Effect of Temperature on Polyamine Oxidase Genes in Skeletonema dohrnii
Abstract
1. Introduction
2. Results
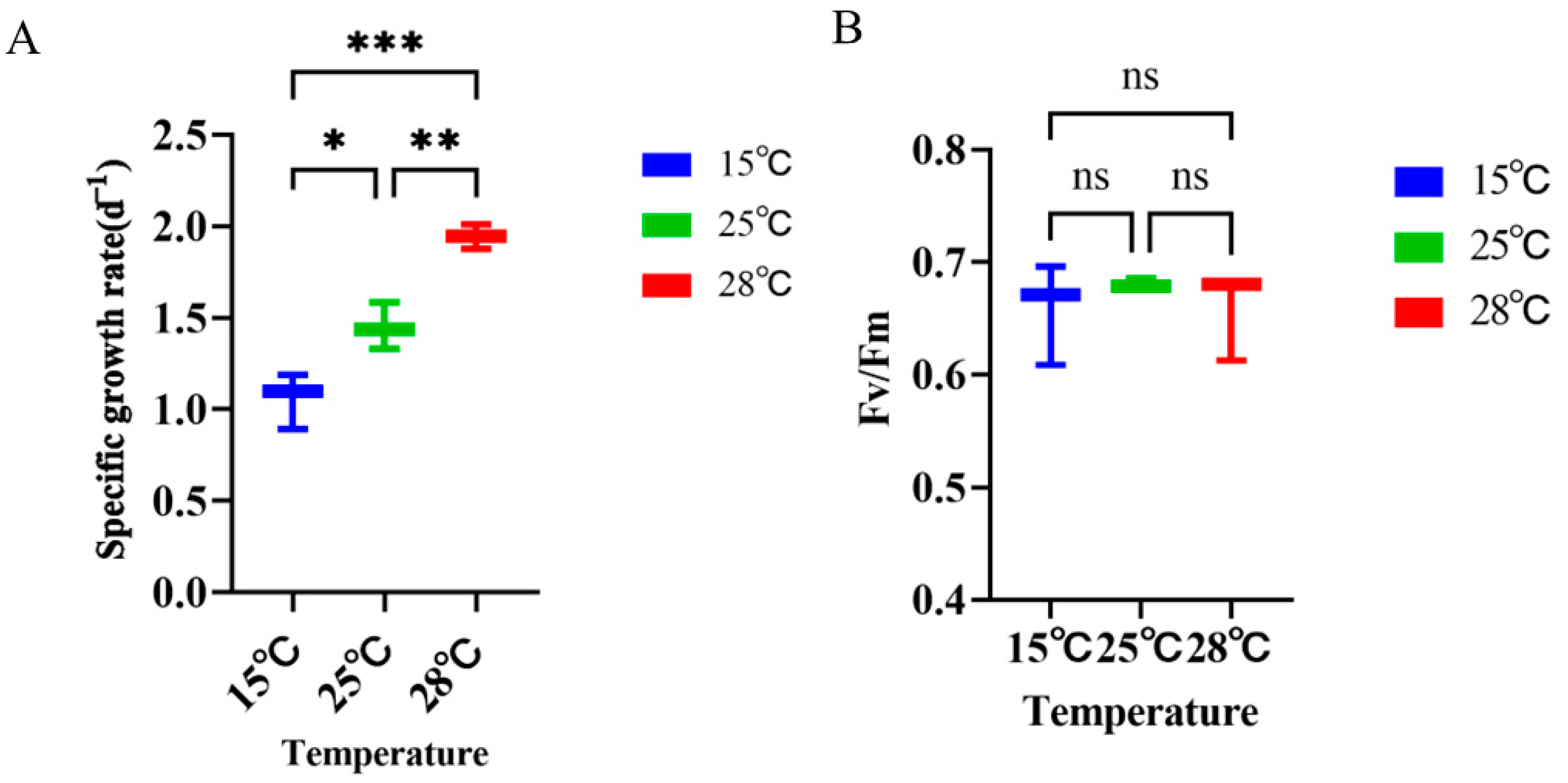
2.1. Physiological Property
2.2. Biosilicon Content
2.3. Polyamine Concentration
2.4. Polyamine Oxidase Gene Expression
3. Discussion
3.1. Response of Physiological Traits to Temperature in Skeletonema dohrnii
3.2. Response of Polyamine Content to Temperature
3.3. Response of Polyamine Oxidase Gene Expression to Temperature
4. Materials and Methods
4.1. Source and Cultivation of Algal Species
4.2. Experimental Training Conditions
4.3. Determination of Growth Rate
4.4. Determination of Fv/Fm
4.5. Determination of Chlorophyll Concentration
4.6. Determination of Biogenic Silicon Concentration
4.7. Determination of Polyamine Content
4.8. Design of Primer Sequences
4.9. Reverse Transcription
4.10. Real Time Fluorescence Quantitative PCR
4.11. Data Analysis
5. Conclusions
Author Contributions
Funding
Institutional Review Board Statement
Informed Consent Statement
Data Availability Statement
Conflicts of Interest
References
- Rogelj, J.; Meinshausen, M.; Knutti, R. Global warming under old and new scenarios using IPCC climate sensitivity range estimates. Nat. Clim. Change 2012, 2, 248–253. [Google Scholar] [CrossRef]
- Frey, S.D.; Lee, J.; Melillo, J.M.; Six, J. The temperature response of soil microbial efficiency and its feedback to climate. Nat. Clim. Change 2013, 3, 395–398. [Google Scholar] [CrossRef]
- Vezzulli, L.; Brettar, I.; Pezzati, E.; Reid, P.C.; Colwell, R.R.; HöFle, M.G.; Pruzzo, C. Long-term effects of ocean warming on the prokaryotic community: Evidence from the vibrios. ISME J. 2011, 6, 21–30. [Google Scholar] [CrossRef] [PubMed]
- Thomas, M.K.; Kremer, C.T.; Klausmeier, C.A.; Litchman, E. A Global Pattern of Thermal Adaptation in Marine Phytoplankton. Science 2012, 338, 1085. [Google Scholar] [CrossRef]
- Privalov, P.L. Stability of Proteins Small Globular Proteins. Adv. Protein Chem. 1979, 33, 167–241. [Google Scholar] [PubMed]
- Danson, M.J.; Hough, D.W.; Russell, R.J.M.; Taylor, G.L.; Laurence, P. Enzyme thermostability and thermoactivity. Protein Eng. Des. Sel. 1996, 9, 629–630. [Google Scholar] [CrossRef] [PubMed][Green Version]
- Kingsolver, J.G. The well-temperatured biologist. (American Society of Naturalists Presidential Address). Am. Nat. 2009, 174, 755–768. [Google Scholar] [CrossRef] [PubMed]
- Field, C.B.; Behrenfeld, M.J.; Randerson, J.T.; Falkowski, P. Primary production of the biosphere: Integrating terrestrial and oceanic components. Science 1998, 281, 237–240. [Google Scholar] [CrossRef]
