Elastomeric Biocomposites of Natural Rubber Containing Biosynthesized Zinc Oxide
Abstract
1. Introduction
2. Results and Discussion
2.1. Thermogravimetric Analysis of BioZnO
2.2. Fourier Transform Infrared Spectroscopy (FTIR) Analysis of ZnO Powders
2.3. X-Ray Diffraction Study (XRD) of BioZnO
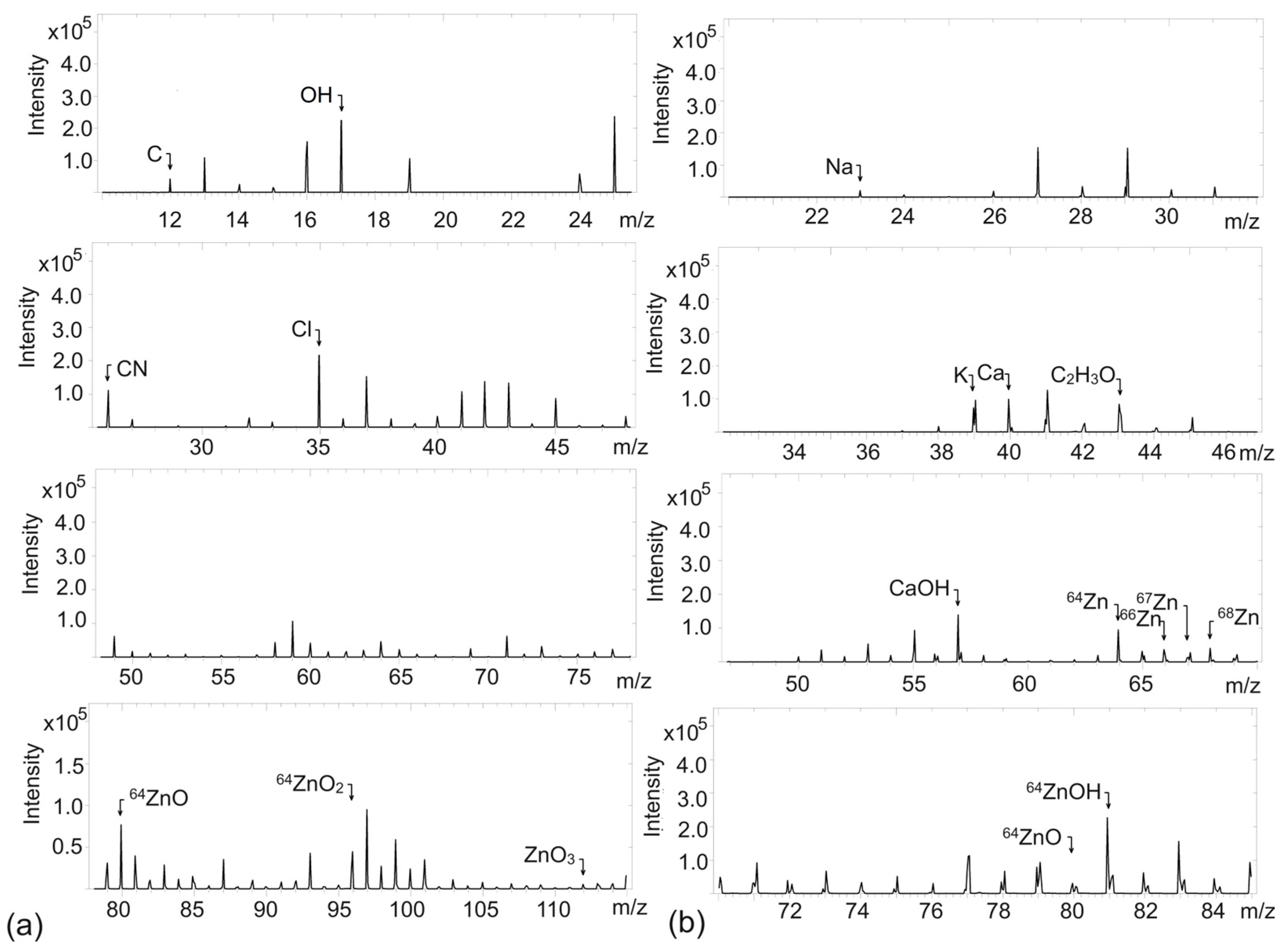
2.4. Time-of-Flight Secondary Ion Mass Spectrometry (TOF-SIMS) Analysis of ZnO Powders
2.5. Scanning Electron Microscopy (SEM) with Energy-Dispersive X-Ray Spectroscopy (EDS) Analysis of ZnO Powders
2.6. Dispersion of BioZnO in NR Composites
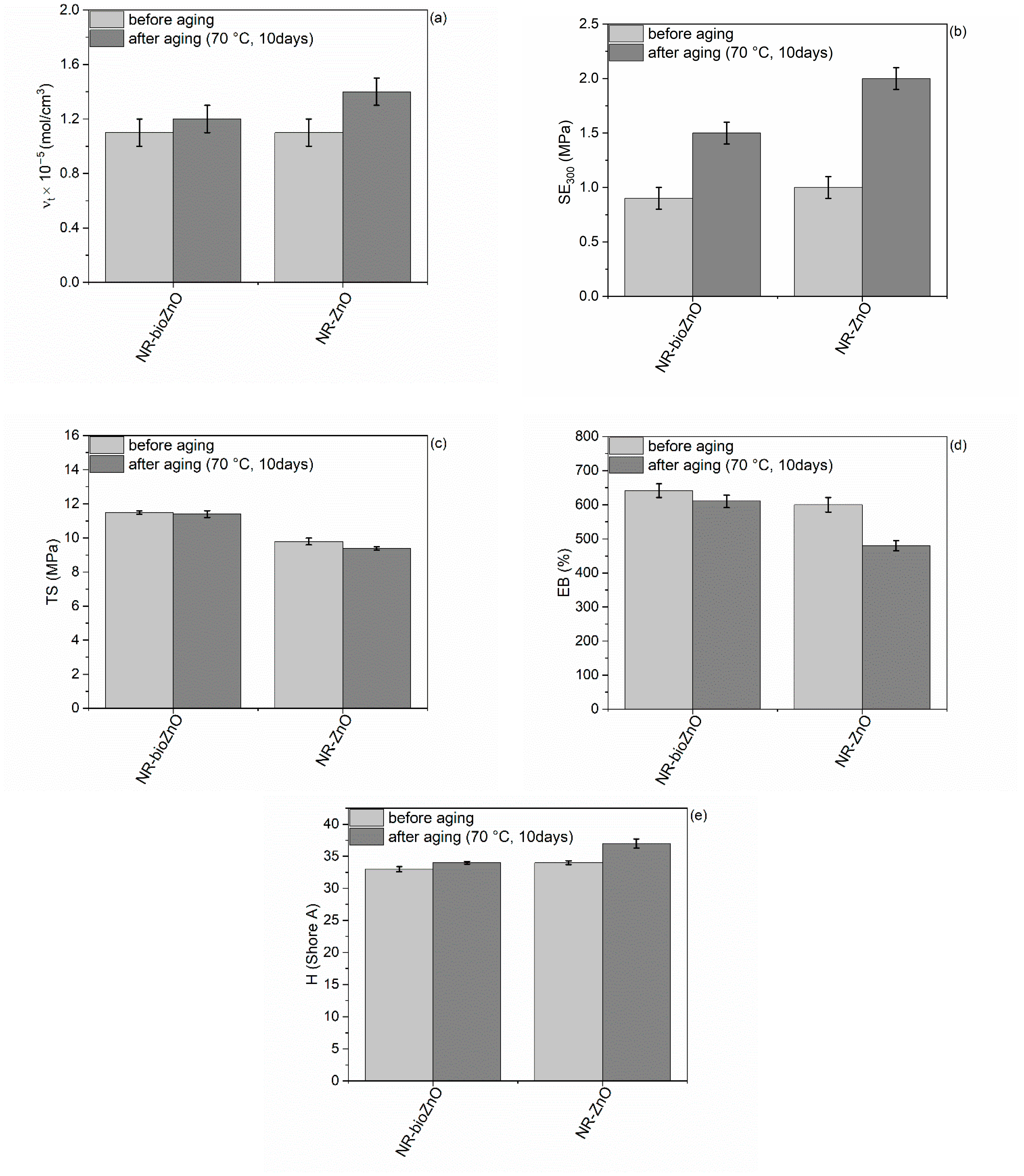
2.7. Rheological Properties and Crosslink Density of NR Composites
2.8. Dynamic Mechanical Performance of NR Vulcanizates
2.9. Tensile Characteristics and Hardness of NR Vulcanizates
2.10. Durability to Thermo-Oxidative Degradation of NR Vulcanizates
2.11. Thermal Durability of NR Vulcanizates
3. Materials and Methods
3.1. Materials
3.2. Synthesis of BioZnO
3.3. Characterization of BioZnO
3.4. Preparation and Analysis of Rubber Compounds
4. Conclusions
Author Contributions
Funding
Institutional Review Board Statement
Informed Consent Statement
Data Availability Statement
Conflicts of Interest
References
- Alam, M.N.; Kumar, V.; Park, S.-S. Advances in Rubber Compounds Using ZnO and MgO as Co-Cure Activators. Polymers 2022, 14, 5289. [Google Scholar] [CrossRef] [PubMed]
- Maciejewska, M.; Sowinska, A.; Kucharsk, J. Organic Zinc Salts as Pro-Ecological Activators for Sulfur Vulcanization of Styrene-Butadiene Rubber. Polymers 2019, 11, 1723. [Google Scholar] [CrossRef] [PubMed]
- Maciejewska, M.; Sowińska, A.; Grocholewicz, A. Zinc Complexes with 1,3-Diketones as Activators for Sulfur Vulcanization of Styrene-Butadiene Elastomer Filled with Carbon Black. Materials 2021, 14, 3804. [Google Scholar] [CrossRef]
- Masek, A.; Zaborski, M. ENR/PCL Polymer Biocomposites from Renewable Resources. Comptes Rendus Chim. 2014, 17, 944–951. [Google Scholar] [CrossRef]
- Maciejewska, M.; Sowińska-Baranowska, A. Bromide and Chloride Ionic Liquids Applied to Enhance the Vulcanization and Performance of Natural Rubber Biocomposites Filled with Nanosized Silica. Nanomaterials 2022, 12, 1209. [Google Scholar] [CrossRef]
