Molecular and System-Level Characterization of MMP12 Suppression in Lung Cancer: A Combined Bioinformatics and Molecular Approach
Abstract
1. Introduction
2. Results
2.1. Systems Biology Analysis
2.1.1. System Biology Informatics Workflow
2.1.2. Mining MMP12 Interactions
2.1.3. Identification of Cancer-Associated and MMP12 Overlapping Genes
2.1.4. Prioritization of MMP12-Responsive Genes for Experimental Validation
2.1.5. Pathway Enrichment of the Prioritized Genes
2.2. Experimental Biological Validation
2.2.1. Effect of MMP12 Inhibitors on Enzyme Activity
2.2.2. Effect of MMP12 Inhibitors on the Viability of Lung Cancer Cells
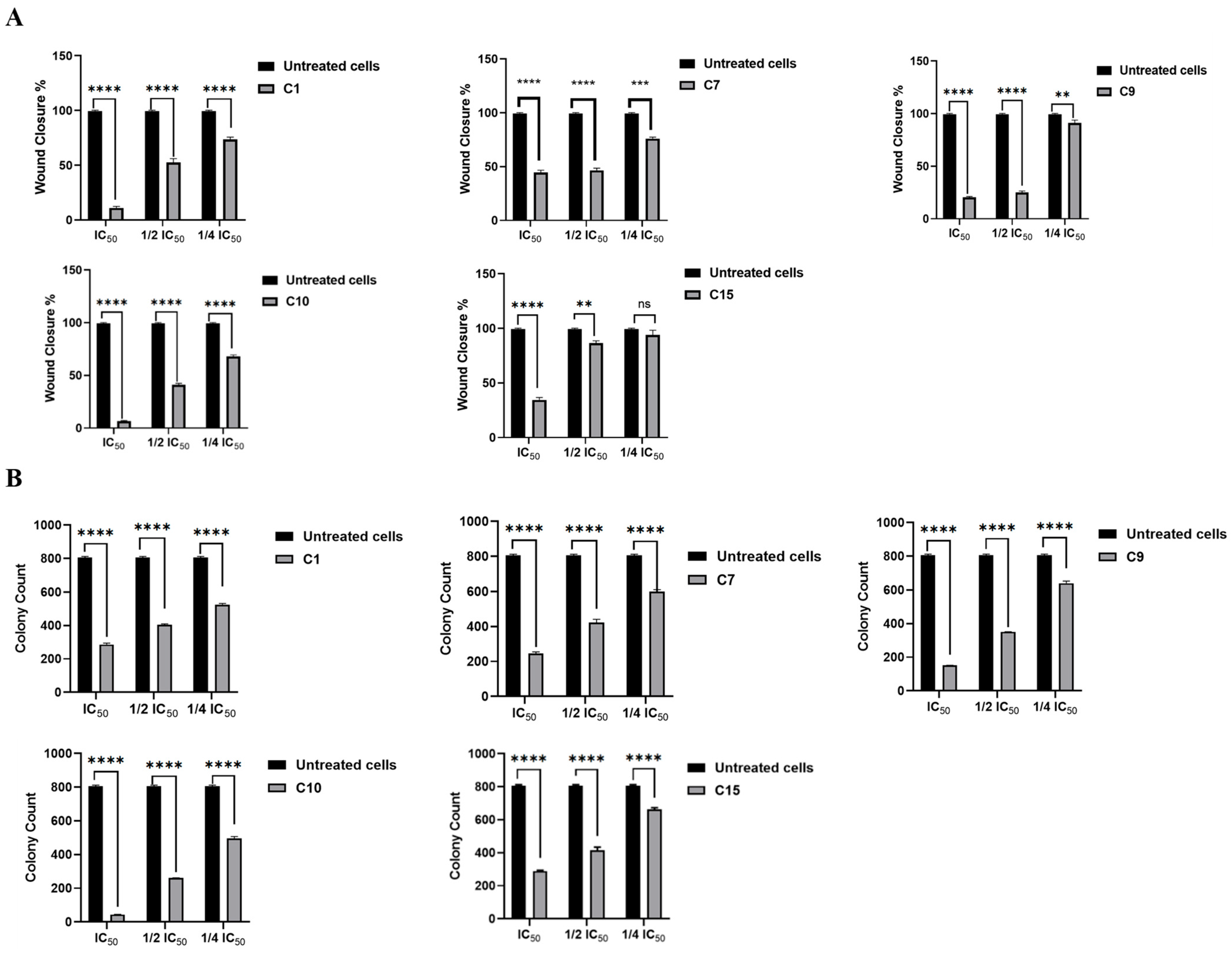
2.2.3. Effect of MMP12 Inhibitors on H1299 Lung Cancer Cells Migration
2.2.4. Effect of MMP12 Inhibitors on Anchorage-Independent Growth of H1299
2.2.5. Effect of MMP12 Inhibitors on Gene Expression of H1299 Lung Cancer Cells
2.2.6. Effect of MMP12 Inhibitors on Protein Expression in H1299 Lung
2.2.7. Effect of MMP12 Inhibitors on Cell Cycle of H1299 Lung Cancer Cell Line
2.2.8. Effect of MMP12 Inhibitors on Apoptosis of H1299 Lung Cancer Cell Line
2.3. Mechanism Elucidation Using Bioinformatics Methods
2.3.1. Identifying Upstream Regulators Based on Experimental Expression Data
2.3.2. Reconstruction of an Integrated Signaling Mechanism
2.3.3. Biomarker Identification
3. Discussion
4. Materials and Methods
4.1. Databases and Software
4.1.1. Cortellis Drug Discovery Intelligence (CDDI) Database
4.1.2. MetaCoreTM
4.1.3. Cytoscape
4.1.4. Ingenuity Pathway Analysis (IPA)
4.2. Systems Biology
4.2.1. Systems Biology Informatics Workflow
4.2.2. Mining Interactions
4.2.3. Identification of Cancer-Associated Genes
4.2.4. Prioritize MMP12-Responsive Genes for Expression Testing
4.2.5. Canonical Pathway Enrichment of the Prioritized Genes
4.2.6. Upstream Regulator Inference from Expression Datasets
4.2.7. Biomarker Identifications
4.2.8. Mechanism Reconstruction
4.3. Synthesis of p-Chlorocinnamic Acid Derivatives (C1–C6)
4.4. Experimental Validation
4.4.1. Cell Lines and Cell Maintenance
4.4.2. MMP12 Enzyme Inhibition Assay
4.4.3. Cell Viability Assay
4.4.4. Wound Healing Assay
4.4.5. Soft Agar Colony Formation Assay
4.4.6. Annexin V-FITC/Propidium Iodide Apoptosis Assay
4.4.7. Cell Cycle Analysis Assay
4.4.8. Real-Time Polymerase Chain Reaction
4.4.9. Effect of MMP12 Inhibitors on MMP12 Protein Expression
4.4.10. Statistical Analysis
5. Conclusions
Supplementary Materials
Author Contributions
Funding
Institutional Review Board Statement
Informed Consent Statement
Data Availability Statement
Conflicts of Interest
Abbreviations
| µM | Micromolar |
| ADAM9 | A disintegrin and metalloproteinase domain-containing protein 9 |
| AKT | Protein kinase B |
| AKT | Protein kinase B (PKB) |
| APOA1 | Apolipoprotein A-I |
| CCL15 | C-C motif chemokine ligand 15 |
| CD44 | CD44 antigen (cell adhesion receptor) |
| CDDI | Cortellis Drug Discovery Intelligence |
| cDNA | Complementary DNA |
| COPD | Chronic obstructive pulmonary disease |
| DMEM | Dulbecco’s Modified Eagle Medium |
| ECM | Extracellular matrix |
| EIF3H | Eukaryotic translation initiation factor 3 subunit H |
| ERBB family | Epidermal growth-factor receptor family (EGFR/ERBB1, ERBB2, ERBB3, ERBB4) |
| FBS | Fetal bovine serum |
| FHIT | Fragile histidine triad |
| GAPDH | Glyceraldehyde-3-phosphate dehydrogenase |
| HOTAIR | HOX transcript antisense RNA |
| IC50 | Half-maximal inhibitory concentration |
| IGFBP | Insulin-like growth factor binding protein |
| IPA | Ingenuity pathway analysis |
| ITCH | E3 ubiquitin–protein ligase Itchy homolog |
| KRAS | Kirsten Rat Sarcoma Viral Oncogene Homolog |
| MAP3K11 | Mitogen-activated protein kinase kinase kinase 11 |
| MMP12 | Matrix metalloproteinase-12 |
| MMPs | Matrix metalloproteinases |
| MTT | 3-(4,5-Dimethylthiazol-2-yl)-2,5-diphenyltetrazolium bromide |
| NFKBIA | NF-κB inhibitor alpha (IκBα) |
| NRG4 | Neuregulin 4 |
| NSCLC | Non-small cell lung cancer |
| PD | Pharmacodynamic |
| PI3K | Phosphoinositide 3-kinase |
| PSME3 | Proteasome activator subunit 3 (PA28γ) |
| qPCR | Quantitative real-time polymerase chain reaction |
| RHO-GDI | Rho GDP-dissociation inhibitor |
| RPMI | Roswell Park Memorial Institute medium |
| SCLC | Small-cell lung cancer |
| SMAD | Small Mother Against Decapentaplegic |
| SPARCL1 | SPARC-like protein 1 (Hevin) |
| SRC | Proto-oncogene tyrosine–protein kinase Src |
| TCR | T-cell receptor |
| TGF-β | Transforming growth factor-β |
| TXN | Thioredoxin |
| uPA | Urokinase-type plasminogen activator |