- Fuhrman, J.A.; Cram, J.A.; Needham, D.M. Marine microbial community dynamics and their ecological interpretation. Nat. Rev. Microbiol. 2015, 13, 133–146. [Google Scholar] [CrossRef] [PubMed]
- Smetacek, V. Diatoms and the silicate factor. Nature 1998, 101, 38–39. [Google Scholar] [CrossRef]
- Falkowski, P.G. The ocean’s invisible forest. Sci Am. 2002, 287, 54–61. [Google Scholar] [CrossRef]
- Nelson, D.M.; Tréguer, P.; Brzezinski, M.A.; Leynaert, A.; Quéguiner, B. Production and dissolution of biogenic silica in the ocean: Revised global estimates, comparison with regional data and relationship to biogenic sedimentation. Glob. Biogeochem. Cycles 1995, 9, 359–372. [Google Scholar] [CrossRef]
- Kooistra, W.H.C.F.; Gersonde, R.; Medlin, L.K.; Mann, D.G. The Origin and Evolution of the Diatoms: Their Adaptation to a Planktonic Existence. In Evolution of Primary Producers in the Sea; Falkowski, P.G., Knoll, A.H., Eds.; Academic Press: Burlington, MA, USA, 2007; pp. 207–249. [Google Scholar]
- Armbrust, E.V. The life of diatoms in the world’s oceans. Nature 2009, 459, 185–192. [Google Scholar] [CrossRef] [PubMed]
- Bowler, C.; Vardi, A.; Allen, A.E. Oceanographic and Biogeochemical Insights from Diatom Genomes. Annu. Rev. Mar. Sci. 2010, 2, 333–365. [Google Scholar] [CrossRef] [PubMed]
- Smetacek, V. Making sense of ocean biota: How evolution and biodiversity of land organisms differ from that of the plankton. J. Biosci. 2012, 37, 589–607. [Google Scholar] [CrossRef]
- Zhou, M.J.; Yan, T.; Zhou, J. Preliminary analysis of the characteristics of red tide areas in Changjiang River estuary and its adjacent sea. Chin. J. Appl. Ecol. 2003, 14, 1031–1038. [Google Scholar]
- Zhou, M.; Zhu, M. Progress of the Project “Ecology and Oceanography of Harmful Algal Blooms in China”. Adv. Earth Sci. 2006, 21, 673–679. [Google Scholar]
- Nishibori, N.; Matuyama, Y.; Uchida, T.; Moriyama, T.; Hirota, H. Spatial and temporal variations in free polyamine distributions in Uranouchi Inlet, Japan. Mar. Chem. 2003, 82, 307–314. [Google Scholar] [CrossRef]
- Li, C.; Zhao, W.; Miao, H. Distributions of free 2-Phenylethylamine, Putrescine, Spermidine, and Spermine in the East China Sea in summer of 2010. Mar. Sci. 2012, 36, 68–74. [Google Scholar]
- Moschou, P.N.; Paschalidis, K.A.; Roubelakis-Angelakis, K.A. Plant polyamine catabolism: The state of the art. Plant Signal Behav 2008, 3, 1061–1066. [Google Scholar] [CrossRef] [PubMed]
- Sebela, M.; Frebort, I.; Galuszka, P.; Brauner, F.; Lamplot, Z.; Lemr, K.; Pec, P. A study on the reactions of plant copper amine oxidase with short-chain aliphatic diamines. Inflamm. Res. 2001, 50 (Suppl. 2), 138–139. [Google Scholar] [CrossRef] [PubMed]