- Masłowski, M.; Miedzianowska, J.; Czylkowska, A.; Strzelec, K. Horsetail (Equisetum arvense) as a Functional Filler for Natural Rubber Biocomposites. Materials 2020, 13, 2526. [Google Scholar] [CrossRef]
- Sowińska-Baranowska, A.; Maciejewska, M.; Duda, P. The Potential Application of Starch and Walnut Shells as Biofillers for Natural Rubber (NR) Composites. Int. J. Mol. Sci. 2022, 23, 7968. [Google Scholar] [CrossRef]
- Sowińska-Baranowska, A.; Maciejewska, M. Potential Utilization of Ground Eggshells as a Biofiller for Natural Rubber Biocomposites. Materials 2023, 16, 2988. [Google Scholar] [CrossRef]
- Masłowski, M.; Miedzianowska, J.; Strąkowska, A.; Strzelec, K.; Szynkowska, M.I. The Use of Rye, Oat and Triticale Straw as Fillers of Natural Rubber Composites. Polym. Bull. 2018, 75, 4607–4626. [Google Scholar] [CrossRef]
- Miedzianowska, J.; Masłowski, M.; Rybiński, P.; Strzelec, K. Straw/Nano-Additive Hybrids as Functional Fillers for Natural Rubber Biocomposites. Materials 2021, 14, 321. [Google Scholar] [CrossRef]
- Masłowski, M.; Miedzianowska, J.; Strzelec, K. Natural Rubber Composites Filled with Cereals Straw Modified with Acetic and Maleic Anhydride: Preparation and Properties. J. Polym. Environ. 2018, 26, 4141–4157. [Google Scholar] [CrossRef]
- Masłowski, M.; Miedzianowska, J.; Strzelec, K. Natural Rubber Composites Filled with Crop Residues as an Alternative to Vulcanizates with Common Fillers. Polymers 2019, 11, 972. [Google Scholar] [CrossRef] [PubMed]
- Masłowski, M.; Miedzianowska, J.; Strzelec, K. Natural Rubber Biocomposites Containing Corn, Barley and Wheat Straw. Polym. Test. 2017, 63, 84–91. [Google Scholar] [CrossRef]
- Zare, E.; Pourseyedi, S.; Khatami, M.; Darezereshki, E. Simple Biosynthesis of Zinc Oxide Nanoparticles Using Nature’s Source, and It’s In Vitro Bio-Activity. J. Mol. Struct. 2017, 1146, 96–103. [Google Scholar] [CrossRef]
- da Silva Biron, D.; dos Santos, V.; Bergmann, C.P. Synthesis and Characterization of Zinc Oxide Obtained by Combining Zinc Nitrate with Sodium Hydroxide in Polyol Medium. Mater. Res. 2020, 23, e20200080. [Google Scholar] [CrossRef]