| uPAR | Urokinase-type plasminogen activator receptor |
References
- de Almeida, L.G.; Thode, H.; Eslambolchi, Y.; Chopra, S.; Young, D.; Gill, S.; Devel, L.; Dufour, A. Matrix metalloproteinases: From molecular mechanisms to physiology, pathophysiology, and pharmacology. Pharmacol. Rev. 2022, 74, 714–770. [Google Scholar] [CrossRef]
- Almutairi, S.; Kalloush, H.M.d.; Manoon, N.A.; Bardaweel, S.K. Matrix metalloproteinases inhibitors in cancer treatment: An updated review (2013–2023). Molecules 2023, 28, 5567. [Google Scholar] [CrossRef]
- Siddhartha, R.; Garg, M. Interplay between extracellular matrix remodeling and angiogenesis in tumor ecosystem. Mol. Cancer Ther. 2023, 22, 291–305. [Google Scholar] [CrossRef] [PubMed]
- Grillet, B.; Pereira, R.V.S.; Van Damme, J.; Abu El-Asrar, A.; Proost, P.; Opdenakker, G. Matrix metalloproteinases in arthritis: Towards precision medicine. Nat. Rev. Rheumatol. 2023, 19, 363–377. [Google Scholar] [CrossRef]
- Niland, S.; Riscanevo, A.X.; Eble, J.A. Matrix metalloproteinases shape the tumor microenvironment in cancer progression. Int. J. Mol. Sci. 2021, 23, 146. [Google Scholar] [CrossRef]
- Bassiouni, W.; Ali, M.A.; Schulz, R. Multifunctional intracellular matrix metalloproteinases: Implications in disease. FEBS J. 2021, 288, 7162–7182. [Google Scholar] [CrossRef]
- Christopoulou, M.-E.; Papakonstantinou, E.; Stolz, D. Matrix metalloproteinases in chronic obstructive pulmonary disease. Int. J. Mol. Sci. 2023, 24, 3786. [Google Scholar] [CrossRef]
- Kwon, M.J. Matrix metalloproteinases as therapeutic targets in breast cancer. Front. Oncol. 2023, 12, 1108695. [Google Scholar] [CrossRef] [PubMed]
- Kandhwal, M.; Behl, T.; Singh, S.; Sharma, N.; Arora, S.; Bhatia, S.; Al-Harrasi, A.; Sachdeva, M.; Bungau, S. Role of matrix metalloproteinase in wound healing. Am. J. Transl. Res. 2022, 14, 4391. [Google Scholar] [PubMed]
- Fu, K.; Zheng, X.; Chen, Y.; Wu, L.; Yang, Z.; Chen, X.; Song, W. Role of matrix metalloproteinases in diabetic foot ulcers: Potential therapeutic targets. Front. Pharmacol. 2022, 13, 1050630. [Google Scholar] [CrossRef]
- Lee, H.S.; Kim, W.J. The role of matrix metalloproteinase in inflammation with a focus on infectious diseases. Int. J. Mol. Sci. 2022, 23, 10546. [Google Scholar] [CrossRef]
- Mustafa, S.; Koran, S.; AlOmair, L. Insights into the role of matrix metalloproteinases in cancer and its various therapeutic aspects: A review. Front. Mol. Biosci. 2022, 9, 896099. [Google Scholar] [CrossRef]
- Lin, H.; Xu, P.; Huang, M. Structure-based molecular insights into matrix metalloproteinase inhibitors in cancer treatments. Future Med. Chem. 2022, 14, 35–51. [Google Scholar] [CrossRef]
- He, L.; Kang, Q.; Chan, K.I.; Zhang, Y.; Zhong, Z.; Tan, W. The immunomodulatory role of matrix metalloproteinases in colitis-associated cancer. Front. Immunol. 2023, 13, 1093990. [Google Scholar] [CrossRef]
- Pezeshkian, Z.; Nobili, S.; Peyravian, N.; Shojaee, B.; Nazari, H.; Soleimani, H.; Asadzadeh-Aghdaei, H.; Ashrafian Bonab, M.; Nazemalhosseini-Mojarad, E.; Mini, E. Insights into the role of matrix metalloproteinases in precancerous conditions and in colorectal cancer. Cancers 2021, 13, 6226. [Google Scholar] [CrossRef]
- Tamang, J.S.D.; Banerjee, S.; Baidya, S.K.; Das, S.; Ghosh, B.; Jha, T.; Adhikari, N. Matrix metalloproteinase-12 (MMP-12) and its inhibitors: A mini-review. Eur. J. Med. Chem. 2024, 283, 117154. [Google Scholar]
- Lenci, E.; Cosottini, L.; Trabocchi, A. Novel matrix metalloproteinase inhibitors: An updated patent review (2014–2020). Expert Opin. Ther. Pat. 2021, 31, 509–523. [Google Scholar] [CrossRef]
- Yi, C.; Liu, J.; Deng, W.; Luo, C.; Qi, J.; Chen, M.; Xu, H. Macrophage elastase (MMP12) critically contributes to the development of subretinal fibrosis. J. Neuroinflammation 2022, 19, 78. [Google Scholar] [CrossRef] [PubMed]
- Aristorena, M.; Gallardo-Vara, E.; Vicen, M.; de Las Casas-Engel, M.; Ojeda-Fernandez, L.; Nieto, C.; Blanco, F.J.; Valbuena-Diez, A.C.; Botella, L.M.; Nachtigal, P. MMP-12, secreted by pro-inflammatory macrophages, targets endoglin in human macrophages and endothelial cells. Int. J. Mol. Sci. 2019, 20, 3107. [Google Scholar] [CrossRef]
- Li, G.-S.; Tang, Y.-X.; Zhang, W.; Li, J.-D.; Huang, H.-Q.; Liu, J.; Fu, Z.-W.; He, R.-Q.; Kong, J.-L.; Zhou, H.-F. MMP12 is a Potential Predictive and Prognostic Biomarker of Various Cancers Including Lung Adenocarcinoma. Cancer Control 2024, 31, 10732748241235468. [Google Scholar] [CrossRef] [PubMed]
