 700, SA, 0.5 [g] GSH and photoinitiator |
| 30.1 | Sample containing PEG 6000, PEGDA 700, SA, 0.5 [g] GSH, ZnO, and photoinitiator |
| 40 | Sample containing PEG 6000, PEGDA 700, SA, 1 [g] GSH, and photoinitiator |
| 40.1 | Sample containing PEG 6000, PEGDA 700, SA, 1 [g] GSH, ZnO, and photoinitiator |
| D10 | Particle size distribution of 10% of the total volume |
| D50 | Particle size distribution of 50% of the total volume |
| D90 | Particle size distribution of 90% of the total volume |
| Dmean | mean diameter of the particle’s size |
| DMEM | Dullbecco’s Modified Eagle’s Medium |
| EDS | Energy Dispersive Spectroscopy |
| FT-IR | Fourier-Transform Infrared Spectroscopy |
| GSH | Glutathione |
| GPx | Glutathione peroxidase |
| L929 | Mouse fibroblast cell line |
| PBS | Phosphate-buffered saline |
| PEG 6000 | Polyethylene glycol |
| PEGDA | Poly(ethylene glycol) diacrylate |
| Photoinitiator | 2-hydroxy-2-methylpropionate |
| ROS | Reactive oxygen species |
| SA | Sodium alginate |
| SEM | Scanning Electron Microscopy |
| XRD | X-ray Diffraction |
| ZnO | Zinc oxide |
References
- Cushing, C.A.; Im, H.Y.; Adams, R.B.; Ward, N.; Albohn, D.N.; Steiner, T.G.; Kveraga, K. Neurodynamics and Connectivity during Facial Fear Perception: The Role of Threat Exposure and Signal Congruity. Sci. Rep. 2018, 8, 2776. [Google Scholar] [CrossRef] [PubMed]
- Wei, Y.; Wang, S.; Wang, D.; Liu, C. Expression and Clinical Significance of Serum Amyloid A and Interleukin-6 in Patients with Acute Exacerbation of Chronic Obstructive Pulmonary Disease. Exp. Ther. Med. 2019, 19, 2089–2094. [Google Scholar] [CrossRef] [PubMed]
- Cruzeiro, E.Z.; Gisin, N. Bell Inequalities with One Bit of Communication. Entropy 2019, 21, 171. [Google Scholar] [CrossRef]
- Dai, X.; Ding, M.; Zhang, W.; Xuan, Z.; Liang, J.; Yang, D.; Zhang, Q.; Su, B.; Zhu, H.; Jia, X. Anti-Inflammatory Effects of Different Elution Fractions of Er-Miao-San on Acute Inflammation Induced by Carrageenan in Rat Paw Tissue. Med. Sci. Monit. 2019, 25, 7958–7965. [Google Scholar] [CrossRef] [PubMed]
- Wanek, J.; Gaisberger, M.; Beyreis, M.; Mayr, C.; Helm, K.; Primavesi, F.; Jäger, T.; Di Fazio, P.; Jakab, M.; Wagner, A.; et al. Pharmacological Inhibition of Class IIA HDACs by LMK-235 in Pancreatic Neuroendocrine Tumor Cells. Int. J. Mol. Sci. 2018, 19, 3128. [Google Scholar] [CrossRef] [PubMed]
- Wong, A.; Zhang, B.; Jiang, M.; Gong, E.; Zhang, Y.; Lee, S.W. Oxidative Stress in Acne Vulgaris. Clin. Dermatol. Ther. 2016, 3, 763–767. [Google Scholar] [CrossRef] [PubMed]
- Habza-Kowalska, E.; Gawlik-Dziki, U.; Dziki, D. Mechanism of Action and Interactions between Thyroid Peroxidase and Lipoxygenase Inhibitors Derived from Plant Sources. Biomolecules 2019, 9, 663. [Google Scholar] [CrossRef] [PubMed]
- Abdalmassih, M.; Bucher, O.; Rathod, S.; Dubey, A.; Kim, J.O.; Ahmed, N.; Leylek, A.; Chowdhury, A.; Bashir, B. Clinical Outcomes After Stereotactic Body Radiation Therapy for Early Stage Non-Small Cell Lung Cancer: A Single Institutional Study. Cureus 2020, 12, e11886. [Google Scholar] [CrossRef]