- Gholami, M.; Fakhari, A.; Ghanati, F. Selective Regulation of Nicotine and Polyamines Biosynthesis in Tobacco Cells by Enantiomers of Ornithine. Chirality 2013, 25, 22–27. [Google Scholar] [CrossRef]
- Kotzabasis, K.; Fotinou, C.; Roubelakis-Angelakis, K.A.; Ghanotakis, D. Polyamines in the photosynthetic apparatus. Photosynth. Res. 1993, 38, 83–88. [Google Scholar] [CrossRef]
- Alcázar, R.; Cuevas, J.C.; Patron, M.; Altabella, T.; Tiburcio, A.F. Abscisic acid modulates polyamine metabolism under water stress in Arabidopsis thaliana. Physiol. Plant. 2006, 128, 448–455. [Google Scholar] [CrossRef]
- Handa, A.K.; Mattoo, A.K. Differential and functional interactions emphasize the multiple roles of polyamines in plants. Plant Physiol. Biochem. 2010, 48, 540–546. [Google Scholar] [CrossRef] [PubMed]
- Hamana, K.; Aizaki, T.; Arai, E.; Saito, A.; Uchikata, K.; Ohnishi, H. Distribution of norspermidine as a cellular polyamine within micro green algae including non-photosynthetic achlorophyllous Polytoma, Polytomella, Prototheca and Helicosporidium. J. Gen. Appl. Microbiol. 2004, 50, 289–295. [Google Scholar] [CrossRef] [PubMed]
- Nishibori, N.; Nishijima, T. Changes in polyamine levels during growth of a red-tide causing phytoplankton Chattonella antiqua (Raphidophyceae). Eur. J. Phycol. 2004, 39, 51–55. [Google Scholar] [CrossRef]
- Blazquez, M.A. Polyamines: Their Role in Plant Development and Stress. Annu. Rev. Plant Biol. 2024, 75, 95–117. [Google Scholar] [CrossRef] [PubMed]
- Wu, J.; Liu, W.; Jahan, M.S.; Shu, S.; Sun, J.; Guo, S. Characterization of polyamine oxidase genes in cucumber and roles of CsPAO3 in response to salt stress. Environ. Exp. Bot. 2022, 194, 104696. [Google Scholar] [CrossRef]
- Xi, Y.; Hu, W.J.; Zhou, Y.; Liu, X.; Qian, Y.X. Genome-Wide Identification and Functional Analysis of Polyamine Oxidase Genes in Maize Reveal Essential Roles in Abiotic Stress Tolerance. Front. Plant Sci. 2022, 13, 950064. [Google Scholar] [CrossRef] [PubMed]
- Samanta, I.; Roy, P.C.; Das, E.; Mishra, S.; Chowdhary, G. Plant Peroxisomal Polyamine Oxidase: A Ubiquitous Enzyme Involved in Abiotic Stress Tolerance. Plants 2023, 12, 652. [Google Scholar] [CrossRef] [PubMed]
- Teng, W.; Shang, X.; Sun, J. The effect of silicate on polyamine oxidase genes in Skeletonema dohrnii. Mar. Environ. Res. 2025, 204, 106860. [Google Scholar] [CrossRef] [PubMed]
- Cona, A.; Rea, G.; Angelini, R.; Federico, R.; Tavladoraki, P. Functions of amine oxidases in plant development and defence. Trends Plant Sci. 2006, 11, 80–88. [Google Scholar] [CrossRef]