- Eriksson Ström, J.; Kebede Merid, S.; Linder, R.; Pourazar, J.; Lindberg, A.; Melén, E.; Behndig, A.F. Airway MMP-12 and DNA methylation in COPD: An integrative approach. Respir. Res. 2025, 26, 10. [Google Scholar] [CrossRef] [PubMed]
- Abdel-Hamid, N.M.; Abass, S.A. Matrix metalloproteinase contribution in management of cancer proliferation, metastasis and drug targeting. Mol. Biol. Rep. 2021, 48, 6525–6538. [Google Scholar] [CrossRef]
- Sharma, R. Mapping of global, regional and national incidence, mortality and mortality-to-incidence ratio of lung cancer in 2020 and 2050. Int. J. Clin. Oncol. 2022, 27, 665–675. [Google Scholar] [CrossRef] [PubMed]
- Zhang, W.; Li, G.-S.; Gan, X.-Y.; Huang, Z.-G.; He, R.-Q.; Huang, H.; Li, D.-M.; Tang, Y.-L.; Tang, D.; Zou, W. MMP12 serves as an immune cell–related marker of disease status and prognosis in lung squamous cell carcinoma. PeerJ 2023, 11, e15598. [Google Scholar] [CrossRef]
- Hung, W.-Y.; Lee, W.-J.; Cheng, G.-Z.; Tsai, C.-H.; Yang, Y.-C.; Lai, T.-C.; Chen, J.-Q.; Chung, C.-L.; Chang, J.-H.; Chien, M.-H. Blocking MMP-12-modulated epithelial-mesenchymal transition by repurposing penfluridol restrains lung adenocarcinoma metastasis via uPA/uPAR/TGF-β/Akt pathway. Cell. Oncol. 2021, 44, 1087–1103. [Google Scholar] [CrossRef]
- Noël, A.; Perveen, Z.; Xiao, R.; Hammond, H.; Le Donne, V.; Legendre, K.; Gartia, M.R.; Sahu, S.; Paulsen, D.B.; Penn, A.L. Mmp12 is upregulated by in utero second-hand smoke exposures and is a key factor contributing to aggravated lung responses in adult emphysema, asthma, and lung cancer mouse models. Front. Physiol. 2021, 12, 704401. [Google Scholar] [CrossRef] [PubMed]
- Lv, F.; Wang, J.; Wu, Y.; Chen, H.; Shen, X. Knockdown of MMP12 inhibits the growth and invasion of lung adenocarcinoma cells. Int. J. Immunopathol. Pharmacol. 2015, 28, 77–84. [Google Scholar] [CrossRef]
- Mouton, A.J.; Gonzalez, O.J.R.; Kaminski, A.R.; Moore, E.T.; Lindsey, M.L. Matrix metalloproteinase-12 as an endogenous resolution promoting factor following myocardial infarction. Pharmacol. Res. 2018, 137, 252–258. [Google Scholar] [CrossRef]
- Quintero-Fabián, S.; Arreola, R.; Becerril-Villanueva, E.; Torres-Romero, J.C.; Arana-Argáez, V.; Lara-Riegos, J.; Ramírez-Camacho, M.A.; Alvarez-Sánchez, M.E. Role of matrix metalloproteinases in angiogenesis and cancer. Front. Oncol. 2019, 9, 1370. [Google Scholar] [CrossRef]
- Zheng, M. Classification and pathology of lung cancer. Surg. Oncol. Clin. 2016, 25, 447–468. [Google Scholar] [CrossRef]
- Abumansour, H.; Abusara, O.H.; Khalil, W.; Abul-Futouh, H.; Ibrahim, A.I.; Harb, M.K.; Abulebdah, D.H.; Ismail, W.H. Biological evaluation of levofloxacin and its thionated derivatives: Antioxidant activity, aldehyde dehydrogenase enzyme inhibition, and cytotoxicity on A549 cell line. Naunyn-Schmiedeberg’s Arch. Pharmacol. 2024, 397, 6963–6973. [Google Scholar] [CrossRef]
- Gridelli, C.; Rossi, A.; Carbone, D.P.; Guarize, J.; Karachaliou, N.; Mok, T.; Petrella, F.; Spaggiari, L.; Rosell, R. Non-small-cell lung cancer. Nat. Rev. Dis. Primers 2015, 1, 15009. [Google Scholar] [CrossRef]
- Wang, Z.; Cai, G.; Zhu, J.; Wang, J.; Zhang, Y. Treatment of advanced-stage non-small cell lung cancer: Current progress and a glimpse into the future. Mol. Clin. Oncol. 2025, 22, 42. [Google Scholar] [CrossRef]
- Baldavira, C.M.; Prieto, T.G.; de Souza, M.L.F.; Qualiotto, A.N.; Velosa, A.P.P.; Teodoro, W.R.; Takagaki, T.; Ab’Saber, A.; Capelozzi, V.L. Matrisome analysis of NSCLC unveils clinically-important cancer-associated extracellular matrix changes. Biochim. Biophys. Acta (BBA)-Mol. Basis Dis. 2025, 1871, 167709. [Google Scholar] [CrossRef]
- Xue, H.; Fan, Y.; Li, Y.; Zhao, Q.; Zhang, X.; Zhao, P.; Liu, Z. Tumor-infiltrating lymphocytes in NSCLC: From immune surveillance to immunotherapy. Front. Immunol. 2025, 16, 1610998. [Google Scholar] [CrossRef] [PubMed]
- Ibrahim, A.I.; Abul-Futouh, H.; Bourghli, L.M.; Abu-Sini, M.; Sunoqrot, S.; Ikhmais, B.; Jha, V.; Sarayrah, Q.; Abulebdah, D.H.; Ismail, W.H. Design and synthesis of thionated levofloxacin: Insights into a new generation of quinolones with potential therapeutic and analytical applications. Curr. Issues Mol. Biol. 2022, 44, 4626–4638. [Google Scholar] [CrossRef] [PubMed]
- Chen, L.; Zhang, X.-H.; Mao, Z.-J.; Wang, D.; Zhang, C.-Y.; Chen, H.-J.; Wu, Y.-L.; Yang, J.-J. Clinical outcomes and neuroendocrine features of transformed versus primary small-cell lung cancer. Lung Cancer 2025, 207, 108714. [Google Scholar] [CrossRef]