- Loría-Cervera, E.N.; Sosa-Bibiano, E.I.; Van Wynsberghe, N.R.; Torres-Castro, J.R.; Andrade-Narváez, F.J. Preliminary Epidemiological Findings of Leishmania Infection in the Municipality of Tinum, Yucatan State, Mexico. Parasite Epidemiol. Control. 2019, 4, e00088. [Google Scholar] [CrossRef] [PubMed]
- Zhang, Z.; Sun, C.; Li, C.; Jiao, X.; Griffin, B.B.; Dongol, S.; Wu, H.; Zhang, C.; Cao, W.; Dong, R.; et al. Upregulated MELK Leads to Doxorubicin Chemoresistance and M2 Macrophage Polarization via the MiR-34a/JAK2/STAT3 Pathway in Uterine Leiomyosarcoma. Front. Oncol. 2020, 10, 453. [Google Scholar] [CrossRef]
- Jeong, H.S.; O’sullivan, D.M.; Lee, S.-C.; Lee, S.Y. Evaluation of Protective Equipment for the Forearm, Shin, Hand and Foot in Taekwondo. J. Sports Sci. Med. 2019, 18, 376–383. [Google Scholar] [PubMed]
- Onaca, N.; Takita, M.; Levy, M.F.; Naziruddin, B. Anti-Inflammatory Approach With Early Double Cytokine Blockade (IL-1β and TNF-α) Is Safe and Facilitates Engraftment in Islet Allotransplantation. Transplant. Direct 2020, 6, e530. [Google Scholar] [CrossRef] [PubMed]
- Bhatt, D.L.; Fox, K.; Harrington, R.A.; Leiter, L.A.; Mehta, S.R.; Simon, T.; Andersson, M.; Himmelmann, A.; Ridderstråle, W.; Held, C.; et al. Rationale, Design and Baseline Characteristics of the Effect of Ticagrelor on Health Outcomes in Diabetes Mellitus Patients Intervention Study. Clin. Cardiol. 2019, 42, 498–505. [Google Scholar] [CrossRef] [PubMed]
- Puiggalí-Jou, A.; Cazorla, E.; Ruano, G.; Babeli, I.; Ginebra, M.-P.; García-Torres, J.; Alemán, C. Electroresponsive Alginate-Based Hydrogel for Controlled Release of Hydrophobic Drugs. ACS Biomater. Sci. Eng. 2020, 6, 6228–6240. [Google Scholar] [CrossRef]
- Brühmann, B.A.; Reese, C.; Kaier, K.; Ott, M.; Maurer, C.; Kunert, S.; Saurer, B.R.; Farin, E. A Complex Health Services Intervention to Improve Medical Care in Long-Term Care Homes: Study Protocol of the Controlled Coordinated Medical Care (CoCare) Study. BMC Health Serv. Res. 2019, 19, 332. [Google Scholar] [CrossRef] [PubMed]
- Gelaw, Y.; Woldu, B.; Melku, M. Proportion of Acute Transfusion Reaction and Associated Factors among Adult Transfused Patients at Felege Hiwot Compressive Referral Hospital, Bahir Dar, Northwest Ethiopia: A Cross-Sectional Study. J. Blood Med. 2020, 11, 227–236. [Google Scholar] [CrossRef]
- Gaballa, S.A.; Naguib, Y.W.; Mady, F.M.; Khaled, K.A. Polyethylene Glycol: Properties, Applications, and Challenges. J. Adv. Biomed. Pharm. Sci. 2024, 7, 26–36. [Google Scholar] [CrossRef]
- Saku, K.; Tobinaga, S.; Oryoji, A.; Fukuda, T.; Zaima, Y.; Saisho, H.; Shojima, T.; Takagi, K.; Takaseya, T.; Tanaka, H. Florida Sleeve Technique for a Right Sinus of Valsalva Aneurysm: A Case Report. Surg. Case Rep. 2019, 5, 125. [Google Scholar] [CrossRef]
