Cardiometabolic Biomarkers and Cardiovascular Risk Stratification in Polish Military Personnel: A Chemometric Approach
Abstract
1. Introduction
2. Results
2.1. Between-Group Differences in Serum Biomarkers
2.1.1. Lipid Markers
2.1.2. Inflammatory Marker
2.1.3. Metabolic and Hormonal Markers
2.1.4. Hepatic Markers
2.1.5. Non-Specific Biomarker for Various Conditions
2.1.6. Effect Sizes
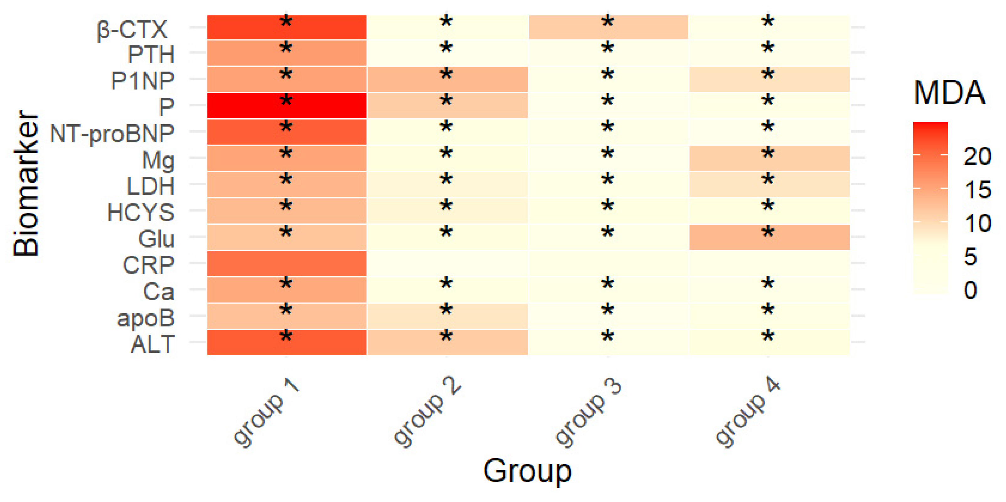
2.2. Chemometric Analysis
2.2.1. Full-Panel Model
2.2.2. Refined Model
3. Discussion
3.1. Between-Group Differences
3.2. Effect Sizes
3.3. Chemometric Analysis
3.4. Occupational Context and Profile Mapping
3.5. Limitations
4. Materials and Methods
4.1. Study Design
4.2. Participants
4.3. Blood Sample Collection and Processing
4.4. Biomarkers
4.5. Statistical Analysis
5. Conclusions
Author Contributions
Funding
Institutional Review Board Statement
Informed Consent Statement
Data Availability Statement
Conflicts of Interest
References
- Netala, V.R.; Teertam, S.K.; Li, H.; Zhang, Z. A comprehensive review of cardiovascular disease management: Cardiac biomarkers, imaging modalities, pharmacotherapy, surgical interventions, and herbal remedies. Cells 2024, 13, 1471. [Google Scholar] [CrossRef] [PubMed]
- World Health Organization. Cardiovascular diseases (CVDs). 2025. Available online: https://www.who.int/news-room/fact-sheets/detail/cardiovascular-diseases-(cvds) (accessed on 18 July 2025).
- Winham, S.J.; de Andrade, M.; Miller, V.M. Genetics of cardiovascular disease: Importance of sex and ethnicity. Atherosclerosis 2017, 241, 219–228. [Google Scholar] [CrossRef] [PubMed]
- Carola, V.; Vincenzo, C.; Di Vincenzo, G.; Morale, C.; Cecchi, V.; Nicolais, G. Psychological risk factors and cardiovascular disease. Front. Psychol. 2024, 15, 1419731. [Google Scholar] [CrossRef] [PubMed]
- Fuchs, F.D.; Whelton, P.K. High blood pressure and cardiovascular disease. Hypertension 2020, 75, 285–292. [Google Scholar] [CrossRef] [PubMed]
- Ettehad, D.; Emdin, C.A.; Kiran, A.; Anderson, S.G.; Callender, T.; Emberson, J.; Chalmers, J.; Rodgers, A.; Rahimi, K. Blood pressure lowering for prevention of cardiovascular disease and death: A systematic review and meta-analysis. Lancet 2016, 387, 957–967. [Google Scholar] [CrossRef]
- Nelson, R.H. Hyperlipidemia as a risk factor for cardiovascular disease. Prim. Care 2013, 40, 195–211. [Google Scholar] [CrossRef]
- Alloubani, A.; Nimer, R.; Samara, R. Relationship between hyperlipidemia, cardiovascular disease and stroke: A systematic review. Curr. Cardiol. Rev. 2020, 17, e051121189015. [Google Scholar] [CrossRef]
- Wong, N.D.; Sattar, N. Cardiovascular risk in diabetes mellitus: Epidemiology, assessment and prevention. Nat. Rev. Cardiol. 2023, 20, 685–695. [Google Scholar] [CrossRef]
- Yun, J.S.; Ko, S.H. Current trends in epidemiology of cardiovascular disease and cardiovascular risk management in type 2 diabetes. Metabolism 2021, 123, 154838. [Google Scholar] [CrossRef]
- Welsh, A.; Hammad, M.; Piña, I.L.; Kulinski, J. Obesity and cardiovascular health. Eur. J. Prev. Cardiol. 2024, 31, 1026–1035. [Google Scholar] [CrossRef]
- Haidar, A.; Horwich, T. Obesity, cardiorespiratory fitness, and cardiovascular disease. Curr. Cardiol. Rep. 2023, 25, 1565–1571. [Google Scholar] [CrossRef]
- Josloff, K.; Beiriger, J.; Khan, A.; Gawel, R.J.; Kirby, R.S.; Kendrick, A.D.; Rao, A.K.; Wang, R.X.; Schafer, M.M.; Pearce, M.E.; et al. Comprehensive review of cardiovascular disease risk in nonalcoholic fatty liver disease. J. Cardiovasc. Dev. Dis. 2022, 9, 419. [Google Scholar] [CrossRef]
- Matsushita, K.; Ballew, S.H.; Wang, A.Y.-M.; Kalyesubula, R.; Schaeffner, E.; Agarwal, R. Epidemiology and risk of cardiovascular disease in populations with chronic kidney disease. Nat. Rev. Nephrol. 2022, 18, 696–707. [Google Scholar] [CrossRef]
- Porsch, F.; Binder, C.J. Autoimmune diseases and atherosclerotic cardiovascular disease. Nat. Rev. Cardiol. 2024, 21, 780–807. [Google Scholar] [CrossRef] [PubMed]
- Werfelman, L. Linking Age and Fitness to Fly. 2022. Available online: https://flightsafety.org/asw-article/linking-age-and-fitness-to-fly/ (accessed on 1 August 2025).