- Wu, T.; Yankovskaya, V.; Mcintire, W.S. Cloning, Sequencing, and Heterologous Expression of the Murine Peroxisomal Flavoprotein, N1-Acetylated Polyamine Oxidase. J. Biol. Chem. 2003, 278, 20514–20525. [Google Scholar] [CrossRef]
- Wang, W.; Paschalidis, K.; Feng, J.C.; Song, J.; Liu, J.H. Polyamine Catabolism in Plants: A Universal Process With Diverse Functions. Front. Plant Sci. 2019, 10, 561. [Google Scholar] [CrossRef] [PubMed]
- Goldman, J.C. Temperature effects on steady-state growth, phosphorus uptake, and the chemical composition of a marine phytoplankter. Microb. Ecol. 1979, 5, 153–166. [Google Scholar] [CrossRef] [PubMed]
- Mesquita, M.A.-O.; Prestes, A.C.C.; Gomes, A.M.A.; Marinho, M.M. Direct Effects of Temperature on Growth of Different Tropical Phytoplankton Species. Microb. Ecol. 2019, 79, 1–11. [Google Scholar] [CrossRef] [PubMed]
- Padfield, D.; Yvon-Durocher, G.; Buckling, A.; Jennings, S.; Yvon-Durocher, G. Rapid evolution of metabolic traits explains thermal adaptation in phytoplankton. Ecol. Lett. 2015, 19, 133–142. [Google Scholar] [CrossRef]
- Anderson, S.A.-O.; Barton, A.D.; Clayton, S.; Dutkiewicz, S.A.-O.; Rynearson, T.A.-O. Marine phytoplankton functional types exhibit diverse responses to thermal change. Nat. Commun. 2021, 12, 6413. [Google Scholar] [CrossRef] [PubMed]
- Cheng, L.M.; Zhang, S.F.; Xie, Z.A.-O.X.; Li, D.X.; Lin, L.; Wang, M.A.-O.; Wang, D.A.-O. Metabolic Adaptation of a Globally Important Diatom following 700 Generations of Selection under a Warmer Temperature. Environ. Sci. Technol. 2022, 56, 5247–5255. [Google Scholar] [CrossRef]
- Carvalho, A.P.; Monteiro, C.M.; Malcata, F.X. Simultaneous effect of irradiance and temperature on biochemical composition of the microalga Pavlova lutheri. J. Appl. Phycol. 2009, 21, 543–552. [Google Scholar] [CrossRef]
- Montagnes, D.J.S.; Franklin, D.J. Effect of Temperature on Diatom Volume, Growth Rate, and Carbon and Nitrogen Content: Reconsidering Some Paradigms Author(s). Limnol. Ocean. 2001, 46, 2008–2018. [Google Scholar] [CrossRef]
- Sheehan, C.E.; Baker, K.G.; Nielsen, D.A.; Petrou, K. Temperatures above thermal optimum reduce cell growth and silica production while increasing cell volume and protein content in the diatom Thalassiosira pseudonana. Hydrobiologia 2020, 847, 4233–4248. [Google Scholar] [CrossRef]
- Savvides, A.; Ali, S.; Tester, M.; Fotopoulos, V. Chemical Priming of Plants Against Multiple Abiotic Stresses: Mission Possible? Trends Plant Sci. 2016, 21, 329–340. [Google Scholar] [CrossRef] [PubMed]
