Kynurenic Acid Analog Attenuates the Production of Tumor Necrosis Factor-α, Calgranulins (S100A 8/9 and S100A 12), and the Secretion of HNP1–3, and Stimulates the Production of Tumor Necrosis Factor-Stimulated Gene-6 (TSG-6) but Does Not Alter IL-17 Levels in Whole-Blood Cultures of Patients with Spondyloarthritis
Abstract
1. Introduction
2. Results
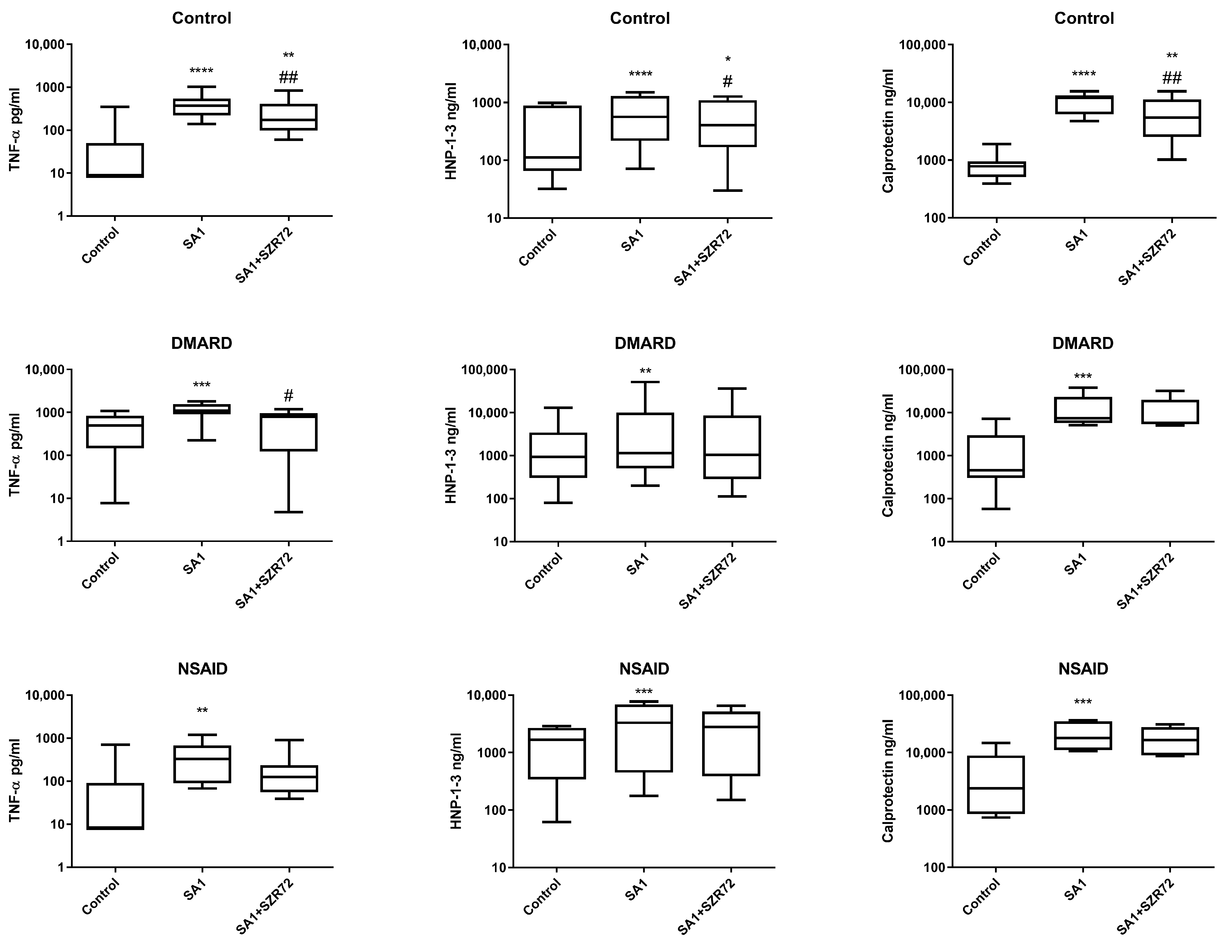
2.1. KYNA Analog SZR72 Attenuates TNF-α Production in the Human Whole-Blood Cells of Healthy Controls and of Patients with SpA Stimulated by Heat-Inactivated Staphylococcus aureus
2.2. The Effect of KYNA Analog SZR72 on TSG-6 Production in Human Whole-Blood Cells of Healthy Controls and of Patients with SpA Stimulated by Heat-Inactivated Staphylococcus aureus
2.3. The Effect of KYNA Analog SZR72 on Calprotectin Production in the Human Whole-Blood Cells of Healthy Controls and of Patients with SpA Stimulated by Heat-Inactivated Staphylococcus aureus
2.4. The Effect of the KYNA Analog SZR72 on S100A12 (EN-RAGE) Production in the Human Whole-Blood Cells of Normal Controls and of Patients with SpA Stimulated by Heat-Inactivated Staphylococcus aureus
2.5. The Effect of the KYNA Analog SZR72 on HNP1–3 Production in the Human Whole-Blood Cells of Normal Controls and of Patients with SpA Stimulated by Heat-Inactivated Staphylococcus aureus
2.6. The Effect of the KYNA Analog SZR72 on IL-17 Production in the Human Whole-Blood Cells of Normal Controls and of Patients with SpA Stimulated by Heat-Inactivated Staphylococcus aureus
3. Discussion
4. Materials and Methods
4.1. Patients
4.2. KYNA Analog SZR 72
4.3. Human Blood Incubation Method
4.4. Statistics
Author Contributions
Funding
Institutional Review Board Statement
Informed Consent Statement
Data Availability Statement
Acknowledgments
Conflicts of Interest
References
- Rudwaleit, M.; Van Der Heijde, D.; Landewé, R.; Akkoc, N.; Brandt, J.; Chou, C.T.; Dougados, M.; Huang, F.; Gu, J.; Kirazli, Y.; et al. The Assessment of SpondyloArthritis International Society Classification Criteria for Peripheral Spondyloarthritis and for Spondyloarthritis in General. Ann. Rheum. Dis. 2011, 70, 25–31. [Google Scholar] [CrossRef]
- Kim, S.H.; Lee, S.H. Updates on Ankylosing Spondylitis: Pathogenesis and Therapeutic Agents. J. Rheum. Dis. 2023, 30, 220–233. [Google Scholar] [CrossRef]
- Mandour, M.; Chen, S.; van de Sande, M.G.H. The Role of the IL-23/IL-17 Axis in Disease Initiation in Spondyloarthritis: Lessons Learned from Animal Models. Front. Immunol. 2021, 12, 618581. [Google Scholar] [CrossRef]