- Luo, Y.; Wei, Y.; Sun, S.; Wang, J.; Wang, W.; Han, D.; Shao, H.; Jia, H.; Fu, Y. Selenium Modulates the Level of Auxin to Alleviate the Toxicity of Cadmium in Tobacco. Int. J. Mol. Sci. 2019, 20, 3772. [Google Scholar] [CrossRef]
- Igumbor, J.O.; Bosire, E.N.; Basera, T.J.; Uwizeye, D.; Fayehun, O.; Wao, H.; Ajuwon, A.; Otukpa, E.; Karimi, F.; Conco, D.; et al. CARTA Fellows’ Scientific Contribution to the African Public and Population Health Research Agenda (2011 to 2018). BMC Public Health 2020, 20, 1030. [Google Scholar] [CrossRef]
- Gram, A.M.; Wright, J.A.; Pickering, R.J.; Lam, N.L.; Booty, L.M.; Webster, S.J.; Bryant, C.E. Salmonella Flagellin Activates NAIP/NLRC4 and Canonical NLRP3 Inflammasomes in Human Macrophages. J. Immunol. 2021, 206, 631–640. [Google Scholar] [CrossRef] [PubMed]
- Barbu, A.; Neamțu, M.B.; Zăhan, M.; Mireșan, V. Trends in Alginate-Based Films and Membranes for Wound Healing. Rom. Biotechnol. Lett. 2020, 25, 1683–1689. [Google Scholar]
- Lee, H.J.; Woo, J.H.; Cho, S.; Oh, H.W.; Joo, H.; Baik, H.J. Risk Factors for Perioperative Respiratory Adverse Events in Children with Recent Upper Respiratory Tract Infection: A Single-Center-Based Retrospective Study. Ther. Clin. Risk Manag. 2020, 16, 1227–1234. [Google Scholar] [CrossRef]
- Wen, J. Formulation and Characterization of Glutathione-Loaded Bioadhesive Hydrogel for Ocular Delivery. Acad. J. Polym. Sci. 2019, 2, 555590. [Google Scholar] [CrossRef]
- Lin, Z.; Li, M.; Wang, Y.S.; Tell, L.A.; Baynes, R.E.; Davis, J.L.; Vickroy, T.W.; Riviere, J.E. Physiological Parameter Values for Physiologically Based Pharmacokinetic Models in Food-Producing Animals. Part I: Cattle and Swine. J. Vet. Pharmacol. Ther. 2020, 43, 385–420. [Google Scholar] [CrossRef]
- Hetherington, M.J.; Kousha, O.; Ali, A.A.M.; Kitema, F.; Blaikie, A. Comment on: Reshaping Ophthalmology Training after COVID-19 Pandemic. Eye 2021, 35, 2316–2318. [Google Scholar] [CrossRef] [PubMed]
- Pagano, M.C.; Miransari, M.; Corrêa, E.J.A.; Duarte, N.F.; Yelikbayev, B.K. Genomic Research Favoring Higher Soybean Production. Curr. Genom. 2020, 21, 481–490. [Google Scholar] [CrossRef] [PubMed]
- Zanolli, M.B.; Streit, D.S.; MacIel, D.T.; Muraguchi, E.M.O.; Martins, M.A.; Fátima Lopes Calvo Tibério, I. Differences in Clerkship Development between Public and Private Brazilian Medical Schools: An Overview. BMC Med. Educ. 2020, 20, 316. [Google Scholar] [CrossRef]
- Kenu, E.; Frimpong, J.A.; Koram, K.A. Responding to the Covid-19 Pandemic in Ghana. Ghana Med. J. 2020, 54, 72–73. [Google Scholar] [CrossRef]
- Copp, J.E.; Giordano, P.C.; Longmore, M.A.; Manning, W.D. Dating Violence and Physical Health: A Longitudinal Lens on the Significance of Relationship Dynamics and Anti-Social Lifestyle Characteristics. Crim. Behav. Ment. Health 2016, 26, 251–262. [Google Scholar] [CrossRef] [PubMed]
- Bungau, A.F.; Tit, D.M.; Stoicescu, M.; Moleriu, L.C.; Muresan, M.; Radu, A.; Brisc, M.C.; Ghitea, T.C. Exploring a New Pathophysiological Association in Acne Vulgaris and Metabolic Syndrome: The Role of Biogenic Amines and Glutathione Peroxidase. Medicina 2024, 60, 513. [Google Scholar] [CrossRef] [PubMed]