- Basnet, P.; Inakhunbi Chanu, T.; Samanta, D.; Chatterjee, S. A Review on Bio-Synthesized Zinc Oxide Nanoparticles Using Plant Extracts as Reductants and Stabilizing Agents. J. Photochem. Photobiol. B 2018, 183, 201–221. [Google Scholar] [CrossRef]
- Rehman, H.; Ali, W.; Zaman Khan, N.; Aasim, M.; Khan, T.; Ali Khan, A. Delphinium Uncinatum Mediated Biosynthesis of Zinc Oxide Nanoparticles and In-Vitro Evaluation of Their Antioxidant, Cytotoxic, Antimicrobial, Anti-Diabetic, Anti-Inflammatory, and Anti-Aging Activities. Saudi J. Biol. Sci. 2023, 30, 103485. [Google Scholar] [CrossRef]
- Akintelu, S.A.; Folorunso, A.S. A Review on Green Synthesis of Zinc Oxide Nanoparticles Using Plant Extracts and Its Biomedical Applications. Bionanoscience 2020, 10, 848–863. [Google Scholar] [CrossRef]
- Easmin, S.; Bhattacharyya, M.; Pal, K.; Das, P.; Sahu, R.; Nandi, G.; Dewanjee, S.; Paul, P.; Haydar, M.S.; Roy, S.; et al. Papaya Peel Extract-Mediated Green Synthesis of Zinc Oxide Nanoparticles and Determination of Their Antioxidant, Antibacterial, and Photocatalytic Properties. Bioprocess. Biosyst. Eng. 2024, 47, 65–74. [Google Scholar] [CrossRef]
- Acharya, T.R.; Lamichhane, P.; Wahab, R.; Chaudhary, D.K.; Shrestha, B.; Joshi, L.P.; Kaushik, N.K.; Choi, E.H. Study on the Synthesis of Zno Nanoparticles Using Azadirachta Indica Extracts for the Fabrication of a Gas Sensor. Molecules 2021, 26, 7685. [Google Scholar] [CrossRef]
- Pałka, P.; Muszyńska, B.; Szewczyk, A.; Pawłowska, B. Elicitation and Enhancement of Phenolics Synthesis with Zinc Oxide Nanoparticles and LED Light in Lilium candidum L. cultures in vitro. Agronomy 2023, 13, 1437. [Google Scholar] [CrossRef]
- Ainnaa Mardhiah Muhammad, N.; Azura Awang, N.; Noor Haryatul Eleena Nik Mahmud, N.; Ummi Hazirah Hani Zalkepali, N.; Zamira Muhamad Zamri, A.; Basri, H.; Izwanie Rasli, N. Biosynthesized Zinc Oxide and Titanium Dioxide Nanoparticles by Aloe Vera Extract for Tunable Q-Switched Application. Opt. Fiber Technol. 2023, 77, 103276. [Google Scholar] [CrossRef]
- Vanathi, P.; Rajiv, P.; Narendhran, S.; Rajeshwari, S.; Rahman, P.K.S.M.; Venckatesh, R. Biosynthesis and Characterization of Phyto Mediated Zinc Oxide Nanoparticles: A Green Chemistry Approach. Mater. Lett. 2014, 134, 13–15. [Google Scholar] [CrossRef]