- Eryavuz Onmaz, D.; Sivrikaya, A.; Isik, K.; Abusoglu, S.; Albayrak Gezer, I.; Humeyra Yerlikaya, F.; Abusoglu, G.; Unlu, A.; Tezcan, D. Altered Kynurenine Pathway Metabolism in Patients with Ankylosing Spondylitis. Int. Immunopharmacol. 2021, 99, 108018. [Google Scholar] [CrossRef]
- Mándi, Y.; Vécsei, L. The Kynurenine System and Immunoregulation. J. Neural Transm. 2012, 119, 197–209. [Google Scholar] [CrossRef] [PubMed]
- Wang, J.; Simonavicius, N.; Wu, X.; Swaminath, G.; Reagan, J.; Tian, H.; Ling, L. Kynurenic Acid as a Ligand for Orphan G Protein-Coupled Receptor GPR35. J. Biol. Chem. 2006, 281, 22021–22028. [Google Scholar] [CrossRef] [PubMed]
- Julliard, W.; Fechner, J.H.; Mezrich, J.D. The Aryl Hydrocarbon Receptor Meets Immunology: Friend or Foe? A Little of Both. Front. Immunol. 2014, 5, 458. [Google Scholar] [CrossRef] [PubMed]
- Mándi, Y.; Endrész, V.; Mosolygó, T.; Burián, K.; Lantos, I.; Fülöp, F.; Szatmári, I.; Lorinczi, B.; Balog, A.; Vécsei, L. The Opposite Effects of Kynurenic Acid and Different Kynurenic Acid Analogs on Tumor Necrosis Factor-α (TNF-α) Production and Tumor Necrosis Factor-Stimulated Gene-6 (TSG-6) Expression. Front. Immunol. 2019, 10, 1406. [Google Scholar] [CrossRef]
- Balog, A.; Varga, B.; Fülöp, F.; Lantos, I.; Toldi, G.; Vécsei, L.; Mándi, Y. Kynurenic Acid Analog Attenuates the Production of Tumor Necrosis Factor-α, Calgranulins (S100A 8/9 and S100A 12), and the Secretion of HNP1–3 and Stimulates the Production of Tumor Necrosis Factor-Stimulated Gene-6 in Whole Blood Cultures of Patients With rheumatoid arthritis. Front. Immunol. 2021, 12, 632513. [Google Scholar] [CrossRef]
- Day, A.J.; Milner, C.M. TSG-6: A Multifunctional Protein with Anti-Inflammatory and Tissue-Protective Properties. Matrix Biol. 2019, 78–79, 60–83. [Google Scholar] [CrossRef]
- Marosi, M.; Nagy, D.; Farkas, T.; Kis, Z.; Rózsa, É.; Robotka, H.; Fülöp, F.; Vécsei, L.; Toldi, J. A Novel Kynurenic Acid Analogue: A Comparison with Kynurenic Acid. An In Vitro Electrophysiological Study. J. Neural Transm. 2010, 117, 183–188. [Google Scholar] [CrossRef] [PubMed]
- Tiszlavicz, Z.; Németh, B.; Fülöp, F.; Vécsei, L.; Tápai, K.; Ocsovszky, I.; Mándi, Y. Different inhibitory effects of kynurenic acid and a novel kynurenic acid analogue on tumour necrosis factor-α (TNF-α) production by mononuclear cells, HMGB1 production by monocytes and HNP1-3 secretion by neutrophils. Naunyn-Schmiedeberg’s Arch. Pharmacol. 2011, 383, 447–455. [Google Scholar] [CrossRef]