- Górska, A.; Mendyk, A. Hydrogels as Effective Wound Dressings in Support of Wounds Treatment. Farm. Pol. 2023, 79, 217–225. [Google Scholar] [CrossRef] [PubMed]
- Rácz, A.; Allan, B.; Dwyer, T.; Thambithurai, D.; Crespel, A.; Killen, S.S. Identification of Individual Zebrafish (Danio rerio): A Refined Protocol for VIE Tagging Whilst Considering Animal Welfare and the Principles of the 3Rs. Animals 2021, 11, 616. [Google Scholar] [CrossRef] [PubMed]
- Ludorf, K.L.; Salemi, J.L.; Kirby, R.S.; Tanner, J.P.; Agopian, A.J. Perspectives on Challenges and Opportunities for Birth Defects Surveillance Programs During and After the COVID-19 Era. Birth Defects Res. 2020, 112, 1039–1042. [Google Scholar] [CrossRef]
- Dedeo, C.L.; Cingolani, G.; Teschke, C.M. Portal Protein: The Orchestrator of Capsid Assembly for the dsDNA Tailed Bacteriophages and Herpesviruses. Annu. Rev. Virol. 2019, 6, 141–160. [Google Scholar] [CrossRef] [PubMed]
- Jin, S.-E.; Jin, H.-E. Antimicrobial Activity of Zinc Oxide Nano/Microparticles and Their Combinations against Pathogenic Microorganisms for Biomedical Applications: From Physicochemical Characteristics to Pharmacological Aspects. Nanomaterials 2021, 11, 263. [Google Scholar] [CrossRef] [PubMed]
- ISO 10993-5:2009; Biological Evaluation of Medical Devices—Part 5: Tests for In Vitro Cytotoxicity. International Organization for Standardization: Geneva, Switzerland, 2009.
- Wang, Y.; Lu, Y. Sodium Alginate-Based Functional Materials toward Sustainable Applications: Water Treatment and Energy Storage. Ind. Eng. Chem. Res. 2023, 62, 11279–11304. [Google Scholar] [CrossRef]
- Wu, J.; Zeng, R.J. In Situ Preparation of Stabilized Iron Sulfide Nanoparticle-Impregnated Alginate Composite for Selenite Remediation. Environ. Sci. Technol. 2018, 52, 6487–6496. [Google Scholar] [CrossRef] [PubMed]
- Khan, M.F.; Ansari, A.H.; Hameedullah, M.; Ahmad, E.; Husain, F.M.; Zia, Q.; Baig, U.; Zaheer, M.R.; Alam, M.M.; Khan, A.M.; et al. Sol-Gel Synthesis of Thorn-like ZnO Nanoparticles Endorsing Mechanical Stirring Effect and Their Antimicrobial Activities: Potential Role as Nano-Antibiotics. Sci. Rep. 2016, 6, 27689. [Google Scholar] [CrossRef] [PubMed]
- Castro-Mayorga, J.L.; Fabra, M.J.; Pourrahimi, A.M.; Olsson, R.T.; Lagaron, J.M. The Impact of Zinc Oxide Particle Morphology as an Antimicrobial and When Incorporated in Poly(3-hydroxybutyrate-co-3-hydroxyvalerate) Films for Food Packaging and Food Contact Surfaces Applications. Food Bioprod. Process. 2017, 101, 32–44. [Google Scholar] [CrossRef]
- Mendes, C.R.; Dilarri, G.; Forsan, C.F.; Sapata, V.d.M.R.; Lopes, P.R.M.; de Moraes, P.B.; Montagnolli, R.N.; Ferreira, H.; Bidoia, E.D. Antibacterial Action and Target Mechanisms of Zinc Oxide Nanoparticles against Bacterial Pathogens. Sci. Rep. 2022, 12, 2658. [Google Scholar] [CrossRef]