- Yiotakis, A.; Dive, V. Third-generation MMP inhibitors: Recent advances in the development of highly selective inhibitors. Cancer Degrad. Proteases Cancer Biol. 2008, 811–825. [Google Scholar] [CrossRef]
- Raeeszadeh-Sarmazdeh, M.; Do, L.D.; Hritz, B.G. Metalloproteinases and their inhibitors: Potential for the development of new therapeutics. Cells 2020, 9, 1313. [Google Scholar] [CrossRef]
- Almutairi, S.; Sabbah, D.A.; Sweidan, K.; Hajjo, R.; Bardaweel, S.K. Identification and Biological Validation of MMP-12 Inhibitors Guided by Pharmacophore-Based Virtual Screening and Docking Studies. ACS Omega 2025, 10, 50055–50076. [Google Scholar] [CrossRef] [PubMed]
- Hajjo, R.; Momani, E.; Sabbah, D.A.; Baker, N.; Tropsha, A. Identifying a causal link between prolactin signaling pathways and COVID-19 vaccine-induced menstrual changes. NPJ Vaccines 2023, 8, 129. [Google Scholar] [CrossRef]
- Hajjo, R.; Sabbah, D.A.; Bardaweel, S.K.; Tropsha, A. Shedding the light on post-vaccine myocarditis and pericarditis in COVID-19 and non-COVID-19 vaccine recipients. Vaccines 2021, 9, 1186. [Google Scholar] [CrossRef]
- Hajjo, R.; Grulke, C.M.; Golbraikh, A.; Setola, V.; Huang, X.-P.; Roth, B.L.; Tropsha, A. Development, validation, and use of quantitative structure− activity relationship models of 5-Hydroxytryptamine (2B) receptor ligands to identify novel receptor binders and putative valvulopathic compounds among common drugs. J. Med. Chem. 2010, 53, 7573–7586. [Google Scholar] [CrossRef]
- Colás-Algora, N.; Muñoz-Pinillos, P.; Cacho-Navas, C.; Avendaño-Ortiz, J.; de Rivas, G.; Barroso, S.; López-Collazo, E.; Millán, J. Simultaneous targeting of IL-1–signaling and IL-6–trans-signaling preserves human pulmonary endothelial barrier function during a cytokine storm—Brief report. Arterioscler. Thromb. Vasc. Biol. 2023, 43, 2213–2222. [Google Scholar] [CrossRef] [PubMed]
- Chiou, S.-H.; Tseng, D.; Reuben, A.; Mallajosyula, V.; Molina, I.S.; Conley, S.; Wilhelmy, J.; McSween, A.M.; Yang, X.; Nishimiya, D. Global analysis of shared T cell specificities in human non-small cell lung cancer enables HLA inference and antigen discovery. Immunity 2021, 54, 586–602.e8. [Google Scholar] [CrossRef] [PubMed]
- Marques, P.I.; Carlos, N.B.; Seixas, S. The tumor microbiome composition of non-small cell lung carcinoma correlates with expression differences in genes related with immunity, proteolysis and the extracellular matrix remodeling. Next Res. 2025, 2, 100116. [Google Scholar] [CrossRef]
- Flores-García, L.C.; García-Castillo, V.; Pérez-Toledo, E.; Trujano-Camacho, S.; Millán-Catalán, O.; Pérez-Yepez, E.A.; Coronel-Hernández, J.; Rodríguez-Dorantes, M.; Jacobo-Herrera, N.; Pérez-Plasencia, C. HOTAIR Participation in Glycolysis and Glutaminolysis Through Lactate and Glutamate Production in Colorectal Cancer. Cells 2025, 14, 388. [Google Scholar] [CrossRef] [PubMed]
- Garlanda, C.; Mantovani, A. Interleukin-1 in tumor progression, therapy, and prevention. Cancer Cell 2021, 39, 1023–1027. [Google Scholar] [CrossRef]
- Gong, L.; Geng, L.; Hou, W.; Xianyu, J.; Wang, X. Simultaneous Detection of Calpain-2 and Matrix Metalloproteinase-12 in Non-Small Cell Lung Cancer Early Diagnosis. Sens. Actuators B Chem. 2025, 443, 138292. [Google Scholar] [CrossRef]
- Krämer, A.; Green, J.; Pollard, J., Jr.; Tugendreich, S. Causal analysis approaches in ingenuity pathway analysis. Bioinformatics 2014, 30, 523–530. [Google Scholar] [CrossRef]
- Sternlicht, M.D.; Werb, Z. How matrix metalloproteinases regulate cell behavior. Annu. Rev. Cell Dev. Biol. 2001, 17, 463–516. [Google Scholar] [CrossRef] [PubMed]
- Mohan, S.; Thompson, G.R.; Amaar, Y.G.; Hathaway, G.; Tschesche, H.; Baylink, D.J. ADAM-9 is an insulin-like growth factor binding protein-5 protease produced and secreted by human osteoblasts. Biochemistry 2002, 41, 15394–15403. [Google Scholar] [CrossRef]
- Go, C.D.; Knight, J.D.; Rajasekharan, A.; Rathod, B.; Hesketh, G.G.; Abe, K.T.; Youn, J.-Y.; Samavarchi-Tehrani, P.; Zhang, H.; Zhu, L.Y. A proximity-dependent biotinylation map of a human cell. Nature 2021, 595, 120–124, Correction in Nature 2022, 602, E16. [Google Scholar] [CrossRef]
- Yang, Y.; Iwanaga, K.; Raso, M.G.; Wislez, M.; Hanna, A.E.; Wieder, E.D.; Molldrem, J.J.; Wistuba, I.I.; Powis, G.; Demayo, F.J. Phosphatidylinositol 3-kinase mediates bronchioalveolar stem cell expansion in mouse models of oncogenic K-ras-induced lung cancer. PLoS ONE 2008, 3, e2220. [Google Scholar] [CrossRef]
- Kubota, Y.; Tanaka, T.; Kitanaka, A.; Ohnishi, H.; Okutani, Y.; Waki, M.; Ishida, T.; Kamano, H. Src transduces erythropoietin-induced differentiation signals through phosphatidylinositol 3-kinase. EMBO J. 2001, 20, 5666–5677. [Google Scholar] [CrossRef]