- Wang, S.; Song, R.; Wang, Z.; Jing, Z.; Wang, S.; Ma, J. S100A8/A9 in Inflammation. Front. Immunol. 2018, 9, 1298. [Google Scholar] [CrossRef] [PubMed]
- Foell, D.; Kane, D.; Bresnihan, B.; Vogl, T.; Nacken, W.; Sorg, C.; FitzGerald, O.; Roth, J. Expression of the Pro-Inflammatory Protein S100A12 (EN-RAGE) in Rheumatoid and Psoriatic Arthritis. Rheumatology 2003, 42, 1383–1389. [Google Scholar] [CrossRef]
- Pietzsch, J.; Hoppmann, S. Human S100A12: A Novel Key Player in Inflammation? Amino Acids 2009, 36, 381–389. [Google Scholar] [CrossRef]
- Ometto, F.; Friso, L.; Astorri, D.; Botsios, C.; Raffeiner, B.; Punzi, L.; Doria, A. Calprotectin in Rheumatic Diseases. Exp. Biol. Med. 2017, 242, 859–873. [Google Scholar] [CrossRef]
- Meijer, B.; Gearry, R.B.; Day, A.S. The Role of S100A12 as a Systemic Marker of Inflammation. Int. J. Inflam. 2012, 2012, 907078. [Google Scholar] [CrossRef]
- Vordenbäumen, S.; Schneider, M. Defensins: Potential Effectors in Autoimmune Rheumatic Disorders. Polymers 2011, 3, 1268–1281. [Google Scholar] [CrossRef]
- Bierkarre, H.; Harder, J.; Cuthbert, R.; Emery, P.; Leuschner, I.; Mrowietz, U.; Hedderich, J.; McGonagle, D.; Gläser, R. Differential Expression of Antimicrobial Peptides in Psoriasis and Psoriatic Arthritis as a Novel Contributory Mechanism for Skin and Joint Disease Heterogeneity. Scand. J. Rheumatol. 2016, 45, 188–196. [Google Scholar] [CrossRef]
- Sokolova, M.V.; Simon, D.; Nas, K.; Zaiss, M.M.; Luo, Y.; Zhao, Y.; Rech, J.; Schett, G. A Set of Serum Markers Detecting Systemic Inflammation in Psoriatic Skin, Entheseal, and Joint Disease in the Absence of C-Reactive Protein and Its Link to Clinical Disease Manifestations. Arthritis Res. Ther. 2020, 22, 26. [Google Scholar] [CrossRef] [PubMed]
- Diaconu, A.D.; Ceasovschih, A.; Șorodoc, V.; Pomîrleanu, C.; Lionte, C.; Șorodoc, L.; Ancuța, C. Practical Significance of Biomarkers in Axial Spondyloarthritis: Updates on Diagnosis, Disease Activity, and Prognosis. Int. J. Mol. Sci. 2022, 23, 11561. [Google Scholar] [CrossRef]
- Stone, T.W.; Williams, R.O. Modulation of T cells by tryptophan metabolites in the kynurenine pathway. Trends Pharmacol. Sci. 2023, 44, 442–456. [Google Scholar] [CrossRef] [PubMed]
- Tsuji, A.; Ikeda, Y.; Yoshikawa, S.; Taniguchi, K.; Sawamura, H.; Morikawa, S.; Nakashima, M.; Asai, T.; Matsuda, S. The tryptophan and kynurenine pathway involved in the development of immune-related diseases. Int. J. Mol. Sci. 2023, 24, 5742. [Google Scholar] [CrossRef]