- Hussain, A.; Nazir, F.; Fariduddin, Q. Polyamines (spermidine and putrescine) mitigate the adverse effects of manganese induced toxicity through improved antioxidant system and photosynthetic attributes in Brassica juncea. Chemosphere 2019, 236, 124830. [Google Scholar] [CrossRef]
- Zhu, X.-W.; Zhao, W.-H.; Miao, H. Relationship between growth and variation of endogenous polymine content under salinity stress in skeletonema costatum s. L. And prorocentrum donghaiense. Oceanol. Limnol. Sin. 2015, 46, 50–57. [Google Scholar]
- Szalai, G.; Janda, T.; Bartók, T.; Páldi, E. Role of light in changes in free amino acid and polyamine contents at chilling temperature in maize (Zea mays). Physiol. Plant. 2010, 101, 434–438. [Google Scholar] [CrossRef]
- Kumar, R.R.; Singh, G.P.; Sharma, S.K.; Singh, K.; Goswami, S.; Rai, R.D. Molecular cloning of HSP17 gene (sHSP) and their differential expression under exogenous putrescine and heat shock in wheat (Triticum aestivum). Acad. J. 2012, 11, 16800–16808. [Google Scholar]
- Fu, X.Z.; Xing, F.; Wang, N.Q.; Peng, L.Z.; Chun, C.P.; Cao, L.; Ling, L.L.; Jiang, C.L. Exogenous spermine pretreatment confers tolerance to combined high-temperature and drought stress in vitro in trifoliate orange seedlings via modulation of antioxidative capacity and expression of stress-related genes. Biotechnol. Biotechnol. Equip. 2014, 28, 192–198. [Google Scholar] [CrossRef] [PubMed]
- Gupta, B.; Gupta, K.; Sengupta, D.N. Spermidine-mediated in vitro phosphorylation of transcriptional regulator OSBZ8 by SNF1-type serine/threonine protein kinase SAPK4 homolog in indica rice. Acta Physiol. Plant. 2012, 34, 1321–1336. [Google Scholar] [CrossRef]
- Park, M.H.; Nishimura, K.; Zanelli, C.F.; Valentini, S.R. Functional significance of eIF5A and its hypusine modification in eukaryotes. Amino Acids 2010, 38, 491–500. [Google Scholar] [CrossRef]
- Liu, J.-H.; Wang, W.; Wu, H.; Gong, X.; Moriguchi, T. Polyamines function in stress tolerance: From synthesis to regulation. Front. Plant Sci. 2015, 6, 827. [Google Scholar] [CrossRef] [PubMed]
- Zarza, X.; Atanasov, K.E.; Marco, F.; Arbona, V.; Alcazar, R. Polyamine Oxidase 5 loss-of-function mutations in Arabidopsis thaliana trigger metabolic and transcriptional reprogramming and promote salt stress tolerance. Plant Cell Environ. 2016, 40, 1703–1713. [Google Scholar] [CrossRef] [PubMed]
- Sagor, G.H.M.; Siyuan, Z.; Seiji, K.; Stefan, S.; Thomas, B.; Tomonobu, K. Reducing Cytoplasmic Polyamine Oxidase Activity in Arabidopsis Increases Salt and Drought Tolerance by Reducing Reactive Oxygen Species Production and Increasing Defense Gene Expression. Front. Plant Sci. 2016, 7, 214. [Google Scholar] [CrossRef]