- Vasantharaj, S.; Sathiyavimal, S.; Senthilkumar, P.; Kalpana, V.N.; Rajalakshmi, G.; Alsehli, M.; Elfasakhany, A.; Pugazhendhi, A. Enhanced Photocatalytic Degradation of Water Pollutants Using Bio-Green Synthesis of Zinc Oxide Nanoparticles (ZnO NPs). J. Environ. Chem. Eng. 2021, 9, 105772. [Google Scholar] [CrossRef]
- Vidhya, E.; Vijayakumar, S.; Prathipkumar, S.; Praseetha, P.K. Green Way Biosynthesis: Characterization, Antimicrobial and Anticancer Activity of ZnO Nanoparticles. Gene Rep. 2020, 20, 100688. [Google Scholar] [CrossRef]
- Umar, H.; Kavaz, D.; Rizaner, N. Biosynthesis of Zinc Oxide Nanoparticles Using Albizia Lebbeck Stem Bark, and Evaluation of Its Antimicrobial, Antioxidant, and Cytotoxic Activities on Human Breast Cancer Cell Lines. Int. J. Nanomed. 2019, 14, 87–100. [Google Scholar] [CrossRef]
- Bhattarai, S.; Mohammed, M.K.A.; Hossain, I.; Dakua, P.K.; Pandey, R.; Madan, J. Bio-Synthesized ZnO in Cesium Based Perovskite Solar Cells: A Pathway to Sustainable High Efficiency. Solid State Commun. 2024, 393, 115671. [Google Scholar] [CrossRef]
- Harris, J.D.; Wade, E.A.; Ellison, E.G.; Pena, C.C.; Bryant, S.C.; McKibben, N.L.; Christy, A.J.; Laughlin, K.O.; Harris, A.E.; Goettsche, K.V.; et al. Zinc–Acetate–Amine Complexes as Precursors to ZnO and the Effect of the Amine on Nanoparticle Morphology, Size, and Photocatalytic Activity. Catalysts 2022, 12, 1099. [Google Scholar] [CrossRef]
- Bilkova, P.; Zemek, J.; Mitu, B.; Marotta, V.; Orlando, S. Deposition of Zinc Oxide Thin Films by Reactive Pulsed Laser Ablation. Appl. Surf. Sci. 2006, 252, 4604–4609. [Google Scholar] [CrossRef]
- Ebadi, M.; Zolfaghari, M.R.; Aghaei, S.S.; Zargar, M.; Shafiei, M.; Zahiri, H.S.; Noghabi, K.A. A Bio-Inspired Strategy for the Synthesis of Zinc Oxide Nanoparticles (ZnO NPs) Using the Cell Extract of Cyanobacterium nostoc sp. EA03: From Biological Function to Toxicity Evaluation. RSC Adv. 2019, 9, 23508–23525. [Google Scholar] [CrossRef]
- Przybyszewska, M.; Krzywania, A.; Zaborski, M.; Szynkowska, M.I. Surface Properties of Zinc Oxide Nanoparticles Studied by Inverse Gas Chromatography. J. Chromatogr. A 2009, 1216, 5284–5291. [Google Scholar] [CrossRef] [PubMed]