- Ehrhardt, C.; Ludwig, S. A new player in a deadly game: Influenza viruses and the PI3K/Akt signalling pathway. Cell. Microbiol. 2009, 11, 863–871. [Google Scholar] [CrossRef]
- Bernstein, D.; Fajardo, G.; Zhao, M. The role of β-adrenergic receptors in heart failure: Differential regulation of cardiotoxicity and cardioprotection. Prog. Pediatr. Cardiol. 2011, 31, 35–38. [Google Scholar] [CrossRef]
- Ohkawa, Y.; Momota, H.; Kato, A.; Hashimoto, N.; Tsuda, Y.; Kotani, N.; Honke, K.; Suzumura, A.; Furukawa, K.; Ohmi, Y. Ganglioside GD3 enhances invasiveness of gliomas by forming a complex with platelet-derived growth factor receptor α and yes kinase. J. Biol. Chem. 2015, 290, 16043–16058. [Google Scholar] [CrossRef] [PubMed]
- Malisan, F.; Franchi, L.; Tomassini, B.; Ventura, N.; Condò, I.; Rippo, M.R.; Rufini, A.; Liberati, L.; Nachtigall, C.; Kniep, B. Acetylation suppresses the proapoptotic activity of GD3 ganglioside. J. Exp. Med. 2002, 196, 1535. [Google Scholar] [CrossRef] [PubMed]
- Rippo, M.R.; Malisan, F.; Rayagnan, L.; Tomassini, B.; Condo, I.; Costantini, P.; Susin, S.A.; Rufini, A.; Todaro, M.; Kroemer, G. GD3 ganglioside directly targets mitochondria in a bcl-2-controlled fashion. FASEB J. 2000, 14, 2047–2054. [Google Scholar] [CrossRef]
- Duxbury, M.S.; Ito, H.; Zinner, M.J.; Ashley, S.W.; Whang, E.E. Inhibition of SRC tyrosine kinase impairs inherent and acquired gemcitabine resistance in human pancreatic adenocarcinoma cells. Clin. Cancer Res. 2004, 10, 2307–2318. [Google Scholar] [CrossRef]
- Miyamoto-Sato, E.; Fujimori, S.; Ishizaka, M.; Hirai, N.; Masuoka, K.; Saito, R.; Ozawa, Y.; Hino, K.; Washio, T.; Tomita, M. A comprehensive resource of interacting protein regions for refining human transcription factor networks. PLoS ONE 2010, 5, e9289. [Google Scholar] [CrossRef] [PubMed]
- Lee, I.Y.; Lim, J.M.; Cho, H.; Kim, E.; Kim, Y.; Oh, H.-K.; Yang, W.S.; Roh, K.-H.; Park, H.W.; Mo, J.-S. MST1 negatively regulates TNFα-induced NF-κB signaling through modulating LUBAC activity. Mol. Cell 2019, 73, 1138–1149.e6. [Google Scholar] [CrossRef]
- Avruch, J.; Praskova, M.; Ortiz-Vega, S.; Liu, M.; Zhang, X.F. Nore1 and RASSF1 regulation of cell proliferation and of the MST1/2 kinases. Methods Enzymol. 2006, 407, 290–310. [Google Scholar]
- Tsuruta, F.; Takebe, A.; Haratake, K.; Kanemori, Y.; Kim, J.; Endo, T.; Kigoshi, Y.; Fukuda, T.; Miyahara, H.; Ebina, M. SCFFbl12 increases p21Waf1/Cip1 expression level through atypical ubiquitin chain synthesis. Mol. Cell. Biol. 2016, 36, 2182–2194. [Google Scholar] [CrossRef] [PubMed]
- Leontieva, O.V.; Blagosklonny, M.V. CDK4/6-inhibiting drug substitutes for p21 and p16 in senescence: Duration of cell cycle arrest and MTOR activity determine geroconversion. Cell Cycle 2013, 12, 3063–3069. [Google Scholar] [CrossRef] [PubMed]
- Nishiwaki, E.; Turner, S.L.; Harju, S.; Miyazaki, S.; Kashiwagi, M.; Koh, J.; Serizawa, H. Regulation of CDK7–Carboxyl-Terminal Domain Kinase Activity by the Tumor Suppressor p16INK4A Contributes to Cell Cycle Regulation. Mol. Cell. Biol. 2000, 20, 7726–7734. [Google Scholar] [CrossRef]
- Pekarsky, Y.; Garrison, P.N.; Palamarchuk, A.; Zanesi, N.; Aqeilan, R.I.; Huebner, K.; Barnes, L.D.; Croce, C.M. Fhit is a physiological target of the protein kinase Src. Proc. Natl. Acad. Sci. USA 2004, 101, 3775–3779. [Google Scholar] [CrossRef]
- Roz, L.; Gramegna, M.; Ishii, H.; Croce, C.M.; Sozzi, G. Restoration of fragile histidine triad (FHIT) expression induces apoptosis and suppresses tumorigenicity in lung and cervical cancer cell lines. Proc. Natl. Acad. Sci. USA 2002, 99, 3615–3620. [Google Scholar] [CrossRef]
- Sevignani, C.; Calin, G.A.; Cesari, R.; Sarti, M.; Ishii, H.; Yendamuri, S.; Vecchione, A.; Trapasso, F.; Croce, C.M. Restoration of fragile histidine triad (FHIT) expression induces apoptosis and suppresses tumorigenicity in breast cancer cell lines. Cancer Res. 2003, 63, 1183–1187. [Google Scholar]
- Pang, N.; Lin, Z.; Wang, X.; Xu, L.; Xu, X.; Huang, R.; Li, X.; Li, X.; Li, J. Endothelial cell-derived CCL15 mediates the transmigration of fibrocytes through the CCL15-CCR1 axis in vitro. Mol. Med. Rep. 2020, 22, 5339–5347. [Google Scholar] [CrossRef] [PubMed]
- Clarivate. Cortellis Drug Discovery Intelligence. Available online: https://clarivate.com/life-sciences-healthcare/research-development/discovery-development/cortellis-pre-clinical-intelligence/ (accessed on 10 February 2024).