- Qiang, Y.; Li, G.; Rebok, G.W.; Baker, S.P. Body mass index and cardiovascular disease in a birth cohort of commuter air carrier and air taxi pilots. Ann. Epidemiol. 2005, 15, 247–252. [Google Scholar] [CrossRef] [PubMed]
- McCrary, B.F.; Syoc, D.L. Van. Permanent flying disqualifications of USAF pilots and navigators (1995–1999). Aviat. Space Environ. Med. 2002, 73, 1117–1121. [Google Scholar] [PubMed]
- Osswald, S.; Miles, R.; Nixon, W.; Celio, P. Review of cardiac events in USAF aviators. Aviat. Space Environ. Med. 1996, 67, 1023–1027. [Google Scholar]
- Radjen, S.D.; Jovelic, A.S.; Radjen, G.S.; Hajdukovic, Z.V.; Radakovic, S.S. Metabolic syndrome and carotid artery intima-media thickness in military pilots. Aviat. Space Environ. Med. 2011, 82, 622–626. [Google Scholar] [CrossRef]
- Davenport, E.; Palileo, E.; Gore, S. Cardiovascular screening for pilots, aircrew, and high performance & spaceflight passengers. REACH 2021, 21–22, 100040. [Google Scholar]
- Pereira, J.C.; Monge, J.; Baptista, A.; Reis, P.; Dores, H. Cardiac causes of disqualification in Portuguese Air Force pilots. Aerosp. Med. Hum. Perform. 2025, 96, 128–134. [Google Scholar] [CrossRef]
- Shahali, H.; Farahani, A.A. Medical causes and diseases leading to early permanent disqualification in IRIAF pilots based on their service categories. JMVH 2021, 29, 33–39. [Google Scholar]
- Jones, K.A.; Jaime, J.R.; Winkelmann, Z.K. Medical disqualification as a barrier to healthcare in military service members. Clin. Pract. Athl. Train. 2024, 7, 135. [Google Scholar]
- Maculewicz, E.; Pabin, A.; Kowalczuk, K.; Dziuda, Ł.; Białek, A. Endogenous risk factors of cardiovascular diseases (CVDs) in military professionals with a special emphasis on military pilots. J. Clin. Med. 2022, 11, 4314. [Google Scholar] [CrossRef]
- Maculewicz, E.; Pabin, A.; Dziuda, Ł.; Białek, M.; Białek, A. Selected exogenous (occupational and environmental) risk factors for cardiovascular diseases in military and aviation. J. Clin. Med. 2023, 12, 7492. [Google Scholar] [CrossRef]
- Hajifathalian, K.; Ueda, P.; Lu, Y.; Woodward, M.; Ahmadvand, A.; Aguilar-Salinas, C.A.; Azizi, F.; Cifkova, R.; Di Cesare, M.; Eriksen, L.; et al. A novel risk score for predicting cardiovascular disease risk in national populations: A pooled analysis of prospective cohorts and health examination surveys. Lancet Diabetes Endocrinol. 2015, 3, 339–355. [Google Scholar] [CrossRef] [PubMed]
- Cooney, M.T.; Dudina, A.; D’Agostino, R.; Graham, I.M. Cardiovascular risk-estimation systems in primary prevention: Do they differ? Do they make a difference? Can we see the future? Circulation 2010, 122, 300–310. [Google Scholar] [CrossRef]
- Cooney, M.T.; Dudina, A.L.; Graham, I.M. Value and limitations of existing scores for the assessment of cardiovascular risk: A review for clinicians. J. Am. Coll. Cardiol. 2009, 54, 1209–1227. [Google Scholar] [CrossRef]
- Kim, S.J.; Mesquita, F.C.P.; Hochman-Mendez, C. New biomarkers for cardiovascular disease. Tex. Heart Inst. J. 2023, 50, 1–8. [Google Scholar] [CrossRef] [PubMed]
- Inoue, N.; Morikawa, S.; Murohara, T. Comprehensive assessment of lipid markers in cardiovascular events prediction. Int. Heart J. 2024, 65, 792–799. [Google Scholar] [CrossRef]
- Ahmad, M.; Sniderman, A.D.; Hegele, R.A. Apolipoprotein B in cardiovascular risk assessment. CMAJ 2023, 195, E1124. [Google Scholar] [CrossRef]
- Amezcua-Castillo, E.; González-Pacheco, H.; Sáenz-San Martín, A.; Méndez-Ocampo, P.; Gutierrez-Moctezuma, I.; Massó, F.; Sierra-Lara, D.; Springall, R.; Rodríguez, E.; Arias-Mendoza, A.; et al. C-reactive protein: The quintessential marker of systemic inflammation in coronary artery disease-advancing toward precision medicine. Biomedicines 2023, 11, 2444. [Google Scholar] [CrossRef] [PubMed]
- MedlinePlus. Homocysteine Test. Available online: https://medlineplus.gov/lab-tests/homocysteine-test/ (accessed on 22 August 2025).