- Rajendran, S.P.; Sengodan, K. Synthesis and Characterization of Zinc Oxide and Iron Oxide Nanoparticles Using Sesbania Grandiflora Leaf Extract as Reducing Agent. J. Nanosci. 2017, 2017, 8348507. [Google Scholar] [CrossRef]
- Yedurkar, S.; Maurya, C.; Mahanwar, P. Biosynthesis of Zinc Oxide Nanoparticles Using Ixora Coccinea Leaf Extract—A Green Approach. Open J. Synth. Theory Appl. 2016, 5, 1. [Google Scholar] [CrossRef]
- Moharram, A.H.; Mansour, S.A.; Hussein, M.A.; Rashad, M. Direct Precipitation and Characterization of ZnO Nanoparticles. J. Nanomater. 2014, 2014, 716210. [Google Scholar] [CrossRef]
- Koutu, V.; Ojhab, P.; Shastri, L.; Malik, M.M. Study of the Effect of Temperature Gradient on the Thermal and Electrical Properties of ZnO Nanoparticles. In Proceedings of the AIP Conference Proceedings, Bikaner, India, 24–25 November 2017; Volume 1953. [Google Scholar]
- Zheng, Y.; Fu, L.; Han, F.; Wang, A.; Cai, W.; Yu, J.; Yang, J.; Peng, F. Green Biosynthesis and Characterization of Zinc Oxide Nanoparticles Using Corymbia Citriodora Leaf Extract and Their Photocatalytic Activity. Green Chem. Lett. Rev. 2015, 8, 59–63. [Google Scholar] [CrossRef]
- Noothongkaew, S.; Pukird, S.; Sukkabot, W.; Kasemporn, B.; Songsiririttikul, P.; An, K.S. Zinc Oxide Nanostructures Synthesized by Thermal Oxidation of Zinc Powder on Si Substrate. In Proceedings of the Applied Mechanics and Materials, Hong Kong, China, 17–18 August 2013; Volume 328. [Google Scholar]
- Tan, W.K.; Razak, K.A.; Ibrahim, K.; Lockman, Z. Oxidation of Etched Zn Foil for the Formation of ZnO Nanostructure. J. Alloys Compd. 2011, 509, 6806–6811. [Google Scholar] [CrossRef]
- Bigdeli, F.; Morsali, A.; Retailleau, P. Syntheses and Characterization of Different Zinc(II) Oxide Nano-Structures from Direct Thermal Decomposition of 1D Coordination Polymers. Polyhedron 2010, 29, 801–806. [Google Scholar] [CrossRef]
- Fierro, J.L.G. Metal. Oxides: Chemistry and Applications; CRC Press: Boca Raton, FL, USA, 2005. [Google Scholar]