- Metacore, C. MetaCore™ Pathway Analysis Software; Version 23.2; Clarivate Analytics: Philadelphia, PA, USA, 2025. [Google Scholar]
- HGNC. HGNC: HUGO Gene Nomenclature Committee. Available online: https://www.genenames.org/ (accessed on 1 January 2025).
- Shannon, P.; Markiel, A.; Ozier, O.; Baliga, N.S.; Wang, J.T.; Ramage, D.; Amin, N.; Schwikowski, B.; Ideker, T. Cytoscape: An Open-Source Platform for Visualizing Complex Networks; Cold Spring Harbor Laboratory Press: Cold Spring Harbor, NY, USA, 2024. [Google Scholar]
- QIAGEN. QIAGEN Ingenuity Pathway Analysis (IPA); QIAGEN Inc.: Redwood City, CA, USA, 2025. [Google Scholar]
- Hajjo, R.; Sabbah, D.A.; Tropsha, A. Analyzing the systems biology effects of COVID-19 mRNA vaccines to assess their safety and putative side effects. Pathogens 2022, 11, 743. [Google Scholar] [CrossRef] [PubMed]
- Hajjo, R.; Setola, V.; Roth, B.L.; Tropsha, A. Chemocentric informatics approach to drug discovery: Identification and experimental validation of selective estrogen receptor modulators as ligands of 5-hydroxytryptamine-6 receptors and as potential cognition enhancers. J. Med. Chem. 2012, 55, 5704–5719. [Google Scholar] [CrossRef]
- Oliveros, J.C. Venny: An Interactive Tool for Comparing Lists with Venn’s Diagrams. Available online: https://bioinformatics.psb.ugent.be/webtools/Venn/ (accessed on 1 March 2025).
- Abdullah, A.H.; Alarareh, A.K.; Al-Sha’er, M.A.; Habashneh, A.Y.; Awwadi, F.F.; Bardaweel, S.K. Docking, synthesis, and anticancer assessment of novel quinoline-amidrazone hybrids. Pharmacia 2024, 71, 1–12. [Google Scholar] [CrossRef]
- Bardaweel, S.K.; AlOmari, R.; Hajjo, R. Integrating computational and experimental chemical biology revealed variable anticancer activities of phosphodiesterase isoenzyme 5 inhibitors (PDE5i) in lung cancer. RSC Med. Chem. 2024, 15, 2882–2899. [Google Scholar] [CrossRef]
- Rasband, W. ImageJ, US National Institutes of Health. 2007. Available online: http://rsb.info.nih.gov/ij/(1997–2007) (accessed on 1 March 2025).
- Bardaweel, S.K.; Abu Sneineh, B.; Hajjo, R.; Abu Khalaf, R. DPP4 inhibitors as a novel therapeutic strategy in colorectal cancer: Integrating network biology and experimental insights. PLoS ONE 2025, 20, e0334223. [Google Scholar] [CrossRef]
- Bardaweel, S.K.; Jaradat, E.; Hajjo, R.; AlJarrah, H. Unraveling the Anticancer Potential of SSRIs in Prostate Cancer by Combining Computational Systems Biology and In Vitro Analyses. ACS Omega 2025, 10, 15204–15218. [Google Scholar] [CrossRef]
- Bardaweel, S.K.; Al-Salamat, H.; Hajjo, R.; Sabbah, D.; Almutairi, S. Unveiling the intricacies of monoamine oxidase-A (MAO-A) inhibition in colorectal cancer: Computational systems biology, expression patterns, and the anticancer therapeutic potential. ACS Omega 2024, 9, 35703–35717. [Google Scholar] [CrossRef] [PubMed]
- Sweidan, K.; Elfadel, H.; Sabbah, D.A.; Bardaweel, S.K.; Hajjo, R.; Anjum, S.; Sinoj, J.; Nair, V.A.; Abu-Gharbieh, E.; El-Huneidi, W. Novel derivatives of 4,6-Dihydroxy-2-quinolone-3-carboxamides as potential PI3Kα inhibitors. ChemistrySelect 2022, 7, e202202263. [Google Scholar] [CrossRef]







| Downstream Network Object | Gene Symbol * | Effect | Mechanism |
|---|---|---|---|
| C3b | CR1 | Activation | Cleavage |
| CCL15 | CCL15 | Activation | Cleavage |
| CCL16 | CCL16 | Activation | Cleavage |
| CCL23 | CCL23 | Activation | Cleavage |
| MMP-2 | MMP2 | Activation | Cleavage |
| NFKBIA | NFKBIA | Activation | Transcription regulation |
| Osteopontin | SPP1 | Activation | Cleavage |
| Stromelysin-1(MMP-3) | MMP3 | Activation | Unspecified |
| TNF-alpha | TNF | Activation | Cleavage |
| TyrRS | YARS1 | Activation | Cleavage |
| AEBP1 | AEBP1 | Inhibition | Cleavage |
| Alpha 1-antitrypsin | SERPINA10 | Inhibition | Cleavage |
| APOA1 | APOA1 | Inhibition | Cleavage |
| APOL1 | APOL1 | Inhibition | Cleavage |