- Dinavahi, R.; Falkner, B. Relationship of homocysteine with cardiovascular disease and blood pressure. J. Clin. Hypertens. 2004, 6, 499–500. [Google Scholar] [CrossRef] [PubMed]
- Andersen, T.; Ueland, T.; Aukrust, P.; Nilsen, D.W.T.; Grundt, H.; Staines, H.; Pönitz, V.; Kontny, F. Procollagen type 1 N-terminal propeptide is associated with adverse outcome in acute chest pain of suspected coronary origin. Front. Cardiovasc. Med. 2023, 10, 1191055, Erratum in: Front. Cardiovasc. Med. 2025, 12, 1650107. [Google Scholar] [CrossRef]
- Kikuchi, H.; Nasu, T.; Satoh, M.; Kotozaki, Y.; Tanno, K.; Asahi, K.; Ohmomo, H.; Kobayashi, T.; Taguchi, S.; Morino, Y.; et al. Association between total type I collagen N-terminal propeptide and coronary artery disease risk score in the general Japanese population. Int. J. Cardiol. Heart Vasc. 2022, 41, 101056. [Google Scholar] [CrossRef]
- Wu, C.H.; Chang, Y.F.; Chen, C.H.; Lewiecki, E.M.; Wüster, C.; Reid, I.; Tsai, K.S.; Matsumoto, T.; Mercado-Asis, L.B.; Chan, D.C.; et al. Consensus statement on the use of bone turnover markers for short-term monitoring of osteoporosis treatment in the Asia-Pacific region. J. Clin. Densitom. 2021, 24, 3–13. [Google Scholar] [CrossRef]
- Bhattoa, H.P.; Cavalier, E.; Eastell, R.; Heijboer, A.C.; Niklas, R.; Makris, K.; Ulmer, C.Z.; Kanis, J.A.; Cooper, C.; Silverman, S.L.; et al. Analytical considerations and plans to standardize or harmonize assays for the reference bone turnover markers PINP and β-CTX in blood. Clin. Chim. Acta 2021, 515, 16–20. [Google Scholar] [CrossRef]
- Lerchbaum, E.; Schwetz, V.; Pilz, S.; Grammer, T.B.; Look, M.; Boehm, B.O.; Obermayer-Pietsch, B.; März, W. Association of bone turnover markers with mortality in men referred to coronary angiography. Osteoporos. Int. 2013, 24, 1321–1332. [Google Scholar] [CrossRef]
- Lonardo, A. Alanine aminotransferase predicts incident steatotic liver disease of metabolic etiology: Long life to the old biomarker! World J. Gastroenterol. 2024, 30, 3016–3021. [Google Scholar] [CrossRef] [PubMed]
- Mantovani, A.; Csermely, A.; Petracca, G.; Beatrice, G.; Corey, K.E.; Simon, T.G.; Byrne, C.D.; Targher, G. Non-alcoholic fatty liver disease and risk of fatal and non-fatal cardiovascular events: An updated systematic review and meta-analysis. Lancet Gastroenterol. Hepatol. 2021, 6, 903–913. [Google Scholar] [CrossRef]
- Mertens, J.; Weyler, J.; Dirinck, E.; Vonghia, L.; Kwanten, W.J.; Van Gaal, L.F.; De Winter, B.Y.; Francque, S.; De Block, C. Increased prevalence and risk of atherosclerotic cardiovascular disease in individuals with type 1 diabetes and metabolic dysfunction-associated steatotic liver disease. Cardiovasc. Diabetol. 2025, 24, 230. [Google Scholar] [CrossRef]
- Çelik, N.; Ünsal, G.; Taştanoğlu, H. Predictive markers of metabolically healthy obesity in children and adolescents: Can AST/ALT ratio serve as a simple and reliable diagnostic indicator? Eur. J. Pediatr. 2024, 183, 243–251. [Google Scholar] [CrossRef]
- Ma, W.; Hu, W.; Liu, Y.; He, L. Association between ALT/AST and muscle mass in patients with type 2 diabetes mellitus. Mediat. Inflamm. 2022, 2022, 9480228. [Google Scholar] [CrossRef] [PubMed]
- Han, S.K.; Seo, M.J.; Lee, T.; Kim, M.Y. Effectiveness of the ALT/AST ratio for predicting insulin resistance in a Korean population: A large-scale, cross-sectional cohort study. PLoS ONE 2024, 19, e0303333. [Google Scholar] [CrossRef] [PubMed]
- Cheng, X.; Liu, L.; Tian, Y.; Lin, Y. Serum lactate dehydrogenase as a prognostic marker for 90-day mortality in connective tissue disease patients receiving glucocorticoids and hospitalized with pneumonia: A cohort study. Sci. Rep. 2025, 15, 16806. [Google Scholar] [CrossRef] [PubMed]
- Wu, Y.; Lu, C.; Pan, N.; Zhang, M.; An, Y.; Xu, M.; Zhang, L.; Guo, Y.; Tan, L. Serum lactate dehydrogenase activities as systems biomarkers for 48 types of human diseases. Sci. Rep. 2021, 11, 12997. [Google Scholar] [CrossRef]
- Zhu, W.; Ma, Y.; Guo, W.; Lu, J.; Li, X.; Wu, J.; Qin, P.; Zhu, C.; Zhang, Q. Serum level of lactate dehydrogenase is associated with cardiovascular disease risk as determined by the Framingham risk score and arterial stiffness in a health-examined population in China. Int. J. Gen. Med. 2022, 15, 11–17. [Google Scholar] [CrossRef]
- Li, W.; Jiao, Y.; Wang, L.; Wang, S.; Hao, L.; Wang, Z.; Wang, H.; Zhang, B.; Ding, G.; Jiang, H. Association of serum magnesium with insulin resistance and type 2 diabetes among adults in China. Nutrients 2022, 14, 1799. [Google Scholar] [CrossRef]
- Mooren, F.C.; Krüger, K.; Völker, K.; Golf, S.W.; Wadepuhl, M.; Kraus, A. Oral magnesium supplementation reduces insulin resistance in non-diabetic subjects—A double-blind, placebo-controlled, randomized trial. Diabetes Obes. Metab. 2011, 13, 281–284. [Google Scholar] [CrossRef]
- Lovallo, W.R.; Cohoon, A.J.; Acheson, A.; Vincent, A.S.; Sorocco, K.H. Cortisol stress reactivity in women, diurnal variations and hormonal contraceptives: Studies from the Family Health Patterns Project. Stress 2019, 22, 421–427. [Google Scholar] [CrossRef]
- Smaliukienė, R.; Bekesiene, S.; Mažeikienė, A.; Larsson, G.; Karčiauskaitė, D.; Mazgelytė, E.; Vaičaitienė, R. Hair cortisol, perceived stress, and the effect of group dynamics: A longitudinal study of young men during compulsory military training in Lithuania. Int. J. Environ. Res. Public Health 2022, 19, 1663. [Google Scholar] [CrossRef]