- Stone, T.W.; Clanchy, F.I.L.; Huang, Y.-S.; Chiang, N.-Y.; Darlington, L.G.; Williams, R.O. An integrated cytokine and kynurenine network as the basis of neuroimmune communication. Front. Neurosci. 2022, 24, 1002004. [Google Scholar] [CrossRef]
- Megyeri, K.; Mándi, Y.; Degré, M.; Rosztóczy, I. Induction of cytokine production by different Staphylococcal strains. Cytokine 2002, 19, 206–212. [Google Scholar] [CrossRef]
- Bárdos, T.; Kamath, R.V.; Mikecz, K.; Glant, T.T. Anti-Inflammatory and Chondroprotective Effect of TSG-6 (Tumor Necrosis Factor-Alpha-Stimulated Gene-6) in Murine Models of Experimental Arthritis. Am. J. Pathol. 2001, 159, 1711–1721. [Google Scholar] [CrossRef]
- Hu, T.; Liu, Y.; Li, X.; Li, X.; Liu, Y.; Wang, Q.; Huang, J.; Yu, J.; Wu, Y.; Chen, S.; et al. Tumor Necrosis Factor-Alpha Stimulated Gene-6: A Biomarker Reflecting Disease Activity in Rheumatoid Arthritis. J. Clin. Lab. Anal. 2022, 36, e24395. [Google Scholar] [CrossRef] [PubMed]
- Nagyeri, G.; Radacs, M.; Ghassemi-Nejad, S.; Tryniszewska, B.; Olasz, K.; Hutas, G.; Gyorfy, Z.; Hascall, V.C.; Glant, T.T.; Mikecz, K. TSG-6 Protein, a Negative Regulator of Inflammatory Arthritis, Forms a Ternary Complex with Murine Mast Cell Tryptases and Heparin. J. Biol. Chem. 2011, 286, 23559–23569. [Google Scholar] [CrossRef] [PubMed]
- Turina, M.C.; Yeremenko, N.; Paramarta, J.E.; De Rycke, L.; Baeten, D. Calprotectin (S100A8/9) as Serum Biomarker for Clinical Response in Proof-of-Concept Trials in Axial and Peripheral Spondyloarthritis. Arthritis Res. Ther. 2014, 16, 413. [Google Scholar] [CrossRef]
- Melis, L.; Vandooren, B.; Kruithof, E.; Jacques, P.; De Vos, M.; Mielants, H.; Verbruggen, G.; De Keyser, F.; Elewaut, D. Systemic Levels of IL-23 Are Strongly Associated with Disease Activity in Rheumatoid Arthritis but Not Spondyloarthritis. Ann. Rheum. Dis. 2010, 69, 618–623. [Google Scholar] [CrossRef]
- Taylan, A.; Sari, I.; Kozaci, D.L.; Yuksel, A.; Bilge, S.; Yildiz, Y.; Sop, G.; Coker, I.; Gunay, N.; Akkoc, N. Evaluation of the T Helper 17 Axis in Ankylosing Spondylitis. Rheumatol. Int. 2012, 32, 2511–2515. [Google Scholar] [CrossRef] [PubMed]
- Sveaas, S.H.; Berg, I.J.; Provan, S.A.; Semb, A.G.; Olsen, I.C.; Ueland, T.; Aukrust, P.; Vollestad, N.; Hagen, K.B.; Kvien, T.K.; et al. Circulating Levels of Inflammatory Cytokines and Cytokine Receptors in Patients with Ankylosing Spondylitis: A Cross-Sectional Comparative Study. Scand. J. Rheumatol. 2015, 44, 118–124. [Google Scholar] [CrossRef] [PubMed]