- Kayani, Z.N.; Iqbal, M.; Riaz, S.; Zia, R.; Naseem, S. Fabrication and Properties of Zinc Oxide Thin Film Prepared by Sol-Gel Dip Coating Method. Mater. Sci. 2015, 33, 515–520. [Google Scholar] [CrossRef]
- Lis, K.; Szechyńska, J.; Träger, D.; Sadlik, J.; Niziołek, K.; Słota, D.; Jampilek, J.; Sobczak-Kupiec, A. Hybrid Polymer–Inorganic Materials with Hyaluronic Acid as Controlled Antibiotic Release Systems. Materials 2024, 17, 58. [Google Scholar] [CrossRef] [PubMed]
- González-Henríquez, C.M.; Pizarro, G.d.C.; Sarabia-Vallejos, M.A.; Terraza, C.A.; López-Cabaña, Z.E. In Situ-Preparation and Characterization of Silver-HEMA/PEGDA Hydrogel Matrix Nanocomposites: Silver Inclusion Studies into Hydrogel Matrix. Arab. J. Chem. 2019, 12, 1413–1423. [Google Scholar] [CrossRef]
- Pereira, R.; Tojeira, A.; Vaz, D.C.; Mendes, A.; Bártolo, P. Preparation and Characterization of Films Based on Alginate and Aloe Vera. Int. J. Polym. Anal. Charact. 2011, 16, 449–464. [Google Scholar] [CrossRef]
- Basu, S.; Panigrahi, S.; Praharaj, S.; Kumar Ghosh, S.; Pande, S.; Jana, S.; Pal, T. Dipole-Dipole Plasmon Interactions in Self-Assembly of Gold Organosol Induced by Glutathione. New J. Chem. 2006, 30, 1333–1339. [Google Scholar] [CrossRef]
- Haraźna, K.; Cichoń, E.; Skibiński, S.; Witko, T.; Solarz, D.; Kwiecień, I.; Marcello, E.; Zimowska, M.; Socha, R.; Szefer, E.; et al. Physicochemical and Biological Characterisation of Diclofenac Oligomeric Poly(3-hydroxyoctanoate) Hybrids as β-TCP Ceramics Modifiers for Bone Tissue Regeneration. Int. J. Mol. Sci. 2020, 21, 9452. [Google Scholar] [CrossRef] [PubMed]
- Bhardwaj, D.; Sharma, P.; Khare, P.S. Synthesis of Whorl Shaped Zinc Oxide Nanostructure Crystals by Simple Wet Synthesis Route. Mater. Lett. 2013, 111, 134–136. [Google Scholar] [CrossRef]
- Debanath, M.K.; Karmakar, S. Study of Blueshift of Optical Band Gap in Zinc Oxide (ZnO) Nanoparticles Prepared by Low-Temperature Wet Chemical Method. Mater. Lett. 2013, 111, 116–119. [Google Scholar] [CrossRef]
- Iza, M.; Stoianovici, G.; Viora, L.; Grossiord, J.L.; Couarrazé, G. Hydrogels of Poly(ethylene glycol): Mechanical Characterization and Release of a Model Drug. J. Control. Release 1998, 52, 41–51. [Google Scholar] [CrossRef]
- Koehler, J.; Wallmeyer, L.; Hedtrich, S.; Goepferich, A.M.; Brandl, F.P. PH-Modulating Poly(ethylene glycol)/Alginate Hydrogel Dressings for the Treatment of Chronic Wounds. Macromol. Biosci. 2017, 17, 1600369. [Google Scholar] [CrossRef]
- Oh, J.K.; Siegwart, D.J.; Lee, H.-I.; Sherwood, G.; Peteanu, L.; Hollinger, J.O.; Kataoka, K.; Matyjaszewski, K. Biodegradable Nanogels Prepared by Atom Transfer Radical Polymerization as Potential Drug Delivery Carriers: Synthesis, Biodegradation, In Vitro Release, and Bioconjugation. J. Am. Chem. Soc. 2007, 129, 5939–5945. [Google Scholar] [CrossRef] [PubMed]
- ISO 10993-12:2021; Biological Evaluation of Medical Devices—Part 12: Sample Preparation and Reference Materials. International Organization for Standardization: Geneva, Switzerland, 2012.