- Hua, Y.; Liu, H.L.; Sun, J.Y.; Kong, X.Q.; Sun, W.; Xiong, Y.Q. Association between serum calcium and the prevalence of hypertension among US adults. Front. Cardiovasc. Med. 2021, 8, 719165. [Google Scholar] [CrossRef]
- Van Ballegooijen, A.J.; Reinders, I.; Visser, M.; Brouwer, I.A. Parathyroid hormone and cardiovascular disease events: A systematic review and meta-analysis of prospective studies. Am. Heart J. 2013, 165, 655–664. [Google Scholar] [CrossRef] [PubMed]
- Xuan, Y.; Wu, D.; Zhang, Q.; Yu, Z.; Yu, J.; Zhou, D. Elevated ALT/AST ratio as a marker for NAFLD risk and severity: Insights from a cross-sectional analysis in the United States. Front. Endocrinol. 2024, 15, 1457598. [Google Scholar] [CrossRef]
- Liu, H.; Ding, C.; Hu, L.; Li, M.; Zhou, W.; Wang, T.; Zhu, L.; Bao, H.; Cheng, X. The association between AST/ALT ratio and all-cause and cardiovascular mortality in patients with hypertension. Medicine 2021, 100, e26693. [Google Scholar] [CrossRef] [PubMed]
- Zeng, Y.; Zhao, Y.; Dai, S.; Liu, Y.; Zhang, R.; Yan, H.; Zhao, M.; Wang, Y. Impact of lactate dehydrogenase on prognosis of patients undergoing cardiac surgery. BMC Cardiovasc. Disord. 2022, 22, 404. [Google Scholar] [CrossRef]
- Bhattoa, H.P.; Vasikaran, S.; Trifonidi, I.; Kapoula, G.; Lombardi, G.; Jørgensen, N.R.; Pikner, R.; Miura, M.; Chapurlat, R.; Hiligsmann, M.; et al. Update on the role of bone turnover markers in the diagnosis and management of osteoporosis: A consensus paper from The European Society for Clinical and Economic Aspects of Osteoporosis, Osteoarthritis and Musculoskeletal Diseases (ESCEO), International Osteoporosis Foundation (IOF), and International Federation of Clinical Chemistry and Laboratory Medicine (IFCC). Osteoporos. Int. 2025, 36, 579–608. [Google Scholar] [CrossRef]
- Ismaiel, A.; Dumitraşcu, D.L. Cardiovascular risk in fatty liver disease: The liver-heart axis-literature review. Front. Med. 2019, 6, 202. [Google Scholar] [CrossRef] [PubMed]
- Behbodikhah, J.; Ahmed, S.; Elyasi, A.; Kasselman, L.J.; De Leon, J.; Glass, A.D.; Reiss, A.B. Apolipoprotein B and cardiovascular disease: Biomarker and potential therapeutic target. Metabolites 2021, 11, 690. [Google Scholar] [CrossRef]
- Katsi, V.; Argyriou, N.; Fragoulis, C.; Tsioufis, K. The role of non-HDL cholesterol and apolipoprotein B in cardiovascular disease: A comprehensive review. J. Cardiovasc. Dev. Dis. 2025, 12, 256. [Google Scholar] [CrossRef]
- Rosique-Esteban, N.; Guasch-Ferré, M.; Hernández-Alonso, P.; Salas-Salvadó, J. Dietary magnesium and cardiovascular disease: A review with emphasis in epidemiological studies. Nutrients 2018, 10, 168. [Google Scholar] [CrossRef]
- Lu, J.; Chen, K.; Chen, W.; Liu, C.; Jiang, X.; Ma, Z.; Li, D.; Shen, Y.; Tian, H. Association of serum homocysteine with cardiovascular and all-cause mortality in adults with diabetes: A prospective cohort study. Oxid. Med. Cell. Longev. 2022, 2022, 2156483. [Google Scholar] [CrossRef]
- Barbagallo, M.; Dominguez, L.J. Magnesium and type 2 diabetes. World J. Diabetes 2015, 6, 1152–1157. [Google Scholar] [CrossRef]
- Bajic, Z.; Sobot, T.; Skrbic, R.; Stojiljkovic, M.P.; Ponorac, N.; Matavulj, A.; Djuric, D.M. Homocysteine, vitamins B6 and folic acid in experimental models of myocardial infarction and heart failure—How strong is that link? Biomolecules 2022, 12, 536. [Google Scholar] [CrossRef] [PubMed]
- Su, X.; Xu, Y.; Tan, Z.; Wang, X.; Yang, P.; Su, Y.; Jiang, Y.; Qin, S.; Shang, L. Prediction for cardiovascular diseases based on laboratory data: An analysis of random forest model. J. Clin. Lab. Anal. 2020, 34, e23421. [Google Scholar] [CrossRef] [PubMed]
- DeGroat, W.; Abdelhalim, H.; Patel, K.; Mendhe, D.; Zeeshan, S.; Ahmed, Z. Discovering biomarkers associated and predicting cardiovascular disease with high accuracy using a novel nexus of machine learning techniques for precision medicine. Sci. Rep. 2024, 14, 1. [Google Scholar] [CrossRef]
- Wallace, M.L.; Mentch, L.; Wheeler, B.J.; Tapia, A.L.; Richards, M.; Zhou, S.; Yi, L.; Redline, S.; Buysse, D.J. Use and misuse of random forest variable importance metrics in medicine: Demonstrations through incident stroke prediction. BMC Med. Res. Methodol. 2023, 23, 144. [Google Scholar] [CrossRef]
- Shalmi, T.W.; Jensen, A.S.B.; Goetze, J.P. Cardiac natriuretic peptides. Adv. Clin. Chem. 2024, 122, 115–139. [Google Scholar]
- Szulc, P.; Naylor, K.; Pickering, M.E.; Hoyle, N.; Eastell, R.; Leary, E.; National Bone Health Alliance Bone Turnover Marker Project. Use of CTX-I and PINP as bone turnover markers: National Bone Health Alliance recommendations to standardize sample handling and patient preparation to reduce pre-analytical variability. Osteoporos. Int. 2017, 28, 2541–2556. [Google Scholar] [CrossRef] [PubMed]
- Byrne, C.D.; Targher, G. NAFLD: A multisystem disease. J. Hepatol. 2015, 62, S47–S64. [Google Scholar] [CrossRef]
- Matsuzawa, Y. The metabolic syndrome and adipocytokines. FEBS Lett. 2006, 580, 2917–2921. [Google Scholar] [CrossRef]
- Sniderman, A.D.; Dufresne, L.; Pencina, K.M.; Bilgic, S.; Thanassoulis, G.; Pencina, M.J. Discordance among apoB, non–high-density lipoprotein cholesterol, and triglycerides: Implications for cardiovascular prevention. Eur. Heart J. 2024, 45, 2410–2418. [Google Scholar] [CrossRef]
- Roza, D. This is a Sport’: F-16 Pilots Use New Sensors to Max Out Human Performance. 2024. Available online: https://www.airandspaceforces.com/f-16-pilot-human-performance-sensor/ (accessed on 25 August 2025).