- Kadari, A.S.; Ech-Chergui, A.N.; Aïssa, B.; Mukherjee, S.K.; Benaioun, N.; Zakaria, Y.; Zekri, A.; Reda, C.M.; Mehdi, A.; Rabea, R.; et al. Growth and Characterization of Transparent Vanadium Doped Zinc Oxide Thin Films by Means of a Spray Pyrolysis Process for TCO Application. J. Solgel Sci. Technol. 2022, 103, 691–703. [Google Scholar] [CrossRef]
- Esthappan, S.K.; Nair, A.B.; Joseph, R. Effect of Crystallite Size of Zinc Oxide on the Mechanical, Thermal and Flow Properties of Polypropylene/Zinc Oxide Nanocomposites. Compos. B Eng. 2015, 69, 145–153. [Google Scholar] [CrossRef]
- Gankanda, A.; Cwiertny, D.M.; Grassian, V.H. Role of Atmospheric CO2 and H2O Adsorption on ZnO and CuO Nanoparticle Aging: Formation of New Surface Phases and the Impact on Nanoparticle Dissolution. J. Phys. Chem. C 2016, 120, 19195–19203. [Google Scholar] [CrossRef]
- Przybyszewska, M.; Zaborski, M. The Effect of Zinc Oxide Nanoparticle Morphology on Activity in Crosslinking of Carboxylated Nitrile Elastomer. Express Polym. Lett. 2009, 3, 542–552. [Google Scholar] [CrossRef]
- Gherbi, B.; Laouini, S.E.; Meneceur, S.; Bouafia, A.; Hemmami, H.; Tedjani, M.L.; Thiripuranathar, G.; Barhoum, A.; Menaa, F. Effect of PH Value on the Bandgap Energy and Particles Size for Biosynthesis of ZnO Nanoparticles: Efficiency for Photocatalytic Adsorption of Methyl Orange. Sustainability 2022, 14, 11300. [Google Scholar] [CrossRef]
- Khan, A.U.; Malik, N.; Singh, B.; Ansari, N.H.; Rehman, M.; Yadav, A. Biosynthesis, and Characterization of Zinc Oxide Nanoparticles (ZnONPs) Obtained from the Extract of Waste of Strawberry. J. Umm Al-Qura Univ. Appl. Sci. 2023, 9, 268–275. [Google Scholar] [CrossRef]
- Sowińska, A.; Maciejewska, M.; Grajewska, A. Bis(Trifluoromethylsulfonyl)Imide Ionic Liquids Applied for Fine-tuning the Cure Characteristics and Performance of Natural Rubber Composites. Int. J. Mol. Sci. 2021, 22, 3678. [Google Scholar] [CrossRef] [PubMed]
- Heideman, G.; Noordermeer, J.W.M.; Datta, R.N.; Van Baarle, B. Multifunctional Additives as Zinc-Free Curatives for Sulfur Vulcanization. Rubber Chem. Technol. 2006, 79, 561–588. [Google Scholar] [CrossRef]
- Rader, C.P. Vulcanization of Rubber—A. Sulfur and Non-Peroxides, 1st ed.; Rubber Division ACS: Akron, OH, USA, 2001. [Google Scholar]