| Coagulation factor XII | F12 | Inhibition | Cleavage |
| Collagen I | COL1A1 | Inhibition | Cleavage |
| Collagen III | COL3A1 | Inhibition | Cleavage |
| Collagen IV | COL4A1 | Inhibition | Cleavage |
| CXCL13 | CXCL13 | Inhibition | Cleavage |
| EFEMP2 | EFEMP2 | Inhibition | Cleavage |
| Elastin | ELN | Inhibition | Cleavage |
| ENA-78 | CXCL5 | Inhibition | Cleavage |
| FasL(TNFSF6) | FASLG | Inhibition | Cleavage |
| Fibronectin | FN1 | Inhibition | Cleavage |
| Fibulin-3 | EFEMP1 | Inhibition | Cleavage |
| Fibulin-5 | FBLN5 | Inhibition | Cleavage |
| GRO-1 | CXCL1 | Inhibition | Cleavage |
| IL-8 | CXCL8 | Inhibition | Cleavage |
| Laminin 1 | LAMA1 | Inhibition | Cleavage |
| Myelin basic protein | MBP | Inhibition | Cleavage |
| Nidogen | NID | Inhibition | Cleavage |
| OSF-2 | POSTN | Inhibition | Cleavage |
| PLAUR | PLAUR | Inhibition | Cleavage |
| PSME3 | PSME3 | Inhibition | Transcription regulation |
| SERPINB1 | SERPINB1 | Inhibition | Cleavage |
| SPARCL1 | SPARCL1 | Inhibition | Transcription regulation |
| Tenascin-C | TNC | Inhibition | Cleavage |
| TFPI | TFPI | Inhibition | Cleavage |
| Thrombospondin 2 | THBS2 | Inhibition | Cleavage |
| Vitronectin | VTN | Inhibition | Cleavage |
| Gene | Direct Effect | Transcriptional Effect | Overlapping Gene | Total Score |
|---|---|---|---|---|
| CD44 | 1 | 0 | 3 | 4 |
| NFKBIA | 1 | 1 | 2 | 4 |
| PSME3 | 1 | 1 | 1 | 3 |
| SPARCL1 | 1 | 1 | 1 | 3 |
| ADAM9 | 0 | 0 | 3 | 3 |
| APOA1 | 0 | 0 | 3 | 3 |
| CCL14 | 0 | 0 | 3 | 3 |
| CCL15 | 0 | 0 | 3 | 3 |
| ACTR3 | 0 | 0 | 2 | 2 |
| ARPC1B | 0 | 0 | 2 | 2 |
| ATIC | 0 | 0 | 2 | 2 |
| CAPZA1 | 0 | 0 | 2 | 2 |
| CAPZA2 | 0 | 0 | 2 | 2 |
| CCL1 | 0 | 0 | 2 | 2 |
| CCL16 | 0 | 0 | 2 | 2 |
| CCL23 | 0 | 0 | 2 | 2 |
| CORO1C | 0 | 0 | 2 | 2 |
| CXCL13 | 0 | 0 | 2 | 2 |
| PPBP | 0 | 0 | 2 | 2 |
| MMP2 | 1 | 0 | 0 | 1 |
| TNF | 1 | 0 | 0 | 1 |
| No. | Pathway | FDR | Enriched Genes |
|---|---|---|---|
| 1 | HOTAIR regulatory pathway | 1.68 × 10−3 | CD44, MMP12, NFKBIA |
| 2 | Role of Osteoclasts in rheumatoid arthritis | 5.88 × 10−3 | MMP12, ADAM9, NFKBIA |
| 3 | Collagen degradation | 6.92 × 10−3 | MMP12, ADAM9 |
| 4 | Degradation of the extracellular matrix | 8.35 × 10−3 | CD44, MMP12 |
| 5 | ABC-family protein-mediated transport | 8.83 × 10−3 | PSME3, APOA1 |
| 6 | Post-translational protein phosphorylation | 8.83 × 10−3 | APOA1, SPARCL1 |
| 7 | Regulation of IGF transport and uptake by IGFBPs | 8.83 × 10−3 | APOA1, SPARCL1 |
| 8 | TCR signaling | 8.83 × 10−3 | NFKBIA, PSME3 |
| 9 | Interleukin-1 family signaling | 8.83 × 10−3 | NFKBIA, PSME3 |
| 10 | Centrosomal KIAA0586 signaling pathway | 8.83 × 10−3 | CD44, PSME3 |
| Compound | IC50 (µM, 48 h) | IC50 (µM, 72 h) | IC50 (µM, 96 h) |
|---|---|---|---|
| C1 | 358.90 | 91.72 | 99.70 |
| C7 | 197.51 | 48.11 | 71.83 |
| C9 | 496.33 | 43.41 | 66.81 |
| C10 | 622.50 | 65.51 | 65.34 |
| C15 | 222.20 | 145.23 | 178.64 |
| Compound | Gene | Fold Change | % Change | Direction |
|---|---|---|---|---|
| C1 | CD44 | 0.48 | −52% | Dn |
| NFKBIA | 24.33 | +2333% | Up | |
| PSME3 | 0.54 | −46% | Dn | |
| SPARCL1 | 0.49 | −51% | Dn | |
| ADAM9 | 123.60 | +12,260% | Up | |
| APOA1 | 0.79 | −21% | Dn | |
| CCL15 | 0.03 | −97% | Dn | |
| MMP12 | 0.78 | −22% | Dn | |
| C7 | CD44 | 0.23 | −77% | Dn |
| NFKBIA | 25.19 | +2419% | Up | |
| PSME3 | 0.66 | −34% | Dn | |
| SPARCL1 | 0.56 | −44% | Dn | |
| ADAM9 | 29.45 | +28.45 | Up | |
| APOA1 | 12.17 | +1117 | Up | |
| CCL15 | 0.05 | −95% | Dn | |
| MMP12 | 0.15 | −85% | Dn | |
| C9 | CD44 | 0.91 | −9% | Dn |
| NFKBIA | 29.10 | +2810% | Up | |
| PSME3 | 0.36 | −64% | Dn | |
| SPARCL1 | 0.34 | −66% | Dn | |
| ADAM9 | 111.04 | +11,004% | Up | |
| APOA1 | 7.67 | +667% | Up | |
| CCL15 | 0.05 | −95% | Dn | |
| MMP12 | 0.23 | −77% | Dn | |
| C10 | CD44 | 0.45 | −55% | Dn |
| NFKBIA | 18.50 | +1750% | Up | |
| PSME3 | 0.97 | −3% | Dn | |
| SPARCL1 | 0.26 | −74% | Dn | |