- Sucipta, I.J.; Adi, N.P.; Kaunang, D. Relationship of fatigue, physical fitness and cardiovascular endurance to the hypoxic response of military pilots in Indonesia. J. Phys. Conf. Ser. 2018, 1073, 042044. [Google Scholar] [CrossRef]
- Solnica, B.; Sygitowicz, G.; Sitkiewicz, D.; Jóźwiak, J.; Kasperczyk, S.; Broncel, M.; Wolska, A.; Odrowąż-Sypniewska, G.; Banach, M. 2024 Guidelines of the Polish Society of Laboratory Diagnostics and the Polish Lipid Association on laboratory diagnostics of lipid metabolism disorders. Arch. Med. Sci. 2024, 20, 357–374. [Google Scholar] [CrossRef] [PubMed]
- Quispe, R.; Brownstein, A.J.; Sathiyakumar, V.; Park, J.; Chang, B.; Sajja, A.; Guallar, E.; Lazo, M.; Jones, S.R.; Martin, S.S. Utility of non-HDL-C and apoB targets in the context of new more aggressive lipid guidelines. Am. J. Prev. Cardiol. 2021, 7, 100203. [Google Scholar] [CrossRef] [PubMed]
- Langlois, M.R.; Sniderman, A.D. Non-HDL Cholesterol or apoB: Which to prefer as a target for the prevention of atherosclerotic cardiovascular disease? Curr. Cardiol. Rep. 2020, 22, 67. [Google Scholar] [CrossRef]
- Aroda, V.R.; Eckel, R.H. Reconsidering the role of glycaemic control in cardiovascular disease risk in type 2 diabetes: A 21st century assessment. Diabetes Obes. Metab. 2022, 24, 2297–2308. [Google Scholar] [CrossRef]
- Suwała, S.; Junik, R. Hyperglycemia as the most important risk factor for serum hypomagnesemia in metabolic syndrome. Diabetology 2025, 6, 82. [Google Scholar] [CrossRef]
- Zheng, D.; Dou, J.; Liu, G.; Pan, Y.; Yan, Y.; Liu, F.; Gaisano, H.Y.; Lu, J.; He, Y. Association between triglyceride level and glycemic control among insulin-treated patients with type 2 diabetes. J. Clin. Endocrinol. Metab. 2019, 104, 1211–1220. [Google Scholar] [CrossRef] [PubMed]
- Richards, A.M.; Troughton, R.; Lainchbury, J.; Doughty, R.; Wright, S. Guiding and monitoring of heart failure therapy with NT-ProBNP: Concepts and clinical studies. J. Card. Fail. 2005, 11, 34–37. [Google Scholar] [CrossRef]
- Lorentzon, M.; Branco, J.; Brandi, M.L.; Bruyère, O.; Chapurlat, R.; Cooper, C.; Cortet, B.; Diez-Perez, A.; Ferrari, S.; Gasparik, A.; et al. Algorithm for the use of biochemical markers of bone turnover in the diagnosis, assessment and follow-up of treatment for osteoporosis. Adv. Ther. 2019, 36, 2811–2824. [Google Scholar] [CrossRef]
- Koschinsky, M.L.; Bajaj, A.; Boffa, M.B.; Dixon, D.L.; Ferdinand, K.C.; Gidding, S.S.; Gill, E.A.; Jacobson, T.A.; Michos, E.D.; Safarova, M.S.; et al. A focused update to the 2019 NLA scientific statement on use of lipoprotein(a) in clinical practice. J. Clin. Lipidol. 2024, 18, e308–e319. [Google Scholar] [CrossRef]
- Borecka, A.; Szczypek, M.; Pabin, A.; Kowalczuk, K.; Maculewicz, E. Impact of tick-borne pathogens on the health risk of soldiers. Ann. Agric. Environ. Med. 2023, 30, 211–216. [Google Scholar] [CrossRef] [PubMed]
- Burdon, J.; Budnik, L.T.; Baur, X.; Hageman, G.; Howard, C.V.; Roig, J.; Coxon, L.; Furlong, C.E.; Gee, D.; Loraine, T.; et al. Health consequences of exposure to aircraft contaminated air and fume events: A narrative review and medical protocol for the investigation of exposed aircrew and passengers. Environ. Health 2023, 22, 43, Erratum in: Environ. Health 2023, 22, 75. [Google Scholar] [CrossRef] [PubMed]
- Jasiński, R.; Pielecha, J. Evaluation of the impact of oil presence in the aviation fuel on particle size distribution. Sci. J. Silesian Univ. Technol. Ser. Transp. 2017, 94, 57–64. [Google Scholar] [CrossRef]
- Phillips, J. Occupational health considerations of airline pilot radiation exposure. J. Oper. Med. 2025. [Google Scholar] [CrossRef]
- Soh, M.S.; Jang, J.H.; Park, J.S.; Shin, J.H. Effects of high-gravity acceleration forces and anti-gravity maneuver on the cardiac function of fighter pilots. Sci. Rep. 2024, 14, 8749. [Google Scholar] [CrossRef]
- Sevilla, N.L.; Gardner, J.W. G-induced loss of consciousness: Case-control study of 78 G-Locs in the F-15, F-16, and A-10. Aviat. Space Environ. Med. 2005, 76, 370–374. [Google Scholar]


| Biomarker Panel | Biomarker | Group 1 Median ± IQR | Group 2 Median ± IQR | Group 3 Median ± IQR | Group 4 Median ± IQR | p-Value | Reference Values |
|---|---|---|---|---|---|---|---|