- Maciejewska, M.; Sowińska, A. Influence of Fillers and Ionic Liquids on the Crosslinking and Performance of Natural Rubber Biocomposites. Polymers 2021, 13, 1656. [Google Scholar] [CrossRef]
- Choi, S.S.; Kim, J.C.; Lee, S.G.; Joo, Y.L. Influence of the Cure Systems on Long Time Thermal Aging Behaviors of NR Composites. Macromol. Res. 2008, 16, 561–566. [Google Scholar] [CrossRef]
- Diez-Escudero, A.; Espanol, M.; Ginebra, M.P. High-Aspect-Ratio Nanostructured Hydroxyapatite: Towards New Functionalities for a Classical Material. Chem. Sci. 2023, 15, 55–76. [Google Scholar] [CrossRef]
- Martínez-Burgos, W.J.; Serra, J.L.; MarsigliaF, R.M.; Montoya, P.; Sarmiento-Vásquez, Z.; Marin, O.; Gallego-Cartagena, E.; Paternina-Arboleda, C.D. Aloe Vera: From Ancient Knowledge to the Patent and Innovation Landscape—A Review. S. Afr. J. Bot. 2022, 147, 993–1006. [Google Scholar] [CrossRef]
- ISO 6502-3:2018; Rubber—Measurement of Vulcanization Characteristics Using Curemeters—Part 3: Rotorless Rheometer. International Organization for Standardization: Geneva, Switzerland, 2018.
- ISO 11357-1:2016; Plastics—Differential Scanning Calorimetry (DSC)—Part 1: General Principles. International Organization for Standardization: Geneva, Switzerland, 2016.
- ISO 1817:2015; Rubber, Vulcanized or Thermoplastic—Determination of Effect of Liquids. International Organization for Standardization: Geneva, Switzerland, 2017.
- Flory, P.J.; Rehner, J. Statistical Mechanics of Cross-Linked Polymer Networks II. Swelling. J. Chem. Phys. 1943, 11, 521–526. [Google Scholar] [CrossRef]
- Juszkiewicz, A.; Maciejewska, M. Tea Grounds as a Waste Biofiller for Natural Rubber. Materials 2024, 17, 1516. [Google Scholar] [CrossRef] [PubMed]
- ISO 37:2017; Rubber, Vulcanized or Thermoplastic—Determination of Tensile Stress-Strain Properties. International Organization for Standardization: Geneva, Switzerland, 2017.
- ISO 868:2003; Plastics and Ebonite—Determination of Indentation Hardness by Means of a Durometer (Shore Hardness). International Organization for Standardization: Geneva, Switzerland, 2003.
- ISO 188:2011; Rubber, Vulcanized or Thermoplastic—Accelerated Ageing and Heat Resistance Tests. International Organization for Standardization: Geneva, Switzerland, 2011.