- Deveci, H.; Turk, A.C.; Ozmen, Z.C.; Demir, A.K.; Coskun, S.U.S. Biological and Genetic Evaluation of IL-23/IL-17 Pathway in Ankylosing Spondylitis Patients. Cent. J. Immunol. 2020, 44, 433. [Google Scholar] [CrossRef] [PubMed]
- Rudwaleit, M.; Landewé, R.; Van Der Heijde, D.; Listing, J.; Brandt, J.; Braun, J.; Burgos-Vargas, R.; Collantes-Estevez, E.; Davis, J.; Dijkmans, B.; et al. The Development of Assessment of SpondyloArthritis International Society Classification Criteria for Axial Spondyloarthritis (Part I): Classification of Paper Patients by Expert Opinion Including Uncertainty Appraisal. Ann. Rheum. Dis. 2009, 68, 770–776. [Google Scholar] [CrossRef]
- Taylor, W.; Gladman, D.; Helliwell, P.; Marchesoni, A.; Mease, P.; Mielants, H. Classification Criteria for Psoriatic Arthritis: Development of New Criteria from a Large International Study. Arthritis Rheum. 2006, 54, 2665–2673. [Google Scholar] [CrossRef]
- Georgiadis, S.; Midtbøll Ørnbjerg, L.; Michelsen, B.; Kvien, T.K.; Horskjær Rasmussen, S.; Pavelka, K.; Zavada, J.; Glintborg, B.; Loft, A.G.; Rodrigues, A.M.; et al. POS0398 Defining Overall and Sex-Specific Basdai Cut-Offs for Disease Activity States in Axial Spondylarthritis—Results from The Eurospa Collaboration. Ann. Rheum. Dis. 2024, 83, 481–482. [Google Scholar] [CrossRef]
- Fulop, F.; Szatmari, I.; Vamos, E.; Zadori, D.; Toldi, J.; Vecsei, L. Syntheses, Transformations and Pharmaceutical Applications of Kynurenic Acid Derivatives. Curr. Med. Chem. 2009, 16, 4828–4842. [Google Scholar] [CrossRef]
- Fülöp, F.; Szatmári, I.; Toldi, J.; Vécsei, L. Modifications on the Carboxylic Function of Kynurenic Acid. J. Neural Transm. 2012, 119, 109–114. [Google Scholar] [CrossRef]
- Wang, J.E.; JØrgensen, P.F.; Almlöf, M.; Thiemermann, C.; Foster, S.J.; Aasen, A.O.; Solberg, R. Peptidoglycan and Lipoteichoic Acid from Staphylococcus Aureus Induce Tumor Necrosis Factor Alpha, Interleukin 6 (IL-6), and IL-10 Production in Both T Cells and Monocytes in a Human Whole Blood Model. Infect. Immun. 2000, 68, 3965–3970. [Google Scholar] [CrossRef] [PubMed]



| Controls n = 11 | SpA Remission/Mild n = 65 | SpA Moderate n = 20 | SpA Severe n = 12 | |
|---|---|---|---|---|
| TNF-α pg/L | 8.9 [BLD-350] | 73 [BLD-1122] | 79 [BLD-900] | 43 [BLD-1479] |
| TNF-α pg/mL + SA1 | 444 [140–1030] **** | 280 [BLD-1800] **** | 333 [60–1800] **** | 339 [68–1945] **** |
| TNF-α pg/mL + SA1 + SZR72 | 280 [60–838] ** ## | 131 [BLD-1180] #### | 145 [BLD-1200] * ## | 199 [39–1643] # |
| TNF-α + SA1 fold change | 19.2 [10–48.7] **** | 2.4 [1.4–6.5] **** | 3.6 [2.6–10.7] **** | 8.7 [2.1–17.1] **** |