| lipid profile | Total CHOL (mg/dL) | 174.0 ± 44.6 a | 201.0 ± 46.9 b | 204.0 ± 48.3 b | 162.0 ± 68.8 a | <0.0001 | <190 |
| HDL-C (mg/dL) | 48.4 ± 9.43 b | 47.9 ± 14.4 b | 51.8 ± 16.9 c | 44.0 ± 16.0 a | 0.0006 | >=40 | |
| LDL-C (mg/dL) | 103.0 ± 41.4 a | 125.0 ± 43.6 b | 123.0 ± 43.5 b | 100.0 ± 57.0 a | <0.0001 | <115 | |
| N-HDL (mg/dL) | 131.0 ± 44.0 a | 151.0 ± 46.7 b | 147.0 ± 41.4 b | 127.0 ± 67.5 a | 0.0010 | <130 | |
| TG (mg/dL) | 151.0 ± 113.0 b | 115.0 ± 75.4 a | 105.0 ± 69.8 a | 108.0 ± 64.5 a | 0.04 | <100 | |
| apoB (g/L) | 0.84 ± 0.33 b | 1.04 ± 0.31 a | 0.97 ± 0.29 a | 0.76 ± 0.32 b | <0.0001 | 0.66–1.44 | |
| Lp(a) (nmol/L) | 14.7 ± 48.5 c | 13.6 ± 30.6 b | 13.5 ± 34.5 b | 8.35 ± 18.7 a | 0.002 | <75 | |
| inflammatory marker | CRP (mg/L) | 0.1 ± 1.07 c | 0.89 ± 1.59 b | 0.68 ± 1.27 a,b | 1.3 ± 2.2 a | <0.0001 | <5 |
| metabolic and hormonal markers | Glu (mg/dL) | 96.0 ± 25.6 d | 89.5 ± 11.2 c | 85.5 ± 9.54 b | 80.0 ± 13.9 a | <0.0001 | 70–99 |
| Cortisol (nmol/L) | 366.0 ± 306.0 a | 405.0 ± 172.0 b | 411.0 ± 248.0 b | 282.0 ± 149.0 a | <0.0001 | 171–536 | |
| Vit D3 (ng/mL) | 27.2 ± 13.5 b | 32.6 ± 15.3 a | 28.3 ± 16.2 b | 37.0 ± 14.5 a | <0.0001 | 20–100 | |
| PTH (pg/mL) | 25.5 ± 15.3 b | 25.6 ± 11.9 b | 26.7 ± 11.2 b | 15.4 ± 10.1 a | <0.0001 | 15–65 | |
| Mg (mg/dL) | 2.03 ± 0.27 c | 2.15 ± 0.19 a | 2.16 ± 0.21 a | 2.3 ± 0.3 a | <0.0001 | 1.3–2.6 | |
| P (mg/dL) | 3.43 ± 0.73 b | 3.24 ± 0.68 a | 3.36 ± 0.77 a | 4.0 ± 0.7 b | <0.0001 | 2.7–4.5 | |
| NT-proBNP (pg/mL) | 18.5 ± 22.9 b | 15.5 ± 19.0 b | 16.3 ± 25.7 b | 36.7 ± 48.2 a | <0.0001 | <125 | |
| HCYS (µmol/L) | 10.7 ± 2.93 c | 12.3 ± 4.12 b | 10.8 ± 2.71 a | 14.1 ± 4.26 a | <0.0001 | <15 | |
| P1NP (ng/mL) | 69.5 ± 42.5 c | 49.3 ± 24.4 a | 56.7 ± 26.6 b | 67.8 ± 45.5 c | <0.0001 | 15–90 | |
| Ca (mg/dL) | 9.91 ± 0.69 a | 9.89 ± 0.45 b | 9.82 ± 0.58 b | 10.4 ± 0.88 b | <0.0001 | 8.4–10.2 | |
| β-CTX (ng/mL) | 0.4 ± 0.25 b | 0.39 ± 0.18 b | 0.43 ± 0.22 b | 0.22 ± 0.19 a | <0.0001 | 0.238–1.019 | |
| hepatic markers | ALT (U/L) | 6.94 ± 6.61 a | 11.6 ± 11.2 b | 10.2 ± 8.05 b | 5.0 ± 5.72 a | <0.0001 | <41 |
| ALP (U/L) | 62.3 ± 26.4 | 62.0 ± 20.5 | 60.8 ± 15.7 | 64.5 ± 25.6 | 0.49 | 53–119 | |
| AST (U/L) | 13.6 ± 7.04 a | 17.8 ± 8.66 b | 18.1 ± 8.31 b | 14.0 ± 7.0 a | <0.0001 | <37 | |
| non-specific marker for various conditions | LDH (U/L) | 132.0 ± 35.3 c | 150.0 ± 29.9 b | 140.0 ± 34.4 c | 176.0 ± 51.0 a | <0.0001 | 135–225 |
| Biomarker Panel | Biomarker | Group 1 | Group 2 | Group 3 | Group 4 | Mean Decrease Accuracy | Mean Decrease Gini |
|---|---|---|---|---|---|---|---|
| lipid profile | Total CHOL (mg/dL) | 7.57 | 4.49 | 1.98 | 2.51 | 8.65 | 8.67 |
| HDL-C (mg/dL) | 4.12 | 0.51 | 2.44 | 1.51 | 4.21 | 7.48 | |
| LDL-C (mg/dL) | 5.57 | 5.66 | 2.09 | 5.61 | 9.12 | 8.44 | |
| N-HDL (mg/dL) | 5.96 | 3.82 | 0.95 | 3.69 | 7.34 | 7.44 | |
| TG (mg/dL) | 7.21 | 3.25 | −0.32 | 3.12 | 7.44 | 7.88 | |
| apoB (g/L) | 10.52 | 11.01 * | −2.37 | 3.26 | 13.10 | 11.17 | |
| Lp(a) (nmol/L) | 6.67 | 0.03 | −0.12 | −0.53 | 4.08 | 7.21 | |
| inflammatory marker | CRP (mg/L) | 17.45 * | 0.48 | 1.60 | 4.39 | 16.22 | 10.28 |
| metabolic and hormonal markers | Glu (mg/dL) | 11.14 | 8.40 * | 1.81 | 12.07 * | 15.16 | 14.73 |
| Cortisol (nmol/L) | 14.61 | 7.39 | 2.67 | 2.24 | 15.06 | 14.37 | |
| Vit D3 (ng/mL) | 10.08 | 1.04 | −0.27 | 1.70 | 7.45 | 9.26 | |
| PTH (pg/mL) | 14.49 | 3.43 | 3.68 * | 2.04 | 13.62 | 13.76 | |
| Mg (mg/dL) | 13.36 | 5.41 | 1.27 | 9.33 * | 14.76 | 15.14 | |
| P (mg/dL) | 21.01 * | 11.52 * | −1.94 | 2.28 | 20.35 | 19.62 | |
| NT-proBNP (pg/mL) | 18.92 * | 6.05 | 0.68 | −1.16 | 16.10 | 12.17 | |
| HCYS (µmol/L) | 11.49 | 6.72 | 7.19 * | 7.13 * | 15.00 | 14.41 | |
| P1NP (ng/mL) | 12.79 | 12.69 * | 0.28 | 7.79 * | 17.33 | 15.39 | |
| Ca (mg/dL) | 12.41 | 3.43 | 3.17 * | 1.76 | 11.59 | 12.04 | |
| β-CTX (ng/mL) | 19.17 * | 5.36 | 5.92 * | 1.84 | 17.51 | 17.32 | |
| hepatic markers | ALT (U/L) | 17.93 * | 12.38 * | 0.33 | 5.41 | 17.80 | 15.62 |
| AST (U/L) | 4.97 | 2.64 | 1.99 | 2.95 | 6.51 | 7.47 | |
| ALP (U/L) | 4.64 | −0.95 | 1.69 | −0.18 | 2.79 | 6.10 | |
| non-specific marker for various conditions | LDH (U/L) | 14.19 | 6.71 | 2.98 * | 6.59 * | 15.63 | 13.72 |
| Biomarker | Group 1 | Group 2 | Group 3 | Group 4 | Mean Decrease Accuracy | Mean Decrease Gini |