| ADAM9 | 267.80 | +26,680% | Up | |
| APOA1 | 0.81 | −19% | Dn | |
| CCL15 | 0.05 | −95% | Dn | |
| MMP12 | 0.57 | −43% | Dn | |
| C15 | CD44 | 0.68 | −32% | Dn |
| NFKBIA | 28.34 | +2734% | Up | |
| PSME3 | 0.52 | −48% | Dn | |
| SPARCL1 | 0.79 | −21% | Dn | |
| ADAM9 | 39.26 | +3826% | Up | |
| APOA1 | 6.34 | +534% | Up | |
| CCL15 | 0.03 | −97% | Dn | |
| MMP12 | 0.20 | −80% | Dn |
| No. | Ustream Regulator | Effect Direction | Z-Score (Range) | Compounds |
|---|---|---|---|---|
| 1 | MMP12 | ↑ NFKBIA, ↓ PSME3, ↓ SPARCL1 | +1.73 | C1, C7, C9, C10, C15 |
| 2 | TXN | ↓ APOA1, ↓ CD44, ↓ MMP12, ↑ NFKBIA | +2.00 (C1, C10) +1.00 (C7, C15) | C1, C7, C10, C15 |
| 3 | ITCH | ↑ ADAM9, ↓ CD44, ↓ MMP12, ↑ NFKBIA | −1.00 | C1, C7, C10, C15 |
| 4 | AKT family | ↓ CD44, ↓ MMP12, ↑ NFKBIA | −1.73 | C1, C7, C10, C15 |
| 5 | MAP3K11 | ↓ CD44, ↓ MMP12, ↑ NFKBIA, ↓ PSME3 | −1.00 | C1, C7, C10, C15 |
| 6 | MAP2K7 | ↓ CD44, ↓ MMP12, ↑ NFKBIA | −0.58 | C1, C7, C10, C15 |
| 7 | MAP3K14 | ↓ CD44, ↑ NFKBIA | 0.00 | C1, C7, C10, C15 |
| 8 | ECSIT | ↓ CD44, ↑ NFKBIA | 0.00 | C7, C10, C15 |
| 9 | DGKH | ↓ CD44, ↓ MMP12, ↑ NFKBIA | −0.58 | C1, C7, C10, C15 |
| 10 | SH3RF1 | ↓ CD44, ↓ MMP12, ↑ NFKBIA | −0.58 | C1, C7, C10, C15 |
| 11 | VEGFA | ↓ CD44, ↓ MMP12 | −1.41 | C1 |
| 12 | CRK/CRKL | ↑ APOA1, ↓ CCL15, ↓ CD44, ↓ MMP12, ↑ NFKBIA | −2.24 | C9 |
| 13 | SMAD2/3/4 complex | ↑ ADAM9, ↑ APOA1, ↓ CD44, ↓ MMP12, ↑ NFKBIA | +0.45 | C9 |
| 14 | EIF3H | ↑ ADAM9, ↓ CD44, ↓ MMP12, ↑ NFKBIA, ↓ PSME3 | +1.34 | C9 |
| 15 | NRG4 | ↑ ADAM9, ↑ APOA1, ↓ CD44, ↓ MMP12, ↑ NFKBIA, ↓ SPARCL1 | −0.82 | C9 |
| 16 | ERBB family | ↑ ADAM9, ↑ APOA1, ↓ CD44, ↓ MMP12, ↑ NFKBIA, ↓ SPARCL1 | −0.82 | C9 |
| 17 | RHO-GDI | ↑ ADAM9, ↑ APOA1, ↓ CD44, ↓ MMP12, ↑ NFKBIA | −1.34 | C9 |
| 18 | EGFR | ↑ ADAM9, ↑ APOA1, ↓ CD44, ↓ MMP12, ↑ NFKBIA, ↓ SPARCL1 | −0.82 | C9 |
| 19 | BHLH | ↑ APOA1, ↓ CD44, ↓ MMP12, ↑ NFKBIA, ↓ SPARCL1 | −0.45 | C9 |
| 20 | ERBB4/APOE complex | ↑ ADAM9, ↑ APOA1, ↓ CD44, ↓ SPARCL1 | +1.00 | C9 |
Disclaimer/Publisher’s Note: The statements, opinions and data contained in all publications are solely those of the individual author(s) and contributor(s) and not of MDPI and/or the editor(s). MDPI and/or the editor(s) disclaim responsibility for any injury to people or property resulting from any ideas, methods, instructions or products referred to in the content. |
© 2025 by the authors. Licensee MDPI, Basel, Switzerland. This article is an open access article distributed under the terms and conditions of the Creative Commons Attribution (CC BY) license (https://creativecommons.org/licenses/by/4.0/).
Share and Cite
Almutairi, S.; Hajjo, R.; Sabbah, D.A.; Sweidan, K.; Rashid, Z.A.; Bardaweel, S.K. Molecular and System-Level Characterization of MMP12 Suppression in Lung Cancer: A Combined Bioinformatics and Molecular Approach. Int. J. Mol. Sci. 2025, 26, 11802. https://doi.org/10.3390/ijms262411802
Almutairi S, Hajjo R, Sabbah DA, Sweidan K, Rashid ZA, Bardaweel SK. Molecular and System-Level Characterization of MMP12 Suppression in Lung Cancer: A Combined Bioinformatics and Molecular Approach. International Journal of Molecular Sciences. 2025; 26(24):11802. https://doi.org/10.3390/ijms262411802
Chicago/Turabian StyleAlmutairi, Shriefa, Rima Hajjo, Dima A. Sabbah, Kamal Sweidan, Zainab Ahmed Rashid, and Sanaa K. Bardaweel. 2025. "Molecular and System-Level Characterization of MMP12 Suppression in Lung Cancer: A Combined Bioinformatics and Molecular Approach" International Journal of Molecular Sciences 26, no. 24: 11802. https://doi.org/10.3390/ijms262411802
APA StyleAlmutairi, S., Hajjo, R., Sabbah, D. A., Sweidan, K., Rashid, Z. A., & Bardaweel, S. K. (2025). Molecular and System-Level Characterization of MMP12 Suppression in Lung Cancer: A Combined Bioinformatics and Molecular Approach. International Journal of Molecular Sciences, 26(24), 11802. https://doi.org/10.3390/ijms262411802