| Number | Mean Particle Size [µm] | D10 [µm] | D50 [µm] | D90 [µm] |
|---|---|---|---|---|
| Mean value | 2.371 ± 0.307 | 0.594 ± 1.114 | 1.514 ± 0.080 | 4.780 ± 0.014 |
| Sample | Mass [%] |
|---|---|
| 10 | C: 57.48; O: 42.52 |
| 20 | C: 58.04; O: 41.96 |
| 40 | C: 46.72; O: 50.37; N: 2.01; S: 0.9 |
| 40.1 | C: 46.04; O: 47.47; N: 3.23; S: 1.79; Zn:1.48 |
| ZnO | C: 69.69; O: 20.44; Zn: 8.28; Au: 1.59 |
| Name of the Sample | Abbreviation | PEG 6000 [mL] | SA [mL] | PEGDA 700 [mL] | GSH [g] | ZnO [w/w%] | Photoinitiator [µL] |
|---|---|---|---|---|---|---|---|
| PEG | 10 | 5 | - | 1.3 | - | - | 28 |
| PEG/SA | 20 | 2 | - | - | |||
| PEG/SA/0.5GSH | 30 | 0.5 | - | ||||
| PEG/SA/0.5GSH/ZnO | 30.1 | 0.5 | 0.1 | ||||
| PEG/SA/1GSH | 40 | 1.0 | - | ||||
| PEG/SA/1GSH/ZnO | 40.1 | 1.0 | 0.1 |
| Component [g/L] | PBS | Ringer’s Fluid |
|---|---|---|
| NaCl | 8.000 | 8.600 |
| KCl | 0.200 | 0.300 |
| CaCl2 | - | 0.423 |
| Na2HPO4 | 1.150 | - |
| KH2PO4 | 0.200 | - |
Disclaimer/Publisher’s Note: The statements, opinions and data contained in all publications are solely those of the individual author(s) and contributor(s) and not of MDPI and/or the editor(s). MDPI and/or the editor(s) disclaim responsibility for any injury to people or property resulting from any ideas, methods, instructions or products referred to in the content. |
© 2025 by the authors. Licensee MDPI, Basel, Switzerland. This article is an open access article distributed under the terms and conditions of the Creative Commons Attribution (CC BY) license (https://creativecommons.org/licenses/by/4.0/).
Share and Cite
Träger, D.; Młyniec, K.; Haraźna, K.; Słota, D.; Niziołek, K.; Jampilek, J.; Sobczak-Kupiec, A. Development of Glutathione Hydrogel Carriers Containing Zinc Oxide Microparticles for Skin Regeneration Processes. Int. J. Mol. Sci. 2025, 26, 1395. https://doi.org/10.3390/ijms26041395
Träger D, Młyniec K, Haraźna K, Słota D, Niziołek K, Jampilek J, Sobczak-Kupiec A. Development of Glutathione Hydrogel Carriers Containing Zinc Oxide Microparticles for Skin Regeneration Processes. International Journal of Molecular Sciences. 2025; 26(4):1395. https://doi.org/10.3390/ijms26041395
Chicago/Turabian StyleTräger, Dominika, Katarzyna Młyniec, Katarzyna Haraźna, Dagmara Słota, Karina Niziołek, Josef Jampilek, and Agnieszka Sobczak-Kupiec. 2025. "Development of Glutathione Hydrogel Carriers Containing Zinc Oxide Microparticles for Skin Regeneration Processes" International Journal of Molecular Sciences 26, no. 4: 1395. https://doi.org/10.3390/ijms26041395
APA StyleTräger, D., Młyniec, K., Haraźna, K., Słota, D., Niziołek, K., Jampilek, J., & Sobczak-Kupiec, A. (2025). Development of Glutathione Hydrogel Carriers Containing Zinc Oxide Microparticles for Skin Regeneration Processes. International Journal of Molecular Sciences, 26(4), 1395. https://doi.org/10.3390/ijms26041395