|---|---|---|---|---|---|---|
| P | 24.82 | 11.25 | 0.004 | 2.75 | 23.26 | 25.81 |
| β-CTX | 22.70 | 4.30 | 11.10 | 1.98 | 21.61 | 25.04 |
| NT-proBNP | 20.96 | 5.62 | 2.38 | 0.10 | 18.87 | 17.50 |
| PTH | 15.89 | −0.88 | 0.74 | 1.28 | 11.55 | 19.66 |
| ALT | 20.97 | 11.29 | 2.31 | 6.38 | 19.79 | 22.84 |
| Glu | 12.04 | 6.39 | 2.21 | 13.11 | 15.96 | 21.99 |
| Mg | 15.07 | 6.23 | −0.58 | 10.85 | 15.75 | 22.61 |
| HCYS | 13.01 | 7.24 | 5.84 | 6.35 | 15.48 | 20.14 |
| LDH | 13.41 | 7.13 | 2.85 | 8.78 | 15.58 | 19.57 |
| P1NP | 15.29 | 13.14 | 1.75 | 9.09 | 20.40 | 21.53 |
| apoB | 12.37 | 8.69 | −0.89 | 4.62 | 13.10 | 18.49 |
| Ca | 14.62 | 5.56 | 3.11 | 1.57 | 13.84 | 19.49 |
| CRP | 19.52 | −0.70 | 3.46 | 2.48 | 17.62 | 14.95 |
| Group | n (Female/Male) | Age (Years) | Weight (kg) | Height (cm) | BMI (kg/m2) | Smoking (n) | Physical Activity |
|---|---|---|---|---|---|---|---|
| group 1 | 139 (42/97) | 29.6 ± 8.65 | 84.3 ± 13.7 | 175 ± 8.54 | 27.5±4.01 | 9 | low |
| group 2 | 121 (9/112) | 33.9 ± 9.03 | 85.6 ± 14.6 | 179 ± 6.58 | 26.1±4.09 | 0 | moderate |
| group 3 | 74 (3/71) | 39.3 ± 7.82 | 86.2 ± 17.1 | 179 ± 6.20 | 27.0±4.29 | 0 | high |
| group 4 | 58 (2/56) | 35.6 ± 8.27 | 83.2 ± 19.2 | 174 ± 24.2 | 24.2±4.19 | 0 | high |
| Biomarker Panel | Biomarker | Abbreviation | Method of Analysis | |
|---|---|---|---|---|
| lipid profile | total cholesterol | Total CHOL (mg/dL) | <190 | Cholesterol Gen.2 kit (Roche Diagnostics GmbH, Mannheim, Germany) enzyme method; measured on COBAS INTEGRA 400 plus (Roche Diagnostics GmbH, Mannheim, Germany) |
| high-density lipoprotein cholesterol | HDL-C (mg/dL) | ≥40 | HDL-Cholesterol Gen.4 kit (Roche Diagnostics GmbH, Mannheim, Germany) Immunoturbidimetry method; measured on COBAS INTEGRA 400 plus (Roche Diagnostics GmbH, Mannheim, Germany) | |
| low-density lipoprotein cholesterol | LDL-C (mg/dL) | <115 | calculated by Friedewald’s formula—a mathematical formula enabling indirect calculation of the concentration of LDL cholesterol, using the previous determination of the concentration of total cholesterol, HDL cholesterol, and triglycerides | |
| non-HDL cholesterol | N-HDL (mg/dL) | <130 | calculated as the difference between total cholesterol and HDL | |
| triglycerides | TG (mg/dL) | <100 | Triglycerides kit (Roche Diagnostics GmbH, Mannheim, Germany) enzyme method; measured on COBAS INTEGRA 400 plus (Roche Diagnostics GmbH, Mannheim, Germany) | |
| apolipoprotein B | apoB (g/L) | 0.66–1.44 | Tina-quant Apolipoprotein B ver.2 kit (Roche Diagnostics GmbH, Mannheim, Germany) Immunoturbidimetry method; measured on COBAS INTEGRA 400 plus (Roche Diagnostics GmbH, Mannheim, Germany) | |
| lipoprotein (a) | Lp(a) (nmol/L) | <75 | Tina-quant Lipoprotein (a) Gen.2 kit (Roche Diagnostics GmbH, Mannheim, Germany) Immunoturbidimetry method; measured on COBAS INTEGRA 400 plus (Roche Diagnostics GmbH, Mannheim, Germany) | |
| inflammatory marker | C-reactive protein | CRP (mg/L) | <5 | Tina-quant C-Reactive Protein IV kit (Roche Diagnostics GmbH, Mannheim, Germany) Immunoturbidimetry method; measured on COBAS INTEGRA 400 plus (Roche Diagnostics GmbH, Mannheim, Germany) |
| metabolic and hormonal markers | glucose | Glu (mg/dL) | 70–99 | Glucose HK Gen.3 kit (Roche Diagnostics) enzyme method; measured on COBAS INTEGRA 400 plus (Roche Diagnostics GmbH, Mannheim, Germany) |
| cortisol | Cortisol (nmol/L) | 171–536 | Elecsys Cortisol II kit (Roche Diagnostics GmbH, Mannheim, Germany) immunoenzymatic method (ELISA); measured on COBAS e411 (Roche Diagnostics GmbH, Mannheim, Germany) | |
| vitamin D3 (Cholecalciferol) | Vit D3 (ng/mL) | 20–100 | Elecsys Vitamin D total III kit (Roche Diagnostics GmbH, Mannheim, Germany) electrochemiluminescence method; measured on COBAS e411 (Roche Diagnostics GmbH, Mannheim, Germany) | |
| parathyroid hormone | PTH (pg/mL) | 15–65 | Elecsys PTH (1–84) kit Roche Diagnostics GmbH, Mannheim, Germany) electrochemiluminescence immunoassay (ECLIA) method; measured on COBAS e411 (Roche Diagnostics GmbH, Mannheim, Germany) | |
| magnesium | Mg (mg/dL) | 1.3–2.6 | Magnesium Gen.2 kit (Roche Diagnostics GmbH, Mannheim, Germany) colorimetric method; measured on COBAS INTEGRA 400 plus (Roche Diagnostics GmbH, Mannheim, Germany) | |