- Dao, L.H.T.; Beardall, J. Effects of lead on two green microalgae Chlorella and Scenedesmus: Photosystem II activity and heterogeneity. Algal Res. 2016, 16, 150–159. [Google Scholar] [CrossRef]
- Strickland, J.D.H.; Parsons, T.R. A Practical Handbook of Seawater Analysis. Fish. Res. Bd. Canada Bull. 1968, 167, 185–194. [Google Scholar]
- Aziz, A.; Larher, F. Changes in polyamine titers associated with the proline response and osmotic adjustment of rape leaf discs submitted to osmotic stresses—ScienceDirect. Plant Sci. 1995, 112, 175–186. [Google Scholar] [CrossRef]






| Composition | Final Concentration |
|---|---|
| NaCl | 4.20 × 10−1 M |
| Na2SO4 | 2.88 × 10−2 M |
| KCl | 9.39 × 10−3 M |
| NaHCO3 | 2.38 × 10−3 M |
| KBr | 8.40 × 10−4 M |
| H3BO3 | 4.85 × 10−5 M |
| NaF | 7.15 × 10−5 M |
| MgCl2·6H2O | 5.46 × 10−2 M |
| CaCl2·2H2O | 1.05 × 10−2 M |
| SrCl2·6H2O | 6.38 × 10−5 M |
| Primer Name | Sequence |
|---|---|
| PAO-U | GCGGCTGAGAGAGCAGCAAACTCCC |
| PAO-D | CAATAACACGTGGAGGACGTCG |
| CaM-U | TCGATGTTGATGGTGGTGGAA |
| CaM-D | TCGGGGTCGTCTTTGCTGTT |
Disclaimer/Publisher’s Note: The statements, opinions and data contained in all publications are solely those of the individual author(s) and contributor(s) and not of MDPI and/or the editor(s). MDPI and/or the editor(s) disclaim responsibility for any injury to people or property resulting from any ideas, methods, instructions or products referred to in the content. |
© 2025 by the authors. Licensee MDPI, Basel, Switzerland. This article is an open access article distributed under the terms and conditions of the Creative Commons Attribution (CC BY) license (https://creativecommons.org/licenses/by/4.0/).
Share and Cite
Teng, W.; Sun, J. Effect of Temperature on Polyamine Oxidase Genes in Skeletonema dohrnii. Int. J. Mol. Sci. 2025, 26, 1048. https://doi.org/10.3390/ijms26031048
Teng W, Sun J. Effect of Temperature on Polyamine Oxidase Genes in Skeletonema dohrnii. International Journal of Molecular Sciences. 2025; 26(3):1048. https://doi.org/10.3390/ijms26031048
Chicago/Turabian StyleTeng, Wei, and Jun Sun. 2025. "Effect of Temperature on Polyamine Oxidase Genes in Skeletonema dohrnii" International Journal of Molecular Sciences 26, no. 3: 1048. https://doi.org/10.3390/ijms26031048
APA StyleTeng, W., & Sun, J. (2025). Effect of Temperature on Polyamine Oxidase Genes in Skeletonema dohrnii. International Journal of Molecular Sciences, 26(3), 1048. https://doi.org/10.3390/ijms26031048