| TNF-α + SA1 + SZR72 fold change | 8.3 [4.3–26.0] ** ## | 1.2 [1.0–3.0] #### | 2.0 [1.3–6.0] * ## | 5.2 [1.1–17.3] # |
| TSG-6 ng/ml | 4.99 [0.1–20.12] | 2.46 [0.05–18] | 3.76 [0.08–25.23] | 0.8 [0.001–4.25] |
| TSG-6 ng/mL + SA1 | 9.22 [2–24] ** | 4.81 [0.51–30] **** | 6.2 [0.31–28.3] ** | 4.25 [0.09–20.58] * |
| TSG-6 ng/mL + SA1 + SZR72 | 13.6 [6.7–44] **** ## | 8.34 [2.3–37.5] **** #### | 9.78 [2.31–35.6] **** ## | 6.94 [0.25–26.29] **** |
| calprotectin ng/ml | 824 [390–1902] | 849 [55–2500] | 865.88 [442–2618] | 3733 [590–14,770] |
| calprotectin ng/mL + SA1 | 12,350 [4726–15,500] **** | 8582 [2808–18,800] **** | 9313 [5110–21,280] **** | 25,950 [5685–41,203] **** |
| calprotectin ng/mL + SA1 + SZR72 | 5892 [1020–15,490] ** ## | 5806 [75–15,567] **** #### | 7010 [4000–19,500] ** # | 22,250 [384–36,211] # |
| calprotectin + SA1 fold change | 13.9 [8.0–15.0] **** | 9.6 [7.9–14.0] **** | 9.8 [7.5–12.7] **** | 6.6 [5.1–8.0] **** |
| calprotectin + SA1 + SZR72 fold change | 7.7 [4.0–10.5] ** ## | 7.2 [5.3–11.0] **** #### | 7.5 [5.7–11.2] ** # | 4.9 [3.5–6.6] # |
| EN-RAGE ng/mL | 8306 [1150–12,000] | 11,864 [1066–24,738] | 12,500 [7114–52,766] | 19,288 [1560–93,742] |
| EN-RAGE ng/mL + SA1 | 13,098 [10,074–16,955] **** | 13,659 [2655–88,000] **** | 14,416 [4588–53,967] ** | 19,678 [9536–133,215] |
| EN-RAGE ng/mL + SA1 + SZR72 | 12,932 [9744–14,129] ** | 12,440 [2357–24,503] **** | 13,136 [6433–48,536] | 21,391 [10,100–109,101] |
| HNP1–3 ng/ml | 121 [32–986] | 98 [16–1622] | 119 [30–3000] | 1828 [62–12,950] |
| HNP1–3 ng/mL + SA1 | 540 [71–1500] **** | 520 [32–13,000] **** | 535 [200–3025] **** | 6345 [176–51,300] **** |
| HNP1–3 ng/mL + SA1 + SZR72 | 387 [30–1270] * # | 280 [17–11,000] **** #### | 272 [110–2800] ## | 4850 [150–36,000] |
| IL-17 pg/ml | 184 (BLD-4000) | BLD (BLD-4000) | 88.9 (BLD-4000) | 79.9 (BLD-4000) |
| IL-17 pg/mL +SA1 | 189.5 (BLD-3773) | BLD (BLD-4000) | 326.9 (BLD-4000) | 216.3 (BLD-4000) |
| IL-17 pg/mL +SA1 + SZR72 | BLD (BLD-1736.5) | BLD (BLD-4000) | 301.69 (BLD-4000) | 132.95 (BLD-4000) |
| Characteristics | Healthy Controls n = 11 | SpA Remission/Mild n = 65 | SpA Moderate n = 20 | SpA Severe n = 12 |
|---|---|---|---|---|
| Age (years) | 46 (25–52) | 49 (24–81) | 46 (18–75) | 54 (34–72) |
| Gender (male/female) | 4/7 | 33/27 | 12/8 | 7/5 |
| Duration of disease (years) | - | 15 (1–49) | 9 (0–29) | 8 (0–19) |
| HLA-B27 (positive/negative/no data) | - | 35/15/15 | 7/8/5 | 6/2/4 |
| CRP (mg/L) | - | 4.55 (0.4–20) | 18 (1–38) | 36 (10–116) |
| ESR (mm/h) | - | 9 (1–65) | 32 (1–99) | 49 (13–120) |