| phosphorus | P (mg/dL) | 2.7–4.5 | Phosphate (Inorganic) ver.2 kit Roche Diagnostics GmbH, Mannheim, Germany) kinetic method; measured on COBAS INTEGRA 400 plus (Roche Diagnostics GmbH, Mannheim, Germany) | |
| N-terminal pro-B-type natriuretic peptide | NT-proBNP (pg/mL) | <125 | Elecsys proBNP II kit (Roche Diagnostics GmbH, Mannheim, Germany) electrochemiluminescence immunoassay method (ECLIA); measured on COBAS e411 (Roche Diagnostics GmbH, Mannheim, Germany) | |
| homocysteine | HCYS (µmol/L) | <15 | Homocysteine Enzymatic Assay Roche Diagnostics GmbH, Mannheim, Germany) Immunoturbidimetry method; measured on COBAS INTEGRA 400 plus (Roche Diagnostics GmbH, Mannheim, Germany) | |
| procollagen type I N-terminal propeptide | P1NP (ng/mL) | 15–90 | Elecsys total P1NP kit (Roche Diagnostics GmbH, Mannheim, Germany) electrochemiluminescence immunoassay (ECLIA) method; measured on COBAS e411 (Roche Diagnostics GmbH, Mannheim, Germany) | |
| calcium | Ca (mg/dL) | 8.4–10.2 | Calcium Gen.2 kit (Roche Diagnostics GmbH, Mannheim, Germany) colorimetric method; measured on COBAS INTEGRA 400 plus (Roche Diagnostics GmbH, Mannheim, Germany) | |
| beta-CrossLaps (C-terminal telopeptide of type I collagen) | β-CTX (ng/mL) | 0.238–1.019 | Beta-CrossLaps Elecsys (Roche Diagnostics GmbH, Mannheim, Germany); electrochemiluminescence immunoassay (ECLIA) method; measured on COBAS e411 (Roche Diagnostics GmbH, Mannheim, Germany) | |
| hepatic markers | alanine aminotransferase | ALT (U/L) | <41 | Alanine Aminotransferase kit (Roche Diagnostics GmbH, Mannheim, Germany) enzyme method; measured on COBAS INTEGRA 400 plus (Roche Diagnostics GmbH, Mannheim, Germany) |
| alkaline phosphatase | ALP (U/L) | 53–119 | ALP IFCC Gen.2 Small kit (Roche Diagnostics GmbH, Mannheim, Germany) enzyme method; measured on COBAS INTEGRA 400 plus (Roche Diagnostics GmbH, Mannheim, Germany) | |
| aspartate aminotransferase | AST (U/L) | <37 | Aspartate Aminotransferase acc. to IFCC kit (Roche Diagnostics GmbH, Mannheim, Germany) enzyme method; measured on COBAS INTEGRA 400 plus (Roche Diagnostics GmbH, Mannheim, Germany) | |
| non-specific biomarker for various conditions | lactate dehydrogenase | LDH | 135–225 | Lactate Dehydrogenase acc. to IFCC kit (Roche Diagnostics GmbH, Mannheim, Germany) enzyme method; measured on COBAS INTEGRA 400 plus (Roche Diagnostics GmbH, Mannheim, Germany) |
Disclaimer/Publisher’s Note: The statements, opinions and data contained in all publications are solely those of the individual author(s) and contributor(s) and not of MDPI and/or the editor(s). MDPI and/or the editor(s) disclaim responsibility for any injury to people or property resulting from any ideas, methods, instructions or products referred to in the content. |
© 2025 by the authors. Licensee MDPI, Basel, Switzerland. This article is an open access article distributed under the terms and conditions of the Creative Commons Attribution (CC BY) license (https://creativecommons.org/licenses/by/4.0/).
Share and Cite
Pabin, A.; Bojarczuk, A.; Kade, G.; Garbacz, A.; Komar, K.; Maculewicz, E. Cardiometabolic Biomarkers and Cardiovascular Risk Stratification in Polish Military Personnel: A Chemometric Approach. Int. J. Mol. Sci. 2025, 26, 11109. https://doi.org/10.3390/ijms262211109
Pabin A, Bojarczuk A, Kade G, Garbacz A, Komar K, Maculewicz E. Cardiometabolic Biomarkers and Cardiovascular Risk Stratification in Polish Military Personnel: A Chemometric Approach. International Journal of Molecular Sciences. 2025; 26(22):11109. https://doi.org/10.3390/ijms262211109
Chicago/Turabian StylePabin, Agata, Aleksandra Bojarczuk, Grzegorz Kade, Aleksandra Garbacz, Katarzyna Komar, and Ewelina Maculewicz. 2025. "Cardiometabolic Biomarkers and Cardiovascular Risk Stratification in Polish Military Personnel: A Chemometric Approach" International Journal of Molecular Sciences 26, no. 22: 11109. https://doi.org/10.3390/ijms262211109
APA StylePabin, A., Bojarczuk, A., Kade, G., Garbacz, A., Komar, K., & Maculewicz, E. (2025). Cardiometabolic Biomarkers and Cardiovascular Risk Stratification in Polish Military Personnel: A Chemometric Approach. International Journal of Molecular Sciences, 26(22), 11109. https://doi.org/10.3390/ijms262211109