- Szadkowski, B.; Kuśmierek, M.; Śliwka-Kaszyńska, M.; Marzec, A. Structure and Stability Characterization of Natural Lake Pigments Made from Plant Extracts and Their Potential Application in Polymer Composites for Packaging Materials. Materials 2022, 15, 4608. [Google Scholar] [CrossRef] [PubMed]















| NR Compound | Smin (dNm) | ∆S (dNm) | t02 (min) | t90 (min) | νt × 10−5 (mol/cm3) |
|---|---|---|---|---|---|
| NR-bioZnO | 0.3 | 5.6 | 1.0 | 1.8 | 1.1 |
| NR-ZnO | 0.2 | 5.6 | 1.0 | 2.2 | 1.1 |
| NR Compound | ∆Cp (J/g × K) | Tg (°C) | Tcross (°C) | −∆H (J/g) |
|---|---|---|---|---|
| NR-bioZnO | 0.55 ± 0.1 | −63 ± 1 | 137–219 | 12.2 ± 2.4 |
| NR-ZnO | 0.59 ± 0.1 | −63 ± 1 | 146–210 | 8.9 ± 2.4 |
| NR Composite | Tg (°C) | tan δTg (−) | tan δ25°C (−) | tan δ60°C (−) |
|---|---|---|---|---|
| NR-bioZnO | −63 ± 1 | 2.5 ± 0.1 | 0.05 ± 0.02 | 0.06 ± 0.01 |
| NR-ZnO | −62 ± 1 | 2.4 ± 0.1 | 0.04 ± 0.02 | 0.03 ± 0.01 |
| NR Composite | SE100 (MPa) | SE300 (MPa) | TS (MPa) | EB (%) | Hardness (Shore A) |
|---|---|---|---|---|---|
| NR-bioZnO | 0.6 ± 0.1 | 0.9 ± 0.1 | 11.8 ± 0.1 | 641 ± 21 | 33 ± 1 |
| NR-ZnO | 0.7 ± 0.1 | 1.0 ± 0.1 | 9.8 ± 0.2 | 600 ± 20 | 34 ± 1 |
| NR Composite | Af (−) |
|---|---|
| NR-bioZnO | 1.0 ± 0.1 |
| NR-ZnO | 0.8 ± 0.1 |
| NR Composite | T5% (°C) | TDTG (°C) | ∆m25–900°C (%) | R900 (%) |
|---|---|---|---|---|
| NR-bioZnO | 295 | 394 | 95.7 | 4.3 |
| NR-ZnO | 310 | 396 | 96.4 | 3.6 |
| Compound | NR-ZnO | NR-bioZnO |
|---|---|---|
| Natural Rubber (NR) | 100 | 100 |
| Sulfur (S) | 2 | 2 |
| 2-Mercaptobenzothiazole (MBT) | 2 | 2 |
| Stearic acid | 1 | 1 |
| BioZnO | - | 5 |
| ZnO | 5 | - |
Disclaimer/Publisher’s Note: The statements, opinions and data contained in all publications are solely those of the individual author(s) and contributor(s) and not of MDPI and/or the editor(s). MDPI and/or the editor(s) disclaim responsibility for any injury to people or property resulting from any ideas, methods, instructions or products referred to in the content. |
© 2025 by the authors. Licensee MDPI, Basel, Switzerland. This article is an open access article distributed under the terms and conditions of the Creative Commons Attribution (CC BY) license (https://creativecommons.org/licenses/by/4.0/).
Share and Cite
Sowińska-Baranowska, A.; Maciejewska, M. Elastomeric Biocomposites of Natural Rubber Containing Biosynthesized Zinc Oxide. Int. J. Mol. Sci. 2025, 26, 1101. https://doi.org/10.3390/ijms26031101
Sowińska-Baranowska A, Maciejewska M. Elastomeric Biocomposites of Natural Rubber Containing Biosynthesized Zinc Oxide. International Journal of Molecular Sciences. 2025; 26(3):1101. https://doi.org/10.3390/ijms26031101
Chicago/Turabian StyleSowińska-Baranowska, Anna, and Magdalena Maciejewska. 2025. "Elastomeric Biocomposites of Natural Rubber Containing Biosynthesized Zinc Oxide" International Journal of Molecular Sciences 26, no. 3: 1101. https://doi.org/10.3390/ijms26031101
APA StyleSowińska-Baranowska, A., & Maciejewska, M. (2025). Elastomeric Biocomposites of Natural Rubber Containing Biosynthesized Zinc Oxide. International Journal of Molecular Sciences, 26(3), 1101. https://doi.org/10.3390/ijms26031101