Disclaimer/Publisher’s Note: The statements, opinions and data contained in all publications are solely those of the individual author(s) and contributor(s) and not of MDPI and/or the editor(s). MDPI and/or the editor(s) disclaim responsibility for any injury to people or property resulting from any ideas, methods, instructions or products referred to in the content. |
© 2025 by the authors. Licensee MDPI, Basel, Switzerland. This article is an open access article distributed under the terms and conditions of the Creative Commons Attribution (CC BY) license (https://creativecommons.org/licenses/by/4.0/).
Share and Cite
Varga, B.; Toldi, G.; Vécsei, L.; Mándi, Y.; Balog, A. Kynurenic Acid Analog Attenuates the Production of Tumor Necrosis Factor-α, Calgranulins (S100A 8/9 and S100A 12), and the Secretion of HNP1–3, and Stimulates the Production of Tumor Necrosis Factor-Stimulated Gene-6 (TSG-6) but Does Not Alter IL-17 Levels in Whole-Blood Cultures of Patients with Spondyloarthritis. Int. J. Mol. Sci. 2025, 26, 11801. https://doi.org/10.3390/ijms262411801
Varga B, Toldi G, Vécsei L, Mándi Y, Balog A. Kynurenic Acid Analog Attenuates the Production of Tumor Necrosis Factor-α, Calgranulins (S100A 8/9 and S100A 12), and the Secretion of HNP1–3, and Stimulates the Production of Tumor Necrosis Factor-Stimulated Gene-6 (TSG-6) but Does Not Alter IL-17 Levels in Whole-Blood Cultures of Patients with Spondyloarthritis. International Journal of Molecular Sciences. 2025; 26(24):11801. https://doi.org/10.3390/ijms262411801
Chicago/Turabian StyleVarga, Borisz, Gergely Toldi, László Vécsei, Yvette Mándi, and Attila Balog. 2025. "Kynurenic Acid Analog Attenuates the Production of Tumor Necrosis Factor-α, Calgranulins (S100A 8/9 and S100A 12), and the Secretion of HNP1–3, and Stimulates the Production of Tumor Necrosis Factor-Stimulated Gene-6 (TSG-6) but Does Not Alter IL-17 Levels in Whole-Blood Cultures of Patients with Spondyloarthritis" International Journal of Molecular Sciences 26, no. 24: 11801. https://doi.org/10.3390/ijms262411801
APA StyleVarga, B., Toldi, G., Vécsei, L., Mándi, Y., & Balog, A. (2025). Kynurenic Acid Analog Attenuates the Production of Tumor Necrosis Factor-α, Calgranulins (S100A 8/9 and S100A 12), and the Secretion of HNP1–3, and Stimulates the Production of Tumor Necrosis Factor-Stimulated Gene-6 (TSG-6) but Does Not Alter IL-17 Levels in Whole-Blood Cultures of Patients with Spondyloarthritis. International Journal of Molecular Sciences, 26(24), 11801. https://doi.org/10.3390/ijms262411801

